Sign in to use this feature.

Years

Between: -

Subjects

remove_circle_outline
remove_circle_outline
remove_circle_outline
remove_circle_outline
remove_circle_outline
remove_circle_outline
remove_circle_outline
remove_circle_outline
remove_circle_outline

Journals

remove_circle_outline
remove_circle_outline
remove_circle_outline
remove_circle_outline
remove_circle_outline
remove_circle_outline
remove_circle_outline
remove_circle_outline
remove_circle_outline
remove_circle_outline
remove_circle_outline
remove_circle_outline
remove_circle_outline
remove_circle_outline

Article Types

Countries / Regions

remove_circle_outline
remove_circle_outline
remove_circle_outline
remove_circle_outline
remove_circle_outline
remove_circle_outline

Search Results (895)

Search Parameters:
Keywords = explanatory factor analysis

Order results
Result details
Results per page
Select all
Export citation of selected articles as:
27 pages, 17904 KB  
Article
Terrain Complexity and Infrastructure–Carbon Decoupling: Evidence from Sichuan Province, China
by Ziyi Cai, Junjie Mu, Bozhou Pan and Zhiqi Yang
Land 2026, 15(3), 397; https://doi.org/10.3390/land15030397 - 28 Feb 2026
Viewed by 70
Abstract
Against the backdrop of China’s dual carbon goals, understanding how terrain complexity affects the decoupling linkage between infrastructure investment and carbon emissions is crucial for developing differentiated low-carbon strategies. This study focuses on Sichuan Province, a region characterized by significant topographical heterogeneity, to [...] Read more.
Against the backdrop of China’s dual carbon goals, understanding how terrain complexity affects the decoupling linkage between infrastructure investment and carbon emissions is crucial for developing differentiated low-carbon strategies. This study focuses on Sichuan Province, a region characterized by significant topographical heterogeneity, to investigate how terrain constraints influence carbon emission decoupling. We construct a Terrain Constraint Index (TCI) using three indicators (Digital Elevation Model (DEM), Coefficient of Variation of elevation (CV), and Terrain Position Index (TPI)) weighted by a game theory-based combination of entropy and Criteria Importance Through Intercriteria Correlation (CRITIC) methods and employ the Tapio decoupling model combined with group comparison analysis to examine the correlation between terrain complexity and decoupling performance. The key findings are as follows. (1) The TCI exhibits a “high in the west, low in the east” spatial pattern, ranging from 0.151 (Zigong) to 0.591 (Ya’an), with five distinct terrain complexity levels identified. (2) During 2001–2021, good decoupling states (strong + weak decoupling) accounted for 76.8% of all observations, indicating overall improvement in carbon emission efficiency. (3) A monotonic negative association is observed between terrain complexity and decoupling performance: the good decoupling ratio decreases from 82.5% in Low TCI regions to 62.5% in Very High TCI regions, with Mann–Whitney tests showing suggestive differences (raw p < 0.05, though not significant after Bonferroni correction). (4) Average decoupling elasticity increases from 0.182 in Very Low TCI regions to 0.705 in Very High TCI regions, demonstrating that higher terrain complexity is associated with worse decoupling outcomes. (5) Geodetector analysis reveals that infrastructure investment has the highest explanatory power (q = 0.401, p< 0.01), and the interaction between terrain factors and investment shows significant nonlinear enhancement effects (q = 0.544–0.830). These findings suggest that terrain complexity is associated with worse carbon emission decoupling, plausibly through affecting infrastructure investment efficiency, and point to the need for differentiated low-carbon strategies for regions with varying topographical conditions. Full article
32 pages, 12826 KB  
Article
A Sustainability Perspective on the Distribution Characteristics and Driving Mechanisms of Border Towns: A Case Study of the Inner Mongolia Segment of China’s Northern Border
by Liping Sun, Panpan Yan and Lanbei Li
Sustainability 2026, 18(5), 2339; https://doi.org/10.3390/su18052339 - 28 Feb 2026
Viewed by 79
Abstract
As a pivotal hub for the northward advancement of the Belt and Road Initiative and a strategic outpost for national security, the spatial patterns of towns in the border regions of northern Inner Mongolia exert a direct impact on the region’s sustainable development [...] Read more.
As a pivotal hub for the northward advancement of the Belt and Road Initiative and a strategic outpost for national security, the spatial patterns of towns in the border regions of northern Inner Mongolia exert a direct impact on the region’s sustainable development and long-term prosperity. This study focuses on 141 border towns situated along the Inner Mongolia stretch of China’s northern border. By leveraging analytical tools including kernel density analysis, standard deviation ellipse method, and nearest neighbor index analysis, it explores the distinctive characteristics of their spatial distribution. Furthermore, this study applies the Geodetector method to quantify the explanatory power of key influencing factors on the spatial differentiation of these border towns. The findings can be summarized as follows: (1) The border towns along the Inner Mongolia stretch of the northern border displayed a distinct heterogeneous distribution gradient characterized by prominent regional agglomeration and formed a three-tier spatial hierarchy. Specifically, the Bayannur–Hetao Plain Town Cluster served as the primary agglomeration core, supplemented by two secondary clusters, namely the Xing’an League–Southern Greater Khingan Range Town Cluster and the Hulunbuir–Border Port Town Cluster. In contrast, the Alxa League constituted a low-density peripheral belt with sparse town distribution. (2) Factor analysis via Geodetector revealed that the spatial distribution pattern of these border towns was primarily driven by the core mechanism of port-led urbanization. This core driver was synergistically reinforced by secondary factors such as mineral resource endowments, jointly shaping a complex spatial layout that partially transcended natural geographical constraints—a stark contrast to coastal ports, where development is dominated by innate natural geographic advantages. Full article
Show Figures

