Sign in to use this feature.

Years

Between: -

Subjects

remove_circle_outline
remove_circle_outline
remove_circle_outline
remove_circle_outline
remove_circle_outline
remove_circle_outline
remove_circle_outline
remove_circle_outline
remove_circle_outline

Journals

Article Types

Countries / Regions

Search Results (72)

Search Parameters:
Keywords = ethyl sulfate

Order results
Result details
Results per page
Select all
Export citation of selected articles as:
12 pages, 3134 KB  
Article
Dual Role of Ionic Liquids as Plasticizer and Co-Foaming Agent of Polylactide Matrix
by Debora P. Schmitz, Luanda Lins, Juliana M. Farias da Silva, Bluma G. Soares and Sebastien Livi
Polymers 2025, 17(22), 2967; https://doi.org/10.3390/polym17222967 - 7 Nov 2025
Viewed by 819
Abstract
Polylactic acid (PLA) is considered as an attractive polymer due to its renewable origin, biodegradability, and promising tensile strength and modulus. However, its inherent brittleness, characterized by a low impact resistance and elongation at break, can significantly restrict its application. This work proposes [...] Read more.
Polylactic acid (PLA) is considered as an attractive polymer due to its renewable origin, biodegradability, and promising tensile strength and modulus. However, its inherent brittleness, characterized by a low impact resistance and elongation at break, can significantly restrict its application. This work proposes a new insight to improve the toughness of PLA while keeping its biocompatibility by incorporating two biocompatible ionic liquids (ILs), 1-ethyl-3-methylimidazolium ethyl sulfate ([emim][EtSO4]), and tris(2-hydroxyethyl) methylammonium methylsulfate ([Tris][MeSO4]). The modified PLA systems were thoroughly characterized to evaluate their mechanical and thermal behavior. Results demonstrated that the addition of 1 wt% of either IL resulted in significant improvement in modulus. Increasing the amount of IL resulted in an increase in the toughness while maintaining the material’s original stiffness and also the thermal stability. Furthermore, the foaming potential of the modified PLA using supercritical CO2 was investigated as an environmentally friendly processing method. The ionic liquids contributed positively to the foamability of the material, suggesting improved gas solubility and cell nucleation during the foaming process. The addition of both IL decreased the cell size and resulted in narrower cell size distribution. These findings highlight the potential of ionic liquid-modified PLA systems for the processing of lightweight, and high-performance packaging materials. Full article
(This article belongs to the Section Biobased and Biodegradable Polymers)
Show Figures

Figure 1

18 pages, 1484 KB  
Article
Haloamines of the Neurotransmitter γ-Aminobutyric Acid (GABA) and Its Ethyl Ester: Mild Oxidants for Reactions in Hydrophobic Microenvironments and Bactericidal Activity
by Luiza de Carvalho Bertozo, Markus Nagl and Valdecir Farias Ximenes
Molecules 2025, 30(21), 4227; https://doi.org/10.3390/molecules30214227 - 29 Oct 2025
Viewed by 659
Abstract
N-chlorotaurine (Tau-Cl) is a mild oxidizing haloamine formed from the reaction of hypochlorous acid (HOCl) with taurine (2-amino-ethanesulfonic acid). It is widely used as a topical antiseptic. In this study, we investigated haloamines derived from the neurotransmitter γ-aminobutyric acid, specifically GABA chloramine and [...] Read more.
N-chlorotaurine (Tau-Cl) is a mild oxidizing haloamine formed from the reaction of hypochlorous acid (HOCl) with taurine (2-amino-ethanesulfonic acid). It is widely used as a topical antiseptic. In this study, we investigated haloamines derived from the neurotransmitter γ-aminobutyric acid, specifically GABA chloramine and bromamine (GABA-Cl, GABA-Br), as well as their halogenated γ-aminobutyric acid ethyl esters (GABAet-Cl, GABAet-Br). Due to their higher hydrophobicity, the esterified haloamines were more potent oxidants in the presence of lyophilic surfactant micelles, demonstrating their greater ability to access hydrophobic environments. By using fluorescent azapentalenes as molecular targets incorporated into sodium dodecyl sulfate (SDS) micelles, the second-order oxidation rate constants (k2) resulted in 1.15 × 102 and 1.10 × 104 M−1min−1 for GABA-Cl and GABAet-Cl, respectively. As expected, due to the presence of a bromine atom, GABAet-Br was even more reactive (4.50 × 106 M−1min−1). The ability of GABAet-Br to access hydrophobic sites was demonstrated by comparing the reaction rate using micelles generated by different surfactants such as SDS (4.5 × 106 M−1min−1), cetyltrimethylammonium chloride (CTAC, 2.5 × 104 M−1min−1), and triton X-100 (TX-100, 3.9 × 103 M−1min−1). GABAet-Cl and GABAet-Br exhibited higher bactericidal activity against Staphylococcus aureus and Escherichia coli, probably due to their increased lipophilicity and improved penetration into microorganisms compared to GABA-Cl and GABA-Br. The enhancement of the oxidation capacity by GABAet-Cl and GABAet-Br represents a new direction in the exploration and application of haloamines as antiseptic agents. Full article
Show Figures

