Sign in to use this feature.

Years

Between: -

Subjects

remove_circle_outline
remove_circle_outline
remove_circle_outline
remove_circle_outline
remove_circle_outline
remove_circle_outline
remove_circle_outline
remove_circle_outline
remove_circle_outline

Journals

Article Types

Countries / Regions

Search Results (13)

Search Parameters:
Keywords = expired milk

Order results
Result details
Results per page
Select all
Export citation of selected articles as:
16 pages, 1821 KB  
Article
Valorization of Expired Milk into Protein Hydrolysate as a Plant Biostimulant: Characterization and Application on Hydroponically Grown Cos Lettuce
by Aryanis Mutia Zahra, Apiradee Uthairatanakij, Natta Laohakunjit, Pongphen Jitareerat, Nattapon Kaisangsri and Arak Tira-Umphon
Crops 2025, 5(5), 56; https://doi.org/10.3390/crops5050056 - 28 Aug 2025
Viewed by 786
Abstract
To meet global food demand, agricultural systems must enhance crop performance, productivity, and sustainability. Biostimulants have emerged as a promising strategy, particularly in vegetable production, due to their ability to enhance plant growth and resilience. This study characterized milk-derived protein hydrolysates (MPH) produced [...] Read more.
To meet global food demand, agricultural systems must enhance crop performance, productivity, and sustainability. Biostimulants have emerged as a promising strategy, particularly in vegetable production, due to their ability to enhance plant growth and resilience. This study characterized milk-derived protein hydrolysates (MPH) produced from expired milk and evaluated their potential as biostimulants for hydroponic cos lettuce. Hydrolysis of expired milk with hydrochloric acid achieved 94.55% hydrolysis and yielded 80.77% free amino acids. MPH was applied at volumes of 0, 1, 3, and 5 mL L−1 in combination with Hoagland and Arnon nutrient solution. The 1 mL L−1 (MPH1) treatment significantly increased shoot and root biomass and canopy size while reducing nitrate accumulation and enhancing total flavonoid and ascorbic acid content, as well as antioxidant capacity. HPLC analysis showed that MPH1 treatment promoted the accumulation of key metabolites, including vanillic acid, para-coumaric acid, salicylic acid, ferulic acid, gallic acid, syringic acid, quercetin, myricetin, and naringenin. MPH1 improved uptake of phosphorus, potassium, calcium, magnesium, and iron, contributing to mineral biofortification and nutritional quality. These results demonstrate that MPH at 1 mL L−1 is an effective biostimulant, improving yield and quality while reducing nitrate levels in hydroponically grown cos lettuce, offering a sustainable solution for food waste valorization. Full article
(This article belongs to the Topic Sustainable Food Production and High-Quality Food Supply)
Show Figures

Graphical abstract

15 pages, 2577 KB  
Article
Expression and Characterization of L-Arabinose Isomerase and Its Enzymatic Recycling of the Expired Milk
by Zhou Chen, Yuhan Yan, Ziang Wu, Yanyin Song and Jiangqi Xu
Foods 2025, 14(11), 1873; https://doi.org/10.3390/foods14111873 - 25 May 2025
Cited by 5 | Viewed by 1143
Abstract
As global milk production continues to rise, the disposal of expired milk contributes to environmental pollution and valuable resource wastage. This study presents the development of a novel L-arabinose isomerase, designated BmAIase12, and its application in the enzymatic recycling of expired milk. [...] Read more.
As global milk production continues to rise, the disposal of expired milk contributes to environmental pollution and valuable resource wastage. This study presents the development of a novel L-arabinose isomerase, designated BmAIase12, and its application in the enzymatic recycling of expired milk. BmAIase12 exhibited a specific activity of 10.7 U/mg and showed optimal performance at 50 °C and pH 7.0. Furthermore, it exhibited higher activity than most other L-arabinose isomerases. It converted D-galactose into D-tagatose with a high conversion ratio of 53.3% after 48 h at 50 °C. The conversion efficiency of expired milk to D-tagatose was recorded at 40.62%, resulting in a maximum tagatose yield of 1.625 g/L. This was accomplished through the incorporation of β-galactosidase (120 U/mL) and Saccharomyces cerevisiae (30 mg/mL) to hydrolyze lactose and metabolize glucose, followed by the addition of 3 U/mL of BmAIase12. Ultimately, following purification, the purity of tagatose was determined to be 98%, and the final yield was 29.8%. These results suggest that BmAIase12 may serve as a promising enzyme for D-tagatose production due to its high conversion yield. Full article
(This article belongs to the Section Food Biotechnology)
Show Figures

