Spatiotemporal Evolution Characteristics and Influencing Factors Analysis of Evapotranspiration in the Yellow River Basin from 2001 to 2022
Abstract
1. Introduction
2. Materials and Methods
2.1. Overview of the Study Area
2.2. Data Sources
2.2.1. MOD16 Product
2.2.2. Other Data
2.3. Methods
2.3.1. Trend Analysis
Linear Trend
Theil–Sen Estimator
Mann–Kendall Test
2.3.2. Correlation Analysis
2.3.3. Geographical Detector
3. Results
3.1. Spatiotemporal Variation Characteristics of Actual Evapotranspiration in the YRB
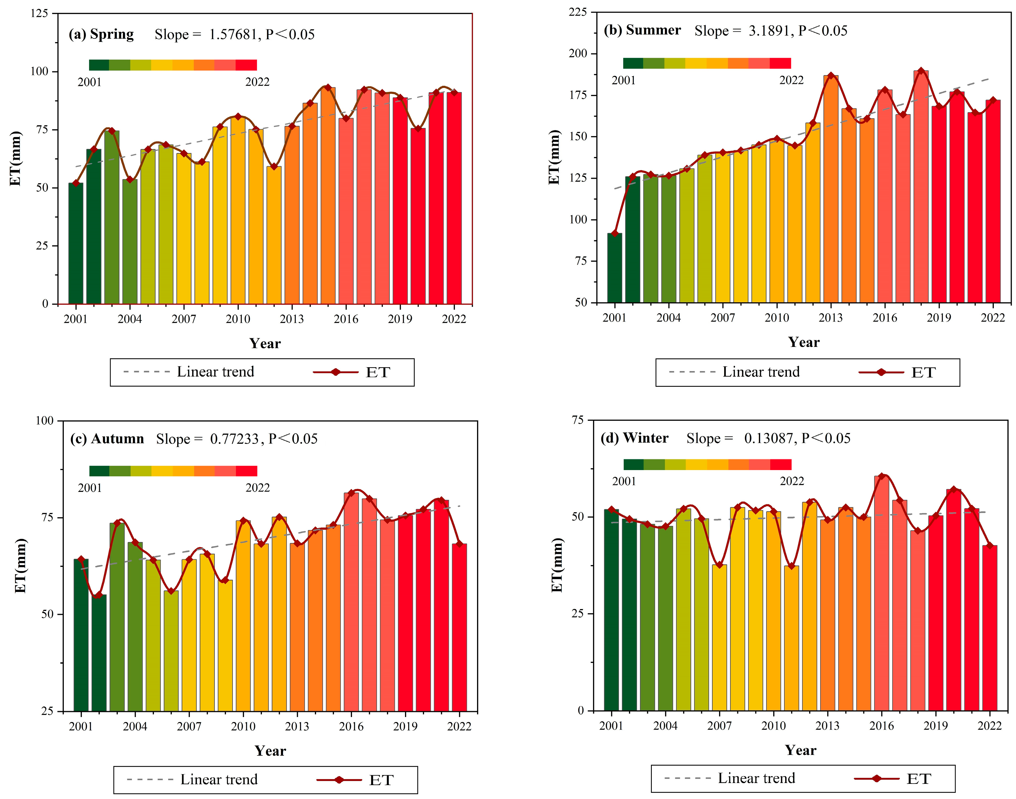
3.1.1. Temporal Variation Characteristics of Actual Evapotranspiration
3.1.2. Spatial Variation Characteristics of Actual Evapotranspiration
3.2. Analysis of Factors Influencing Actual Evapotranspiration in the YRB
3.2.1. Spatial Correlation Between Evapotranspiration and Influencing Factors
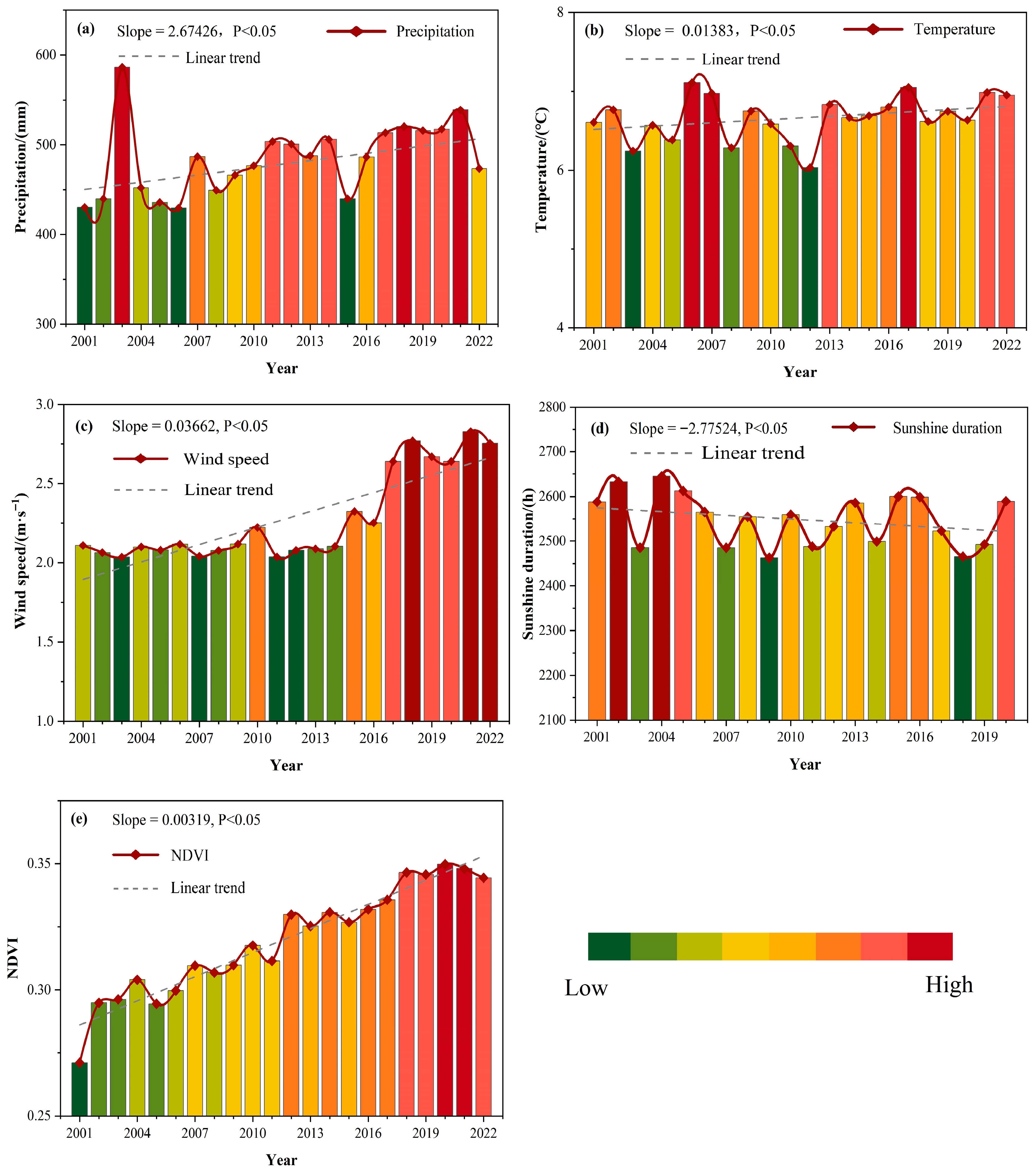
3.2.2. Temporal Variation Characteristics of ET-Influencing Factors
3.2.3. Spatial Variation Characteristics of ET-Influencing Factors
3.3. Driving Factors of Actual Evapotranspiration in the YRB
3.3.1. Single-Factor Geographical Detector Analysis of the Drivers of Spatial Differentiation in Actual Evapotranspiration in the YRB
3.3.2. Geographical Detector–Based Interaction Analysis of Driving Factors of Spatial Differentiation in Evapotranspiration in the YRB
4. Discussion
5. Conclusions
Author Contributions
Funding
Data Availability Statement
Acknowledgments
Conflicts of Interest
Abbreviations
| ET | evapotranspiration |
| YRB | The Yellow River Basin |
References
- Chen, J.; Shao, Z.; Deng, X.; Huang, X.; Dang, C. Vegetation as the catalyst for water circulation on global terrestrial ecosystem. Sci. Total Environ. 2023, 895, 165071. [Google Scholar] [CrossRef]
- Lu, X.; Shao, H.; Kan, Y.; Liu, S.; Du, C.; Shao, Q.; Duan, L.; Xiao, H. Estimation of Land Surface Evapotranspiration and Identification of Key Influencing Factors in the Zoige Forest—Grass Transition Zone. Land 2025, 14, 805. [Google Scholar] [CrossRef]
- Yinglan, A.; Wang, G.; Liu, T.; Xu, B.; Kuczera, G. Spatial variation of correlations between vertical soil water and evapotranspiration and their controlling factors in a semi-arid region. J. Hydrol. 2019, 574, 53–63. [Google Scholar] [CrossRef]
- Pan, S.; Tian, H.; Dangal, S.R.S.; Yang, Q.; Yang, J.; Lu, C.; Tao, B.; Ren, W.; Ouyang, Z. Responses of global terrestrial evapotranspiration to climate change and increasing atmospheric CO2 in the 21st century. Earth’s Future 2015, 3, 15–35. [Google Scholar] [CrossRef]
- Wu, C.; Hu, B.X.; Huang, G.; Zhang, H. Effects of climate and terrestrial storage on temporal variability of actual evapotranspiration. J. Hydrol. 2017, 549, 388–403. [Google Scholar] [CrossRef]
- Jin, Y.; Randerson, J.T.; Goulden, M.L. Continental-scale net radiation and evapotranspiration estimated using MODIS satellite observations. Remote Sens. Environ. 2011, 115, 2302–2319. [Google Scholar] [CrossRef]