Graphical abstract

16 pages, 4132 KB  
Article
Ethyl Cellulose Co-Encapsulation of Steel Slag–Persulfate Long-Term Petroleum Hydrocarbon Remediation
by Shuang Lin, Changsheng Qu and Dongyao Xu
Processes 2025, 13(8), 2501; https://doi.org/10.3390/pr13082501 - 8 Aug 2025
Viewed by 689
Abstract
Petroleum hydrocarbon (PH) contamination in groundwater necessitates sustainable remediation solutions. This study develops a novel co-encapsulated composite by embedding steel slag (SS) and sodium persulfate (SPS) within an ethyl cellulose (EC) matrix ((SS + SPS)/EC) for permeable reactive barrier applications. The EC matrix [...] Read more.
Petroleum hydrocarbon (PH) contamination in groundwater necessitates sustainable remediation solutions. This study develops a novel co-encapsulated composite by embedding steel slag (SS) and sodium persulfate (SPS) within an ethyl cellulose (EC) matrix ((SS + SPS)/EC) for permeable reactive barrier applications. The EC matrix enables controlled release of SPS oxidant and gradual leaching of alkaline components (Ca2+/OH) and Fe2+/Fe3+ activators from SS, synergistically sustaining radical generation while buffering pH extremes. Optimized at a 10:7 SS:SPS mass ratio, the composite achieves 66.3% PH removal via dual pathways: (1) sulfate radical (SO4•) oxidation from Fe2+-activated persulfate (S2O82 + Fe2+SO4• + SO42 + Fe3+), and (2) direct electron transfer by surface-bound Fe3+. In situ material evolution enhances functionality—nitrogen physisorption reveals a 156% increase in surface area and 476% pore volume expansion, facilitating contaminant transport while precipitating stable sulfate minerals (Na2SO4, Na3Fe(SO4)3) within pores. Crucially, the composite maintains robust performance under groundwater-relevant conditions: 54% removal at 15 °C (attributed to pH-buffered activation) and >55% efficiency with common interfering anions (Cl, HCO3, 50 mg·L−1). This waste-derived design demonstrates a self-regulating system that concurrently addresses oxidant longevity (≥70 h), geochemical stability (pH 8.5→10.4), and low-temperature activity, establishing a promising strategy for sustainable groundwater remediation. Continuous-flow column validation (60 d, 5 mg·L−1 gasoline) demonstrates sustained >80% removal efficiency and systematically stable effluent pH (9.8–10.2) via alkaline leaching. Full article
(This article belongs to the Special Issue 1st SUSTENS Meeting: Advances in Sustainable Engineering Systems)
Show Figures