Figure 1

18 pages, 276 KB  
Article
Coping with Death Among Nurses in Ecuador: A Mixed-Methods Study
by Mónica Alexandra Valdiviezo-Maygua, Abigail Rivas-Lorefice, Alejandro Martínez-Granados, Daniel Puente-Fernández, Concepción Capilla-Díaz and Rafael Montoya-Juárez
Healthcare 2026, 14(5), 603; https://doi.org/10.3390/healthcare14050603 - 27 Feb 2026
Viewed by 92
Abstract
Background/Objectives: Coping with death is an essential yet challenging aspect of nursing. In Ecuador, limited training and cultural factors may influence how nurses face the process of death and dying. This study aimed to explore nurses’ perspectives and highlight the degree of congruence [...] Read more.
Background/Objectives: Coping with death is an essential yet challenging aspect of nursing. In Ecuador, limited training and cultural factors may influence how nurses face the process of death and dying. This study aimed to explore nurses’ perspectives and highlight the degree of congruence between the numerical and discursive data provided by participants. Methods: A sequential explanatory mixed-methods design (QUAN → qual) using questionnaires and qualitative interviews was employed. The quantitative phase included 497 nurses who completed the Bugen Coping with Death Scale and the qualitative phase involved semi-structured interviews with 18 nurses. Quantitative data were analysed descriptively, while qualitative data underwent thematic analysis. Integration occurred at the methodological level—through the building of the qualitative data collection instrument—and at the levels of analysis and interpretation. Results: Nurses demonstrated moderate coping levels on the Bugen Coping with Death Scale. Although many reported being comfortable discussing death, qualitative data revealed substantial emotional distress and limited preparedness—particularly when facing their own mortality or the death of loved ones. Nurses expressed fear of suffering, sadness, and helplessness, especially when caring for dying children or young mothers. Communication with patients and families at the end of life emerged as a major challenge. Spirituality was identified as a key coping resource. Conclusions: Coping with death remains a complex and emotionally demanding process for nurses in Ecuador. Continuous education, emotional support, and training in spiritual and psychological dimensions of care are essential to strengthen nurses’ resilience and enhance the quality of care. Full article
(This article belongs to the Special Issue Application of Qualitative Methods and Mixed Designs in Healthcare)
29 pages, 11021 KB  
Article
Spatiotemporal Evolution Characteristics and Influencing Factors Analysis of Evapotranspiration in the Yellow River Basin from 2001 to 2022
by Zimiao He, Gangxiang Yuan, Zhe Liu, Shilong Hao, Ran Wei, Peiqing Xiao, Lu Zhang, Haoqiang Tong, Huanheng Dou and Yinghong Guo
Sustainability 2026, 18(5), 2280; https://doi.org/10.3390/su18052280 - 27 Feb 2026
Viewed by 76
Abstract
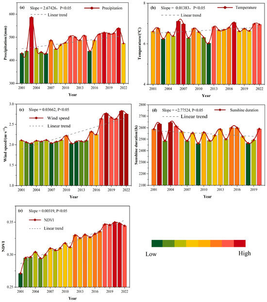
Under global warming, the intensification of the hydrological cycle highlights evapotranspiration (ET) as a key process governing land–atmosphere water and energy exchanges. Understanding the spatiotemporal variability of ET and its driving mechanisms is essential for regional hydrological and ecological studies. Based on MOD16 [...] Read more.
Under global warming, the intensification of the hydrological cycle highlights evapotranspiration (ET) as a key process governing land–atmosphere water and energy exchanges. Understanding the spatiotemporal variability of ET and its driving mechanisms is essential for regional hydrological and ecological studies. Based on MOD16 evapotranspiration products, meteorological data, and multi-source remote sensing datasets, this study systematically analyzed the spatiotemporal characteristics of evapotranspiration (ET) and its driving mechanisms in the Yellow River Basin during 2001–2022 using trend analysis, correlation analysis, and geographical detector methods. Results showed that ET exhibited a significant increasing trend across the YRB (5.29 mm·year−1), with extremely significant increases (p < 0.01) observed in 61.93% of the basin. Among climatic factors, precipitation, temperature, and wind speed exhibited significant increasing trends. Human activities were characterized by a significant increase in NDVI and land-use transitions toward forest and built-up land. Geographical detector results identified NDVI and precipitation as the strongest explanatory factors controlling ET spatial heterogeneity, with distinct driving mechanisms across the upper, middle, and lower reaches. Interaction effects among factors were stronger than individual effects, indicating that the spatial differentiation of ET is jointly controlled by climatic conditions and human activities. These findings empirically characterize the spatial heterogeneity, temporal trends, factor hierarchy, and interaction strength of ET variability at the basin scale and provide basin-scale evidence for understanding hydrological cycle responses under the combined influences of climate change and anthropogenic activities. Full article
Show Figures

