Extending the Shelf Life of Raw Milk and Pasteurized Milk with Plantaricin FB-2
Abstract
:1. Introduction
2. Materials and Methods
2.1. Raw Milk and Pasteurized Milk Sample
2.2. Preparation of Plantaricin FB-2
2.3. Experimental Design
2.4. Bacterial Counts
2.5. Microbial Growth Model Prediction
2.6. Methylene Blue Reduction Reaction
2.7. Changes in Acidity
2.8. Changes in Protein Content
2.9. Sensory Evaluation
2.10. Data Analysis
3. Results and Discussion
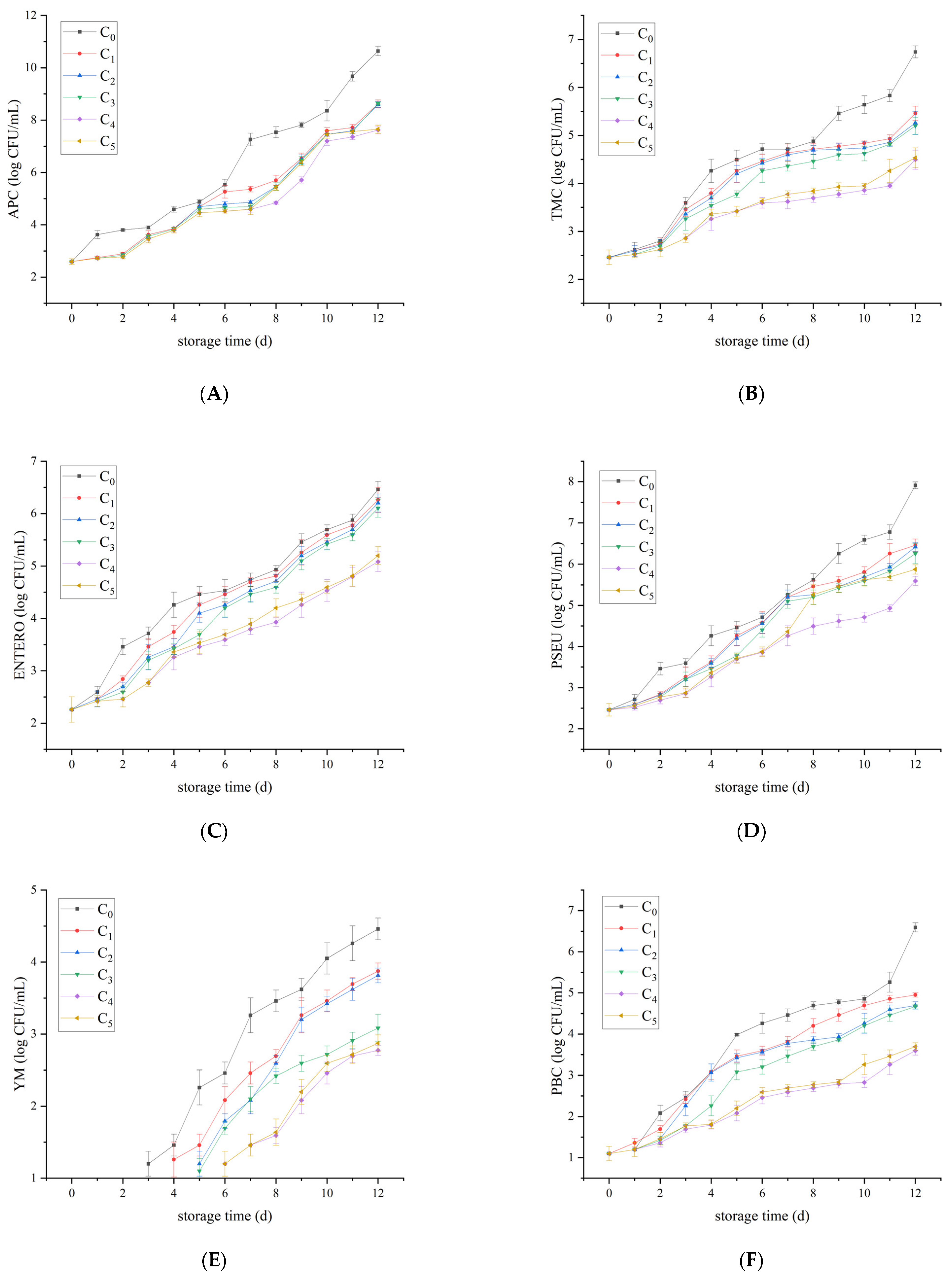
3.1. Microbiological Analyses
3.2. Microbial Model Analysis of Raw Milk
3.3. Microbial Model Analysis of Pasteurized Milk
3.4. Methylene Blue Reduction Reaction Analyses
3.5. Acidity Analyses
3.6. Protein Content Analyses
3.7. Sensory Evaluation Analyses
4. Conclusions
Author Contributions
Funding
Data Availability Statement
Conflicts of Interest
References
- Grace, D.; Wu, F.; Havelaar, A.H. Foodborne diseases from milk and milk products in developing countries-review of causes and health and economic implications. J. Dairy Sci. 2020, 103, 9715–9729. [Google Scholar] [CrossRef] [PubMed]
- Zhang, J.; Wang, J.; Jin, J.; Li, X.; Zhang, H.; Shi, X.; Zhao, C. Prevalence, antibiotic resistance, and enterotoxin genes of Staphylococcus aureus isolated from milk and dairy products worldwide: A systematic review and meta-analysis. Food Res. Int. 2022, 162 Pt A, 111969. [Google Scholar] [CrossRef]
- Quigley, L.; O’Sullivan, O.; Stanton, C.; Beresford, T.P.; Ross, R.P.; Fitzgerald, G.F.; Cotter, P.D. The complex microbiota of raw milk. FEMS Microbiol. Rev. 2013, 37, 664–698. [Google Scholar] [CrossRef] [PubMed]
- Boyd, E.; Trmcic, A.; Taylor, M.; Shyng, S.; Hasselback, P.; Man, S.; Tchao, C.; Stone, J.; Janz, L.; Hoang, L.; et al. Escherichia coli O121 outbreak associated with raw milk Gouda-like cheese in British Columbia, Canada, 2018. Can. Commun. Dis. Rep. 2021, 47, 11–16. [Google Scholar] [CrossRef] [PubMed]
- Reuben, R.C.; Roy, P.C.; Sarkar, S.L.; Rubayet Ul Alam, A.S.M.; Jahid, I.K. Characterization and evaluation of lactic acid bacteria from indigenous raw milk for potential probiotic properties. J. Dairy Sci. 2020, 103, 1223–1237. [Google Scholar] [CrossRef]
- Kou, X.; Cai, H.; Huang, S.; Ni, Y.; Luo, B.; Qian, H.; Ji, H.; Wang, X. Prevalence and characteristics of Staphylococcus aureus isolated from retail raw milk in Northern Xinjiang, China. Front. Microbiol. 2021, 12, 705947. [Google Scholar] [CrossRef]
- Moubasher, A.H.; Abdel-Sater, M.A.; Soliman, Z.S.M. Yeasts and filamentous fungi associated with some dairy products in Egypt. J. Mycol. Med. 2018, 28, 76–86. [Google Scholar] [CrossRef]