- Mu, Q.; Zhao, M.; Running, S.W. Evolution of hydrological and carbon cycles under a changing climate. Hydrol. Process. 2011, 25, 4093–4102. [Google Scholar] [CrossRef]
- Hussain, S.; Niyazi, B.; Elfeki, A.; Masoud, M. Forecasting 21st century hydrological challenges in arid regions: Climate-induced shifts in runoff and evapotranspiration. Water Resour. Manag. 2025, 39, 5719–5749. [Google Scholar] [CrossRef]
- Fu, J.; Gong, Y.; Zheng, W.; Zou, J.; Zhang, M.; Zhang, Z.; Qin, J.; Liu, J.; Quan, B. Spatial-temporal variations of terrestrial evapotranspiration across China from 2000 to 2019. Sci. Total Environ. 2022, 825, 153951. [Google Scholar] [CrossRef] [PubMed]
- Mai, Z.; Niu, Z.; Zhao, Y.; Li, P.; Wang, Y.; Lv, Y.; Wang, B.; Zhang, M. Land use and cover change significantly enhanced evapotranspiration in the Yellow River Delta from 2000 to 2023. J. Hydrol. Reg. Stud. 2025, 58, 102220. [Google Scholar] [CrossRef]
- Yu, K.; Liu, J.; Zhang, X.; Li, P.; Li, Z.; Zhang, X.; Zhao, Y. Evapotranspiration fusion and attribution analysis in the upper and middle reaches of the Yellow River Basin. J. Hydrol. Reg. Stud. 2024, 53, 101773. [Google Scholar] [CrossRef]
- Nagler, P.L.; Scott, R.L.; Westenburg, C.; Cleverly, J.R.; Glenn, E.P.; Huete, A.R. Evapotranspiration on western US rivers estimated using the Enhanced Vegetation Index from MODIS and data from eddy covariance and Bowen ratio flux towers. Remote Sens. Environ. 2005, 97, 337–351. [Google Scholar] [CrossRef]
- Wang, S.; Shi, D.; Yang, Z.; Xiang, G.; Li, C.; Wang, Z.; Zhang, M.; Jin, X. Projecting Future Soil Organic Carbon and Soil Total Nitrogen Stocks Under Climate-Land Use Change Scenarios in Tibet, China. Environ. Sustain. Indic. 2025, 27, 100856. [Google Scholar] [CrossRef]
- Walther, S.; Besnard, S.; Nelson, J.A.; El-Madany, T.S.; Migliavacca, M.; Weber, U.; Carvalhais, N.; Ermida, S.L.; Brümmer, C.; Schrader, F.; et al. A view from space on global flux towers by MODIS and Landsat: The FluxnetEO data set. Biogeosciences 2022, 19, 2805–2840. [Google Scholar] [CrossRef]
- Chen, B.; Coops, N.C.; Fu, D.; Margolis, H.A.; Amiro, B.D.; Black, T.A.; Arain, M.A.; Barr, A.G.; Bourque, C.P.A.; Flanagan, L.B.; et al. Characterizing spatial representativeness of flux tower eddy-covariance measurements across the Canadian Carbon Program Network using remote sensing and footprint analysis. Remote Sens. Environ. 2012, 124, 742–755. [Google Scholar] [CrossRef]
- Li, Z.; Tang, R.; Wan, Z.; Bi, Y.; Zhou, C.; Tang, B.; Yan, G.; Zhang, X. A review of current methodologies for regional evapotranspiration estimation from remotely sensed data. Sensors 2009, 9, 3801–3853. [Google Scholar] [CrossRef]
- Zhang, K.; Kimball, J.S.; Running, S.W. A review of remote sensing based actual evapotranspiration estimation. Wiley Interdiscip. Rev. Water 2016, 3, 834–853. [Google Scholar] [CrossRef]
