Sign in to use this feature.

Years

Between: -

Subjects

remove_circle_outline
remove_circle_outline
remove_circle_outline
remove_circle_outline
remove_circle_outline
remove_circle_outline
remove_circle_outline
remove_circle_outline
remove_circle_outline

Journals

Article Types

Countries / Regions

Search Results (28)

Search Parameters:
Keywords = extractable humic-like substances

Order results
Result details
Results per page
Select all
Export citation of selected articles as:
16 pages, 1612 KB  
Article
Evaluation of the Resource Utilization Potential of Capsicum Residue for Sustainable Industrial Capsaicin Extraction
by Zhifeng Hu, Shijiao Li, Tianxue Yang, Dongyang Li, Xiaowei Wang, Yuxin Chen, Zhe Zhang, Zhiliang Yao, Dayang Yu, Shi Cheng, Yilin Wang and Jiaomei Liu
Sustainability 2025, 17(22), 10303; https://doi.org/10.3390/su172210303 - 18 Nov 2025
Viewed by 373
Abstract
Capsicum residue generated from industrial capsaicin extraction is rich in nutrients and represents a significant fraction of solid waste in the food processing industry. Despite its potential value, limited efforts have been devoted to its resource recovery, leading to considerable resource loss and [...] Read more.
Capsicum residue generated from industrial capsaicin extraction is rich in nutrients and represents a significant fraction of solid waste in the food processing industry. Despite its potential value, limited efforts have been devoted to its resource recovery, leading to considerable resource loss and environmental burdens. This study systematically evaluates the applicability of existing food waste recycling technologies for capsicum residue and assesses its valorization potential through comprehensive characterization. The results indicate that capsicum residue holds promise as a feedstock for pectin extraction and as a component in animal feed. Regarding anaerobic fermentation for acid production, the maximum volatile fatty acids (VFAs) yield and VFAs/SCOD ratio reached 462.09 mg·L−1 and 3.16%, respectively, suggesting moderate potential for acidogenic conversion but limited suitability for methanogenesis. Fluorescence spectroscopy of dissolved organic matter revealed that microbial humic-like substances (C1) were the dominant fluorophore, accounting for 42.64% of the total fluorescence, followed by terrestrial humic-like (C2, 19.28%), fulvic-like (C3, 19.12%), and tryptophan-like (C4, 18.95%) components. The favorable C/N ratio of amino acids and humic substances supports the feasibility of composting. Additionally, trace levels of residual capsaicin may confer antibacterial benefits and enhance soil fertility, further supporting the potential of capsicum residue as a value-added resource. Full article
(This article belongs to the Special Issue Research on Resource Utilization of Solid Waste)
Show Figures

Figure 1

20 pages, 2299 KB  
Article
Valorization of Waste Mineral Wool and Low-Rank Peat in the Fertilizer Industry in the Context of a Resource-Efficient Circular Economy
by Marta Huculak-Mączka, Dominik Nieweś, Kinga Marecka and Magdalena Braun-Giwerska
Sustainability 2025, 17(15), 7083; https://doi.org/10.3390/su17157083 - 5 Aug 2025
Viewed by 752
Abstract
This study aims to evaluate eco-innovative solutions in the fertilizer industry that allow for waste valorization in the context of a resource-efficient circular economy. A comprehensive reuse strategy was developed for low-rank peat and post-cultivation horticultural mineral wool, involving the extraction of valuable [...] Read more.
This study aims to evaluate eco-innovative solutions in the fertilizer industry that allow for waste valorization in the context of a resource-efficient circular economy. A comprehensive reuse strategy was developed for low-rank peat and post-cultivation horticultural mineral wool, involving the extraction of valuable humic substances from peat and residual nutrients from used mineral wool, followed by the use of both post-extraction residues to produce organic–mineral substrates. The resulting products/semifinished products were characterized in terms of their composition and properties, which met the requirements necessary to obtain the admission of this type of product to the market in accordance with the Regulation of the Minister for Agriculture and Rural Development of 18 June 2008 on the implementation of certain provisions of the Act on fertilizers and fertilization (Journal of Laws No 119, item 765). Elemental analysis, FTIR spectroscopy, and solid-state CP-MAS 13C NMR spectroscopy suggest that post-extraction peat has a relatively condensed structure with a high C content (47.4%) and a reduced O/C atomic ratio and is rich in alkyl-like matter (63.2%) but devoid of some functional groups in favor of extracted fulvic acids. Therefore, it remains a valuable organic biowaste, which, in combination with post-extraction waste mineral wool in a ratio of 60:40 and possibly the addition of mineral nutrients, allows us to obtain a completely new substrate with a bulk density of 264 g/m3, a salinity of 7.8 g/dm3 and a pH of 5.3, with an appropriate content of heavy metals and with no impurities, meeting the requirements of this type of product. A liquid fertilizer based on an extract containing previously recovered nutrients also meets the criteria in terms of quality and content of impurities and can potentially be used as a fertilizing product suitable for agricultural crops. This study demonstrates a feasible pathway for transforming specific waste streams into valuable agricultural inputs, contributing to environmental protection and sustainable production. The production of a new liquid fertilizer using nutrients recovered from post-cultivation mineral wool and the preparation of an organic–mineral substrate using post-extraction solid residue is a rational strategy for recycling hard-to-biodegrade end-of-life products. Full article
Show Figures