- Reichler, S.J.; Trmčić, A.; Martin, N.H.; Boor, K.J.; Wiedmann, M. Pseudomonas fluorescens group bacterial strains are responsible for repeat and sporadic postpasteurization contamination and reduced fluid milk shelf life. J. Dairy Sci. 2018, 101, 7780–7800. [Google Scholar] [CrossRef]
- Rosario, A.I.L.S.; Castro, V.S.; Santos, L.F.; Lisboa, R.C.; Vallim, D.C.; Silva, M.C.A.; Figueiredo, E.E.S.; Conte-Junior, C.A.; Costa, M.P. Shiga toxin-producing Escherichia coli isolated from pasteurized dairy products from Bahia, Brazil. J. Dairy Sci. 2021, 104, 6535–6547. [Google Scholar] [CrossRef]
- Zhang, Z.; Song, Y.; Ma, L.; Huang, K.; Liang, Z. Co-Occurrence of Staphylococcus aureus and Ochratoxin a in pasteurized milk. Toxins 2022, 14, 718. [Google Scholar] [CrossRef]
- Martin, N.H.; Torres-Frenzel, P.; Wiedmann, M. Controlling dairy product spoilage to reduce food loss and waste. J. Dairy Sci. 2021, 104, 1251–1261. [Google Scholar] [CrossRef]
- Enan, G. Inhibition of Bacillus cereus ATCC 14579 by plantaricin UG1 in vitro and in food. Nahrung 2000, 44, 364–367. [Google Scholar] [CrossRef]
- Wu, S.; Zhang, H.; Zhou, H.; Jin, J.; Xie, Y. Synergistic effect of plantaricin BM-1 combined with physicochemical treatments on the control of Listeria monocytogenes in cooked ham. J. Food Prot. 2017, 80, 976–981. [Google Scholar] [CrossRef]
- Du, H.; Chi, H.; Yao, H.; Lu, Z.; Bie, X.; Zhang, C.; Zhao, H.; Lu, F.; Chen, M. The antibacterial activity of plantaricin GZ1-27 against MRSA and its bio-preservative effect on chilled pork in combination with chitosan. Int. J. Food Microbiol. 2022, 365, 109539. [Google Scholar] [CrossRef]
- Zhao, D.; Wang, Q.; Lu, F.; Bie, X.; Zhao, H.; Lu, Z.; Lu, Y. A novel class IIb bacteriocin-plantaricin EmF effectively inhibits Listeria monocytogenes and extends the shelf life of beef in combination with chitosan. J. Agric. Food Chem. 2022, 70, 2187–2196. [Google Scholar] [CrossRef]
- Bellassi, P.; Rocchetti, G.; Maldarizzi, G.; Braceschi, G.P.; Morelli, L.; Lucini, L.; Cappa, F. Case study on the microbiological quality, chemical and sensorial profiles of different dairy creams and ricotta cheese during shelf-life. Foods 2021, 10, 2722. [Google Scholar] [CrossRef]
- Gogliettino, M.; Balestrieri, M.; Ambrosio, R.L.; Anastasio, A.; Smaldone, G.; Proroga, Y.T.R.; Moretta, R.; Rea, I.; De Stefano, L.; Agrillo, B.; et al. Extending the shelf-life of meat and dairy products via PET-modified packaging activated with the antimicrobial peptide MTP1. Front. Microbiol. 2020, 10, 2963. [Google Scholar] [CrossRef]