- Mu, Q.; Heinsch, F.A.; Zhao, M.; Running, S.W. Development of a global evapotranspiration algorithm based on MODIS and global meteorology data. Remote Sens. Environ. 2007, 111, 519–536. [Google Scholar] [CrossRef]
- Mu, Q.; Zhao, M.; Running, S.W. Improvements to a MODIS global terrestrial evapotranspiration algorithm. Remote Sens. Environ. 2011, 115, 1781–1800. [Google Scholar] [CrossRef]
- Zhang, Y.; Kong, D.; Gan, R.; Chiew, F.H.S.; McVicar, T.R.; Zhang, Q.; Yang, Y. Coupled estimation of 500 m and 8-day resolution global evapotranspiration and gross primary production in 2002–2017. Remote Sens. Environ 2019, 222, 165–182. [Google Scholar] [CrossRef]
- Yang, X.; Yong, B.; Ren, L.; Zhang, Y.; Long, D. Multi-scale validation of GLEAM evapotranspiration products over China via ChinaFLUX ET measurements. Int. J. Remote Sens. 2017, 38, 5688–5709. [Google Scholar] [CrossRef]
- Paca, V.H.D.M.; Espinoza-Dávalos, G.E.; Hessels, T.M.; Moreira, D.M.; Comair, G.F.; Bastiaanssen, W.G.M. The spatial variability of actual evapotranspiration across the Amazon River Basin based on remote sensing products validated with flux towers. Ecol. Process. 2019, 8, 6. [Google Scholar] [CrossRef]
- Pan, S.; Pan, N.; Tian, H.; Friedlingstein, P.; Sitch, S.; Shi, H.; Arora, V.K.; Haverd, V.; Jain, A.K.; Kato, E.; et al. Evaluation of global terrestrial evapotranspiration using state-of-the-art approaches in remote sensing, machine learning and land surface modeling. Hydrol. Earth Syst. Sci. 2020, 24, 1485–1509. [Google Scholar] [CrossRef]
- Wu, J.; Lakshmi, V.; Wang, D.; Lin, P.; Pan, M.; Cai, X.; Wood, E.F.; Zeng, Z. The reliability of global remote sensing evapotranspiration products over Amazon. Remote Sens. 2020, 12, 2211. [Google Scholar] [CrossRef]
- Guo, X.; Meng, D.; Chen, X.; Li, X. Validation and comparison of seven land surface evapotranspiration products in the Haihe River Basin, China. Remote Sens. 2022, 14, 4308. [Google Scholar] [CrossRef]
- Cheng, L.; Yang, M.; Wang, X.; Wan, G. Spatial and temporal variations of terrestrial evapotranspiration in the upper Taohe River Basin from 2001 to 2018 based on MOD16 ET data. Adv. Meteorol. 2020, 2020, 3721414. [Google Scholar] [CrossRef]
- Ersi, C.; Bayaer, T.; Bao, Y.; Bao, Y.; Yong, M.; Zhang, X. Temporal and spatial changes in evapotranspiration and its potential driving factors in Mongolia over the past 20 years. Remote Sens. 2022, 14, 1856. [Google Scholar] [CrossRef]
- Zheng, H.; Miao, C.; Li, X.; Kong, D.; Gou, J.; Wu, J.; Zhang, S. Effects of vegetation changes and multiple environmental factors on evapotranspiration across China over the past 34 years. Earth’s Future 2022, 10, e2021EF002564. [Google Scholar] [CrossRef]