Figure 1

21 pages, 10929 KB  
Article
Spatiotemporal Evolution and Influencing Factors of Air Pollutants in the Three Major Urban Agglomerations of the Yellow River Basin
by Yanli Yin, Fan Zhang, Qifan Wu, Linan Sun, Yuanzheng Li, Peng Wang, Zilin Liu, Tian Cui, Zhaomeng Zhou, Runjing Hou, Mingyang Zhang, Jinping Liu and Qingfeng Hu
Atmosphere 2026, 17(3), 242; https://doi.org/10.3390/atmos17030242 - 26 Feb 2026
Viewed by 141
Abstract
Against the backdrop of the ongoing advancement of China’s dual-carbon goals and the coordinated strategy for ecological protection and high-quality development in the Yellow River Basin (YRB), it is important to clarify the spatiotemporal dynamics of air pollution in the densely populated urban [...] Read more.
Against the backdrop of the ongoing advancement of China’s dual-carbon goals and the coordinated strategy for ecological protection and high-quality development in the Yellow River Basin (YRB), it is important to clarify the spatiotemporal dynamics of air pollution in the densely populated urban agglomerations of the mid–lower YRB. Using station-based daily observations from 2015 to 2024, this study examines six major air pollutants (PM2.5, PM10, CO, NO2, O3 and SO2) across the Shandong Peninsula, Central Plains, and Guanzhong Plain urban agglomerations. Sen’s slope estimator and the Mann–Kendall test are applied to quantify long-term trends, while partial correlation analysis and the GeoDetector model are used to diagnose pollutant co-variations and the drivers of spatial heterogeneity. Results indicate that while PM2.5, PM10, NO2, SO2, and CO concentrations significantly decreased, O3 exhibited a statistically significant upward trend (Z = 2.32, p = 0.02), particularly with pronounced summer maxima. PM2.5 shows clear seasonal variation, with elevated levels during winter and reduced levels during summer. Marked spatial contrasts are also observed: elevated particulate matter and CO are concentrated in the northern part of the Central Plains, while higher O3 levels are more evident in coastal areas, particularly within the Shandong Peninsula urban agglomeration. In terms of inter-pollutant relationships, particulate matter and CO are positively associated with SO2, whereas O3 is negatively correlated with NO2. GeoDetector results further suggest that air temperature, wind speed, and topography are the key factors associated with the spatial differentiation of pollutant levels; notably, the interaction between wind speed and temperature provides the greatest explanatory power, with effects that vary seasonally. These findings provide a scientific basis for region-specific air-pollution control and for advancing the co-benefits of carbon reduction and pollution mitigation in the YRB. Full article
(This article belongs to the Special Issue Atmospheric Pollution Dynamics in China)
Show Figures

