Sign in to use this feature.

Years

Between: -

Subjects

remove_circle_outline
remove_circle_outline
remove_circle_outline
remove_circle_outline
remove_circle_outline
remove_circle_outline
remove_circle_outline
remove_circle_outline
remove_circle_outline

Journals

remove_circle_outline
remove_circle_outline
remove_circle_outline
remove_circle_outline
remove_circle_outline
remove_circle_outline
remove_circle_outline
remove_circle_outline
remove_circle_outline
remove_circle_outline
remove_circle_outline
remove_circle_outline
remove_circle_outline

Article Types

Countries / Regions

remove_circle_outline
remove_circle_outline
remove_circle_outline
remove_circle_outline
remove_circle_outline
remove_circle_outline

Search Results (1,679)

Search Parameters:
Keywords = extraction from waste materials

Order results
Result details
Results per page
Select all
Export citation of selected articles as:
23 pages, 7932 KB  
Article
Walls That Grow: Fungal Species-Driven Performance of Mycelium-Based Composites Grown on Rice-Husk Waste
by Zahra Parhizi, Ewa Jadwiszczak, John Dearnaley, Deirdre Mikkelsen and Paulomi (Polly) Burey
Polymers 2026, 18(8), 932; https://doi.org/10.3390/polym18080932 - 10 Apr 2026
Abstract
Mycelium-based composites (MBCs) are gaining attention as sustainable alternatives to conventional materials because they are grown biologically rather than produced through resource-intensive extraction and processing. This study evaluates MBCs for non-load-bearing wall panels and environmentally responsible substitutes for traditional building materials. A reproducible [...] Read more.
Mycelium-based composites (MBCs) are gaining attention as sustainable alternatives to conventional materials because they are grown biologically rather than produced through resource-intensive extraction and processing. This study evaluates MBCs for non-load-bearing wall panels and environmentally responsible substitutes for traditional building materials. A reproducible manufacturing process is presented, and heat-pressed panels are characterised for physical, mechanical, and chemical performance. Novelty lies in species-driven evaluation using rice-husk waste as the sole lignocellulosic substrate and a Queensland-native Amauroderma species. Five fungal species, Trametes hirsuta, Ganoderma sp., Amauroderma sp., Pycnoporus coccineus and Trametes versicolor, were cultivated on rice husks and compared under identical processing conditions. Statistical analysis showed species selection significantly influenced tensile strength, whereas flexural and compressive performance showed no significant interspecies differences. Panels achieved tensile, compressive, and flexural strengths up to approximately 0.47, 0.35, and 1.35 MPa, respectively, with Amauroderma exhibiting the highest stiffness and compressive performance. Composites from four of the five species showed low moisture sensitivity and favourable thermal behaviour relative to previously reported mycelium materials. These results demonstrate that fungal species selection is a key design lever and supports rice-husk-derived MBCs as sustainable insulation and non-load-bearing construction materials. Full article
29 pages, 2784 KB  
Review
Posidonia oceanica Ashore Waste Biomass: State-of-the-Art and Valorisation Perspectives Within the Circular Economy Framework
by Manuel Hernández-Escaño, Rafael Borja, José Carlos García-Gómez and Francisco Raposo
Clean Technol. 2026, 8(2), 56; https://doi.org/10.3390/cleantechnol8020056 - 9 Apr 2026
Abstract
The accumulation of dead leaves from the Mediterranean seagrass Posidonia oceanica on beaches is a natural process that results in the formation of banquettes and, in some areas, spherical debris known as aegagropiles. These structures provide essential ecosystem functions, particularly coastal protection against [...] Read more.
The accumulation of dead leaves from the Mediterranean seagrass Posidonia oceanica on beaches is a natural process that results in the formation of banquettes and, in some areas, spherical debris known as aegagropiles. These structures provide essential ecosystem functions, particularly coastal protection against erosion. Despite their ecological importance, accumulated Posidonia oceanica biomass is often perceived as undesirable waste by stakeholders such as beach managers, local authorities, and tourists, leading to its systematic removal. This review summarises the chemical characteristics of this marine biomass and assesses its environmental and socioeconomic impact. Additionally, some different valorisation pathways for this biomass waste are examined, including animal feeding, bioactive compound extraction, development of biochar, biofertilisers, and compost, production of biosorbents, biocomposites and building materials, and also energy generation. The findings highlight the significant potential of P. oceanica residues within circular economy strategies and underscore the need for improved management practices that recognise their ecological value. Full article
(This article belongs to the Collection Review Papers in Clean Technologies)
Show Figures