Figure 1

20 pages, 2027 KB  
Article
Metal-Ion-Free Preparation of κ-Carrageenan/Cellulose Hydrogel Beads Using an Ionic Liquid Mixture for Effective Cationic Dye Removal
by Dojin Kim, Dong Han Kim, Jeong Eun Cha, Saerom Park and Sang Hyun Lee
Gels 2025, 11(8), 596; https://doi.org/10.3390/gels11080596 - 1 Aug 2025
Cited by 4 | Viewed by 1220
Abstract
A metal-ion-free method was developed to prepare κ-carrageenan/cellulose hydrogel beads for efficient cationic dye removal. The beads were fabricated using a mixture of 1-ethyl-3-methylimidazolium acetate and N,N-dimethylformamide as the solvent system, followed by aqueous ethanol-induced phase separation. This process eliminated the need for [...] Read more.
A metal-ion-free method was developed to prepare κ-carrageenan/cellulose hydrogel beads for efficient cationic dye removal. The beads were fabricated using a mixture of 1-ethyl-3-methylimidazolium acetate and N,N-dimethylformamide as the solvent system, followed by aqueous ethanol-induced phase separation. This process eliminated the need for metal-ion crosslinkers, which typically neutralize anionic sulfate groups in κ-carrageenan, thereby preserving a high density of accessible binding sites. The resulting beads formed robust interpenetrating polymer networks. The initial swelling ratio reached up to 28.3 g/g, and even after drying, the adsorption capacity remained over 50% of the original. The maximum adsorption capacity for crystal violet was 241 mg/g, increasing proportionally with κ-carrageenan content due to the higher surface concentration of anionic sulfate groups. Kinetic and isotherm analyses revealed pseudo-second-order and Langmuir-type monolayer adsorption, respectively, while thermodynamic parameters indicated that the process was spontaneous and exothermic. The beads retained structural integrity and adsorption performance across pH 3–9 and maintained over 90% of their capacity after five reuse cycles. These findings demonstrate that κ-carrageenan/cellulose hydrogel beads prepared via a metal-ion-free strategy offer a sustainable and effective platform for cationic dye removal from wastewater, with potential for heavy metal ion adsorption. Full article
(This article belongs to the Special Issue Physical and Mechanical Properties of Polymer Gels (3rd Edition))
Show Figures

Figure 1

9 pages, 963 KB  
Article
Reconcentrating the Ionic Liquid EMIM-HSO4 Using Direct Contact Membrane Distillation
by Mark J. Wong, Viral Sagar and Joan G. Lynam
Molecules 2025, 30(2), 211; https://doi.org/10.3390/molecules30020211 - 7 Jan 2025
Cited by 1 | Viewed by 1256
Abstract
Adequate water supplies are crucial for missions to the Moon, since water is essential for astronauts’ health. Ionic liquids (ILs) have been investigated for processing metal oxides, the main components of lunar regolith, to separate oxygen and metals. The IL must be diluted [...] Read more.
Adequate water supplies are crucial for missions to the Moon, since water is essential for astronauts’ health. Ionic liquids (ILs) have been investigated for processing metal oxides, the main components of lunar regolith, to separate oxygen and metals. The IL must be diluted in the process. Recycling this diluted IL post-processing is important to reduce the materials required in resupply missions. In addition, water will be needed in lunar greenhouses for growing food and aiding in sustaining a habitable environment. Direct contact membrane distillation (DCMD) is a new technology for water purification that was examined in this study for its feasibility to concentrate IL. Hydrophobic membranes composed of polytetrafluoroethylene (PTFE) and polyvinylidene (PVDF) were found to hold promise in separating solutes from water to concentrate a diluted IL solution and to recover water. A bench-scale DCMD system was employed to test this method at temperatures of 50 °C, 65 °C, and 80 °C. Hence, the benefits and limitations of DCMD with PTFE and PVDF membranes were explored for the aqueous IL 1-ethyl-3 methylimidazolium hydrogen sulfate for DCMD performed at different temperatures. Full article
Show Figures

Graphical abstract

18 pages, 1278 KB  
Article
Phytochemical Study and In Vitro Antioxidant Activity of Helianthemum cinereum Along with Antitumor Activity of the Isolated trans-Tiliroside and Luteolin 4′-O-β-Xyloside
by Anis Bertella, Abla Smadi, Hakim Benhabrou, Diana Salvador, Magdalena Wrona, Helena Oliveira, Abouamama Sidaoui, Georgiana Gavril-Luminita, Diana C. G. A. Pinto, Ewa Olewnik-Kruszkowska, Cristina Nerín, Artur M. S. Silva and Fatma Bitam
Molecules 2024, 29(24), 5935; https://doi.org/10.3390/molecules29245935 - 16 Dec 2024
Cited by 1 | Viewed by 1678
Abstract
Twelve compounds (112), kaempferol (1), luteolin (2), luteolin 4′-O-β-xyloside (3), luteolin 4′-O-β-glucoside (4), quercetin 4′-O-β-xyloside (5), kaempferol-3-O-[6″-O-(E)-p-coumaroyl]-β-D-glucoside (trans [...] Read more.
Twelve compounds (112), kaempferol (1), luteolin (2), luteolin 4′-O-β-xyloside (3), luteolin 4′-O-β-glucoside (4), quercetin 4′-O-β-xyloside (5), kaempferol-3-O-[6″-O-(E)-p-coumaroyl]-β-D-glucoside (trans-tiliroside) (6), protocatechuic acid (7), gallic acid (8), methyl gallate (9), ethyl gallate (10), shikimic acid-3-O-gallate (11), and 3,3′,4′-tri-O-methyl-ellagic acid 4-sulfate (12), were isolated and identified from the aerial parts of Helianthemum cinereum (Cav.) Pers (synonym: Helianthemum rubellum C. Presl. All compounds were isolated by applying different chromatographic procedures, such as silica gel, RP-18 and Sephadex LH-20 columns. The structures were elucidated by extensive spectroscopic methods, mainly nuclear magnetic resonance NMR 1D and 2D, and mass spectrometry, as well as by comparison with the reported spectroscopic data. The two organic extracts, ethyl acetate (EtOAc) and butanol (BuOH), were evaluated for their potent phenolic and flavonoid contents using the Folin–Ciocalteu and aluminum chloride colorimetric methods. Furthermore, the antioxidant activity of the two extracts was determined using the DPPH, FRAP, and ABTS methods. Pure trans-tiliroside (6), the main isolated compound, and luteolin 4′-O-β-xyloside (3) were evaluated for their antitumor activity against the lung cancer (A549), melanoma (A375) and pancreatic cancer (Mia PaCa-2 and Panc-1) cell lines by MTT assay. Full article
Show Figures

