Sign in to use this feature.

Years

Between: -

Subjects

remove_circle_outline
remove_circle_outline
remove_circle_outline
remove_circle_outline
remove_circle_outline
remove_circle_outline
remove_circle_outline
remove_circle_outline

Journals

Article Types

Countries / Regions

Search Results (97)

Search Parameters:
Keywords = exchange traded funds

Order results
Result details
Results per page
Select all
Export citation of selected articles as:
18 pages, 1536 KB  
Article
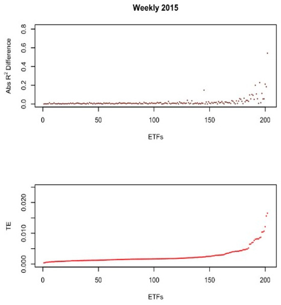
When Tracking Error Misleads: Risk Exposure Differences Between ETFs and Their Indices
by Naif Alfnaisan, Fatima Jebari and Mohammad Kabir Hassan
J. Risk Financial Manag. 2026, 19(1), 86; https://doi.org/10.3390/jrfm19010086 - 21 Jan 2026
Viewed by 51
Abstract
We investigate the underlying risk exposures of ETFs compared with their indices using a Principal Component Analysis approach. Then, we test whether ETFs’ tracking errors can capture the risk exposure difference between ETFs and their underlying benchmarks. We document a significant positive relation [...] Read more.
We investigate the underlying risk exposures of ETFs compared with their indices using a Principal Component Analysis approach. Then, we test whether ETFs’ tracking errors can capture the risk exposure difference between ETFs and their underlying benchmarks. We document a significant positive relation between tracking error and differences in risk exposure between ETFs and their corresponding indices. Even modest increases in tracking error are associated with economically meaningful divergences in risk exposure between an ETF and its benchmark. These findings suggest that comparisons of tracking error across index ETFs when making investment decisions may be misleading for investors seeking benchmark-consistent risk exposure. Full article
(This article belongs to the Section Financial Markets)
Show Figures

Figure 1

20 pages, 1371 KB  
Article
The Two-Tiered Structure of Cryptocurrency Funding Rate Markets
by Petar Zhivkov
Mathematics 2026, 14(2), 346; https://doi.org/10.3390/math14020346 - 20 Jan 2026
Viewed by 83
Abstract
Perpetual futures account for approximately 93% of cryptocurrency futures trading volume, yet funding rate dynamics across fragmented markets remain understudied. We construct a high-frequency panel dataset comprising 35.7 million one-minute observations across 26 cryptocurrency exchanges (11 centralized, 15 decentralized) spanning 749 symbols over [...] Read more.
Perpetual futures account for approximately 93% of cryptocurrency futures trading volume, yet funding rate dynamics across fragmented markets remain understudied. We construct a high-frequency panel dataset comprising 35.7 million one-minute observations across 26 cryptocurrency exchanges (11 centralized, 15 decentralized) spanning 749 symbols over eight consecutive days. Using time-series econometrics, correlation analysis, and Granger causality tests, we characterize funding rate dynamics, market integration, and information flow. We find evidence of a two-tiered market structure: centralized exchanges (CEX) dominate price discovery with 61% higher integration than decentralized exchanges (DEX), and all significant information flow runs CEX-to-DEX with zero reverse causality. While 17% of observations exhibit economically significant arbitrage spreads (≥20 basis points), only 40% of top opportunities generate positive returns after transaction costs and spread reversals. Delta-neutral portfolio simulations reveal that successful arbitrage requires both high spreads and sufficient duration before inevitable reversals, with forced exits occurring in 95% of opportunities. The findings show that cryptocurrency derivatives markets exhibit a persistent two-tiered structure in which centralized platforms dominate price discovery while transaction costs and spread reversal risks prevent arbitrage from eliminating large mispricings between platforms, resolving the apparent paradox of substantial price fragmentation coexisting with market efficiency. Full article
Show Figures