Graphical abstract

16 pages, 12518 KB  
Article
Development and Physicochemical Characterization of Edible Chitosan–Casein Hydrogel Membranes for Potential Use in Food Packaging
by Andreas Karydis-Messinis, Christina Kyriakaki, Eleni Triantafyllou, Kyriaki Tsirka, Christina Gioti, Dimitris Gkikas, Konstantinos Nesseris, Dimitrios A. Exarchos, Spyridoula Farmaki, Aris E. Giannakas, Constantinos E. Salmas, Theodore E. Matikas, Dimitrios Moschovas and Apostolos Avgeropoulos
Gels 2024, 10(4), 254; https://doi.org/10.3390/gels10040254 - 9 Apr 2024
Cited by 14 | Viewed by 3319
Abstract
The increasing global concern over plastic waste and its environmental impact has led to a growing interest in the development of sustainable packaging alternatives. This study focuses on the innovative use of expired dairy products as a potential resource for producing edible packaging [...] Read more.
The increasing global concern over plastic waste and its environmental impact has led to a growing interest in the development of sustainable packaging alternatives. This study focuses on the innovative use of expired dairy products as a potential resource for producing edible packaging materials. Expired milk and yogurt were selected as the primary raw materials due to their protein and carbohydrate content. The extracted casein was combined with various concentrations of chitosan, glycerol, and squid ink, leading to the studied samples. Chitosan was chosen due to its appealing characteristics, including biodegradability, and film-forming properties, and casein was utilized for its superior barrier and film-forming properties, as well as its biodegradability and non-toxic nature. Glycerol was used to further improve the flexibility of the materials. The prepared hydrogels were characterized using various instrumental methods, and the findings reveal that the expired dairy-based edible packaging materials exhibited promising mechanical properties comparable to conventional plastic packaging and improved barrier properties with zero-oxygen permeability of the hydrogel membranes, indicating that these materials have the potential to effectively protect food products from external factors that could compromise quality and shelf life. Full article
(This article belongs to the Special Issue Modification of Gels in Creating New Food Products)
Show Figures