Figure 1

27 pages, 5110 KB  
Article
Characterization of the Differences in Dissolved Organic Matter (DOM) Adsorbed on Five Kinds of Microplastics Using Multiple Methods
by Xianshu Fu, Xiangliang Pan, Jun Chen, Mingzhou Zhang, Zihong Ye and Xiaoping Yu
Molecules 2025, 30(7), 1586; https://doi.org/10.3390/molecules30071586 - 2 Apr 2025
Cited by 2 | Viewed by 1971
Abstract
Microplastics (MPs) are ubiquitous in aquatic environments, soils, and beach sediments, demonstrating a remarkable ability to adsorb dissolved organic matter (DOM). Although there are methods for extracting DOM from water, the approaches for directly extracting DOM from microplastics have not been thoroughly investigated, [...] Read more.
Microplastics (MPs) are ubiquitous in aquatic environments, soils, and beach sediments, demonstrating a remarkable ability to adsorb dissolved organic matter (DOM). Although there are methods for extracting DOM from water, the approaches for directly extracting DOM from microplastics have not been thoroughly investigated, and the characterization of DOM adsorbed on microplastics is also insufficient. In this study, five different types of microplastic samples were collected from each of five environmental media (water and sediment), and finally 25 samples were obtained. This paper comparatively assessed the extraction efficiency of DOM from MPs with various solvents by using total organic carbon (TOC), culminating in the development of a sodium pyrophosphate-NaOH solution extraction method optimized for DOM. The morphology, material and environmental medium of microplastics were the three primary factors affecting the adsorption of DOM on microplastics, with the highest enrichment ratio of 1.4–1.8 times for extruded polyethylene microplastics (EPE-MPs) characterized by their porous structure in the flowing water environment. The molecular weight of DOM adsorbed on microplastics showed a multi-modal distribution pattern with great dissimilarities among the different environmental media. Gel permeation chromatography (GPC) indicated that the weight-average molecular weight (Mw) of DOM was 2750–4552 Da for river MPs, 2760–5402 Da for Qiantang River MPs, 1233–5228 Da for East China Sea MPs, 440–7302 Da for soil sediment MPs and 438–6178 Da for beach sediment MPs, respectively. Excitation-emission matrix-parallel factor analysis (EEM-PARAFAC) identified that tyrosine-like substances with high excitation in region IV and low excitation in region I were predominantly adsorbed on MPs, followed by tryptophan-like substances with low excitation in region II and protein-like substances in region IV, while humic- and fulvic-like substances in regions V and III, respectively, exhibited the least adsorption affinity. The findings underscored the critical need to comprehensively consider the interactions between MPs and DOM and their environmental impacts in pollution control strategies. Full article
Show Figures

Figure 1

23 pages, 2927 KB  
Article
A Correlation-Based Approach for Predicting Humic Substance Bioactivity from Direct Compost Characterization
by Ana Catarina Silva, Pedro Rocha, Patrícia Valderrama, Juan Antelo, Dulce Geraldo, Maria Fernanda Proença, Sarah Fiol and Fátima Bento
Molecules 2025, 30(7), 1511; https://doi.org/10.3390/molecules30071511 - 28 Mar 2025
Cited by 2 | Viewed by 861
Abstract
The efficient characterization of compost quality is essential for optimizing its application in agriculture and soil improvement. In this study, a correlation-based approach was employed to evaluate relationships between physicochemical properties, structural features, and reactivity indicators of compost extracts—fulvic acid-like (FA-L), humic acid-like [...] Read more.
The efficient characterization of compost quality is essential for optimizing its application in agriculture and soil improvement. In this study, a correlation-based approach was employed to evaluate relationships between physicochemical properties, structural features, and reactivity indicators of compost extracts—fulvic acid-like (FA-L), humic acid-like (HA-L), and dissolved organic matter (DOM)—and their respective bulk composts. The goal was to identify key compost parameters that can serve as reliable predictors of humic substance composition and bioactivity, thereby reducing reliance on labor-intensive humic substance extractions. A comprehensive set of elemental, spectroscopic (UV-vis, ATR-FTIR, 1H-NMR), and thermal (TGA-DSC) analyses were conducted to assess the composition and stability of the extracts. Strong correlations were found between compost oxidation state (Coxi/C), cation exchange capacity (CEC), thermal stability, and the structural characteristics of humic substances-like (HS-L) fractions, suggesting that direct compost characterization can effectively predict humic substance reactivity and agronomic potential. The findings also align with a previously developed Compost Quality Index (CQI), reinforcing the functional role of humic substances in soil fertility and nutrient retention. By establishing a simplified yet robust compost assessment framework, this study advances the potential for efficient, cost-effective evaluation methodologies for compost quality. Full article
(This article belongs to the Section Physical Chemistry)
Show Figures