Figure 1

27 pages, 3314 KB  
Article
Performance and Risk Analytics of Asian Exchange-Traded Funds
by Bhathiya Divelgama, Nancy Asare Nyarko, Naa Sackley Dromo Aryee, Abootaleb Shirvani and Svetlozar T. Rachev
J. Risk Financial Manag. 2026, 19(1), 69; https://doi.org/10.3390/jrfm19010069 - 15 Jan 2026
Viewed by 238
Abstract
Exchange-traded funds (ETFs) provide low-cost, liquid access to broad equity and fixed-income exposures, including rapidly growing Asian and Asia-focused markets. Yet the academic evidence on Asian ETF portfolio construction remains fragmented, often limited to narrow country samples and centered on mean–variance trade-offs and [...] Read more.
Exchange-traded funds (ETFs) provide low-cost, liquid access to broad equity and fixed-income exposures, including rapidly growing Asian and Asia-focused markets. Yet the academic evidence on Asian ETF portfolio construction remains fragmented, often limited to narrow country samples and centered on mean–variance trade-offs and standard performance statistics, with comparatively less emphasis on downside tail risk and on implementable long-only versus long–short designs under leverage constraints. This study examines the performance and risk characteristics of 29 Asian and Asia-focused ETFs over 2014–2025 and evaluates whether optimization using variance-based and tail-sensitive risk measures improves portfolio outcomes relative to a simple, implementable benchmark. We construct Markowitz mean–variance and conditional value-at-risk (CVaR) efficient frontiers and implement six optimized portfolios at the 95% and 99% tail levels under long-only and long–short configurations with leverage up to 30%. Performance is evaluated relative to an equally weighted Asian ETF benchmark using the Sharpe ratio and tail-sensitive measures, including the Rachev ratio and the stable tail adjusted return (STARR), complemented by fat-tail diagnostics based on the Hill tail-index estimator. The empirical results show that optimization improves efficiency relative to equal weighting in risk-adjusted terms and that moderate leverage can increase returns but typically amplifies volatility, dispersion, and drawdowns. Taken together, the evidence indicates that risk-measure choice materially affects portfolio composition and realized outcomes, with tail-based optimization generally producing more robust allocations than mean–variance approaches when downside risk is a primary concern. Full article
(This article belongs to the Collection Quantitative Advances and Risks in Asian Financial Markets)
Show Figures

Figure 1

20 pages, 638 KB  
Article
Beyond Volatility Decay: Correcting Relative Expected Return Estimates for Leveraged Exchange Traded Funds
by William J. Trainor
J. Risk Financial Manag. 2026, 19(1), 20; https://doi.org/10.3390/jrfm19010020 - 25 Dec 2025
Viewed by 999
Abstract
Leveraged exchange traded funds (LETFs) magnifying popular index daily returns by up to ±3.0× are often assumed to belong in the domain of sophisticated traders with short-term horizons. This study shows why the standard method used by LETF providers to inform investors of [...] Read more.
Leveraged exchange traded funds (LETFs) magnifying popular index daily returns by up to ±3.0× are often assumed to belong in the domain of sophisticated traders with short-term horizons. This study shows why the standard method used by LETF providers to inform investors of long-run expected returns relative to an underlying index produces estimates that significantly deviate from statistically correct returns given a particular index return and standard deviation. Current methods underestimate LETF expected returns by over one hundred percentage points annually for bullish LETFs during high-return/high-volatility environments and equally overstate bearish LETFs’ performance during negative-return/low-volatility environments. These errors are magnified with higher leverage. The statistically correct method is also applied to monthly and quarterly calendar LETFs, showing they outperform daily LETFs in average- to high-volatility environments while daily LETFs tend to outperform in high-return, low-volatility environments. Results have implications for portfolio management, fund providers, regulators, and investors using LETFs for longer-term horizons while challenging the idea that LETFs are purely short-term trading vehicles. Full article
(This article belongs to the Special Issue Financial Innovations and Derivatives)
Show Figures