Figure 1

17 pages, 9674 KB  
Article
Development of Bio-Based Low-Conductivity Material from Second-Generation Biofuel Remnants
by Gabriela Guadalupe Esquivel-Barajas, Guillermo Adolfo Anaya-Ruiz, Gerardo Gallardo-Orozco, Daniela Juarez-Hernández, Yvain de los Ángeles Salinas-Delgado, Luis Alberto Bretado-Aragón, Alberto Beltrán and José Joel Román-Godínez
Energies 2026, 19(7), 1808; https://doi.org/10.3390/en19071808 - 7 Apr 2026
Abstract
The pursuit of thermal comfort in buildings is one of the main sources of energy consumption worldwide. To mitigate this expenditure, thermal insulation is required in construction. However, most conventional insulation materials come from non-renewable resources. Recently, different alternatives for generating more environmentally [...] Read more.
The pursuit of thermal comfort in buildings is one of the main sources of energy consumption worldwide. To mitigate this expenditure, thermal insulation is required in construction. However, most conventional insulation materials come from non-renewable resources. Recently, different alternatives for generating more environmentally friendly insulation from biomass have been studied. However, when using biomass, care must be taken to avoid negatively impacting the food industry. One way to address this is to use biomass waste from previous manufacturing processes. The use of waste from the production of biofuel derived from castor beans (Ricinus communis) for the manufacture of thermal insulation was successfully implemented. Castor beans were collected and used to obtain biofuel. The waste was mixed with construction materials (lime, marble dust, and cement) in different concentrations. A device for measuring thermal conductivity was built and validated. The results of scanning electron microscopy (SEM) and energy-dispersive X-ray spectroscopy (EDS) are presented to characterize the material. A decrease in thermal conductivity was found in the construction material depending on the presence of micelle remnants left after oil extraction. Full article
(This article belongs to the Section B: Energy and Environment)
Show Figures

Figure 1

25 pages, 3669 KB  
Article
Hydrothermal Conversion of Annatto Seed Waste (Bixa orellana) into Functional Hydrochar: Synthesis, Characterization, and Adsorption Mechanism of Tetracycline
by Diana Guaya, Linda Jadán and José Luis Cortina
Molecules 2026, 31(7), 1224; https://doi.org/10.3390/molecules31071224 - 7 Apr 2026
Abstract
Agroindustrial residues represent an abundant and underutilized source of carbon-rich materials for environmental remediation. In this study, annatto processing waste (Bixa orellana), a largely unexplored lignocellulosic by-product generated during pigment extraction, was converted into hydrochar via hydrothermal carbonization at 200 °C [...] Read more.
Agroindustrial residues represent an abundant and underutilized source of carbon-rich materials for environmental remediation. In this study, annatto processing waste (Bixa orellana), a largely unexplored lignocellulosic by-product generated during pigment extraction, was converted into hydrochar via hydrothermal carbonization at 200 °C for 3 h. The resulting hydrochar (HC-AW) exhibited a predominantly amorphous carbon structure with retained oxygen-containing surface functionalities, and a solid yield of 44%, indicating efficient biomass conversion under subcritical conditions. Adsorption performance toward tetracycline was evaluated through pH-dependent experiments, kinetic modeling, equilibrium isotherms, and thermodynamic analysis. Maximum adsorption occurred under near-neutral conditions (pH ≈ 7), consistent with the interplay between tetracycline speciation and the hydrochar surface charge (pHPZC ≈ 6.3), highlighting its potential applicability under realistic water treatment conditions without pH adjustment. Kinetic data were well described by the pseudo-second-order model, while equilibrium results were best fitted by the Langmuir model, with a maximum adsorption capacity of 14.94 mg g−1 at 30 °C. Thermodynamic analysis indicated a spontaneous and slightly endothermic adsorption process. Overall, the results highlight the potential of annatto-derived hydrochar as a low-cost adsorbent and provide insight into the relationship between surface properties and adsorption behavior governing antibiotic removal from aqueous systems. Full article
(This article belongs to the Topic Biomass for Energy, Chemicals and Materials)
Show Figures