Graphical abstract

27 pages, 9031 KB  
Article
Novel Quinoline- and Naphthalene-Incorporated Hydrazineylidene–Propenamide Analogues as Antidiabetic Agents: Design, Synthesis, and Computational Studies
by Osama Alharbi, Wael H. Alsaedi, Mosa Alsehli, Saif H. Althagafi, Hussam Y. Alharbi, Yazeed M. Asiri, Ramith Ramu and Mohammed Al-Ghorbani
Pharmaceuticals 2024, 17(12), 1692; https://doi.org/10.3390/ph17121692 - 15 Dec 2024
Cited by 3 | Viewed by 1920
Abstract
Background: Type 2 diabetes has become a significant global health challenge. Numerous drugs have been developed to treat the condition, either as standalone therapies or in combination when glycemic control cannot be achieved with a single medication. As existing treatments often come with [...] Read more.
Background: Type 2 diabetes has become a significant global health challenge. Numerous drugs have been developed to treat the condition, either as standalone therapies or in combination when glycemic control cannot be achieved with a single medication. As existing treatments often come with limitations, there is an increasing focus on creating novel therapeutic agents that offer greater efficacy and fewer side effects to better address this widespread issue. Methods: The methylene derivatives 3a,b were coupled with phenyl/ethyl isothiocyanate in the basic medium, and dimethyl sulfate was subsequently added. Further, 5ad were reacted with the quinoline/naphthalene hydrazides 6a,b. The target compounds 7ag were subjected to the in vitro enzyme inhibition studies on α-glucosidase, α-amylase, and aldose reductase. Results: 7g exerted remarkable inhibitory effects on α-glycosidase [Inhibitory Concentration (IC50): 20.23 ± 1.10 µg/mL] and α-amylase (17.15 ± 0.30 µg/mL), outperforming acarbose (28.12 ± 0.20 µg/mL for α-glycosidase and 25.42 ± 0.10 µg/mL for α-amylase), and exhibited a strong inhibition action on aldose reductase (12.15 ± 0.24 µg/mL), surpassing quercetin (15.45 ± 0.32 µg/mL) and the other tested compounds. In a computational study, 7g demonstrated promising binding affinities (−8.80, −8.91 kcal/mol) with α-glycosidase and α-amylase, compared to acarbose (−10.87, −10.38 kcal/mol) for α-glycosidase and α-amylase. Additionally, 7g had strong binding with aldose reductase (−9.20 kcal/mol) in comparison to quercetin (−9.95 kcal/mol). Molecular dynamics (MDs) simulations demonstrated that 7g remained stable over a 100 ns simulation period, and the binding free energy estimates remained consistent throughout this time. Conclusions: We reported the modification of quinoline and naphthalene rings to hydrazineylidene–propenamides 7ag using various synthetic approaches. 7g emerged as a leading candidate, exhibiting greater inhibition of α-glycosidase, α-amylase, and aldose reductase. These findings underscore their potential as essential molecules for the development of innovative antidiabetic treatments. Full article
(This article belongs to the Section Medicinal Chemistry)
Show Figures