Graphical abstract

30 pages, 513 KB  
Article
From Placement to Integration: A Parametric Study of Cryptocurrency-Based Money Laundering Techniques
by Hugo Almeida, Pedro Pinto and Ana Fernández Vilas
Risks 2025, 13(12), 249; https://doi.org/10.3390/risks13120249 - 11 Dec 2025
Viewed by 575
Abstract
The widespread adoption of cryptocurrencies has transformed the financial landscape by enabling swift, decentralised transactions. However, the pseudonymous nature of digital currencies has also fuelled illicit activities, such as money laundering. Criminals perform money laundering to access illicitly acquired funds without detection and [...] Read more.
The widespread adoption of cryptocurrencies has transformed the financial landscape by enabling swift, decentralised transactions. However, the pseudonymous nature of digital currencies has also fuelled illicit activities, such as money laundering. Criminals perform money laundering to access illicitly acquired funds without detection and convert illegally obtained assets into untraceable commodities, seamlessly integrated into the financial system. Although new regulatory measures have been introduced, illicit actors continue to exploit various methods, from peer-to-peer exchanges to cryptocurrency mixing services, to obscure the origins of illegal funds. This study presents a parametric analysis of these methods, examining dimensions such as duration, number of actors, contextual requirements, operational difficulty, traceability, and costs across each stage of the money laundering process: placement, layering, and integration. The analysis indicates that, while more sophisticated techniques may provide a higher degree of anonymity, they simultaneously require specialised technical expertise and meticulous planning. Consequently, there is a trade-off between the level of privacy attainable and the operational complexity inherent to each method. By systematically comparing these strategies, this analysis aims to contribute to a deeper understanding of cryptocurrency-based money laundering techniques, providing insight for more effective prevention and mitigation measures for both regulatory authorities and the financial sector. Full article
(This article belongs to the Special Issue Cryptocurrency Pricing and Trading)
Show Figures

Figure 1

19 pages, 2656 KB  
Article
A Novel Hybrid Temporal Fusion Transformer Graph Neural Network Model for Stock Market Prediction
by Sebastian Thomas Lynch, Parisa Derakhshan and Stephen Lynch
AppliedMath 2025, 5(4), 176; https://doi.org/10.3390/appliedmath5040176 - 8 Dec 2025
Viewed by 2431
Abstract
Forecasting stock prices remains a central challenge in financial modelling, as markets are influenced by market sentiment, firm-level fundamentals and complex interactions between macroeconomic and microeconomic factors, for example. This study evaluates the predictive performance of both classical statistical models and advanced attention-based [...] Read more.
Forecasting stock prices remains a central challenge in financial modelling, as markets are influenced by market sentiment, firm-level fundamentals and complex interactions between macroeconomic and microeconomic factors, for example. This study evaluates the predictive performance of both classical statistical models and advanced attention-based deep learning architectures for daily stock price forecasting. Using a dataset of major U.S. equities and Exchange Traded Funds (ETFs) covering 2012–2024, we compare traditional statistical approaches, Seasonal Autoregressive Integrated Moving Average (SARIMA) and Exponential Smoothing (ES) in the Error, Trend, Seasonal (ETS) framework, with deep learning architectures such as the Temporal Fusion Transformer (TFT), and a novel hybrid model, the TFT-Graph Neural Network (TFT-GNN), which incorporates relational information between assets. All models are assessed under consistent experimental conditions in terms of forecast accuracy, computational efficiency, and interpretability. Our results indicate that while statistical models offer strong baselines with high stability and low computational cost, the TFT outperforms them in capturing short-term nonlinear dependencies. The hybrid TFT-GNN achieves the highest overall predictive accuracy, demonstrating that relational signals derived from inter-asset connections provide meaningful enhancements beyond traditional temporal and technical indicators. These findings highlight the advantages of integrating relational learning into temporal forecasting frameworks and emphasise the continued relevance of statistical models as interpretable and efficient benchmarks for evaluating deep learning approaches in high-frequency financial prediction. Full article
Show Figures