Figure 1

16 pages, 1688 KB  
Article
Tablet Acceptability in Older Outpatients Undergoing Cancer Chemotherapy
by Eri Hikita, Mami Oosaki, Ayano Suzuki, Maiko Anzai, Nanako Yoshioka, Yoshiyasu Terayama and Takeo Yasu
Geriatrics 2026, 11(2), 25; https://doi.org/10.3390/geriatrics11020025 - 26 Feb 2026
Viewed by 132
Abstract
Background/Objectives: Patient acceptability of oral anticancer drugs is a critical factor that influences treatment in older outpatients receiving cancer chemotherapy and plays a central role in enhancing adherence and treatment effectiveness. Identifying older outpatients receiving cancer chemotherapy who exhibit poor tablet acceptability before [...] Read more.
Background/Objectives: Patient acceptability of oral anticancer drugs is a critical factor that influences treatment in older outpatients receiving cancer chemotherapy and plays a central role in enhancing adherence and treatment effectiveness. Identifying older outpatients receiving cancer chemotherapy who exhibit poor tablet acceptability before initiating oral anticancer therapy and offering alternative treatment options are beneficial. Therefore, we investigated the characteristics of patients with poor tablet acceptability by focusing on the tablet size, geriatric assessment, and polypharmacy. Methods: A questionnaire survey on experiences with tablet medication was conducted among patients who received chemotherapy at the Outpatient Treatment Center of Tokyo Metropolitan Bokutoh Hospital from September 2024 to September 2025. The median values of the long diameter (12 mm) and the combined length, width, and thickness (26 mm) of the tablets reported as acceptable in the questionnaire described in Method 1 were used as cutoff values. Patients whose reported acceptable tablet dimensions were below these median values were classified as “poor tablet acceptability,” whereas those with values above the median were classified as “good tablet acceptability”. Univariate and multivariate logistic regression analysis was performed to identify characteristic factors associated with poor tablet acceptability in older outpatients receiving cancer chemotherapy, with poor tablet acceptability as the dependent variable and patient sex, body mass index, Geriatric 8 score, each item of the Oral Frailty 5-item Checklist, and polypharmacy as explanatory variables. Results: 90 patients completed the questionnaire survey. Female sex and polypharmacy were independent factors associated with poor tablet acceptability in older outpatients receiving cancer chemotherapy. In addition, subjective difficulty in chewing tended to be associated with poor tablet acceptability. Conclusions: This study suggests that assessing polypharmacy and oral function, along with early multidisciplinary intervention before and during oral anticancer therapy, particularly in females, patients taking multiple medications, and those reporting difficulty in chewing, may help maintain tablet acceptability and improve adherence. Full article
(This article belongs to the Section Geriatric Oncology)
Show Figures

Figure 1

20 pages, 1540 KB  
Article
Research on Influence Mechanism of Frontline Miners’ Job Characteristics on Safety Citizenship Behavior in Intelligent Coal Mines
by Ting Lei, Jizu Li, Yong Yan and Yue Yu
Systems 2026, 14(3), 236; https://doi.org/10.3390/systems14030236 - 26 Feb 2026
Viewed by 152
Abstract
Technological innovation is driving the intelligent transformation of China’s coal mining industry, leading to significant changes in miners’ working methods and risk structures. To explore the predictors of miners’ safety citizenship behaviors in an intelligent mining environment, this study introduces regulatory focus based [...] Read more.
Technological innovation is driving the intelligent transformation of China’s coal mining industry, leading to significant changes in miners’ working methods and risk structures. To explore the predictors of miners’ safety citizenship behaviors in an intelligent mining environment, this study introduces regulatory focus based on the JD-R model of miners and proposes safety climate and self-efficacy as additional predictors. Using multiple methods including machine learning, response surface methodology (RSM), and latent profile analysis (LPA), data from a sample of 1168 miners were analyzed. The results indicate that the random forest model performed best, with the lowest prediction error and strongest explanatory power. In the variable importance analysis, safety climate (SAC), promotion focus (PRF), prevention focus (PF), and self-efficacy (SE) were identified as key factors influencing miners’ safety citizenship behaviors. Additionally, four distinct miner work characteristic groups were identified, showing significant differences; the more aligned the job demands and resources, the higher the safety citizenship behavior. This study aims to provide a basis for segmented and classified management in coal mine safety management from the perspective of multi-method evidence and heterogeneity. Full article
Show Figures