- Li, X.; Yue, H.; Zeng, Z.; Lian, X.; Wang, X.; Du, M.; Jia, G.; Li, Y.; Ma, Y.; Tang, Y.; et al. Spatiotemporal pattern of terrestrial evapotranspiration in China during the past thirty years. Agric. For. Meteorol. 2018, 259, 131–140. [Google Scholar] [CrossRef]
- Yusupukadier, Z.; Zhang, T.; Yang, M.; Liu, Y.; Wang, Z.; Wen, Z. Characteristics and drivers of spatial and temporal evolution of evapotranspiration and components in four major climate zones in China, 1982–2021. Acta Ecol. Sin. 2025, 45, 7780–7792. [Google Scholar] [CrossRef]
- Wang, L.; He, X.; Ding, Y. Characteristics and influence factors of the evapotranspiration from alpine meadow in central Qinghai Tibet Plateau. J. Glaciol. Geocryol. 2019, 41, 801–808. [Google Scholar] [CrossRef]
- Mingyue, C.; Junbang, W.; Shaoqiang, W.; Hao, Y.; Yingnian, L. Temporal and spatial distribution of evapotranspiration and its influencing factors on Qinghai-Tibet Plateau from 1982 to 2014. J. Resour. Ecol. 2019, 10, 213–224. [Google Scholar] [CrossRef]
- Yu, W.; Zhao, L.; Li, Y.; Nan, Z.; Zhao, Y. Spatial-temporal variation of evapotranspiration based on the complementary relationship principle and its influencing factors on the Qinghai-Tibet Plateau. Acta Ecol. Sin. 2024, 44, 5024–5039. [Google Scholar] [CrossRef]
- Ye, H.; Zhang, T.; Yi, G.; Li, J.; Bie, X.; Liu, D.; Luo, L. Spatio-temporal characteristics of evapotranspiration and its relationship with climate factors in the source region of the Yellow River from 2000 to 2014. Acta Geogr. Sin. 2018, 73, 2117–2134. [Google Scholar] [CrossRef]
- Wang, Q.; Su, X.; Chu, J.; Hu, X.; Zhang, T. Analysis of actual evapotranspiration and its spatio-temporal evolution characteristics in the Yellow River Basin based on GRACE data reconstruction. Water Resour. Prot. 2024, 40, 112–121. [Google Scholar] [CrossRef]
- Bai, P.; Cai, C. Attribution analysis of changes in terrestrial evapotranspirationin China during 1982–2019. Acta Geogr. Sin. 2023, 78, 2750–2762. [Google Scholar] [CrossRef]
- Feng, X. Analysis of Spatio-Temporal Variation and Driving Factors Influencing Vegetation Coverage in the Yellow River Basin from 2001 to 2020 Based on kNDVI. Master’s Thesis, Ningxia University, Ningxia, China, 2024. [Google Scholar] [CrossRef]
- Huang, X.; Liang, S.; Ziegler, A.D.; Zeng, Z. Decoupling vegetation and soil-moisture interaction in evapotranspiration interannual variability. iScience 2025, 28, 113008. [Google Scholar] [CrossRef] [PubMed]
- Jiang, Z.; Yang, Z.; Zhang, S.; Liao, C.; Hu, Z.; Cao, R.; Wu, H. Revealing the spatio-temporal variability of evapotranspiration and its components based on an improved Shuttleworth-Wallace model in the Yellow River Basin. J. Environ. Manag. 2020, 262, 110310. [Google Scholar] [CrossRef]
- Zhang, C.; Oki, T. Water transfer contributes to water resources management: Crisis mitigation for future water allocation in the Yellow River basin. iScience 2024, 27, 110586. [Google Scholar] [CrossRef] [PubMed]