Figure 1

37 pages, 2463 KB  
Review
Bitcoin Research in Business and Economics: A Bibliometric and Topic Modeling Review
by Hae Sun Jung and Haein Lee
FinTech 2025, 4(4), 68; https://doi.org/10.3390/fintech4040068 - 4 Dec 2025
Viewed by 1046
Abstract
This study conducts a bibliometric review of Bitcoin research in the Business and Economics domains, using VOSviewer to visualize network structures and Bidirectional Encoder Representations from Transformers Topic (BERTopic) to derive semantically coherent topic clusters. The analysis identifies five major research themes: (1) [...] Read more.
This study conducts a bibliometric review of Bitcoin research in the Business and Economics domains, using VOSviewer to visualize network structures and Bidirectional Encoder Representations from Transformers Topic (BERTopic) to derive semantically coherent topic clusters. The analysis identifies five major research themes: (1) Diversification, hedging, and safe-haven properties; (2) Market dynamics, efficiency, and investor behavior; (3) Bitcoin price and volatility prediction attempts; (4) Environmental impact of Bitcoin; and (5) Financial impact of Central Bank Digital Currency (CBDC). Based on these themes, the study recommends further investigation into the influence of Exchange-Traded Fund (ETF) approvals, regulatory frameworks, and institutional investor participation on Bitcoin’s safe-haven potential; the role of market dynamics and regulatory interventions; early detection of herding behavior and price bubbles; the integration of machine learning and deep-learning models for price prediction; the environmental costs associated with mining; and the evolving regulatory and implementation challenges of CBDCs. Overall, this review synthesizes existing scholarship and outlines future research directions for the rapidly evolving cryptocurrency ecosystem. Full article
Show Figures