Figure 1

22 pages, 4176 KB  
Article
Spatiotemporal Disparities and Key Drivers of Urban Sustainability Capacity in China
by Xia Hong, Xiaoyan Liu and Guangqi Han
Sustainability 2026, 18(5), 2219; https://doi.org/10.3390/su18052219 - 25 Feb 2026
Viewed by 110
Abstract
China’s rapid urbanization has driven a pronounced east–west sustainability schism, where affluent coastal corridors face cumulative pollution pressures, while interior regions grapple with ecological fragility and comparatively weaker governance capacity. To diagnose this divergence, we establish the Environmental Stressor Regulatory Capacity (ESRC) framework, [...] Read more.
China’s rapid urbanization has driven a pronounced east–west sustainability schism, where affluent coastal corridors face cumulative pollution pressures, while interior regions grapple with ecological fragility and comparatively weaker governance capacity. To diagnose this divergence, we establish the Environmental Stressor Regulatory Capacity (ESRC) framework, integrating indicators across industrial emissions, resource intensity, economic innovation, and institutional resilience. Leveraging Chinese spatiotemporal data from 283 prefecture-level cities from 2003 to 2021, our multi-method analysis reveals three core findings: Dagum Gini decomposition indicates intensifying interregional inequality. Kernel density estimation identifies four distinct transition archetypes: eastern high-base consolidation, central relay diffusion, western polarization–correction, and northeastern asymmetric revitalization. Crucially, random forest regression highlights the high predictive salience of Regulatory Capacity for ESRC variation. These findings are consistent with institutional asymmetry as the key explanatory factor for why some Western regions remain locked in spatial traps. These results may inform targeted ecological compensation for critical zones to support SDG advancement with regional equity. Full article
Show Figures

Figure 1

24 pages, 19823 KB  
Article
Identification of the Dominant Rainfall Index and Evolution of Multi-Factor Driving Mechanisms for Landslide Activity in Hong Kong (1990–2024)
by Jiaqi Wu, Zelang Miao, Yaopeng Xiong, Zefa Yang and Xiangqian Shen
Sensors 2026, 26(5), 1430; https://doi.org/10.3390/s26051430 - 25 Feb 2026
Viewed by 194
Abstract
Revealing the spatiotemporal driving mechanisms of landslide activity is fundamental to improving long-term landslide hazard management and risk mitigation in mountainous cities. Focusing on landslide events in Hong Kong from 1990 to 2024, this study develops an integrated framework at the slope-unit scale [...] Read more.
Revealing the spatiotemporal driving mechanisms of landslide activity is fundamental to improving long-term landslide hazard management and risk mitigation in mountainous cities. Focusing on landslide events in Hong Kong from 1990 to 2024, this study develops an integrated framework at the slope-unit scale that combines rainfall index optimization with multi-factor spatiotemporal driving analysis. First, Grey Relational Analysis (GRA) is employed to systematically evaluate the spatiotemporal associations between landslide occurrences and six commonly used rainfall indices, aiming to obtain a consistent and robust representation of rainfall triggering conditions. Subsequently, the Optimal-Parameter Geographical Detector (OPGD) model is introduced to quantitatively assess the explanatory power of individual factors—covering geological, topographic, hydro-meteorological, and human-related variables—as well as their pairwise interactions, thereby revealing the spatiotemporal evolution of landslide driving factors and their multi-factor coupling mechanisms over a 35-year period. The results indicate that the maximum 3-day cumulative rainfall index (RX3day) consistently exhibits the strongest association across different resolution parameter settings and is identified as the dominant rainfall indicator representing dynamic landslide triggering. Geological conditions and topographic factors constitute a stable background controlling the spatial heterogeneity of landslides throughout the entire study period, whereas the explanatory power of RX3day increases markedly after around 2000, gradually emerging as a primary dynamic driving factor of landslide activity. Interaction detection further demonstrates that landslide occurrence is mainly governed by nonlinear enhancement effects among multiple factors, with “geology–topography” and “rainfall–topography/geology” interactions showing the highest explanatory power, and rainfall-related interactions exhibiting continuous strengthening over time. Overall, the spatiotemporal distribution of landslides in Hong Kong is jointly controlled by long-term stable geological–topographic conditions and increasingly intensified extreme rainfall forcing. Full article
Show Figures