Figure 1

18 pages, 4460 KB  
Article
Ellagic Acid Reduces Cadmium Exposure-Induced Apoptosis in HT22 Cells via Inhibiting Oxidative Stress and Mitochondrial Dysfunction and Activating Nrf2/HO-1 Pathway
by Yue Liu, Chunhong Chen, Zhihui Hao, Jianzhong Shen, Shusheng Tang and Chongshan Dai
Antioxidants 2024, 13(11), 1296; https://doi.org/10.3390/antiox13111296 - 25 Oct 2024
Cited by 5 | Viewed by 2995
Abstract
Exposure to cadmium sulfate (CdSO4) can lead to neurotoxicity. Nevertheless, the precise molecular mechanisms underlying this phenomenon remain unclear, and effective treatment strategies are scarce. This study explored the protective effects of ellagic acid (EA), a natural polyphenolic compound, against CdSO [...] Read more.
Exposure to cadmium sulfate (CdSO4) can lead to neurotoxicity. Nevertheless, the precise molecular mechanisms underlying this phenomenon remain unclear, and effective treatment strategies are scarce. This study explored the protective effects of ellagic acid (EA), a natural polyphenolic compound, against CdSO4 exposure-induced neurotoxicity in HT22 cells and the underlying molecular mechanisms. Our findings demonstrated that exposure of HT22 cells to CdSO4 resulted in apoptosis, which was effectively reversed by EA in a dose-dependent manner. EA supplementation also decreased reactive oxygen species (ROS) and mitochondrial ROS production, reduced malondialdehyde (MDA) levels, and restored the activities of superoxide dismutase (SOD) and catalase (CAT). Additionally, EA supplementation at 5–20 μM significantly counteracted Cd-induced the loss of mitochondrial membrane potential and the decrease of ATP and reduced the ratio of Bax/Bcl-2 and cleaved-caspase-3 protein expression. Furthermore, EA supplementation resulted in the upregulation of Nrf2 and HO-1 protein and mRNAs while simultaneously downregulating the phosphorylation of JNK and p38 proteins. The pharmacological inhibition of c-Jun N-terminal kinase (JNK) partially attenuated the activation of the Nrf2/HO-1 pathway induced by CdSO4 and exacerbated its cytotoxic effects. In conclusion, our findings suggest that ethyl acetate (EA) supplementation offers protective effects against CdSO4-induced apoptosis in HT22 cells by inhibiting oxidative stress and activating the Nrf2 signaling pathway. Furthermore, the activation of the JNK pathway appears to play a protective role in CdSO4-induced apoptosis in HT22 cells. Full article
(This article belongs to the Topic Recent Advances in Veterinary Pharmacology and Toxicology)
Show Figures

Figure 1

16 pages, 2668 KB  
Article
Enhanced Yield of Methyl Ethyl Ketone through Levulinic Acid Decarboxylation in the AgNO3/K2S2O8 System: Mechanistic Insights and Characterization of Metallic Species
by Nydia I. Guzmán Barrera, Jérôme Peydecastaing, Jérôme Esvan, Joël Albet, Carlos Vaca-Garcia, Philippe Behra, Emeline Vedrenne and Sophie Thiébaud-Roux
Molecules 2024, 29(20), 4822; https://doi.org/10.3390/molecules29204822 - 11 Oct 2024
Cited by 1 | Viewed by 2235
Abstract
Methyl ethyl ketone (MEK) is among the most extensively utilized solvents in various industrial applications. In this study, we present a highly efficient synthesis route for MEK via the decarboxylation of biomass-derived levulinic acid, using potassium persulfate (K2S2O8 [...] Read more.
Methyl ethyl ketone (MEK) is among the most extensively utilized solvents in various industrial applications. In this study, we present a highly efficient synthesis route for MEK via the decarboxylation of biomass-derived levulinic acid, using potassium persulfate (K2S2O8) and silver nitrate (AgNO3) as key reagents. The specific roles of AgNO3 and K2S2O8 were thoroughly investigated. Additional silver species, such as Ag2O and AgO, were also detected during the reaction. X-ray photoelectron spectroscopy (XPS) and X-ray diffraction (XRD) analyses provided evidence of the evolution of solid phases throughout the reaction. Based on these findings, we propose a radical decarboxylation mechanism initiated by the generation of sulfate radicals (SO4•⁻) through the catalytic breakdown of K2S2O8 by AgNO3. This mechanistic understanding, combined with a parametric study, enabled us to achieve an unprecedented level of levulinic acid conversion (97.9%) and MEK yield (86.6%) with this system, surpassing all previously reported results in the literature. Full article
(This article belongs to the Special Issue Applied Chemistry in Europe)
Show Figures