Figure 1

19 pages, 9790 KB  
Article
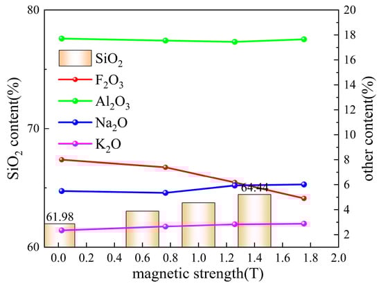
Purification of Quartz from Uranium-Bearing Tailings via a Combined Magnetic and Reverse Flotation Process
by Mingtao Wu, Yongjian Li, Yi Liu, Lei Zhou, Guoping Jiang, Penghua Hu, Shengdong Zhang and Lechang Xu
Processes 2026, 14(7), 1149; https://doi.org/10.3390/pr14071149 - 3 Apr 2026
Viewed by 199
Abstract
Uranium tailings, the primary solid waste from uranium production, are characterized by vast quantity, high radioactivity, and substantial environmental risks. This study systematically investigated a combined magnetic separation–reverse flotation process for extracting quartz from uranium tailings. Process mineralogical analyses, including XRD, MLA, and [...] Read more.
Uranium tailings, the primary solid waste from uranium production, are characterized by vast quantity, high radioactivity, and substantial environmental risks. This study systematically investigated a combined magnetic separation–reverse flotation process for extracting quartz from uranium tailings. Process mineralogical analyses, including XRD, MLA, and XRF, revealed that the tailings are mainly composed of quartz, potassium feldspar, albite, and almandine, with quartz accounting for approximately 43% and non-magnetic/weakly magnetic materials making up 91.06% of the total. The experimental results showed that after high-intensity magnetic separation at 1.8 T, the SiO2 grade increases to 76.36%. Under the conditions of pH 2, a mixed collector system of sodium oleate and dodecylamine at a mass ratio of 1:7, and a total dosage of 2000 g/t, the SiO2 grade further rises to above 90%. This work proposes a green process route for extracting quartz from uranium tailings, which not only achieves a reduction in radioactive tailings but also successfully obtains high-grade quartz products. Full article
Show Figures

Figure 1

18 pages, 1843 KB  
Article
Integrating Biomimetic Reasoning Into Early-Stage Design Thinking for Sustainable Textile Development
by Nikitas Gerolimos, Kyriaki Kiskira, Emmanouela Sfyroera, Johannis Tsoumas, Vasileios Alevizos, Sofia Plakantonaki, Maria Foka and Georgios Priniotakis
Biomimetics 2026, 11(4), 238; https://doi.org/10.3390/biomimetics11040238 - 2 Apr 2026
Viewed by 232
Abstract
This study explores the potential of biomimetic reasoning to inform early-stage design thinking, with a focus on enhancing the consideration of material utilization and textile waste. While sustainability efforts within the field of textiles are often focused on recycling and end-of-life management strategies, [...] Read more.
This study explores the potential of biomimetic reasoning to inform early-stage design thinking, with a focus on enhancing the consideration of material utilization and textile waste. While sustainability efforts within the field of textiles are often focused on recycling and end-of-life management strategies, it is important to recognize that a substantial proportion of final waste-related outcomes are determined during the conceptual design stage and the initial prototyping iterations. This study investigates the potential of organizational principles derived from natural systems to inform the definition of problems, the generation of ideas, and early conceptual prototyping. This is achieved by the introduction of ecological constraints and material life-cycle awareness in conjunction with user-centered requirements. To address the conceptual gap between biological forms and manufacturing, biomimicry is approached as a mode of systemic reasoning, utilizing topological skeletonization as a tool for logic extraction rather than formal imitation, with emphasis placed on continuity, modularity, and adaptive organization. This computational proof-of-concept employs a Particle Swarm Optimization (PSO) framework, utilizing biological venation as a topological guide to demonstrate how distinct organizational logics influence pattern configuration while incorporating manufacturing-inspired constraints (such as path continuity and density) as optimization penalties. The findings are exploratory in nature and are confined to the computational domain; while the study utilizes proxy indicators to simulate potential textile behaviors, it acknowledges the lack of direct experimental validation of physical fabrication as a current limitation. By framing waste as an outcome of upstream design choices, this paper contributes a methodological perspective. This perspective places biomimetic design thinking as a reflective tool within sustainable and regenerative design practice. It also supports earlier engagement with ecological considerations in textile development. Full article
(This article belongs to the Special Issue Biologically-Inspired Product Development)
Show Figures