- Ingham, S.C.; Becker, K.L.; Fanslau, M.A. Comparison of the Baird-Parker agar and 3M Petrifilm Staph Express Count plate methods for enumeration of Staphylococcus aureus in naturally and artificially contaminated foods. J. Food Prot. 2003, 66, 2151–2155. [Google Scholar] [CrossRef]
- De Oliveira, G.B.; Favarin, L.; Luchese, R.H.; McIntosh, D. Psychrotrophic bacteria in milk: How much do we really know? Braz. J. Microbiol. 2015, 46, 313–321. [Google Scholar] [CrossRef]
- Ribeiro-Júnior, J.C.; Tamanini, R.; Alfieri, A.A.; Beloti, V. Effect of milk bactofugation on the counts and diversity of thermoduric bacteria. J. Dairy Sci. 2020, 103, 8782–8790. [Google Scholar] [CrossRef]
- Lemma, F.; Alemayehu, H.; Stringer, A.; Eguale, T. Prevalence and antimicrobial susceptibility profile of Staphylococcus aureus in milk and traditionally processed dairy products in Addis Ababa, Ethiopia. BioMed Res. Int. 2021, 2021, 5576873. [Google Scholar] [CrossRef] [PubMed]
- Mladenović, K.G.; Grujović, M.Ž.; Kiš, M.; Furmeg, S.; Tkalec, V.J.; Stefanović, O.D.; Kocić-Tanackov, S.D. Enterobacteriaceae in food safety with an emphasis on raw milk and meat. Appl. Microbiol. Biotechnol. 2021, 105, 8615–8627. [Google Scholar] [CrossRef] [PubMed]
- Hahne, J.; Isele, D.; Berning, J.; Lipski, A. The contribution of fast growing, psychrotrophic microorganisms on biodiversity of refrigerated raw cow’s milk with high bacterial counts and their food spoilage potential. Food Microbiol. 2019, 79, 11–19. [Google Scholar] [CrossRef] [PubMed]
- Braem, G.; De Vliegher, S.; Verbist, B.; Heyndrickx, M.; Leroy, F.; De Vuyst, L. Culture-independent exploration of the teat apex microbiota of dairy cows reveals a wide bacterial species diversity. Vet. Microbiol. 2012, 157, 383–390. [Google Scholar] [CrossRef] [PubMed]
- Berhanu, L.; Gume, B.; Kassa, T.; Dadi, L.S.; Tegegne, D.; Getnet, M.; Bediru, H.; Getaneh, A.; Suleman, S.; Mereta, S.T. Microbial quality of raw cow milk and its predictors along the dairy value chain in Southwest Ethiopia. Int. J. Food Microbiol. 2021, 350, 109228. [Google Scholar] [CrossRef]
- Machado, S.G.; Baglinière, F.; Marchand, S.; Van Coillie, E.; Vanetti, M.C.; De Block, J.; Heyndrickx, M. The biodiversity of the microbiota producing heat-resistant enzymes responsible for spoilage in processed bovine milk and dairy products. Front. Microbiol. 2017, 8, 302. [Google Scholar] [CrossRef]
- Yu, T.; Zhang, X.; Feng, R.; Wang, C.; Wang, X.; Wang, Y. Comparison of the effects of high hydrostatic pressure and pasteurization on quality of milk during storage. Foods 2022, 11, 2837. [Google Scholar] [CrossRef]