Graphical abstract

21 pages, 7287 KB  
Article
Novel Mesoporous Cetyltrimethylammonium Bromide-Modified Magnetic Nanomaterials for Trace Extraction and Analysis of Bisphenol Endocrine Disruptors in Diverse Liquid Matrices
by Yichao Gong, Yajing Guo, Qizhi Sun and Pengyan Liu
Molecules 2025, 30(3), 628; https://doi.org/10.3390/molecules30030628 - 31 Jan 2025
Cited by 1 | Viewed by 1219
Abstract
In this study, Fe3O4 was used as a magnetic core, combined with the characteristics of mesoporous adsorbents, to prepare a novel magnetic mesoporous composite material named MMC. Cetyltrimethylammonium bromide (CTAB) and tetraethyl orthosilicate (TEOS) were used as functional monomers, and [...] Read more.
In this study, Fe3O4 was used as a magnetic core, combined with the characteristics of mesoporous adsorbents, to prepare a novel magnetic mesoporous composite material named MMC. Cetyltrimethylammonium bromide (CTAB) and tetraethyl orthosilicate (TEOS) were used as functional monomers, and a simple etching method was employed. The resulting MMC was used as an effective adsorbent for the magnetic solid-phase extraction of trace residues of six bisphenol endocrine disruptors (bisphenol A, bisphenol B, bisphenol C, bisphenol F, bisphenol AF, and bisphenol AP) from environmental water and food samples. Characterization results indicated that the surface of MMC exhibited a distinct wormhole-like mesoporous structure, with the successful incorporation of CTAB functional groups and Si-OH. The crystal structure of Fe3O4 remained stable throughout the preparation process. Mapping analysis confirmed the uniform distribution of CTAB functional groups without aggregation and demonstrated high magnetic intensity, enabling rapid separation and collection under an external magnetic field. Extraction and elution conditions were optimized, and tests were conducted for interfering substances such as humic acid, glucose, fructose, and sucrose under optimal parameters. The results showed that recovery rates were not significantly affected. The quality evaluation of the method demonstrated good linearity, a broad linear range, low limits of detection and quantification, and satisfactory recovery rates. Blank and spiked analyses were conducted for seven real samples, including environmental water (rivers and lakes) and food samples (dairy, juice, and carbonated beverages), with satisfactory spiked recovery rates achieved. Thus, the developed analytical method enables the analysis and detection of trace residues of various bisphenol pollutants in complex matrices, such as environmental water and food samples, providing a valuable reference for trace analysis of similar contaminants in complex matrices. Full article
Show Figures

Graphical abstract

22 pages, 3042 KB  
Article
The Effects of the Addition of Secondary Phyllosilicate Minerals on the Decomposition Process and Products of Maize Straw in Black Soil
by Qi Zhao, Hongbin Wang, Chenyu Zhao, Jinhua Liu, Ning Huang, Biao Sui, Luze Yang, Nan Wang and Xingmin Zhao
Agronomy 2025, 15(2), 316; https://doi.org/10.3390/agronomy15020316 - 26 Jan 2025
Viewed by 1066
Abstract
The interaction between secondary phyllosilicate minerals and straw is crucial for preserving soil organic carbon (SOC) and fertility. However, the specific mechanism through which these minerals affect straw decomposition and its products in northeast China’s black soil remains unclear. In this study, montmorillonite, [...] Read more.
The interaction between secondary phyllosilicate minerals and straw is crucial for preserving soil organic carbon (SOC) and fertility. However, the specific mechanism through which these minerals affect straw decomposition and its products in northeast China’s black soil remains unclear. In this study, montmorillonite, illite, and vermiculite were mixed with quartz sand and maize straw, inoculated with microbes, and incubated to analyze the effects of different secondary phyllosilicate minerals on the degradation of organic components in maize straw and the formation of soil humus. The results showed that montmorillonite significantly facilitated the decomposition of maize straw hemicellulose and lignin, which decreased by 95.85% and 76.38%, respectively. Conversely, vermiculite decelerated hemicellulose and lignin degradation. Regarding soil organic acids, lactic acid and malic acid were predominant, with the highest content being found after the montmorillonite treatment. Montmorillonite was the most effective in enhancing extractable humic-like substances, which increased by 71.68%. Montmorillonite increased the content of G0 (water dispersion group), G1 (sodium ion dispersion group), and G2 (sodium grinding dispersion group) complexes. The addition of secondary phyllosilicate minerals increased the organic carbon (OC) content in the G0, G1, and G2 samples, with montmorillonite demonstrating the most pronounced effect. Secondary phyllosilicate minerals increased the abundance of fungi, particularly Ascomycota, with the highest abundance being found after the montmorillonite treatment. In conclusion, our results indicated that montmorillonite facilitated the decomposition of lignocellulose in maize straw, enhanced the accumulation of humus, and promoted the formation of organic–mineral complexes. These findings provide valuable insights into the interaction between secondary phyllosilicate minerals and maize straw and have important implications for improving the quality of black soil in northeast China. Full article
(This article belongs to the Section Soil and Plant Nutrition)
Show Figures