Figure 1

22 pages, 589 KB  
Article
Development of a Risk Matrix for Assessing PFAS in Food Packaging
by Katja Wack, Silvia Apprich, Johannes Bergmair and Manfred Tacker
Foods 2026, 15(7), 1183; https://doi.org/10.3390/foods15071183 - 1 Apr 2026
Viewed by 305
Abstract
The minimisation of substances of concern in packaging is a key objective of the European Union’s Packaging and Packaging Waste Regulation (PPWR), complementing existing legislation governing the safety of food contact materials. Per- and polyfluoroalkyl substances (PFAS) present particular challenges due to their [...] Read more.
The minimisation of substances of concern in packaging is a key objective of the European Union’s Packaging and Packaging Waste Regulation (PPWR), complementing existing legislation governing the safety of food contact materials. Per- and polyfluoroalkyl substances (PFAS) present particular challenges due to their persistence, chemical diversity, and documented use in certain food contact materials. Article 5 of the PPWR requires packaging to be designed and manufactured to minimise such substances throughout the life cycle. This study develops a structured, material-based PFAS risk matrix to support compliance screening for food packaging under Article 5. The approach combines scientific evidence on PFAS occurrence, functional applications, and analytical detection with material classification systems used in recyclability assessments. Packaging materials are categorised by their likelihood of PFAS relevance, enabling proportionate prioritisation of efforts. Application of the matrix shows that fibre-based materials with grease- or water-resistant treatments exhibit higher relevance than glass, untreated paper, or polyethylene terephthalate (PET). The framework also clarifies the role of total fluorine (TF) and extractable organic fluorine (EOF) as supportive, material-specific indicators rather than standalone compliance metrics. By integrating PFAS considerations into design, sourcing, and portfolio management, the framework promotes proactive chemical risk governance aligned with circular economy objectives. Full article
(This article belongs to the Section Food Packaging and Preservation)
Show Figures

Figure 1

24 pages, 1742 KB  
Article
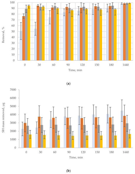
Vegetal Waste as a Sustainable Option to Boost Sorption for the Efficient Removal of Steroid Hormones in Constructed Wetlands
by José Alberto Herrera-Melián, Rayco Guedes-Alonso, Jean Carlos Tite-Lezcano, Michelangelo Fichera, Massimo Del Bubba, Ezio Ranieri, Zoraida Sosa-Ferrera and José Juan Santana-Rodríguez
Sustainability 2026, 18(7), 3395; https://doi.org/10.3390/su18073395 - 31 Mar 2026
Viewed by 185
Abstract
Steroid hormones (SHs) have a high estrogenic potential, and urban wastewater is one of their main ways into the aquatic environment. Constructed wetlands (CWs) are considered one of the most sustainable alternatives for the treatment of wastewater from small communities. However, the use [...] Read more.
Steroid hormones (SHs) have a high estrogenic potential, and urban wastewater is one of their main ways into the aquatic environment. Constructed wetlands (CWs) are considered one of the most sustainable alternatives for the treatment of wastewater from small communities. However, the use of gravel and sand implies a significant environmental impact associated with their extraction and transport. A more sustainable alternative is the use of plant residues, as they are abundant, inexpensive, and readily available, and they can improve the efficiency of hormone removal through sorption. Thus, the sorption of 15 SHs was studied on conventional, mineral substrates (gravel, sand, and volcanic ash) and alternative vegetal wastes, i.e., mulches from giant reed, palm tree, balsa wood, and pine needles. These materials were characterized by determining their Point of Zero Charge (pHPZC), ash content, content of leachable polycyclic aromatic hydrocarbons (PAH) and heavy metals, total surface area (BET), and pore characteristics. Results indicated that SH sorption on the mineral substrates was quite low, in most cases less than 10–15%. However, in the mulches it reached between 50 and 95%, except for corticosteroids (11–43%). The pseudo-second-order kinetics provided the best fit in all cases, with R2 values between 0.97 and 0.9999. Experiments with a contact time of 7 days showed that the palm tree was the only substrate that completely removed the three corticosteroids studied (cortisone, prednisone, and prednisolone). Additionally, a significant correlation was observed between removal due to sorption (%) and log octanol–water partition coefficient (log Kow). Freundlich isotherm provided a higher number of best fits than Langmuir. Lastly, to compare sand with palm mulch under more realistic experimental conditions, four lab-scale CWs (two with palm mulch and two with sand, with/without plants) were studied. The sand-based CWs achieved faster SH percentage removals, while after 24 h, SH mass removals were significantly higher in the palm mulch-based CWs. Full article
(This article belongs to the Special Issue Advancing Innovation in Sustainable Treatment of Water and Wastewater)
Show Figures