- Ribeiro Júnior, J.C.; Tamanini, R.; de Oliveira, A.L.M.; Alfieri, A.A.; Beloti, V. Genetic diversity of thermoduric spoilage microorganisms of milk from Brazilian dairy farms. J. Dairy Sci. 2018, 101, 6927–6936. [Google Scholar] [CrossRef]
- Kable, M.E.; Srisengfa, Y.; Xue, Z.; Coates, L.C.; Marco, M.L. Viable and total bacterial populations undergo equipment- and time-dependent shifts during milk processing. Appl. Environ. Microbiol. 2019, 85, e00270-19. [Google Scholar] [CrossRef]
- Barbano, D.M.; Ma, Y.; Santos, M.V. Influence of raw milk quality on fluid milk shelf life. J. Dairy Sci. 2006, 89 (Suppl. 1), E15–E19. [Google Scholar] [CrossRef]
- Vázquez-Román, S.; Escuder-Vieco, D.; García-Lara, N.R.; Alonso-Díaz, C.; Lora, D.; Martín-Pelegrina, M.D.; Pallás-Alonso, C.R. Impact of freezing time on dornic acidity in three types of milk: Raw donor milk, mother’s own milk, and pasteurized donor milk. Breastfeed. Med. 2016, 11, 91–93. [Google Scholar] [CrossRef]
- Li, S.N.; Tang, S.H.; Ren, R.; Gong, J.X.; Chen, Y.M. Metabolomic profile of milk fermented with Streptococcus thermophilus cocultured with Bifidobacterium animalis ssp. lactis, Lactiplantibacillus plantarum, or both during storage. J. Dairy Sci. 2021, 104, 8493–8505. [Google Scholar] [CrossRef]
- Morandi, S.; Pica, V.; Masotti, F.; Cattaneo, S.; Brasca, M.; De Noni, I.; Silvetti, T. Proteolytic traits of psychrotrophic bacteria potentially causative of sterilized milk instability: Genotypic, phenotypic and peptidomic insight. Foods 2021, 10, 934. [Google Scholar] [CrossRef]
- Zhang, C.; Bijl, E.; Hettinga, K. Destabilization of UHT milk by protease AprX from Pseudomonas fluorescens and plasmin. Food Chem. 2018, 263, 127–134. [Google Scholar] [CrossRef]
- Conti-Silva, A.C.; Souza-Borges, P.K. Sensory characteristics, brand and probiotic claim on the overall liking of commercial probiotic fermented milks: Which one is more relevant? Food Res. Int. 2019, 116, 184–189. [Google Scholar] [CrossRef]
- El-Saadony, M.T.; Khalil, O.S.F.; Osman, A.; Alshilawi, M.S.; Taha, A.E.; Aboelenin, S.M.; Shukry, M.; Saad, A.M. Bioactive peptides supplemented raw buffalo milk: Biological activity, shelf life and quality properties during cold preservation. Saudi J. Biol. Sci. 2021, 28, 4581–4591. [Google Scholar] [CrossRef]












| Microorganism | Culture Medium | Culture Condition |
|---|---|---|
| APC | PCA | 30 °C, 48–72 h |
| TMC | MPCA | 30 °C, 48 h |
| ENTERO | VRBGA | 30 °C, 24 h |
| PSEU | Pseudomonas CFC selective agar + 5 mL glycerol + CFC supplements | 30 °C, 48 h |
| YM | DRBC | 28 °C, 5 d |
| PBC | MPC | 6.5 °C, 10 d |