Figure 1

21 pages, 1053 KB  
Article
Narcissism and Selfie Addiction Among Young Mexicans: Factorial Structure and Associations
by Anaís Sánchez-Domínguez, Leticia del Carmen Ríos-Rodríguez, Jorge de la Torre y Ramos, Francisco Eneldo López-Monteagudo, José Berumen-Enríquez, Angélica Colín-Mercado, Adrián Gerardo Nevaréz-Esparza and Leonel Ruvalcaba-Arredondo
Adolescents 2026, 6(2), 24; https://doi.org/10.3390/adolescents6020024 - 25 Feb 2026
Viewed by 106
Abstract
Background: The relationship between selfie addiction and narcissism in students at the Universidad Autónoma de Zacatecas (UAZ, Autonomous University of Zacatecas), Mexico, was analysed. The aim of this study was to identify the narcissistic factors associated with students’ selfie taking addiction. Methods: To [...] Read more.
Background: The relationship between selfie addiction and narcissism in students at the Universidad Autónoma de Zacatecas (UAZ, Autonomous University of Zacatecas), Mexico, was analysed. The aim of this study was to identify the narcissistic factors associated with students’ selfie taking addiction. Methods: To identify the relationship between narcissism and selfie addiction, the Narcissistic Personality Inventory (Adapted NPI-40) and the Psychometric Selfie Addiction Scale (PSAS) were used. A structural equation model (SEM) was employed. Exploratory factor analysis (EFA) and confirmatory factor analysis (CFA) were used for structural validation. EFA and CFA confirmed adequate fit and reliability indicators regarding the robust unidimensional structure of the PSAS. Results: The SEM results indicated significant associations between the latent dimensions of the narcissistic traits of superiority, authority, need for admiration, exhibitionism, and exploitation and selfie addiction. This research provides structural and psychometric evidence for the relationship between narcissism and selfie addiction in the Mexican student population, integrating Adapted NPI-40 and PSAS, as well as a parsimonious explanatory structural equation model that demonstrates the relationship between different narcissistic traits and social media practices. Conclusions: The results provide a basis for developing digital literacy interventions for young people and future cross-validations. Full article
(This article belongs to the Section Adolescent Health and Mental Health)
Show Figures

Graphical abstract

26 pages, 5491 KB  
Article
Spatial Distribution Characteristics and Influencing Factors of Intangible Cultural Heritage in the Tarim River Basin of China
by Yuxiang Zhang, Yaofeng Yang and Wenhua Wu
Sustainability 2026, 18(4), 2100; https://doi.org/10.3390/su18042100 - 20 Feb 2026
Viewed by 151
Abstract
River basins are not merely geographical spaces but also cultural-historical ecosystems, where the spatial patterns of Intangible Cultural Heritage (ICH) profoundly reflect the long-term interaction between human and environment, as well as contemporary transformations. While international research on ICH has evolved from conceptual [...] Read more.
River basins are not merely geographical spaces but also cultural-historical ecosystems, where the spatial patterns of Intangible Cultural Heritage (ICH) profoundly reflect the long-term interaction between human and environment, as well as contemporary transformations. While international research on ICH has evolved from conceptual clarification to interdisciplinary theory-building, and spatial quantitative methods have been widely applied to cultural heritage analysis, the spatial patterns, multi-scale structures, and “natural-human” driving mechanisms of ICH in continental arid river basins—particularly in the Tarim River Basin (TRB, China’s largest inland river and a key corridor of the Silk Road)—remain underexplored. To address this gap, this study takes 313 ICH items in the TRB as the research object. It uses ArcGIS 10.8.1 to visualize their spatial distribution and employs an integrated methodology—including global Moran’s I, kernel density estimation (KDE), DBSCAN spatial clustering, and geographical detector (Geodetector)—to systematically reveal their spatial characteristics and influencing factors. The findings indicate that: (1) The distribution of ICH exhibits a multi-scale feature of “global randomness with local clustering”: spatial autocorrelation is not significant at the county level, while at the micro-geographical scale, a dendritic structure characterized by “one axis, three cores, denser in the north and sparser in the south” emerges, which is highly coupled with the river network. DBSCAN clustering further identifies a “mainstem axis–tributary node” cluster system and a relatively high proportion of peripheral “noise” heritage points. (2) Agglomeration patterns vary significantly across different ICH categories, with traditional craftsmanship showing high clustering, while traditional sports, entertainment, and acrobatics display highly fragmented distributions. (3) The study reveals and validates a ternary “Water–Tourism–Urbanization” driving framework that predominantly shapes the spatial heterogeneity of ICH: water resources constitute a fundamental ecological threshold, whereas tourism development and urbanization have emerged as more explanatory social driving forces, with widespread nonlinear enhancement interactions between natural and human factors. This research moves beyond the traditional view of river basins as static cultural “containers,” providing empirical evidence for their dynamic nature as “cultural-ecological co-evolutionary systems.” The proposed ternary framework not only offers a new perspective for understanding the spatial resilience of ICH in arid regions and the potential risks of “spectacularization” and “spatial polarization” amid rapid changes, but also provides a scientific basis for spatial governance, culture-tourism integration, and the formulation of conservation strategies for ICH at the basin scale. Full article
Show Figures