Figure 1

20 pages, 4362 KB  
Article
Synthesis, Characterization and Application of Hybrid ZnO Nanoparticles in the Adsorption of Heavy Metals from Aqueous Solutions
by Ghadah M. Al-Senani, Salhah D. Al-Qahtani, Lamia M. Alotaibi, Wajd H. Alsahli, Lujain K. Alanazi, Abeer M. Alshalwi, Noura A. Alhamidi and Ghaday T. Alsubaie
Crystals 2026, 16(4), 231; https://doi.org/10.3390/cryst16040231 - 31 Mar 2026
Viewed by 275
Abstract
Hybrid material-derived adsorbents have demonstrated exceptional efficacy in a variety of fields, including environmental cleanup and manufacturing operations. In this study, zinc oxide nanoparticles modified with carbon (ZnO-C) as hybrid adsorbent materials were synthesized using both expired zinc chloride and corncob extract. Hybrid [...] Read more.
Hybrid material-derived adsorbents have demonstrated exceptional efficacy in a variety of fields, including environmental cleanup and manufacturing operations. In this study, zinc oxide nanoparticles modified with carbon (ZnO-C) as hybrid adsorbent materials were synthesized using both expired zinc chloride and corncob extract. Hybrid ZnO-C adsorbents were employed for the removal of heavy metals, Co(II), and Ni(II) ions, from wastewater via adsorption. Transmission electron microscopy (TEM), scanning electron microscopy (SEM), X-ray diffraction (XRD), Fourier transform infrared spectroscopy (FTIR), and energy dispersive spectroscopy (EDS) were among the methods used to fully characterize the structural and morphological properties. To maximize the adsorption process for every metal ion, kinetic and equilibrium studies were carried out. Results revealed that the ZnO-C material formed crystalline, spherical granules with nanoparticle sizes ranging from 25 nm, embedded within a carbon matrix. Additionally, these spherical zinc oxide particles tended to aggregate into clusters. FTIR analysis indicated that the surface of ZnO-C was rich in hydroxyl (OH) groups and zinc oxide, which play a crucial role in the adsorption mechanism. The capacity of ZnO/CC-NPs to adsorb cobalt and nickel ions from aqueous solutions was investigated, examining the influences of initial ion concentration, pH levels, contact duration, and temperature. The findings highlight the high efficiency of ZnO/CC-NPs as an adsorbent, promoting the reuse of waste materials and supporting environmental sustainability efforts. Full article
Show Figures