| SA | Baird-Parker | 36 °C ± 1 °C, 24–48 h |
| Evaluation Index | Standard | Grade |
|---|---|---|
| Odor | With milk inherent fragrance, no peculiar smell | 16–20 |
| Slight fragrance, fragrance is not obvious | 11–15 | |
| A slight odor | 6–10 | |
| Odor obvious | 0–5 | |
| Color and luster | Milky white or yellowish | 16–20 |
| The color begins to darken to yellow | 11–15 | |
| The color is dull and burnt yellow | 6–10 | |
| Pale blue or other unusual colors | 0–5 | |
| Texture | Uniform fluid, no clots, no precipitation, no normal vision of foreign bodies | 16–20 |
| Slightly viscous, uneven liquid | 11–15 | |
| Viscous, slightly layered | 6–10 | |
| Stratification is serious, the upper layer appears clear liquid, the lower layer appears bean curd-like sediment | 0–5 | |
| Boiling state | Liquid evenly | 16–20 |
| Slight flocculent solidification begins | 11–15 | |
| Semi-solidified state | 6–10 | |
| Completely frozen | 0–5 | |
| Mouthfeel | The characteristic mellow taste of milk | 16–20 |
| The fragrance is light, but no peculiar smell | 11–15 | |
| The appearance of atypical frankincense or sour taste | 6–10 | |
| Acid smell | 0–5 |
| Day | Milk | Odor | Color and Luster | Texture | Boiling State | Mouthfeel | |||||
|---|---|---|---|---|---|---|---|---|---|---|---|
| 0 | C0 | 19.4 | a a | 19.6 | a | 19.8 | a | 20 | a | 19.8 | a |
| C1 | 19.6 | a | 19.6 | a | 19.8 | a | 20 | a | 19.8 | a | |
| C2 | 19.6 | a | 19.6 | a | 19.8 | a | 20 | a | 19.8 | a | |
| C3 | 19.6 | a | 19.6 | a | 19.8 | a | 20 | a | 19.8 | a | |
| C4 | 19.6 | a | 19.6 | a | 19.8 | a | 20 | a | 19.8 | a | |
| C5 | 19.6 | a | 19.6 | a | 19.8 | a | 20 | a | 19.8 | a | |
| LSD | 0.71 | 0.71 | 0.58 | 0.00 | 0.58 | ||||||
| 3 | C0 | 17.8 | a | 17.6 | a | 18.2 | a | 17.8 | a | 17.2 | a |
| C1 | 17.8 | a | 17.6 | a | 18.2 | a | 17.8 | a | 17.2 | a | |
| C2 | 17.8 | a | 17.6 | a | 18.2 | a | 17.8 | a | 17.2 | a | |
| C3 | 17.8 | a | 17.6 | a | 18.2 | a | 17.8 | a | 17.2 | a | |
| C4 | 18 | a | 17.6 | a | 18.4 | a | 17.8 | a | 17.2 | a | |
| C5 | 17.8 | a | 17.4 | a | 18.2 | a | 17.8 | a | 17.2 | a | |
| LSD | 1.07 | 1.11 | 0.61 | 0.58 | 0.58 | ||||||
| 6 | C0 | 13.2 | a | 13 | a | 13.6 | a | 13.4 | a | 12.4 | a |
| C1 | 13.4 | a | 13.2 | a | 13.6 | a | 13.6 | a | 12.4 | a | |
| C2 | 13.4 | a | 13 | a | 13.6 | a | 13.4 | a | 12.6 | a | |
| C3 | 13.4 | a | 13 | a | 13.6 | a | 13.6 | a | 12.8 | a | |
| C4 | 13.4 | a | 13 | a | 13.8 | a | 13.8 | a | 13 | a | |
| C5 | 13.4 | a | 12.8 | a | 13.6 | a | 13.6 | a | 12.4 | a | |
| LSD | 0.69 | 0.83 | 0.69 | 0.69 | 0.73 | ||||||