Figure 1

21 pages, 2775 KB  
Article
Assessment of Organisational Innovation: An Analytical Framework for Higher Education Institutions
by María Begoña Peña-Lang and Aurelio Villa
Systems 2026, 14(2), 214; https://doi.org/10.3390/systems14020214 - 18 Feb 2026
Viewed by 169
Abstract
This study analyses the degree of organisational innovation (OI) in Spanish universities and its relationship with institutional competitiveness, proposing a robust analytical framework for its assessment. A mixed, sequential and explanatory design was used, integrating a documentary analysis of R&D indicators, semi-structured interviews [...] Read more.
This study analyses the degree of organisational innovation (OI) in Spanish universities and its relationship with institutional competitiveness, proposing a robust analytical framework for its assessment. A mixed, sequential and explanatory design was used, integrating a documentary analysis of R&D indicators, semi-structured interviews with 15 university managers and the validation of an OI questionnaire applied to 387 engineering students and graduates. Qualitative data were analysed with ATLAS.ti 9 and quantitative data were analysed using confirmatory factor analysis and structural equation modelling (SEM) in AMOS v.27, obtaining satisfactory fit indices (CFI = 0.970; RMSEA = 0.051). The results reveal moderate development of OI (Organisational Innovation), with significant differences between institutions according to their level of digitisation, strategic policies and organisational culture. Creativity emerged as the main predictor of key competencies such as active learning and technological design, while excessive institutional openness had negative effects on self-management. Full article
Show Figures

Figure 1

29 pages, 1782 KB  
Article
Financial Capabilities and Financial Well-Being: The Mediating Role of Financial Resilience
by Arturo Garcìa-Santillàn
J. Risk Financial Manag. 2026, 19(2), 141; https://doi.org/10.3390/jrfm19020141 - 13 Feb 2026
Viewed by 381
Abstract
This study proposes a two-stage structural model integrating financial literacy, education, attitudes, behavior, financial advice, and financial stress as predictors of financial capabilities. It examines the relationship between financial capabilities and financial well-being, highlighting financial resilience as a potential mediator. The main contribution [...] Read more.
This study proposes a two-stage structural model integrating financial literacy, education, attitudes, behavior, financial advice, and financial stress as predictors of financial capabilities. It examines the relationship between financial capabilities and financial well-being, highlighting financial resilience as a potential mediator. The main contribution is positioning financial resilience as a central explanatory mechanism, offering a holistic perspective that addresses theoretical gaps and provides empirical evidence in the context of an emerging economy. A non-experimental, quantitative, cross-sectional design was applied with a sample of 365 university students from Veracruz, Mexico. Data were collected via an online questionnaire and analyzed using exploratory and confirmatory factor analysis, structural equation modeling (SEM), and mediation analysis with bootstrap procedures. The results indicate that financial literacy, education, attitudes, financial advice, and behavior positively influence financial capabilities, with financial advice being the strongest predictor. Financial capabilities strongly affect financial well-being, whereas financial resilience did not mediate this relationship. Limitations include the cross-sectional design and non-probability sampling. Future research could examine additional mediators and moderators and evaluate interventions in diverse socio-economic contexts. Full article
Show Figures