Figure 1

17 pages, 1201 KB  
Article
Fruit-Vegetable Food Industry Waste as Biocomponents of Liquid Fuels
by Aneta Sienkiewicz, Małgorzata Kowczyk-Sadowy, Paweł Cwalina, Sławomir Obidziński, Małgorzata Krasowska, Alicja Piotrowska-Niczyporuk and Andrzej Bajguz
Energies 2026, 19(7), 1685; https://doi.org/10.3390/en19071685 - 30 Mar 2026
Viewed by 268
Abstract
This study explores the potential of seeds from fruit and vegetable processing waste as feedstocks for biodiesel biocomponent production. Fatty acid methyl esters (FAMEs), obtained through a transesterification reaction, were extracted using ultrasound-assisted extraction and identified by gas chromatography–mass spectrometry (GC–MS) in selected [...] Read more.
This study explores the potential of seeds from fruit and vegetable processing waste as feedstocks for biodiesel biocomponent production. Fatty acid methyl esters (FAMEs), obtained through a transesterification reaction, were extracted using ultrasound-assisted extraction and identified by gas chromatography–mass spectrometry (GC–MS) in selected ion monitoring (SIM) mode. A total of 31 to 34 individual FAME compounds were identified across all samples. The fatty acid profiles varied both quantitatively and qualitatively depending on the raw material; however, unsaturated FAMEs predominated over saturated ones in all cases. The highest proportions were observed for γ-linolenic acid (C18:3n6), particularly in apple, melon, lemon, and pumpkin seeds. Substantial contributions of oleic acid (C18:1n9c) were found in apple, quince, cherry, and melon seeds, while linolelaidic acid (C18:2n6t) dominated in melon, pumpkin, quince, and cherry seeds. The highest total FAME contents were recorded for apple, melon, lemon, and pumpkin seeds, while the lowest values were observed in apricot and pepper seeds. Among the materials studied, grape seeds proved to be the most promising feedstock, exhibiting a favorable cetane number and a beneficial fatty acid profile characterized by high monounsaturated fatty acid (MUFA) content, low polyunsaturated fatty acid (PUFA) content, and a moderate fraction of saturated fatty acids (SFAs). Plum and peach seeds also showed significant potential, but their higher PUFA levels may compromise oxidative stability and could require antioxidant supplementation or blending with MUFA-rich feedstocks. Full article
Show Figures

Figure 1

17 pages, 3090 KB  
Article
Recovery of Separator from Battery Waste by Supercritical Carbon Dioxide Extraction: Removal of Electrolyte and Electrode Contaminants
by Martin Östergren, Philipp Mikšovsky and Burçak Ebin
Batteries 2026, 12(4), 118; https://doi.org/10.3390/batteries12040118 - 28 Mar 2026
Viewed by 395
Abstract
Hazardous compounds from used batteries pose a great threat to the environment. To prevent pollution and to recover critical materials from battery waste, efficient recycling is required. Until now, battery recycling has focused on the recovery of valuable metals from cathode materials, while [...] Read more.
Hazardous compounds from used batteries pose a great threat to the environment. To prevent pollution and to recover critical materials from battery waste, efficient recycling is required. Until now, battery recycling has focused on the recovery of valuable metals from cathode materials, while organic fractions have often been neglected due to their low material value. New approaches to battery recycling are therefore necessary, where recycling methods based on supercritical carbon dioxide (SC-CO2) extraction show great potential. In this work, a SC-CO2 method was implemented to extract electrolyte solvents for the purification and recovery of a separator waste material (SWM) sorted out from lithium-ion battery (LIB)-based black mass. In addition, two other separation routes (ultrasonic washing and thermal treatment) were used for comparison. Based on the results from the three routes, mass balances revealed the gravimetric composition of the SWM, which includes separator, electrolyte, and electrode powder. The composition of electrolyte solvents was determined via Gas Chromatography-Mass Spectroscopy analysis. Furthermore, the polymeric separator was analyzed using Fourier Transform Infrared Spectroscopy, Thermogravimetric Analysis, and Differential Scanning Calorimetry analysis to evaluate the effects of SC-CO2 extraction on the physicochemical properties. The recovery of electrolyte by the SC-CO2 route is more efficient than the others, with extraction yields of 162 mg of electrolyte per gram of SWM. Moreover, no changes are observed in the analyzed properties of the polymeric separator material due to the SC-CO2 extraction. Thus, the SC-CO2 process proves to be a promising method for an efficient and sustainable recycling of electrolyte solvent and purifying of separator material from LIB waste. Full article
Show Figures