| 9 | C0 | 8.2 | b | 9.2 | a | 9.4 | a | 8.6 | a | 8.6 | a |
| C1 | 9.2 | a | 9.2 | a | 9.4 | a | 8.6 | a | 8.6 | a | |
| C2 | 9.4 | a | 9.2 | a | 9.4 | a | 8.6 | a | 8.6 | a | |
| C3 | 9.4 | a | 9.2 | a | 9.4 | a | 8.8 | a | 8.8 | a | |
| C4 | 9.4 | a | 9.2 | a | 9.8 | a | 8.8 | a | 8.8 | a | |
| C5 | 9.2 | a | 8.8 | a | 9.4 | a | 8.4 | a | 8.6 | a | |
| LSD | 0.65 | 0.58 | 0.69 | 0.67 | 0.67 | ||||||
| 12 | C0 | 3.4 | a | 7.2 | a | 3.4 | b | 3.6 | a | 3.4 | a |
| C1 | 3.6 | a | 7.2 | a | 3.4 | b | 3.6 | a | 3.4 | a | |
| C2 | 3.6 | a | 7.2 | a | 3.6 | ab | 3.6 | a | 3.4 | a | |
| C3 | 3.6 | a | 7.2 | a | 3.6 | ab | 3.8 | a | 3.4 | a | |
| C4 | 4.2 | a | 7.2 | a | 4.2 | a | 4 | a | 3.8 | a | |
| C5 | 4 | a | 6.6 | a | 4 | ab | 3.4 | a | 3.4 | a | |
| LSD | 0.83 | 0.61 | 0.63 | 0.63 | 0.69 | ||||||
| Day | Milk | Odor | Color and Luster | Texture | Boiling State | Mouthfeel | |||||
|---|---|---|---|---|---|---|---|---|---|---|---|
| 1 | C0 | 20 | a a | 20 | a | 20 | a | 20 | a | 19.8 | a |
| C1 | 20 | a | 20 | a | 20 | a | 20 | a | 19.8 | a | |
| C2 | 20 | a | 20 | a | 20 | a | 20 | a | 19.8 | a | |
| C3 | 20 | a | 20 | a | 20 | a | 20 | a | 19.8 | a | |
| C4 | 20 | a | 19.4 | b | 20 | a | 20 | a | 19.8 | a | |
| C5 | 20 | a | 19.2 | b | 20 | a | 20 | a | 19.6 | a | |
| LSD | 0.00 | 0.38 | 0.00 | 0.00 | 0.61 | ||||||
| 7 | C0 | 19.8 | a | 19.6 | a | 19.8 | a | 20 | a | 19.2 | a |
| C1 | 19.8 | a | 19.6 | a | 19.8 | a | 20 | a | 19.2 | a | |
| C2 | 19.8 | a | 19.6 | a | 19.8 | a | 20 | a | 19.2 | a | |
| C3 | 19.8 | a | 19.6 | a | 19.8 | a | 20 | a | 19.2 | a | |
| C4 | 19.8 | a | 19.2 | a | 19.8 | a | 20 | a | 19.2 | a | |
| C5 | 19.8 | a | 19 | a | 19.8 | a | 20 | a | 19.2 | a | |
| LSD | 0.58 | 0.83 | 0.58 | 0.00 | 1.09 | ||||||
| 13 | C0 | 17.6 | a | 17.8 | a | 18.2 | a | 17.8 | a | 16.6 | a |
| C1 | 17.6 | a | 17.8 | a | 18.4 | a | 17.8 | a | 16.6 | a | |
| C2 | 17.8 | a | 17.8 | a | 18.4 | a | 17.8 | a | 16.6 | a | |
| C3 | 17.8 | a | 17.8 | a | 18.6 | a | 17.8 | a | 16.6 | a | |
| C4 | 17.8 | a | 17.4 | a | 18.4 | a | 17.8 | a | 16.6 | a | |
| C5 | 17.8 | a | 17.2 | a | 18.4 | a | 17.8 | a | 16.6 | a | |
| LSD | 0.63 | 0.71 | 0.69 | 0.58 | 1.17 | ||||||
| 19 | C0 | 13.6 | a | 15.2 | a | 12.8 | a | 13.2 | a | 11.2 | a |
| C1 | 13.8 | a | 15.2 | a | 13.2 | a | 13.4 | a | 11.4 | a | |
| C2 | 13.8 | a | 15 | a | 13.2 | a | 13.4 | a | 11.4 | a | |
| C3 | 13.8 | a | 15 | a | 13.4 | a | 13.6 | a | 11.4 | a | |
| C4 | 13.8 | a | 14.2 | b | 13.4 | a | 13.6 | a | 11.4 | a | |
| C5 | 14 | a | 14 | b | 13.4 | a | 13.6 | a | 11.4 | a | |
| LSD | 1.01 | 0.77 | 0.65 | 0.69 | 0.79 | ||||||