Figure 1

21 pages, 12256 KB  
Article
GC-IMS-Based Volatile Characteristic Analysis of Hypsizygus marmoreus Dried by Different Methods
by Pufu Lai, Longxiang Li, Yingying Wei, Junzheng Sun, Baosha Tang, Yanrong Yang, Junchen Chen and Li Wu
Foods 2024, 13(9), 1322; https://doi.org/10.3390/foods13091322 - 25 Apr 2024
Cited by 14 | Viewed by 2668
Abstract
Gas chromatography–ion mobility spectroscopy (GC-IMS) was used to analyze the volatile components in dried Hypsizygus marmoreus of different drying methods, including hot air drying (HAD), heat pump drying (HPD), heated freeze-drying (HFD), and unheated freeze-drying (UFD). A total of 116 signal peaks corresponding [...] Read more.
Gas chromatography–ion mobility spectroscopy (GC-IMS) was used to analyze the volatile components in dried Hypsizygus marmoreus of different drying methods, including hot air drying (HAD), heat pump drying (HPD), heated freeze-drying (HFD), and unheated freeze-drying (UFD). A total of 116 signal peaks corresponding to 96 volatile compounds were identified, including 25 esters, 24 aldehydes, 23 alcohols, 13 ketones, 10 heterocyclic compounds, 8 carboxylic acids, 7 terpenes, 3 sulfur-containing compounds, 2 nitrogen-containing compounds, and 1 aromatic hydrocarbon. The total content of volatile compounds in H. marmoreus dried by the four methods, from highest to lowest, was as follows: HAD, HPD, HFD, and UFD. The main volatile compounds included carboxylic acids, alcohols, esters, and aldehydes. Comparing the peak intensities of volatile compounds in dried H. marmoreus using different drying methods, it was found that the synthesis of esters, aldehydes, and terpenes increased under hot drying methods such as HAD and HPD, while the synthesis of compounds containing sulfur and nitrogen increased under freeze-drying methods such as HFD and UFD. Nine common key characteristic flavor compounds of dried H. marmoreus were screened using relative odor activity values (ROAV > 1), including ethyl 3-methylbutanoate, acetic acid, 2-methylbutanal, propanal, methyl 2-propenyl sulfate, trimethylamine, 3-octanone, acetaldehide, and thiophene. In the odor description of volatile compounds with ROAV > 0.1, it was found that important flavor components such as trimethylamine, 3-octanone, (E)-2-octenal, and dimethyl disulfide are related to the aroma of seafood. Their ROAV order is HFD > UFD > HPD > HAD, indicating that H. marmoreus using the HFD method have the strongest seafood flavor. The research findings provide theoretical guidance for selecting drying methods and refining the processing of H. marmoreus. Full article
(This article belongs to the Section Food Analytical Methods)
Show Figures