Figure 1

20 pages, 2640 KB  
Article
Humic Substances from Waste-Based Fertilizers for Improved Soil Fertility
by Angela Maffia, Federica Marra, Francesco Canino, Santo Battaglia, Carmelo Mallamaci, Mariateresa Oliva and Adele Muscolo
Agronomy 2024, 14(11), 2657; https://doi.org/10.3390/agronomy14112657 - 11 Nov 2024
Cited by 11 | Viewed by 3124
Abstract
This research explores how different organic waste transformation methods influence the production of humic substances (HSs) and their impact on soil quality. Using olive and orange wastes as substrates, the study compares vermicomposting, composting, and anaerobic digestion processes to determine which method produces [...] Read more.
This research explores how different organic waste transformation methods influence the production of humic substances (HSs) and their impact on soil quality. Using olive and orange wastes as substrates, the study compares vermicomposting, composting, and anaerobic digestion processes to determine which method produces the most humic-substance-rich products. The characterization of HSs in each product included analyses of total organic carbon (TOC), humic and fulvic acid content, humification rate, humification degree, and E4/E6 ratio, with HSs extracted using potassium hydroxide (KOH) and analyzed via Diffuse Reflectance Infrared Fourier-Transform (DRIFT) spectroscopy to assess structural complexity. The results revealed that the chemical composition of the input materials significantly influenced the transformation dynamics, with orange by-products exhibiting a higher humification rate and degree. Vermicomposting emerged as the most efficient process, producing fertilizers with superior humic content, greater microbial biodiversity, and enhanced cation exchange capacity, thus markedly improving soil quality. Composting also contributed to the stabilization of organic matter, albeit less effectively than vermicomposting. Anaerobic digestion, by contrast, resulted in products with lower levels of HSs and reduced nutrient content. Aerobic processes, particularly vermicomposting, demonstrated the most rapid and effective transformation, producing structurally complex, stable humus-like substances with pronounced benefits for soil health. These findings underscore vermicomposting as the most sustainable and efficacious approach for generating HS-rich organic fertilizers, presenting a powerful alternative to synthetic fertilizers. Furthermore, this study highlights the potential of organic waste valorization to mitigate environmental pollution and foster circular economy practices in sustainable agriculture. Full article
Show Figures

Figure 1

14 pages, 2486 KB  
Article
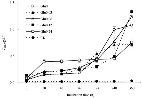
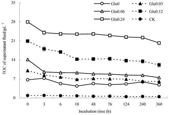
Changes in the Glucose Concentration Affect the Formation of Humic-like Substances in Polyphenol–Maillard Reactions Involving Gibbsite
by Nan Wang, Yongquan Cui, Yanhui Zhou, Pingxin Liu, Mingshuo Wang, Haihang Sun, Yubao Huang and Shuai Wang
Molecules 2024, 29(9), 2115; https://doi.org/10.3390/molecules29092115 - 3 May 2024
Cited by 4 | Viewed by 2381
Abstract
The polyphenol–Maillard reaction is considered one of the important pathways in the formation of humic-like substances (HLSs). Glucose serves as a microbial energy source that drives the humification process. However, the effects of changes in glucose, particularly its concentration, on abiotic pathways remain [...] Read more.
The polyphenol–Maillard reaction is considered one of the important pathways in the formation of humic-like substances (HLSs). Glucose serves as a microbial energy source that drives the humification process. However, the effects of changes in glucose, particularly its concentration, on abiotic pathways remain unclear. Given that the polyphenol–Maillard reaction requires high precursor concentrations and elevated temperatures (which are not present in soil), gibbsite was used as a catalyst to overcome energetic barriers. Catechol and glycine were introduced in fixed concentrations into a phosphate-buffered solution containing gibbsite using the liquid shake-flask incubation method, while the concentration of glucose was controlled in a sterile incubation system. The supernatant fluid and HLS components were dynamically extracted over a period of 360 h for analysis, thus revealing the influence of different glucose concentrations on abiotic humification pathways. The results showed the following: (1) The addition of glucose led to a higher degree of aromatic condensation in the supernatant fluid. In contrast, the supernatant fluid without glucose (Glu0) and the control group without any Maillard precursor (CK control group) exhibited lower degrees of aromatic condensation. Although the total organic C (TOC) content in the supernatant fluid decreased in all treatments during the incubation period, the addition of Maillard precursors effectively mitigated the decreasing trend of TOC content. (2) While the C content of humic-like acid (CHLA) and the CHLA/CFLA ratio (the ratio of humic-like acid to fulvic-like acid) showed varying increases after incubation, the addition of Maillard precursors resulted in a more noticeable increase in CHLA content and the CHLA/CFLA ratio compared to the CK control group. This indicated that more FLA was converted into HLA, which exhibited a higher degree of condensation and humification, thus improving the quality of HLS. The addition of glycine and catechol without glucose or with a glucose concentration of 0.06 mol/L was particularly beneficial in enhancing the degree of HLA humification. Furthermore, the presence of glycine and catechol, as well as higher concentrations of glucose, promoted the production of N-containing compounds in HLA. (3) The presence of Maillard precursors enhanced the stretching vibration of the hydroxyl group (–OH) of HLA. After the polyphenol–Maillard reaction of glycine and catechol with glucose concentrations of 0, 0.03, 0.06, 0.12, or 0.24 mol/L, the aromatic C structure in HLA products increased, while the carboxyl group decreased. The presence of Maillard precursors facilitated the accumulation of polysaccharides in HLA with higher glucose concentrations, ultimately promoting the formation of Al–O bonds. However, the quantities of phenolic groups and phenols in HLA decreased to varying extents. Full article
Show Figures