- Tong, R.; Yang, X.; Ren, L.; Liu, R.; Ma, M. Temporal and spatial characteristics of evapotranspiration in the Yellow River Basin during 1961–2012 and analysis of its influence factors. Water Resour. Prot. 2015, 31, 16–21. [Google Scholar] [CrossRef]
- Chen, Y.; Wen, J.; Liu, R.; Lu, X.; Chen, Y. Study on the Spatial-temporal Distribution Pattern of Land Surface Evapotranspiration over the Source Region of the Yellow River. Plateau Mt. Meteorol. Res. 2021, 41, 35–42. [Google Scholar] [CrossRef]
- Guo, X.; Meng, D.; Jiang, B.; Zhu, L.; Gong, J. Spatio-temporal change and influencing factors of evapotranspiration in the Huaihe River Basin based on MODIS evapotranspiration data. Hydrogeol. Eng. Geol. 2021, 48, 45–52. [Google Scholar] [CrossRef]
- Wang, S.; Zhao, G.; Wang, M.; Fan, X.; Wang, C. Characteristics of Climate Change in the Yellow River Basin from 1961 to 2020. Meteorol. Environ. Sci. 2021, 44, 1–8. [Google Scholar] [CrossRef]
- He, H.; Dong, X.; Ding, J. Multi-scenario Simulation of Evolution of Production-Living-Ecological Space and Carbon Stock Assessment in the Yellow River Basin Based on the PLUS-InVEST Model. Environ. Sci. 2025, 1–18. [Google Scholar] [CrossRef]
- Allen, R.G.; Pereira, L.S.; Raes, D.; Smith, M. Crop evapotranspiration-Guidelines for computing crop water requirements-FAO Irrigation and drainage paper 56. Fao Rome 1998, 300, D05109. [Google Scholar]
- Pei, T.; Wu, X.; Li, X.; Zhang, Y.; Shi, F.; Ma, Y.; Wang, P.; Zhang, C. Seasonal divergence in the sensitivity of evapotranspiration to climate and vegetation growth in the Yellow River Basin, China. J. Geophys. Res. Biogeosci. 2017, 122, 103–118. [Google Scholar] [CrossRef]
- Yu, Y.; Bai, J.; Wang, J.; Wei, H. Analysis on spatio-temporal characteristics of ET based on MOD16 in Guanzhong Region. Agric. Res. Arid Areas 2015, 33, 245–253. [Google Scholar] [CrossRef]
- Jin, L.; Chen, S.; Yang, H.; Zhang, C. Evaluation and drivers of four evapotranspiration products in the Yellow River Basin. Remote Sens. 2024, 16, 1829. [Google Scholar] [CrossRef]
- Zhang, M.; Li, G.; He, T.; Zhai, G.; Guo, A.; Chen, H.; Wu, C. Reveal the severe spatial and temporal patterns of abandoned cropland in China over the past 30 years. Sci. Total Environ. 2023, 857, 159591. [Google Scholar] [CrossRef] [PubMed]
- Theil, H. A rank-invariant method of linear and polynomial regression analysis. Indag. Math. 1950, 12, 173. [Google Scholar]
- Sen, P.K. Estimates of the regression coefficient based on Kendall’s tau. J. Am. Stat. Assoc. 1968, 63, 1379–1389. [Google Scholar] [CrossRef]
- Mann, H.B. Nonparametric tests against trend. Econom. J. Econom. Soc. 1945, 13, 245–259. [Google Scholar] [CrossRef]
- Kendall, M.G. Rank Correlation Methods; Charles Griffin: London, UK, 1948. [Google Scholar]