Graphical abstract

13 pages, 3033 KB  
Article
New Insights into the Hygroscopic Character of Ionic Liquids: Study of Fourteen Representatives of Five Cation and Four Anion Families
by Esther Rilo, Alejandro Rosende-Pereiro, Montserrat Domínguez-Pérez, Oscar Cabeza and Luisa Segade
Int. J. Mol. Sci. 2024, 25(8), 4229; https://doi.org/10.3390/ijms25084229 - 11 Apr 2024
Cited by 10 | Viewed by 2471
Abstract
Over the past three decades, the synthesis of new ionic liquids (ILs) and the expansion of their use in newer applications have grown exponentially. From the beginning of this vertiginous period, it was known that many of them were hygroscopic, which in some [...] Read more.
Over the past three decades, the synthesis of new ionic liquids (ILs) and the expansion of their use in newer applications have grown exponentially. From the beginning of this vertiginous period, it was known that many of them were hygroscopic, which in some cases limited their use or altered the value of their measured physical properties with all the problems that this entails. In an earlier article, we addressed the hygroscopic grade achieved by the ILs 1-ethyl-3-methylimidazolium chloride, 1-ethyl-3-methylimidazolium bromide, 1-ethyl-3-methylimidazolium methyl sulfate, 1-ethyl-3-methylimidazolium ethyl sulfate, 1-ethyl-3-methylpyridinium ethyl sulfate, 1-ethyl-3-methylimidazolium tosylate, 1-ethyl-3-methylimidazolium tetrafluoroborate, 1-butyl-3-methylimidazolium tetrafluoroborate, 1-dodecyl-3-methylimidazolium tetrafluoroborate, 1-butyl-3-methylpyridinium tetrafluoroborate, 1-butyl-1-methylpiperidinium bis(trifluoromethyl sulfonyl)imide, 1-methyl-1-propylpyrrolidinium bis(trifluoromethyl sulfonyl)imide, 1-butyl-1-methylpyrrolidinium bis(trifluoromethyl sulfonyl)imide, and methyl trioctyl ammonium bis(trifluoromethyl sulfonyl)imide. The objective was to determine the influence of the chemical nature of the compounds, exposed surface area, sample volume, agitation, and temperature. For this purpose, we exposed the samples to abrupt increases in relative humidity from 15 to 100% for days in an atmosphere chamber and then proceeded with the reverse process in a gentle manner. The results show that the sorption of water from the atmosphere depends on the nature of the IL, especially the anion, with the chloride anion being of particular importance (chloride ≫ alkyl sulfates~bromide > tosylate ≫ tetrafluoroborate). It has also been proven for the EMIM-ES and EMIM-BF4 samples that the mechanism of moisture capture is both absorption and adsorption, and that the smaller the exposed surface area, the higher the ratio of the mass of water per unit area. Full article
(This article belongs to the Special Issue Ionic-Liquid-Based Materials and Their Multi-functional Applications)
Show Figures

Figure 1

16 pages, 3177 KB  
Article
Persulfate–Based Advanced Oxidation Process for Chlorpyrifos Degradation: Mechanism, Kinetics, and Toxicity Assessment
by Youxin Xu, Chenxi Zhang, Haobing Zou, Guangrong Chen, Xiaomin Sun, Shuguang Wang and Huifang Tian
Toxics 2024, 12(3), 207; https://doi.org/10.3390/toxics12030207 - 9 Mar 2024
Cited by 5 | Viewed by 2967
Abstract
Persulfate-based advanced oxidation process has been proven to be a promising method for the toxic pesticide chlorpyrifos (CPY) degradation in wastewater treatment. However, due to the limitation for the short-lived intermediates detection, a comprehensive understanding for the degradation pathway remains unclear. To address [...] Read more.
Persulfate-based advanced oxidation process has been proven to be a promising method for the toxic pesticide chlorpyrifos (CPY) degradation in wastewater treatment. However, due to the limitation for the short-lived intermediates detection, a comprehensive understanding for the degradation pathway remains unclear. To address this issue, density functional theory was used to analyze the degradation mechanism of CPY at the M06-2X/6-311++G(3df,3pd)//M06-2X/6-31+G(d,p) level, and computational toxicology methods were employed to explore the toxicity of CPY and its degradation products. Results show that hydroxyl radicals (·OH) and sulfate radicals (SO4•−) initiate the degradation reactions by adding to the P=S bond and abstracting the H atom on the ethyl group, rather than undergoing α-elimination of the pyridine ring in the persulfate oxidation process. Moreover, the addition products were attracted and degraded by breaking the P–O bond, while the abstraction products were degraded through dealkylation reactions. The transformation products, including 3,5,6-trichloro-2-pyridynol, O,O-diethyl phosphorothioate, chlorpyrifos oxon, and acetaldehyde, obtained through theoretical calculations have been detected in previous experimental studies. The reaction rate constants of CPY with ·OH and SO4•− were 6.32 × 108 and 9.14 × 108 M−1·s−1 at room temperature, respectively, which was consistent with the experimental values of 4.42 × 109 and 4.5 × 109 M−1 s−1. Toxicity evaluation results indicated that the acute and chronic toxicity to aquatic organisms gradually decreased during the degradation process. However, some products still possess toxic or highly toxic levels, which may pose risks to human health. These research findings contribute to understanding the transformation behavior and risk assessment of CPY in practical wastewater treatment. Full article
(This article belongs to the Special Issue Advanced Processes for Wastewater Treatment)
Show Figures