Graphical abstract

18 pages, 3072 KB  
Article
Pedodiversity and Organic Matter Dynamics in the North Apennines (Italy): Relationships among Soil Types, Biodiversity, and Ecological Functionality
by Livia Vittori Antisari, Mauro De Feudis, William Trenti, Gloria Falsone, Federico Puliga, Alessandra Zambonelli, Giulia Tabanelli and Fausto Gardini
Forests 2024, 15(2), 353; https://doi.org/10.3390/f15020353 - 11 Feb 2024
Viewed by 1908
Abstract
Pedodiversity is generally neglected in studies concerning soil organic carbon (SOC). Therefore, this investigation aimed to explore the effect of soil types on the following: (1) soil processes related to organic matter (OM) dynamics along the profile; and (2) the microbial community and [...] Read more.
Pedodiversity is generally neglected in studies concerning soil organic carbon (SOC). Therefore, this investigation aimed to explore the effect of soil types on the following: (1) soil processes related to organic matter (OM) dynamics along the profile; and (2) the microbial community and functionality within the uppermost horizon. Humic Dystrudepts (HD), Typic Dystrudepts (TD), and Humic Lithic Dystrudepts (HLD) were selected in beech forests of the Apennine ridge in the Emilia-Romagna Region (Italy). Soils were sampled by horizons until parent material, and physico-chemical and functional analyses were performed. The results showed that both HD and HLD soils had a higher SOC accumulation than TD, particularly within the deeper horizons. Such accumulation might be due to the lower turnover rate of soil OM forms, namely fulvic acid-like substances, humic acid-like substances, and non-extractable OM. Noteworthy, the A horizons showed slight differences in SOC among the soil types, suggesting similar SOC decomposition processes. This fact was confirmed by the lack of differences in microbial DNA-based diversity and functionality. This study highlighted the importance of combining pedodiversity and microbial diversity for a wider perspective on SOC dynamics. Full article
Show Figures

Figure 1

12 pages, 3800 KB  
Article
Characterization of Dissolved Organic Matter Released from Aged Biochar: A Comparative Study of Two Feedstocks and Multiple Aging Approaches
by Yan Yue, Leqi Xu, Guitong Li, Xiang Gao and Hongfang Ma
Molecules 2023, 28(11), 4558; https://doi.org/10.3390/molecules28114558 - 5 Jun 2023
Cited by 16 | Viewed by 2886
Abstract
Dissolved organic matter (DOM) plays important roles in environmental ecosystems. While many studies have explored the characteristics of aged biochar, limited information is available about the properties of DOM derived from aged biochar. In this study, biochar obtained from maize stalk and soybean [...] Read more.
Dissolved organic matter (DOM) plays important roles in environmental ecosystems. While many studies have explored the characteristics of aged biochar, limited information is available about the properties of DOM derived from aged biochar. In this study, biochar obtained from maize stalk and soybean straw were aged using farmland or vegetable-soil solution, as well as soil solution containing hydrogen peroxide (H2O2). Chemical composition of the extracted DOM from the aged biochar was analyzed via excitation–emission matrix coupled with fluorescence regional integration (FRI) and parallel factor analysis (PARAFAC). Obtained results showed that biochar aged with H2O2-enriched soil solution had higher water-soluble organic carbon, ranging from 147.26–734.13% higher than the controls. FRI analysis revealed fulvic and humic-like organics as the key components, with a considerable increase of 57.48–235.96% in the humic-like component, especially in soybean-straw-aged biochar. PARAFAC identified four humic-like substance components. Concurrently, the aromaticity and humification of the aged-biochar-derived DOM increased, while the molecular weight decreased. These findings suggest that DOM derived from aged biochar, with a high content of humic-like organics, might impact the mobility and toxicity of pollutants in soil. Full article
(This article belongs to the Collection Recycling of Biomass Resources: Biofuels and Biochemicals)
Show Figures