Figure 1

2 pages, 170 KB  
Abstract
Daily Lactose Supplementation in Lactase Non-Persistent Individuals Induces Colonic Adaptation and Reduces Intolerance Symptoms
by Ellen Looijesteijn, Lonneke JanssenDuijghuijsen, Maartje van den Belt, Beatrix Gerhard, Renata Ariens, Reina Tjoelker and Jan Geurts
Proceedings 2023, 91(1), 47; https://doi.org/10.3390/proceedings2023091047 - 16 Nov 2023
Cited by 1 | Viewed by 2862
Abstract
Background and objectives: Globally, about 70% of the adult population is lactase non-persistent (LNP), lacking the enzyme required for lactose digestion. The main consequence of intolerance is withholding nutrient-rich dairy foods, while the literature shows that many LNPers are able to consume ≤12 [...] Read more.
Background and objectives: Globally, about 70% of the adult population is lactase non-persistent (LNP), lacking the enzyme required for lactose digestion. The main consequence of intolerance is withholding nutrient-rich dairy foods, while the literature shows that many LNPers are able to consume ≤12 g of lactose, comparable to 250 mL of milk, without experiencing gastrointestinal discomfort. Repetitive consumption of lactose may improve intolerance symptoms even further via colonic adaptation. This study aimed to assess the effects of daily consumption of incremental lactose doses on microbiota composition and function, and intolerance symptoms. Methods: Twenty-five healthy adults of Asian origin (age 22–44 yrs, BMI 19–28 kg/m2), carrying the LNP genotype and avoiding lactose in their habitual diet, were included in this 12-week single-blinded intervention trial. Participants consumed lactose twice daily, with doses being gradually increased from 3 to 6 g, to finally 12 g twice daily, each dose being provided for 4 consecutive weeks. Before and after the 12-week intervention, participants underwent a 25 g lactose challenge hydrogen breath test (HBT) and handed in stool samples. Daily gastrointestinal symptoms and acute intolerance symptoms during the HBT were recorded. Results: There was a significant increase in Bifidobacterium after 12 weeks of lactose consumption (p = 0.009), accompanied by a two-fold increase (p < 0.001) in fecal β-galactosidase activity. There was a 1.5-fold decrease (AUC; p = 0.01) in expired hydrogen during the second compared to the baseline HBT. There was a non-significant decrease in total symptom score (p = 0.09) during this second HBT, which was already relatively low during the baseline HBT. Daily consumption of lactose was generally well tolerated, with mild to no gastrointestinal complaints reported during the intervention. Discussion: Repetitive consumption of incremental doses of lactose increases lactose tolerance in LNP individuals via colonic adaptation, most likely through increasing the relative abundance of lactose-fermenting Bifidobacterium. Repetitive lactose consumption is well tolerated and able to reduce expired hydrogen during a 25 g lactose HBT. Here, we show that regular and incremental exposure to lactose in LNP individuals leads to colonic adaptation without any increase in gastrointestinal symptoms. This lifts the necessity to remove dairy foods completely from the diet. Full article
(This article belongs to the Proceedings of The 14th European Nutrition Conference FENS 2023)
19 pages, 15543 KB  
Article
When Does Milk Spoil? The Use of Rejection Threshold Methodology to Investigate the Influence of Total Microbial Numbers on the Acceptability of Fresh Chilled Pasteurised Milk
by Mohammad Alothman, Phil J. Bremer, Karen Lusk and Patrick Silcock
Beverages 2023, 9(2), 53; https://doi.org/10.3390/beverages9020053 - 19 Jun 2023
Cited by 7 | Viewed by 4095
Abstract
The consumer rejection threshold (RjT) method was applied to determine the total microbial numbers (TMNs) where consumers find that the quality of whole fresh chilled pasteurised milk (WFCPM) and skim milk (Trim) stored at 4.5 ± 0.5 °C is no longer acceptable. Food [...] Read more.
The consumer rejection threshold (RjT) method was applied to determine the total microbial numbers (TMNs) where consumers find that the quality of whole fresh chilled pasteurised milk (WFCPM) and skim milk (Trim) stored at 4.5 ± 0.5 °C is no longer acceptable. Food spoilage progression was supported by measurements of VOCs and the terms consumers used to describe the ageing fresh chilled pasteurised milk (FCPM). RjTs for TMN of 7.43 and 7.34 log10 CFU.mL−1 for WFCPM and Trim, respectively were derived using Hill’s equation from a series of paired preference tests comparing fresh and aged milks (3–26 days) assessed by consumers (WFCPM, n = 55; Trim, n = 52). A poor relationship between storage time and TMN was found, owing mainly to batch-to-batch and within-batch variation in the milk’s post-pasteurization contamination (PPC) levels. At the RjT, there was a significant change in the signal intensities for a number of spoilage-related VOCs that occurred in the FCPM headspace (p ≤ 0.05), which were measured using proton transfer reaction–mass spectrometry (PTR-MS), including m/z 33, 45, 47, 61, 63, 69, 71, 87, and 89, tentatively identified as methanol; acetaldehyde; ethanol; acetate (acetic acid and acetate esters); dimethyl sulphide (DMS); isoprene, furan, and aldehydes; 2-butanone; and pentanal and butyrates (butyric acid and butyrate esters), respectively. Consumers described the milks at TMN greater than the RjTs using terms like off, expired, sour, spoilt or rancid. This multidisciplinary study has provided data on the importance of PPC and subsequent increases in TMN on VOCs associated with FCPM and consumer’s preferences and highlighted the value of measuring a range of variables when investigating consumer’s perception of food quality and shelf-life. Full article
(This article belongs to the Section Beverage Technology Fermentation and Microbiology)
Show Figures