- Fisher, J.B.; Melton, F.; Middleton, E.; Hain, C.; Anderson, M.; Allen, R.; McCabe, M.F.; Hook, S.; Baldocchi, D.; Townsend, P.A.; et al. The future of evapotranspiration: Global requirements for ecosystem functioning, carbon and climate feedbacks, agricultural management, and water resources. Water Resour. Res. 2017, 53, 2618–2626. [Google Scholar] [CrossRef]
- Wang, J.; Xu, C. Geodetector: Principle and prospective. Acta Geogr. Sin. 2017, 72, 116–134. [Google Scholar] [CrossRef]
- Katul, G.G.; Oren, R.; Manzoni, S.; Higgins, C.; Parlange, M.B. Evapotranspiration: A process driving mass transport and energy exchange in the soil-plant-atmosphere-climate system. Rev. Geophys. 2012, 50, RG3002. [Google Scholar] [CrossRef]
- Kundu, S.; Khare, D.; Mondal, A. Past, present and future land use changes and their impact on water balance. J. Environ. Manag. 2017, 197, 582–596. [Google Scholar] [CrossRef]
- Wang, D.; Wang, D.; Yang, Q.; Ji, M.; Mo, C.; Liu, S.; Lin, Z. Evaluation of the performances of CLM4.5 in ET simulation driven by different meteorological forcing datasets over Yellow River Basin. Water Sav. Irrig. 2023, 12, 66–73. [Google Scholar] [CrossRef]
- Zhang, F.; Geng, M.; Wu, Q.; Liang, Y. Study on the spatial-temporal variation in evapotranspiration in China from 1948 to 2018. Sci. Rep. 2020, 10, 17139. [Google Scholar] [CrossRef]
- Zhou, J.; Liu, Q.; Liang, L.; He, J.; Yan, D.; Wang, X.; Sun, T.; Li, S. More portion of precipitation into soil water storage to maintain higher evapotranspiration induced by revegetation on China’s Loess Plateau. J. Hydrol. 2022, 615, 128707. [Google Scholar] [CrossRef]
- Zhu, N.; Wang, J.; Luo, D.; Wang, X.; Shen, C.; Wu, N.; Zhang, N.; Tian, B.; Gai, A. Unveiling evapotranspiration patterns and energy balance in a subalpine forest of the Qinghai–Tibet Plateau: Observations and analysis from an eddy covariance system. J. For. Res. 2024, 35, 53. [Google Scholar] [CrossRef]
- Li, H.; Zhang, H.; Feng, Z.; Zhao, J.; Chen, H.; Guo, X.; Wang, T.; Liu, Y. Climate change influences on vegetation photosynthesis in the Northern Hemisphere. J. Environ. Manag. 2025, 380, 124976. [Google Scholar] [CrossRef] [PubMed]
- Tang, Q.; Oki, T.; Kanae, S.; Hu, H. The influence of precipitation variability and partial irrigation within grid cells on a hydrological simulation. J. Hydrometeorol. 2007, 8, 499–512. [Google Scholar] [CrossRef]
- Suehrcke, H.; Bowden, R.S.; Hollands, K.G.T. Relationship between sunshine duration and solar radiation. Sol. Energy 2013, 92, 160–171. [Google Scholar] [CrossRef]
- Matthews, J.S.A.; Vialet-Chabrand, S.; Lawson, T. Role of blue and red light in stomatal dynamic behaviour. J. Exp. Bot. 2020, 71, 2253–2269. [Google Scholar] [CrossRef]
- Barry, R.G. Mountain Weather and Climate; Cambridge University Press: Cambridge, UK, 2013. [Google Scholar]