Figure 1

15 pages, 2832 KB  
Article
Characteristics of Soil DOM and Its Effect on the Transformation of Potentially Toxic Elements (PTE) Forms under Organic Fertilizer Return Conditions
by Hongwei Pan, Lili Shi, Xin Liu, Hongjun Lei, Jie Yu and Guang Yang
Agronomy 2023, 13(3), 630; https://doi.org/10.3390/agronomy13030630 - 22 Feb 2023
Cited by 6 | Viewed by 2719
Abstract
In order to explore the effects of the composition and structure of soil’s dissolved organic matter (DOM) and its electron transfer capacity (ETC) on the bioavailability of the potential toxic elements chromium (Cr), lead (Pb) and cadmium (Cd) after the application of decomposed [...] Read more.
In order to explore the effects of the composition and structure of soil’s dissolved organic matter (DOM) and its electron transfer capacity (ETC) on the bioavailability of the potential toxic elements chromium (Cr), lead (Pb) and cadmium (Cd) after the application of decomposed pig manure organic fertilizer, three-dimensional fluorescence spectroscopy (3D-EEMs), parallel factor analysis (PARAFAC) and electrochemical methods were used to analyze the composition characteristics of DOM in soil solution and the changes in the ETC, and the dynamic relationship between the relative content of DOM, ETC and various forms of potential toxic elements was explored by means of a Pearson correlation analysis and redundancy analysis (RDA). Among them, Cr, Pb and Cd were the elements with significant biological toxicity in farmland soil. The results indicated the following: (1) The soil DOM before and after returning the organic fertilizer to the field contained four components: UV and UVA humic-like (C1), tryptophan-like and UVA humic-like (C2), Exogenous and visible humic-like (C3) and tyrosine-like (C4). Humus-like was the main component. (2) After applying organic fertilizer, the relative contents of the DOM humus and tyrosine-like components in the soil increased by 8% and 8.73%, respectively. In this process, the DOM electron-accepting capacity (EAC) and electron-donating capacity (EDC) increased by 39.98% and 27.91%, respectively. (3) The humic-like fraction showed a highly significant positive correlation with ETC (p < 0.01), and the tyrosine-like fraction showed a significant negative correlation with ETC (p < 0.05). (4) The humus-like substance and ETC were positively correlated with the total amount, reducible state and oxidizable state of the potential toxic elements and negatively correlated with the weak acid extracted state and residue state; this showed that the humus-like components and ETC were more helpful for the transformation of the weak acid extracted state to the reducible state, oxidizable state and residue state in the interaction between the DOM components and Cr, Pb and Cd. In summary, the reasonable application of organic fertilizer could improve the relative content of DOM and ETC in soil, inhibit the biological toxicity of potential toxic elements in soil and provide a theoretical basis for the safe use of organic fertilizer. Full article
Show Figures

Figure 1

14 pages, 5545 KB  
Article
Effects of Biochar on the Fluorescence Spectra of Water-Soluble Organic Matter in Black Soil Profile after Application for Six Years
by Liang Jin, Dan Wei, Yan Li, Guoyuan Zou, Lei Wang, Jianli Ding, Yitao Zhang, Lei Sun, Wei Wang, Xingzhu Ma, Huibo Shen, Yuxian Wang, Junqiang Wang, Xinrui Lu, Yu Sun, Xinying Ding, Dahao Li and Dawei Yin
Plants 2023, 12(4), 831; https://doi.org/10.3390/plants12040831 - 13 Feb 2023
Cited by 2 | Viewed by 2750
Abstract
At present, extracting water-soluble organic matter (WSOM) from agricultural organic waste is primarily used to evaluate soil organic matter content in farmland. However, only a few studies have focused on its vertical behavior in the soil profile. This study aims to clarify the [...] Read more.
At present, extracting water-soluble organic matter (WSOM) from agricultural organic waste is primarily used to evaluate soil organic matter content in farmland. However, only a few studies have focused on its vertical behavior in the soil profile. This study aims to clarify the three-dimensional fluorescence spectrum characteristics of the WSOM samples in 0–60 cm black soil profile before and after different chemical fertilizer treatments after six years of fertilization. Fluorescence spectroscopy combined with fluorescence and ultraviolet-visible (UV-Vis) spectroscopies are used to divide four different fertilization types: no fertilization (T0), nitrogen phosphorus potassium (NPK) (T1), biochar (T2), biochar + NPK (T3), and biochar + N (T4) in a typical black soil area. The vertical characteristics of WSOC are also analyzed. The results showed that after six years of nitrogen application, T2 had a significant effect on the fluorescence intensity of Zone II (decreasing by 9.6% in the 0–20 cm soil layer) and Zone V (increasing by 8.5% in the 0–20 cm soil layer). The fluorescent components identified in each treatment group include ultraviolet radiation A humic acid-like substances (C1), ultraviolet radiation C humic acid-like substances (C2), and tryptophan-like substance (C3). As compared with the land with T1, the content of C2 in the 20–60 cm soil layer with T2 was lower, while that of C2 in the surface and subsoil with T3 was higher. In addiiton, there were no significant differences in the contents of C1, C2, and C3 by comparing the soils applied with T3 and T4, respectively. The composition of soil WSOM was found to be significantly influenced by the addition of a mixture of biochar and chemical fertilizers. The addition of biochar alone exerted a positive effect on the humification process in the surface soil (0–10 cm). NPK treatment could stimulate biological activity by increasing biological index values in deeper soil layers (40–50 cm). Nitrogen is the sovereign factor that improves the synergism effect of chemical fertilizer and biochar during the humification process. According to the UV-Vis spectrum and optical index, soil WSOM originates from land and microorganisms. This study reveals the dynamics of WSOC in the 0–60 cm soil layer and the biogeochemical effect of BC fertilizer treatment on the agricultural soil ecosystem. Full article
Show Figures