| 25 | C0 | 11.6 | b | 12.8 | a | 11.4 | b | 11.8 | a | 10.4 | b |
| C1 | 12.4 | a | 12.8 | a | 12 | ab | 12.2 | a | 10.8 | ab | |
| C2 | 12.4 | a | 12.8 | a | 12.2 | a | 12.2 | a | 11 | ab | |
| C3 | 12.6 | a | 12.8 | a | 12.2 | a | 12.4 | a | 11.2 | a | |
| C4 | 12.6 | a | 12.4 | a | 12.2 | a | 12.4 | a | 11.2 | a | |
| C5 | 12.6 | a | 12 | a | 12.2 | a | 12.4 | a | 11.2 | a | |
| LSD | 0.71 | 1.01 | 0.67 | 0.92 | 0.67 | ||||||
| 31 | C0 | 6.4 | b | 7.4 | a | 6.2 | b | 6.8 | a | 6.2 | a |
| C1 | 7.6 | a | 7.4 | a | 7.2 | ab | 7.2 | a | 6.6 | a | |
| C2 | 7.6 | a | 7.4 | a | 7.4 | ab | 7.2 | a | 6.6 | a | |
| C3 | 8 | a | 7.4 | a | 7.6 | a | 7.2 | a | 6.8 | a | |
| C4 | 8 | a | 6.4 | b | 7.6 | a | 7.2 | a | 6.8 | a | |
| C5 | 8 | a | 6 | b | 7.6 | a | 7.2 | a | 6.8 | a | |
| LSD | 0.83 | 0.75 | 1.26 | 1.09 | 0.91 | ||||||
| 37 | C0 | 4.2 | b | 6 | a | 4.2 | b | 5.2 | ab | 4.2 | a |
| C1 | 5.6 | a | 6 | a | 4.6 | ab | 5.8 | a | 4.4 | a | |
| C2 | 5.8 | a | 6 | a | 4.8 | ab | 5.8 | a | 4.4 | a | |
| C3 | 6 | a | 6 | a | 5.2 | a | 5.8 | a | 4.6 | a | |
| C4 | 6 | a | 3.8 | b | 5.2 | a | 5.2 | ab | 4.6 | a | |
| C5 | 6 | a | 3.2 | b | 5.2 | a | 4.8 | b | 4.6 | a | |
| LSD | 0.79 | 0.83 | 0.61 | 0.88 | 0.69 | ||||||
Disclaimer/Publisher’s Note: The statements, opinions and data contained in all publications are solely those of the individual author(s) and contributor(s) and not of MDPI and/or the editor(s). MDPI and/or the editor(s) disclaim responsibility for any injury to people or property resulting from any ideas, methods, instructions or products referred to in the content. |
© 2023 by the authors. Licensee MDPI, Basel, Switzerland. This article is an open access article distributed under the terms and conditions of the Creative Commons Attribution (CC BY) license (https://creativecommons.org/licenses/by/4.0/).
Share and Cite
Li, Y.; Weng, P.; Wu, Z.; Liu, Y. Extending the Shelf Life of Raw Milk and Pasteurized Milk with Plantaricin FB-2. Foods 2023, 12, 608. https://doi.org/10.3390/foods12030608
Li Y, Weng P, Wu Z, Liu Y. Extending the Shelf Life of Raw Milk and Pasteurized Milk with Plantaricin FB-2. Foods. 2023; 12(3):608. https://doi.org/10.3390/foods12030608
Chicago/Turabian StyleLi, Yajuan, Peifang Weng, Zufang Wu, and Yanan Liu. 2023. "Extending the Shelf Life of Raw Milk and Pasteurized Milk with Plantaricin FB-2" Foods 12, no. 3: 608. https://doi.org/10.3390/foods12030608
APA StyleLi, Y., Weng, P., Wu, Z., & Liu, Y. (2023). Extending the Shelf Life of Raw Milk and Pasteurized Milk with Plantaricin FB-2. Foods, 12(3), 608. https://doi.org/10.3390/foods12030608