- Li, G.; Zhang, M.; Pei, W.; Melnikov, A.; Khristoforov, I.; Li, R.; Yu, F. Changes in permafrost extent and active layer thickness in the Northern Hemisphere from 1969 to 2018. Sci. Total Environ. 2022, 804, 150182. [Google Scholar] [CrossRef]
- Gao, H.; Zhang, Y. Evolution characteristics and influencing factors of the measured runoff in the main stream of the Yellow River. Res. Soil Water Conserv. 2025, 32, 1–13. [Google Scholar] [CrossRef]
- Yu, H.; Yang, Q.; Jiang, S.; Zhan, B.; Zhan, C. Detection and attribution of vegetation dynamics in the yellow river basin based on long-Term kernel NDVI data. Remote Sens. 2024, 16, 1280. [Google Scholar] [CrossRef]
- Duveiller, G.; Hooker, J.; Cescatti, A. The mark of vegetation change on Earth’s surface energy balance. Nat. Commun. 2018, 9, 679. [Google Scholar] [CrossRef]
- Huang, K.; Lu, Y.; Wei, Z.; Chen, H.; Zhang, B.; Ma, W. Effects of land use and climate change on spatiotemporal changes of evapotranspiration in Haihe River Basin. J. Geo-Inf. Sci. 2019, 21, 1888–1902. [Google Scholar]
- Li, M.; Chu, R.; Shen, S.; Islam, A.R.M.T. Dynamic analysis of pan evaporation variations in the Huai River Basin, a climate transition zone in eastern China. Sci. Total Environ. 2018, 625, 496–509. [Google Scholar] [CrossRef]
- Núñez, P.Á.; Silva, B.; Schulz, M.; Rollenbeck, R.; Bendix, J. Evapotranspiration estimates for two tropical mountain forest using high spatial resolution satellite data. Int. J. Remote Sens. 2021, 42, 2940–2962. [Google Scholar] [CrossRef]
- Cheng, M.; Jiao, X.; Jin, X.; Li, B.; Liu, K.; Shi, L. Satellite time series data reveal interannual and seasonal spatiotemporal evapotranspiration patterns in China in response to effect factors. Agr. Water Manag. 2021, 255, 107046. [Google Scholar] [CrossRef]












| Data Type | Data Source | Temporal Coverage (Spatial Resolution) |
|---|---|---|
| ET | GEE (https://code.earthengine.google.com) (accessed on 2 February 2025) | 2001–2022 (1 km) |
| Precipitation | TPDC (https://data.tpdc.ac.cn) (accessed on 3 March 2025) | 2001–2022 (1 km) |
| Temperature | TPDC (https://data.tpdc.ac.cn) (accessed on 3 March 2025) | 2001–2022 (1 km) |
| Wind speed | NOAA (https://www.ncei.noaa.gov) (accessed on 17 February 2025) | 2001–2022 (1 km) |
| Sunshine duration | CMA (https://www.cma.gov.cn/) (accessed on 2 March 2025) | 2001–2020 (1 km) |
| NDVI | NASA Earthdata (https://www.earthdata.nasa.gov) (accessed on 9 March 2025) | 2001–2022 (1 km) |
| Land use type | GEE (https://code.earthengine.google.com) (accessed on 2 February 2025) | 2001–2022 (30 m) |
| DEM | NASA SRTM (http://srtm.csi.cgiar.org/srtmdata/) (accessed on 4 February 2025) | 2020 (30 m) |
| boundary | RESDC (http://www.resdc.cn) (accessed on 1 February 2025) | —— |
| 2001 | 2022 | |||||||||
|---|---|---|---|---|---|---|---|---|---|---|
| Cropland | Forest | Shrub Land | Grassland | Water | Snow/Ice | Bare Land | Built-Up Land | Wetland | ||