Figure 1

20 pages, 6006 KB  
Article
Extending the Shelf Life of Raw Milk and Pasteurized Milk with Plantaricin FB-2
by Yajuan Li, Peifang Weng, Zufang Wu and Yanan Liu
Foods 2023, 12(3), 608; https://doi.org/10.3390/foods12030608 - 1 Feb 2023
Cited by 14 | Viewed by 6358
Abstract
Raw milk and pasteurized milk are characterized by a short shelf life, and drinking expired raw milk and pasteurized milk causes illness. In the study, Plantaricin FB-2 (extracted from Lactiplantibacillus plantarum FB-2) was added to liquid milk. By evaluating the microbial growth, acidity [...] Read more.
Raw milk and pasteurized milk are characterized by a short shelf life, and drinking expired raw milk and pasteurized milk causes illness. In the study, Plantaricin FB-2 (extracted from Lactiplantibacillus plantarum FB-2) was added to liquid milk. By evaluating the microbial growth, acidity changes, protein content, and sensory changes in raw milk and pasteurized milk during storage, it was found that when Plantaricin FB-2 was added at 0.4 g/kg, the shelf life of raw milk was extended by 3 days (7 days if not added). The shelf life of pasteurized milk with Plantaricin FB-2 was extended to 31 days (25 days in the control group), and the optimal amount was 0.3 g/kg. This confirmed that Plantaricin FB-2 can effectively prolong the shelf life of raw and pasteurized milk. This study provides valuable information for the application of bacteriocins produced by Lactiplantibacillus plantarum in raw milk and pasteurized milk to improve their shelf life. Full article
Show Figures

Figure 1

16 pages, 3308 KB  
Article
UHT Milk Characterization by Electrical Impedance Spectroscopy
by Graziella Scandurra, Emanuele Cardillo, Carmine Ciofi and Luigi Ferro
Appl. Sci. 2022, 12(15), 7559; https://doi.org/10.3390/app12157559 - 27 Jul 2022
Cited by 7 | Viewed by 3274
Abstract
Ultra-High Temperature (UHT) pasteurized milk is the most diffused variety of milk in Europe. In this paper, a method is presented, employing Electrical Impedance Spectroscopy to characterize the different commercial milks commonly available in grocery stores and supermarkets. The curves of the measured [...] Read more.
Ultra-High Temperature (UHT) pasteurized milk is the most diffused variety of milk in Europe. In this paper, a method is presented, employing Electrical Impedance Spectroscopy to characterize the different commercial milks commonly available in grocery stores and supermarkets. The curves of the measured admittance allow for the classification of the type of milk (whole, semi-skimmed, fat-free) and to distinguish lactose-free milk. An electrical circuit model has been derived and different values of circuit parameters add interesting information on the classification of the samples. Furthermore, the characterization allows for the identification of the degradation of the milk before it is visible to the eye, thus highlighting the difference between storage in the fridge and at room temperature, and identifying expired milk. Full article
(This article belongs to the Special Issue Advanced Research in Electronics: The Perspective of Women)
Show Figures