Graphical abstract

19 pages, 4590 KB  
Article
Recovery Potential of Critical Rare Earth Elements from Coal Preparation Tailings: A Case Study of the Abayskaya Mine
by Gulnara Katkeeva, Ilyas Oskembekov, Yerlan Zhunussov, Zhamila Shaike, Baurzhan Kozhabekov, Dilara Gizatullina, Karakat Turebekova and Sultan Kabylkanov
Processes 2026, 14(7), 1040; https://doi.org/10.3390/pr14071040 - 25 Mar 2026
Viewed by 297
Abstract
Coal preparation tailings from the K18 seam of the Abayskaya mine were evaluated as a potential secondary source of critical rare earth elements (REEs). The study showed that REEs are predominantly associated with the mineral fraction of coal; therefore, during beneficiation, approximately 70% [...] Read more.
Coal preparation tailings from the K18 seam of the Abayskaya mine were evaluated as a potential secondary source of critical rare earth elements (REEs). The study showed that REEs are predominantly associated with the mineral fraction of coal; therefore, during beneficiation, approximately 70% of their total content is transferred to flotation tailings. The concentrations of valuable elements in the tailings are as follows (g/t): Li—65; Sc—16; Y—17; Yb—2.5; V—135; and Ti—2293. These values significantly exceed the Clarke values and are comparable to those of some low-grade primary ores, indicating the potential of coal preparation wastes as a technogenic raw material for critical elements. To extract REEs from the resistant aluminosilicate matrix, a fluorine–ammonium sulfate thermochemical activation method was proposed. Using a probabilistic–deterministic experimental design approach, a mathematical model of the process was developed and optimal parameters were determined (400 °C, 120 min, (NH4)2SO4 consumption—140% relative to Al, NH4HF2 consumption—110% relative to Si), providing a feed liberation degree (by Al extraction) of up to 94%. Under optimal conditions, high leaching efficiencies of key elements were achieved: Sc (95%), Y (100%), Yb (100%), and Li (100%). The results demonstrate the significant potential of coal preparation tailings as a secondary resource of rare earth elements and confirm the efficiency of fluorine–ammonium sulfate technology for processing this type of technogenic waste. Full article
(This article belongs to the Section Petroleum and Low-Carbon Energy Process Engineering)
Show Figures

Figure 1

35 pages, 1687 KB  
Review
Cellulose-Based Nanoparticles Processed from Agricultural Waste Biomass—A Review
by Shadrack Mubanga Chisenga, Francis Collins Muga, Olabisi Mariam Okesola, Jones Yengwe, Haibao Liu, Peter Kaluba, Alice Mutiti Mweetwa and Zizikazi Sodzidzi
Nanomaterials 2026, 16(6), 387; https://doi.org/10.3390/nano16060387 - 23 Mar 2026
Viewed by 454
Abstract
The nanoparticles processed from non-edible crop materials and residues have evoked great use in the food and non-food industry. The diversity in agricultural waste biomass and differences in extraction techniques account for variations in end-product properties, and would require examination of waste crop [...] Read more.
The nanoparticles processed from non-edible crop materials and residues have evoked great use in the food and non-food industry. The diversity in agricultural waste biomass and differences in extraction techniques account for variations in end-product properties, and would require examination of waste crop types (source) to determine suitability for the production of cellulose, nanocellulose and graphene particles. This review showed that screening criteria of end-user properties include chemical composition, cellulose contents, morphology, crystallinity, thermal stability, rheology, surface charge and zeta potential. The literature shows that the end-user properties vary with plant source (that is crop type) and extraction techniques. In this review, the cellulose content and percentage crystallinity are primary parameters for selecting agricultural waste biomass for the production of nanocellulose and nanofibrils. Additionally, zeta potential and surface charge can determine polymer interaction for suitability in industrial applications. Moreover, nanocellulose and biochar were found to have various industrial applications as ingredients in the production of food packaging including active packaging, rheological modifiers and thickeners. Pyrolysis is the eminent strategy for the transformation of agricultural waste into biochar-derived nanoparticles and carbon-rich materials. Full article
(This article belongs to the Section Nanocomposite Materials)
Show Figures