| 186,340.91 | 94,434.47 | 3351.95 | 458,837.44 | 5890.81 | 358.89 | 22,631.01 | 22,788.79 | 281.04 | ||
| Cropland | 201,197.52 | 153,001.33 | 4295.86 | 4.46 | 34,861.24 | 924.24 | 0.00 | 113.16 | 7996.38 | 0.85 |
| Forest | 79,150.63 | 1558.11 | 76,611.93 | 591.68 | 342.76 | 1.34 | 0.00 | 0.07 | 44.67 | 0.06 |
| Shrubland | 5287.91 | 37.99 | 1335.71 | 2149.39 | 1764.06 | 0.26 | 0.00 | 0.21 | 0.20 | 0.08 |
| Grassland | 458,876.05 | 30,370.25 | 12,172.05 | 606.28 | 406,871.20 | 667.83 | 27.51 | 6143.01 | 1803.63 | 214.30 |
| Water | 4655.68 | 466.75 | 13.91 | 0.02 | 135.38 | 3741.03 | 0.97 | 64.62 | 232.89 | 0.11 |
| Snow/Ice | 288.31 | 0.00 | 0.00 | 0.00 | 2.96 | 0.73 | 197.69 | 86.93 | 0.00 | 0.00 |
| Bare land | 32,521.72 | 808.13 | 1.00 | 0.13 | 14,747.18 | 247.01 | 132.73 | 16,222.25 | 363.29 | 0.01 |
| Built-up land | 12,752.17 | 97.18 | 0.15 | 0.00 | 3.8277 | 306.36 | 0.00 | 0.76 | 12,347.73 | 0.00 |
| Wetland | 185.32 | 1.17 | 3.86 | 0.00 | 112.66 | 2.01 | 0.00 | 0.00 | 0.00 | 65.62 |
Disclaimer/Publisher’s Note: The statements, opinions and data contained in all publications are solely those of the individual author(s) and contributor(s) and not of MDPI and/or the editor(s). MDPI and/or the editor(s) disclaim responsibility for any injury to people or property resulting from any ideas, methods, instructions or products referred to in the content. |
© 2026 by the authors. Licensee MDPI, Basel, Switzerland. This article is an open access article distributed under the terms and conditions of the Creative Commons Attribution (CC BY) license.
Share and Cite
He, Z.; Yuan, G.; Liu, Z.; Hao, S.; Wei, R.; Xiao, P.; Zhang, L.; Tong, H.; Dou, H.; Guo, Y. Spatiotemporal Evolution Characteristics and Influencing Factors Analysis of Evapotranspiration in the Yellow River Basin from 2001 to 2022. Sustainability 2026, 18, 2280. https://doi.org/10.3390/su18052280
He Z, Yuan G, Liu Z, Hao S, Wei R, Xiao P, Zhang L, Tong H, Dou H, Guo Y. Spatiotemporal Evolution Characteristics and Influencing Factors Analysis of Evapotranspiration in the Yellow River Basin from 2001 to 2022. Sustainability. 2026; 18(5):2280. https://doi.org/10.3390/su18052280
Chicago/Turabian StyleHe, Zimiao, Gangxiang Yuan, Zhe Liu, Shilong Hao, Ran Wei, Peiqing Xiao, Lu Zhang, Haoqiang Tong, Huanheng Dou, and Yinghong Guo. 2026. "Spatiotemporal Evolution Characteristics and Influencing Factors Analysis of Evapotranspiration in the Yellow River Basin from 2001 to 2022" Sustainability 18, no. 5: 2280. https://doi.org/10.3390/su18052280
APA StyleHe, Z., Yuan, G., Liu, Z., Hao, S., Wei, R., Xiao, P., Zhang, L., Tong, H., Dou, H., & Guo, Y. (2026). Spatiotemporal Evolution Characteristics and Influencing Factors Analysis of Evapotranspiration in the Yellow River Basin from 2001 to 2022. Sustainability, 18(5), 2280. https://doi.org/10.3390/su18052280