Figure 1

11 pages, 1013 KB  
Article
Effect of Two Urea Forms and Organic Fertilizer Derived from Expired Milk Products on Dynamic of NH3 Emissions and Growth of Williams Banana
by Fei Lin, You Wu, Zheli Ding, Zhaoxi Zhou, Xinge Lin, Ali Majrashi, Mamdouh A. Eissa and Esmat F. Ali
Agronomy 2021, 11(6), 1113; https://doi.org/10.3390/agronomy11061113 - 29 May 2021
Cited by 9 | Viewed by 5805
Abstract
Sustainable agricultural development depends mainly on the recycling of organic wastes to reduce environmental pollution, as well as to reduce the use of mineral fertilizers. Expired milk products are rich in organic carbon and nitrogen, so they are good raw materials for making [...] Read more.
Sustainable agricultural development depends mainly on the recycling of organic wastes to reduce environmental pollution, as well as to reduce the use of mineral fertilizers. Expired milk products are rich in organic carbon and nitrogen, so they are good raw materials for making organic fertilizers. In this study, expired milk products were converted to organic fertilizer (EDPF) by gravity and thermal treatments. The extracted EDPF was used in the nutrition of Williams banana plants under field conditions for two growing seasons. The field experiment consisted of four treatments including: C = control without N fertilization, U = traditional urea, SRU = slow-release urea, and EDPF. EDPF significantly (p < 0.05) improved the growth and yield of Williams banana in comparison to U and SRU. EDPF significantly minimized the soil pH and increased the soil organic-C and cation exchange capacity compared to the other treatments. EDPF increased the total yield of bunches by 20% and 17% in the first and second years, respectively, above U and SRU. EDPF surpassed the traditional and slow-release urea in its ability to supply the banana plants with nitrogen. NH3-N loss from U, SRU, and EDPF reached 172, 132, and 100 kg N ha−1, respectively, which accounted for 34%, 26%, and 20% of the total added nitrogen. Nitrogen loss from the investigated treatments was in the order: U > SRU > EDPF > C. EDPF significantly reduced the ammonia volatilization compared to U and SRU by reducing the soil pH and increasing the soil organic matter. The dynamic of NH3 emissions not only depends on the nitrogen form but also on climatic conditions and concentrations of NH4+ in the soil solution. Protecting the ecosystem and maximizing the benefits of wastes utilization can be done through the recycling of expired dairy products to organic fertilizers. Full article
Show Figures