Graphical abstract

24 pages, 2446 KB  
Article
Upcycling Tomato Harvest and Processing Residues into Polyphenol-Enriched Cellulosic Films with Tunable Antioxidant and UV-Blocking Properties
by Sarmad Ahmad Qamar, Simona Piccolella, Raffaele Raimondo and Severina Pacifico
Foods 2026, 15(6), 1067; https://doi.org/10.3390/foods15061067 - 18 Mar 2026
Viewed by 280
Abstract
The development of bio-based functional materials through the upcycling of agri-food residues represents a sustainable strategy to reduce environmental impact and promote circular economy. This study achieved valorization by combining two tomato by-products: peels exhausted after supercritical fluid extraction and harvest residues mainly [...] Read more.
The development of bio-based functional materials through the upcycling of agri-food residues represents a sustainable strategy to reduce environmental impact and promote circular economy. This study achieved valorization by combining two tomato by-products: peels exhausted after supercritical fluid extraction and harvest residues mainly composed of stems and field wastes. Polyphenol-rich extract (TPPf) was obtained from peels through ultrasound-assisted maceration and solid-phase extraction, while cellulose from tomato harvest residues (THRs) was converted into carboxymethyl cellulose (THR-CMC, degree of substitution 0.76), as confirmed by structural analyses. Functional bioplastic films were prepared by solvent casting THR-CMC, plasticized with glycerol, and enriched with different TPPf concentrations (0–100 mg/100 mL). Increasing TPPf content enhanced mechanical strength and UV-blocking efficiency, while moderate loading improved moisture barrier properties. The films exhibited notable antioxidant activity (ABTS, DPPH assays) and biodegradability, demonstrating biofunctional performance suitable for food packaging. This integrated valorization strategy highlights the potential of combining agricultural and industrial tomato residues to develop sustainable, biodegradable, and active packaging materials, supporting waste reduction and circular bioeconomy objectives. Full article
Show Figures

Figure 1

16 pages, 1362 KB  
Article
Cannabis sativa L. Phytoremediation of Heavy Metal Soil Contamination, Followed by Biomass Valorization
by Giulio Picchi, Arianna Callegari, Andrea G. Capodaglio, Tania Martellini, Fabio Masi, Giovanni Mastrolonardo, Marco Nocentini, Chiara Sarti and Dhanalakshmi Vadivel
Sustainability 2026, 18(6), 2926; https://doi.org/10.3390/su18062926 - 17 Mar 2026
Viewed by 366
Abstract
Soil heavy metal contamination poses a major environmental threat, negatively impacting ecosystems, agricultural productivity, and human health. Phytoremediation offers eco-sustainable alternatives to conventional remediation techniques by employing plant species capable of extracting and stabilizing pollutants. This study assesses the potential of Cannabis sativa [...] Read more.
Soil heavy metal contamination poses a major environmental threat, negatively impacting ecosystems, agricultural productivity, and human health. Phytoremediation offers eco-sustainable alternatives to conventional remediation techniques by employing plant species capable of extracting and stabilizing pollutants. This study assesses the potential of Cannabis sativa L. var. ‘Carmagnola’ for the remediation of Pb, Cr, Cu, and Ni from four different growth substrates. This species was selected for its high biomass yield, tolerance to toxic environments, and capacity for heavy metal accumulation. Experimental results showed that the composition of the growing substrate significantly affected HM uptake, with higher accumulation occurring in less compact mixed substrates. HM removal from contaminated growth substrates varied between 55 and 75% for Cr, 60–78% for Ni, 32–86% for Cu and 43–84% for Pb after four months of growth in a greenhouse environment. In addition to pollutant removal efficiency, the study explored thermochemical harvested biomass post-processing via pyrolysis in order to produce biochar, a material with recognized agronomic beneficial properties and positive environmental value. Biochar generated from harvested biomass after phytoremediation tests showed residual HM content lower than the applicable EU thresholds for agricultural soil amendment. Integrating bioremediation with biochar production can promote a circular bioeconomy approach to environmental restoration, by transforming contaminated residual biomass into a useful resource rather than waste. These findings support the feasibility potential of coupling C. sativa phytoremediation and biochar production as an environmentally sustainable strategy for large-scale remediation of heavy metal-contaminated soils. Full article
Show Figures

Figure 1

Back to TopTop