Figure 1

19 pages, 292 KB  
Article
Unpacking Alpha in Innovation-Driven ETFs: A Comparative Study of Artificial Intelligence and Blockchain Funds
by Davinder K. Malhotra
J. Risk Financial Manag. 2025, 18(12), 673; https://doi.org/10.3390/jrfm18120673 - 26 Nov 2025
Viewed by 1695
Abstract
This paper evaluates the performance and portfolio role of Artificial Intelligence (AI) and Blockchain exchange-traded funds (ETFs) based on monthly returns from 2010 to 2025. The findings show that both AI and Blockchain ETFs generate positive alpha and high standalone returns but also [...] Read more.
This paper evaluates the performance and portfolio role of Artificial Intelligence (AI) and Blockchain exchange-traded funds (ETFs) based on monthly returns from 2010 to 2025. The findings show that both AI and Blockchain ETFs generate positive alpha and high standalone returns but also display considerable drawdown risk. Their weak correlations with each other and with broad indices highlight diversification benefits, particularly when combined with U.S. benchmarks. Portfolio optimization reveals that Global Minimum Variance (GMV) and Tangency portfolios ascribe lower weights to these ETFs, while Risk Parity portfolios have a more balanced exposure, helping to diversify risks. Efficient frontier analysis highlights that the inclusion of AI and Blockchain ETFs improves the attainable risk–return profiles, even if they are not a dominant allocation. The findings stress that AI and Blockchain ETFs are suitable as satellite holdings. When applied judiciously, they offer the potential to improve diversification and risk-adjusted performance; however, concentrated bets subject investors to undue downside risks. Positioning portfolios around broad-based indices and overlaying modest thematic tilts emerges as a prudent approach to capturing innovation-driven upsides without compromising long-term portfolio resilience. Full article
(This article belongs to the Special Issue Investment Data Science with Generative AI)
13 pages, 289 KB  
Article
Persistence in Stock Returns: Robotics and AI ETFs Versus Other Assets
by Fekria Belhouichet, Guglielmo Maria Caporale and Luis Alberiko Gil-Alana
J. Risk Financial Manag. 2025, 18(11), 655; https://doi.org/10.3390/jrfm18110655 - 20 Nov 2025
Viewed by 2097
Abstract
This paper examines the long-memory properties of the returns of exchange-traded funds (ETFs) that provide exposure to companies operating in the fields of artificial intelligence (AI) and robotics listed on the US market, along with other assets such as the WTI crude oil [...] Read more.
This paper examines the long-memory properties of the returns of exchange-traded funds (ETFs) that provide exposure to companies operating in the fields of artificial intelligence (AI) and robotics listed on the US market, along with other assets such as the WTI crude oil price (West Texas Intermediate), Bitcoin, the S&P 500 index, 10-year US Treasury bonds, and the VIX volatility index. The data frequency is daily and covers the period from 1 January 2023 to 23 June 2025. The adopted fractional integration framework is more general and flexible than those previously used in related studies and allows for a detailed assessment of the degree of persistence in returns. The results indicate that all return series exhibit a high degree of persistence, regardless of the error structure assumed, and that, in general, a linear model adequately captures their dynamics over time. These findings suggest that newly developed AI- and robotics-themed ETFs do not provide investors with additional hedging or diversification benefits compared to more traditional assets, nor do they create new challenges for policymakers concerned with financial stability. Full article
(This article belongs to the Section Economics and Finance)
16 pages, 1252 KB  
Article
HAR-RV-CARMA: A Kalman Filter-Weighted Hybrid Model for Enhanced Volatility Forecasting
by Chigozie Andy Ngwaba
Risks 2025, 13(11), 223; https://doi.org/10.3390/risks13110223 - 6 Nov 2025
Viewed by 1639
Abstract
This paper introduces a new hybrid model, HAR-RV-CARMA, which combines the Heterogeneous Autoregressive model for Realized Volatility (HAR-RV) with the Continuous Autoregressive Moving Average (CARMA) model. The key innovation of this study lies in the use of a Kalman filter-based dynamic state weighting [...] Read more.
This paper introduces a new hybrid model, HAR-RV-CARMA, which combines the Heterogeneous Autoregressive model for Realized Volatility (HAR-RV) with the Continuous Autoregressive Moving Average (CARMA) model. The key innovation of this study lies in the use of a Kalman filter-based dynamic state weighting mechanism to optimally combine the predictive capabilities of both models while mitigating overfitting. The proposed model is applied to five major Covered Call Exchange-Traded Funds (ETFs), QYLD, XYLD, RYLD, JEPI, and JEPQ, utilizing daily realized volatility data from 2019 to 2024. Model performance is evaluated against standalone HAR-RV and CARMA models using metrics such as Mean Absolute Error (MAE), Root Mean Squared Error (RMSE), Quasi-Likelihood (QLIKE), Akaike Information Criterion (AIC), and Bayesian Information Criterion (BIC). Additionally, the study assesses directional accuracy and conducts a Diebold-Mariano test to compare forecast performance against the standalone models statistically. Empirical results suggest that the HAR-RV-CARMA hybrid model significantly outperforms both HAR-RV and CARMA in volatility forecasting across all evaluation criteria. It achieves lower forecast errors, superior goodness-of-fit, and higher directional accuracy, with Diebold-Mariano test outcomes rejecting the null hypothesis of equal predictive ability at significant levels. These findings highlight the effectiveness of dynamic model weighting in improving predictive accuracy and offer a strong framework for volatility modeling in financial markets. Full article
(This article belongs to the Special Issue Risk Management in Financial and Commodity Markets)
Show Figures