Graphical abstract

19 pages, 300 KB  
Article
The Role of Labels and Perceived Health Risk in Avoidable Food Wasting
by Magdalena Ankiel and Urszula Samotyja
Sustainability 2020, 12(20), 8725; https://doi.org/10.3390/su12208725 - 21 Oct 2020
Cited by 13 | Viewed by 9019
Abstract
An understanding of the consumer perception of health risks related to food expiration is a prerequisite for future food labeling system improvement in order to reduce environmental burdens. The aim of the study was identification, analysis, and assessment of consumer behavior in the [...] Read more.
An understanding of the consumer perception of health risks related to food expiration is a prerequisite for future food labeling system improvement in order to reduce environmental burdens. The aim of the study was identification, analysis, and assessment of consumer behavior in the context of food waste in households. The study was conducted using the direct interview method (face to face interviews) among a group of 1145 Polish consumers of food. The results show that consumers do not understand the differences between the concept of “use by” and “best before” labeling. Although rice, tea, and coffee were correctly perceived as safe during storage, there is a dissonance between consumer attitudes and behavior. The highest health risk was perceived as being due to consumption of expired “use by” dated milk (out of UHT milk, rice milk dessert, “best before” ready-to-eat meals and “use by” ready-to-heat meals, canned fruits, and fresh-cut salad). However, 51% of respondents still considered consuming it. Irrational consumer behavior poses a health threat as well as contributing to avoidable food waste. Social awareness campaigns are necessary to inform consumers about the monetary value of wasted food as well as about the environmental, social, and ethical impact of their behavior. Full article
(This article belongs to the Section Sustainable Management)
18 pages, 3091 KB  
Article
Recovery of Protein from Dairy Milk Waste Product Using Alcohol-Salt Liquid Biphasic Flotation
by Pei En Tham, Yan Jer Ng, Revathy Sankaran, Kuan Shiong Khoo, Kit Wayne Chew, Yee Jiun Yap, Masnindah Malahubban, Fitri Abdul Aziz Zakry and Pau Loke Show
Processes 2019, 7(12), 875; https://doi.org/10.3390/pr7120875 - 21 Nov 2019
Cited by 34 | Viewed by 7884 | CorrectionCorrection 2
Abstract
Expired dairy products are often disposed of due to the potential health hazard they pose to living organisms. Lack of methods to recover valuable components from them are also a reason for manufactures to dispose of the expired dairy products. Milk encompasses several [...] Read more.
Expired dairy products are often disposed of due to the potential health hazard they pose to living organisms. Lack of methods to recover valuable components from them are also a reason for manufactures to dispose of the expired dairy products. Milk encompasses several different components with their own functional properties that can be applied in production of food and non-food technical products. This study aims to investigate the novel approach of using liquid biphasic flotation (LBF) method for protein extraction from expired milk products and obtaining the optimal operating conditions for protein extraction. The optimized conditions were found at 80% concentration ethanol as top phase, 150 g/L dipotassium hydrogen phosphate along with 10% (w/v) milk as bottom phase, and a flotation time of 7.5 min. The protein recovery yield and separation efficiency after optimization were 94.97% and 86.289%, respectively. The experiment has been scaled up by 40 times to ensure it can be commercialized, and the protein recovery yield and separation efficiency were found to be 78.92% and 85.62%, respectively. This novel approach gives a chance for expired milk products to be changed from waste to raw materials which is beneficial for the environment and the economy. Full article
(This article belongs to the Special Issue Green Technologies: Bridging Conventional Practices and Industry 4.0)
Show Figures

Figure 1

14 pages, 2196 KB  
Article
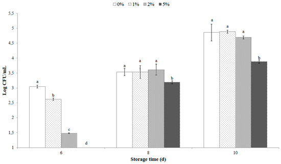
Addition of Olive Leaf Extract (OLE) for Producing Fortified Fresh Pasteurized Milk with an Extended Shelf Life
by Rosa Palmeri, Lucia Parafati, Daniela Trippa, Laura Siracusa, Elena Arena, Cristina Restuccia and Biagio Fallico
Antioxidants 2019, 8(8), 255; https://doi.org/10.3390/antiox8080255 - 30 Jul 2019
Cited by 29 | Viewed by 4063
Abstract
An olive leaf extract (OLE) has been tested in vitro for its antibacterial activity and ability to inhibit α-glucosidase enzyme. OLE was also evaluated for its potential, when added to pasteurized milk, to preserve nutritional parameters and to limit microbial growth, thus prolonging [...] Read more.
An olive leaf extract (OLE) has been tested in vitro for its antibacterial activity and ability to inhibit α-glucosidase enzyme. OLE was also evaluated for its potential, when added to pasteurized milk, to preserve nutritional parameters and to limit microbial growth, thus prolonging shelf life. In vitro assays demonstrated a strong antibacterial efficacy of OLE mainly against Bacillus cereus and the capacity to inhibit α-glucosidase enzyme (IC50) when used at 0.2 mg oleuropein/mL. The milk fortification with OLE at 3.6 mg of oleuropein/mL of milk reduced total mesophilic bacteria at undetectable level after 6 d (expiration date) and by 1 log CFU/mL after 10 d. Moreover, OLE addition at 1.44 and 3.6 mg of oleuropein/mL of milk significantly reduced fat and lactose losses up to 10 d. The results motivate the use of the OLE to make a new functional milk with an extended shelf life. Full article
(This article belongs to the Section Extraction and Industrial Applications of Antioxidants)
Show Figures