Figure 1

18 pages, 2552 KB  
Article
Priming Effects of Maillard Reaction Precursors on Rice Straw Decomposition at Different Incubation Temperatures
by Nan Wang, Yuping Zeng, Miao Wang, Linjun Shen, Zhijiang Liu, Long He, Xin Zhao, Hongpeng Guo, Yue Liu and Shuai Wang
Agronomy 2023, 13(1), 230; https://doi.org/10.3390/agronomy13010230 - 12 Jan 2023
Cited by 1 | Viewed by 2267
Abstract
To verify the priming effects of Maillard reaction precursors on the microbial decomposition of rice straw at different incubation temperatures, the method of indoor incubation at a constant temperature was adopted. In the process, the addition of glucose, catechol or glycine solution alone [...] Read more.
To verify the priming effects of Maillard reaction precursors on the microbial decomposition of rice straw at different incubation temperatures, the method of indoor incubation at a constant temperature was adopted. In the process, the addition of glucose, catechol or glycine solution alone or in mixed solution was conducted at incubation temperatures of 10 °C, 15 °C and 28 °C, respectively. The C content of humic-extracted acid (CHLE), humification index (the ratio of C content of humic-like acid to fulvic-like acid, CHLA/CFLA), ∆logK value of humic-like acid (HLA), and C content of humin-like acid (CHLu) were dynamically analyzed at 0, 30, 60, and 90 d, respectively. At the same time, the differences in the atomic ratio and FTIR spectra before and after incubation were systematically analyzed. The results showed that (1) the additions of glucose alone and mixed precursors were both beneficial to increasing the CHLE content at three tested temperatures, especially at two low temperatures (10 °C and 15 °C), and glucose alone manifested the most significant improvement in CHLE. In contrast, following the addition of glycine alone, the CHLE content decreased by 2.4% at 15 °C and 4.6% at 28 °C after incubation. (2) Glucose as the sole precursor was more beneficial to improving the quality of the humic substance (HS) at 28 °C, but only enhanced the condensation degree of HLA molecules at 15 °C. Compared with the results at 15 °C and 28 °C, the HLA molecules had the lowest condensation degree at 10 °C, regardless of whether a single precursor or mixed Maillard precursors were used. (3) After incubation, the amounts of N compounds in the HLA molecules decreased to varying degrees, especially at 28 °C. The O-containing functional groups, such as carboxyl groups, from HLA molecules decreased following the addition of a single precursor, while the mixed precursors resulted in an increase in O-containing functional groups. Increasing the catechol content directly enriched the unsaturated bonds of HLA. With the decomposition of rice straw, regardless of how the precursors were added, the polysaccharide content decreased to different degrees. The decomposition of polysaccharides in HLA was more temperature-sensitive, and an increase in temperature might encourage more polysaccharide consumption. Under each temperature, the molecular structure of HLA was simplified initially and then gradually became complex. Finally, the addition of glucose alone at 15 °C was more favorable for the complexity of HLA molecules, while at 28 °C, it could only alleviate the degree of simplification of the HLA molecular structure to a certain extent. (4) At the three tested temperatures, compared with the CK control, either one precursor or a mixture of three precursors could more effectively promote the decomposition of CHLu. Under the conditions of 10 °C and 15 °C, the addition of mixed precursors was more beneficial to the decomposition of CHLu, causing the CHLu content to decrease by 37.9% and 44.7%, respectively, followed by the addition of glucose alone. Full article
(This article belongs to the Special Issue Innovative Approaches in Agricultural Waste Management)
Show Figures

Figure 1

15 pages, 2364 KB  
Article
Chemical Characteristics of Dark-Brown Humic-like Substances Formed from the Abiotic Condensation of Maillard Precursors with Different Glycine Concentrations
by Nan Wang, Qi Zhang, Weihua Han, Chengxin Bai, Boyang Hou, Yue Liu and Shuai Wang
Agronomy 2022, 12(9), 2199; https://doi.org/10.3390/agronomy12092199 - 15 Sep 2022
Cited by 5 | Viewed by 2773
Abstract
The Maillard reaction is a type of nonenzymic browning process, and it is also an abiotic humification process of sugars, amino acids and phenols catalyzed by δ-MnO2. It is considered to be one of the possible pathways for the formation [...] Read more.
The Maillard reaction is a type of nonenzymic browning process, and it is also an abiotic humification process of sugars, amino acids and phenols catalyzed by δ-MnO2. It is considered to be one of the possible pathways for the formation of humic-like substances (HLS). The change in the ratio of the Maillard precursors inevitably affects the chemical characteristics of HLS, among which the effect of amino acids concentration on the humification pathway and HLS formation has not yet been reported. In view of this, the glucose, glycine and catechol were chosen as tested objects for the present study, and the method of liquid shake-flask culture was adopted. Both catechol and glucose with fixed concentrations were added into a phosphate buffer solution (pH 8.0) containing δ-MnO2, and only the glycine concentration was adjusted in the sterile culture system. The supernatant solution and dark-brown residue were collected dynamically within 360 h through the centrifugation method. The E4/E6 ratio and total organic C (TOC) of the supernatant solution, the C content of the humic-like acid (CHLA), CHLA/CFLA (C content of fulvic-like acid) ratio and FTIR spectra of the dark-brown residue and the E4/E6 ratio and atomic ratio of humic-like acid (HLA) extracted from the dark-brown residue were systematically analyzed to reveal the effect of different glycine concentrations on the abiotic humification pathways and the characteristics of related products from the Maillard reaction under abiotic processes. The results showed that (1) Under the influence of the addition of different glycine concentrations, the structure of organic molecules in the supernatant after culture tended to be simplified, and the addition of three lower concentrations (0, 0.03 and 0.06 mol/L) of glycine made the E4/E6 ratios increase by 100.4%, 57.7% and 33.0%, respectively, and obtained a simpler structure of organic molecules in the supernatant than that of 0.12 and 0.24 mol/L glycine, which made the E4/E6 ratios increase by 5.6% and 18.0%, merely. After culture, the TOC content in the supernatant solution of each treatment decreased to varying degrees, and the addition of Maillard precursors effectively inhibited the loss of TOC in the supernatant solution, especially the addition of glycine at a concentration of 0.06 mol/L, which only reduced the TOC content by 0.1%. (2) The greater the concentration of glycine added, the higher proportion of aromatic C structure existed in the dark-brown residue. O-containing functional groups from the dark-brown residue and δ-MnO2 were bound to each other through hydrogen bonding, and (3) During the culture process, the CHLA treated with the addition of Maillard precursors was significantly higher than that of the CK control. Compared with the result at 0 h, the addition of higher concentrations of glycine (0.12 and 0.24 mol/L) were more conducive to the formation of HLA, making the CHLA increase by 666.2% and 422.7%, which were much more than these results for 256.6%, 282.2% and 360.0% from three concentrations of glycine (0, 0.03 and 0.06 mol/L) at the end of culture. After culture, the structure of HLA molecules treated by the addition of Maillard precursors became more complex, and the overall performance showed that the higher the concentration of added glycine, the more complex the HLA molecules became. Under the coexistence of glucose and catechol, the addition of glycine could promote abiotic condensation and improve the condensation degree of HLA molecules, among which the addition of 0.12 mol/L glycine had the most significant effect. Compared with the CK control, the addition of Maillard precursors could achieve a higher increase in the CHLA/CFLA ratio, which was more beneficial to the improvement of humus quality. Full article
Show Figures