Figure 1

14 pages, 334 KB  
Article
Presidential Partisanship and Sectoral ETF Performance in U.S. Equity Markets
by Xiaoli Wang and Claire Guo
Risks 2025, 13(10), 201; https://doi.org/10.3390/risks13100201 - 14 Oct 2025
Viewed by 1611
Abstract
This study investigates how U.S. presidential political leadership affects financial market performance at the sector level, offering a novel contribution to the literature that has largely focused on aggregate market indices. While prior research documents partisan effects on overall stock returns, little is [...] Read more.
This study investigates how U.S. presidential political leadership affects financial market performance at the sector level, offering a novel contribution to the literature that has largely focused on aggregate market indices. While prior research documents partisan effects on overall stock returns, little is known about how different sectors respond to changes in political leadership. Using sector-specific exchange-traded funds (ETFs) categorized by the Global Industry Classification Standard (GICS), we examine sectoral return patterns and volatility under Republican and Democratic presidencies. This study contributes to the growing intersection of finance and political economy by providing a nuanced, empirical understanding of sectoral behavior across political cycles. The results offer valuable insights for investors, portfolio managers, and policymakers, enhancing their ability to anticipate sector-level risks and opportunities under changing political leadership. Full article
32 pages, 1030 KB  
Article
Effects of Liquidity on TE and Performance of Japanese ETFs
by Atsuyuki Naka, Jiayuan Tian and Seungho Shin
Int. J. Financial Stud. 2025, 13(3), 168; https://doi.org/10.3390/ijfs13030168 - 9 Sep 2025
Viewed by 3228
Abstract
This study identifies a nonlinear relationship among liquidity, tracking error, and risk-adjusted performance in JETFs. Collecting daily data for 1077 JETFs from January 2008 to April 2022, we find a concave association, whereby both highly liquid and highly illiquid JETFs exhibit lower risk-adjusted [...] Read more.
This study identifies a nonlinear relationship among liquidity, tracking error, and risk-adjusted performance in JETFs. Collecting daily data for 1077 JETFs from January 2008 to April 2022, we find a concave association, whereby both highly liquid and highly illiquid JETFs exhibit lower risk-adjusted returns and higher tracking errors. Employing quantile regression, we further show that smaller, less liquid JETFs tend to deliver superior risk-adjusted performance. When comparing across listing venues—Japan, the U.S., Ireland, and Luxembourg—we find that the impact of liquidity on performance is most pronounced in the Japanese market, which also shows the highest average tracking error. In contrast, U.S.-listed JETFs offer the lowest tracking error. These results suggest that investors may benefit from choosing smaller JETFs listed in Japan. Full article
Show Figures

Figure 1

21 pages, 1011 KB  
Article
Are Macroeconomic Variables a Determinant of ETF Flow in South Africa Under Different Economic Conditions?
by Fabian Moodley, Babatunde Lawrence and Mosab I. Tabash
Economies 2025, 13(9), 260; https://doi.org/10.3390/economies13090260 - 6 Sep 2025
Viewed by 2342
Abstract
The objective of this study is to examine the effect of macroeconomic variables on exchange-traded funds (ETFs) returns under different market conditions. The growing prominence of ETFs in emerging markets has over the years drawn much relevance in the academic front for the [...] Read more.
The objective of this study is to examine the effect of macroeconomic variables on exchange-traded funds (ETFs) returns under different market conditions. The growing prominence of ETFs in emerging markets has over the years drawn much relevance in the academic front for the ability to track the performance of prominent indices, which enhances return perspective. Despite this, ETF returns are influenced by many factors that dampen expected returns; these include macroeconomic variables and changing market conditions. To this extent, monthly data from November 2010 to December 2023 were used in the estimation of the Markov regime-switching model. The findings demonstrate that ETF returns are affected both positively and negatively by macroeconomic factors like inflation, money supply, interest rates, gross domestic product (GDP), and real effective exchange rate. More specifically, the effect tends to vary with market conditions such as bull and bear regimes. This implies there exists adaptive behavior among the ETF market in South Africa, suggesting there are periods of efficiencies and inefficiencies. The findings pose important implications to investors, portfolio managers, and policy makers, all of which is discussed herein. Full article
(This article belongs to the Special Issue Dynamic Macroeconomics: Methods, Models and Analysis)
Show Figures