Figure 1

21 pages, 1454 KB  
Article
Investigating Spatial Distribution Characteristics and Influencing Factors of Traditional Villages in Southwest China from the Perspective of Human–Land Relationship
by Qingbo Wang, Shenghua Yu, Xiang Li and Shan Wang
Sustainability 2026, 18(4), 1894; https://doi.org/10.3390/su18041894 - 12 Feb 2026
Viewed by 199
Abstract
Traditional villages in Southwest China serve as vital carriers of ethnic culture, vernacular architecture, and ecological wisdom, embodying centuries of dynamic human–land interaction. This study explores the spatial distribution characteristics and influencing factors of traditional villages in Yunnan, Guizhou, Sichuan, and Chongqing by [...] Read more.
Traditional villages in Southwest China serve as vital carriers of ethnic culture, vernacular architecture, and ecological wisdom, embodying centuries of dynamic human–land interaction. This study explores the spatial distribution characteristics and influencing factors of traditional villages in Yunnan, Guizhou, Sichuan, and Chongqing by applying a human–land relationship theoretical framework. This study uses spatial analysis methods, including average nearest neighbor, spatial autocorrelation, and kernel density estimation, combined with geographic detectors. The research identifies spatial clustering patterns and reveals key natural, infrastructural, and socio-economic drivers. The results demonstrate that traditional villages exhibit a significantly clustered distribution, particularly in areas such as Qiandongnan, Lijiang, and Dali, where cultural heritage and tourism resources are abundant. Among the nine analyzed factors, river density, road density, and temperature show the strongest explanatory power, while the interaction between natural and socio-economic elements, such as altitude and urbanization, further enhances spatial influence. These findings reflect the complex interplay between geographical constraints, human adaptation, and modern tourism dynamics. By situating the spatial evolution of traditional villages within the broader process of rural tourism development, this study highlights the need for adaptive spatial planning and culturally sensitive infrastructure strategies. It provides theoretical and empirical support for policymakers and stakeholders aiming to promote sustainable development, spatial equity, and cultural continuity in the context of village revitalization. Full article
(This article belongs to the Special Issue Rural Tourism, Nature-Based Tourism and Sustainable Tourism Practices)
Show Figures

Figure 1

25 pages, 3639 KB  
Article
Spatiotemporal Patterns and Influencing Factors of Intangible Cultural Heritage in the Yangtze River Delta
by Heng Liu, Yupeng Cao and Xueyan Li
Sustainability 2026, 18(4), 1885; https://doi.org/10.3390/su18041885 - 12 Feb 2026
Viewed by 224
Abstract
Intangible cultural heritage (ICH) is an essential component of China’s outstanding traditional culture, serving as a living testament to the continuity of Chinese civilization and as a crucial foundation for fostering national identity and maintaining social cohesion. The Yangtze River Delta (YRD) region [...] Read more.
Intangible cultural heritage (ICH) is an essential component of China’s outstanding traditional culture, serving as a living testament to the continuity of Chinese civilization and as a crucial foundation for fostering national identity and maintaining social cohesion. The Yangtze River Delta (YRD) region is one of the areas in China with the highest concentration and the most comprehensive range of traditional ICH. However, its spatiotemporal patterns and influencing factors have not yet been systematically examined. In this study, 593 national-level ICH items in the YRD were selected as the research objects. Based on geographic information systems (GIS), spatiotemporal analyses were conducted using the nearest neighbor index, geographic concentration index, imbalance index, kernel density analysis, standard deviation ellipse, and geographic detector methods. The spatial characteristics of ICH were investigated from three perspectives: spatial structure, spatiotemporal evolution, and driving factors. The results indicate that: (1) Shanghai serves as the core agglomeration area of ICH and exhibits the highest kernel density; (2) from a spatiotemporal perspective, the spatial center of ICH distribution shows an overall movement trajectory that first shifts southward and then northward; and (3) driving factor analysis reveals that sociocultural factors exert the most significant influence on the spatial distribution of ICH, followed by economic factors. Natural geographic factors show the weakest explanatory power, but their influence is significantly enhanced through interactions with sociocultural and economic factors. This study develops an integrated analytical framework to examine the spatial patterns and driving mechanisms of ICH in the YRD. It enriches the quantitative methodological system of cultural geography and heritage studies, provides a scientific basis for the protection, transmission, and governance of cultural heritage against the background of regional integration in the YRD, and offers a transferable analytical approach for ICH studies in other urban agglomerations. Full article
(This article belongs to the Special Issue Cultural Heritage Conservation and Sustainable Development)
Show Figures

Figure 1

Back to TopTop