Figure 1

14 pages, 2163 KB  
Article
Effect of Exogenous Glucose at Different Concentrations on the Formation of Dark-Brown Humic-like Substances in the Maillard Reaction Pathway Based on the Abiotic Condensation of Precursors Involving δ-MnO2
by Nan Wang, Qi Zhang, Wanhong Li, Chengxin Bai, Yan Song, Shuai Wang and Zhijiang Liu
Sustainability 2022, 14(18), 11603; https://doi.org/10.3390/su141811603 - 15 Sep 2022
Cited by 8 | Viewed by 3016
Abstract
The Maillard reaction is a type of nonenzymatic browning process and is an important pathway for the formation of humic-like substances (HLSs). Glucose is one of the three crucial precursors for the Maillard reaction, and a change in glucose concentration can inevitably affect [...] Read more.
The Maillard reaction is a type of nonenzymatic browning process and is an important pathway for the formation of humic-like substances (HLSs). Glucose is one of the three crucial precursors for the Maillard reaction, and a change in glucose concentration can inevitably affect the humification pathway, thereby regulating the composition and quality of HLSs. To verify the scientific hypothesis, the method of liquid shake-flask culture was adopted. Both catechol and glycine with fixed concentrations were added to a phosphate buffer including δ-MnO2, and only the concentration of glucose was adjusted in the sterile culture system. The obtained supernatant fluid and dark-brown residue were collected dynamically through the centrifugation method. The E4/E6 ratio and total organic C (TOC) of the supernatant fluid, the humus composition, and FTIR spectra for the dark-brown residue, and the elemental composition of humic-like acid (HLA) extracted from the dark-brown residue were analyzed to reveal the effect of varying glucose concentrations on the abiotic humification pathways for the Maillard reaction and the characteristics of relevant products under abiotic processes. The results reveal that (1) the exogenous addition of glucose at different concentrations simplifies the molecular structure in the supernatant fluid, and the TOC content is decreased to varying degrees, among which the addition of 0.24 mol/L glucose leads to the formation of simpler organic molecules in the supernatant compared to that for the other treatments, and the addition of 0.03 mol/L glucose shows the largest decrease in TOC content; (2) Under the coexistence of glycine and catechol, CHLA treated with the addition of glucose at different concentrations shows an upward trend in the course of the culture, which is significantly higher than that obtained for the CK control. The addition of 0.12 mol/L glucose results in the largest increase in CHLA. During the culture period, the structure of HLA molecules from each treatment first become complex and then gradually become simpler. Finally, the molecular structure of HLA treated with different concentrations of glucose becomes more complex, but the structure of HLA molecules from the CK control tends to be simplified. The addition of glucose can improve the condensation degree of HLA molecules, among which the addition of 0.12 mol/L glucose shows the most significant effect. With increasing exogenous glucose concentration, the number of N-containing compounds in the HLA molecules further decreases, while the number of O-containing functional groups increases. (3) The greater the concentration of glucose added, the higher the proportion of aromatic C structures in the dark-brown residue. During this process, the Mn-O bond lattice vibration of the δ-MnO2 layered structure is greatly enhanced. The organic molecules in the dark-brown residue and δ-MnO2 are bound to each other through intermolecular hydrogen bonding. The CHLA/CFLA ratio for each treatment increases to varying degrees after the culture period, indicating that the addition of glucose is more conducive to the improvement of humus quality than the CK control, among which the addition of 0.12 mol/L glucose shows the best effect. Full article
Show Figures

Figure 1

Back to TopTop