Figure 1

24 pages, 3300 KB  
Article
ETF Resilience to Uncertainty Shocks: A Cross-Asset Nonlinear Analysis of AI and ESG Strategies
by Catalin Gheorghe, Oana Panazan, Hind Alnafisah and Ahmed Jeribi
Risks 2025, 13(9), 161; https://doi.org/10.3390/risks13090161 - 22 Aug 2025
Cited by 4 | Viewed by 3114
Abstract
This study investigates the asymmetric responses of AI and ESG Exchange Traded Funds (ETFs) to geopolitical and financial uncertainty, with a focus on resilience across market regimes. The NASDAQ-100 and MSCI ESG Leaders indices are used as proxies for thematic ETFs, and their [...] Read more.
This study investigates the asymmetric responses of AI and ESG Exchange Traded Funds (ETFs) to geopolitical and financial uncertainty, with a focus on resilience across market regimes. The NASDAQ-100 and MSCI ESG Leaders indices are used as proxies for thematic ETFs, and their dynamic interlinkages are examined in relation to volatility indicators (VIX, GPR), alternative assets (Bitcoin, Ethereum, gold, oil, natural gas), and safe-haven currencies (CHF, JPY). A daily dataset spanning the 2016–2025 period is analyzed using Quantile-on-Quantile Regression (QQR) and Wavelet Coherence (WCO), enabling a granular assessment of nonlinear, regime-dependent behaviors across quantiles. Results reveal that ESG ETFs demonstrate stronger downside resilience under extreme uncertainty, maintaining stability even during periods of elevated geopolitical and financial risk. In contrast, AI-themed ETFs tend to outperform under moderate-risk conditions but exhibit greater vulnerability during systemic stress, reflecting differences in asset composition and investor risk perception. The findings contribute to the literature on ETF resilience and cross-asset contagion by highlighting differential behavior patterns under varying uncertainty regimes. Practical implications emerge for investors and policymakers seeking to enhance portfolio robustness through thematic diversification during market turbulence. Full article
Show Figures

Figure 1

17 pages, 674 KB  
Article
Falling Short in the Digital Age: Evaluating the Performance of Data Center ETFs
by Davinder K. Malhotra, Ivar Kirkhorn and Frank Ragone
J. Risk Financial Manag. 2025, 18(8), 449; https://doi.org/10.3390/jrfm18080449 - 11 Aug 2025
Viewed by 3367
Abstract
This study evaluates the performance of U.S. data center Exchange-Traded Funds (ETFs) relative to major equity and technology benchmarks, using monthly returns from January 2000 through December 2024, with particular emphasis on the COVID-19 period and the subsequent post-vaccine era. Data center ETFs [...] Read more.
This study evaluates the performance of U.S. data center Exchange-Traded Funds (ETFs) relative to major equity and technology benchmarks, using monthly returns from January 2000 through December 2024, with particular emphasis on the COVID-19 period and the subsequent post-vaccine era. Data center ETFs have not provided better risk-adjusted returns even though they are often advertised as access points to the digital economy. Digital infrastructure demand increased through the pandemic but did not improve the performance of these funds which stayed weak across both traditional and conditional multi-factor asset pricing models. These ETFs struggle with asset selection and market timing proficiency, which leads to relatively poor performance results during volatile market conditions. The downside risks linked to these funds tend to match or exceed the downside risks of broader indices like the S&P 1500 Information Technology Index. Although these investments are based on strong thematic narratives, they do not achieve returns that align with investor expectations. Full article
(This article belongs to the Section Financial Markets)
Show Figures

Figure 1

Back to TopTop