Figure 1

9 pages, 347 KB  
Article
Ethanol Production from Cheese Whey and Expired Milk by the Brown Rot Fungus Neolentinus lepideus
by Kenji Okamoto, Saki Nakagawa, Ryuichi Kanawaku and Sayo Kawamura
Fermentation 2019, 5(2), 49; https://doi.org/10.3390/fermentation5020049 - 16 Jun 2019
Cited by 32 | Viewed by 11258
Abstract
The basidiomycete brown rot fungus Neolentinus lepideus is capable of assimilating and fermenting lactose to ethanol with a conversion yield comparable to those of lactose-fermenting yeasts. The ability of the fungus to ferment lactose is not influenced by the addition of glucose or [...] Read more.
The basidiomycete brown rot fungus Neolentinus lepideus is capable of assimilating and fermenting lactose to ethanol with a conversion yield comparable to those of lactose-fermenting yeasts. The ability of the fungus to ferment lactose is not influenced by the addition of glucose or calcium. Therefore, N. lepideus may be useful in ethanol production from materials composed mainly of lactose, such as cheese whey or expired cow’s milk. Whey is a by-product of cheese manufacturing, and approximately 50% of the total worldwide production of whey is normally disposed of without being utilized. We found that N. lepideus produced ethanol directly from cheese whey with a yield of 0.35 g of ethanol per gram of lactose consumed, and it also fermented expired milk containing lactose, protein, and fat with a similar yield. Our findings revealed that the naturally occurring basidiomycete fungus possesses a unique ability to produce ethanol from cheese whey and expired milk. Thus, N. lepideus may be useful in facilitating ethanol production from dairy wastes in a cost-effective and environmentally friendly manner. Full article
Show Figures

Graphical abstract

16 pages, 3189 KB  
Article
Integration of Membrane Bioreactors with Edible Filamentous Fungi for Valorization of Expired Milk
by Rahul Thunuguntla, Amir Mahboubi, Jorge A. Ferreira and Mohammad J. Taherzadeh
Sustainability 2018, 10(6), 1940; https://doi.org/10.3390/su10061940 - 10 Jun 2018
Cited by 16 | Viewed by 6258
Abstract
Around 29 million tons of milk end as waste yearly in Europe, representing an environmental issue but also a potential substrate for biological valorization given its nutritional value. Aspergillus oryzae and Neurospora intermedia are edible filamentous fungi with dissimilar metabolism when grown in [...] Read more.
Around 29 million tons of milk end as waste yearly in Europe, representing an environmental issue but also a potential substrate for biological valorization given its nutritional value. Aspergillus oryzae and Neurospora intermedia are edible filamentous fungi with dissimilar metabolism when grown in expired milk. Neurospora intermedia is more devoted to lactose consumption; 68 and 57% of lactose was consumed after cultivation in expired milk and its liquid fraction, respectively. Aspergillus oryzae consumed less lactose in expired milk (14%), but led to better microfiltration characteristics of the final effluent due to fat and protein degradation. A two-stage fed-batch cultivation using membrane bioreactors (MBRs) was developed, bringing together both fungal metabolic characteristics when grown in 70% diluted expired milk. In the first MBR, A.oryzae degraded fat and protein, improved microfiltration, and produced ca 11 g/L of biomass. In the second MBR, N. intermedia consumed the remaining lactose in the permeate and originated ca 7 g/L of biomass. The developed system was successful for valorization of non-sterile milk due to the balance between consumption of bacterial growth-derived acids, consequent pH, and fungal enzymatic activities. Besides, a final clear effluent (83% reduction of COD) was obtained, which is of interest considering wastewater treatment. Full article
(This article belongs to the Special Issue The New Paradigm of Waste Management: Waste as Resources)
Show Figures

Graphical abstract

Back to TopTop