Figure 1

25 pages, 4507 KB  
Article
Biocatalysts Based on Immobilized Lipases for the Production of Fatty Acid Ethyl Esters: Enhancement of Activity through Ionic Additives and Ion Exchange Supports
by Juan S. Pardo-Tamayo, Sebastián Arteaga-Collazos, Laura C. Domínguez-Hoyos and César A. Godoy
BioTech 2023, 12(4), 67; https://doi.org/10.3390/biotech12040067 - 18 Dec 2023
Cited by 5 | Viewed by 3762
Abstract
Ionic additives affect the structure, activity and stability of lipases, which allow for solving common application challenges, such as preventing the formation of protein aggregates or strengthening enzyme–support binding, preventing their desorption in organic media. This work aimed to design a biocatalyst, based [...] Read more.
Ionic additives affect the structure, activity and stability of lipases, which allow for solving common application challenges, such as preventing the formation of protein aggregates or strengthening enzyme–support binding, preventing their desorption in organic media. This work aimed to design a biocatalyst, based on lipase improved by the addition of ionic additives, applicable in the production of ethyl esters of fatty acids (EE). Industrial enzymes from Thermomyces lanuginosus (TLL), Rhizomucor miehei (RML), Candida antárctica B (CALB) and Lecitase®, immobilized in commercial supports like Lewatit®, Purolite® and Q-Sepharose®, were tested. The best combination was achieved by immobilizing lipase TLL onto Q-Sepharose® as it surpassed, in terms of %EE (70.1%), the commercial biocatalyst Novozyme® 435 (52.7%) and was similar to that of Lipozyme TL IM (71.3%). Hence, the impact of ionic additives like polymers and surfactants on both free and immobilized TLL on Q-Sepharose® was assessed. It was observed that, when immobilized, in the presence of sodium dodecyl sulfate (SDS), the TLL derivative exhibited a significantly higher activity, with a 93-fold increase (1.02 IU), compared to the free enzyme under identical conditions (0.011 IU). In fatty acids ethyl esters synthesis, Q-SDS-TLL novel derivatives achieved results similar to commercial biocatalysts using up to ~82 times less enzyme (1 mg/g). This creates an opportunity to develop biocatalysts with reduced enzyme consumption, a factor often associated with higher production costs. Such advancements would ease their integration into the biodiesel industry, fostering a greener production approach compared to conventional methods. Full article
Show Figures

Figure 1

19 pages, 8844 KB  
Article
The Identification and Role of the Key Mycotoxin of Pestalotiopsis kenyana Causing Leaf Spot Disease of Zanthoxylum schinifolium
by Chang Liu, Yiling Li, Hang Chen, Shuying Li, Shan Han, Tianhui Zhu, Yinggao Liu and Shujiang Li
J. Fungi 2023, 9(12), 1194; https://doi.org/10.3390/jof9121194 - 13 Dec 2023
Viewed by 2385
Abstract
Leaf spot is a common disease of Zanthoxylum schinifolium (Z. schinifolium), which can seriously harm the plant’s ability to grow, flower, and fruit. Therefore, it is important to identify the mechanism of leaf spot caused by Pestalotiopsis kenyana (P. kenyana [...] Read more.
Leaf spot is a common disease of Zanthoxylum schinifolium (Z. schinifolium), which can seriously harm the plant’s ability to grow, flower, and fruit. Therefore, it is important to identify the mechanism of leaf spot caused by Pestalotiopsis kenyana (P. kenyana) for thorough comprehension and disease control. In this study, to verify whether the mycotoxins produced by P. kenyana cause leaf spot disease, the best medium for P. kenyana, namely PDB, was used. The mycotoxins were determined by ammonium sulfate precipitation as non-protein substances. The crude mycotoxin of P. kenyana was prepared, and the optimal eluent was eluted with petroleum either/ethyle acetate (3:1, v/v) and purified by silica gel column chromatography and preparative high-performance liquid chromatography to obtain the pure mycotoxins PK-1, PK-2, and PK-3. The PK-3 had the highest toxicity to Z. schinifolium, which may be the primary mycotoxin, according to the biological activity test using the spray method. The physiological and biochemical indexes of Z. schinifolium plants treated with PK-3 mycotoxin were determined. Within 35 days after mycotoxin treatment, the results showed that the protein content and malondialdehyde content of leaves increased over time. The soluble sugar and chlorophyll content decreased over time. The superoxide dismutase activity and catalase activity of the leaves increased first and then decreased, and the above changes were the same as those of Z. schinifolium inoculated with the spore suspension of the pathogen. Therefore, it is believed that the mycotoxin pestalopyrone could be a virulence factor that helps P. kenyana induce the infection of Z. schinifolium. In this study, the pathogenic mechanism of Z. schinifolium leaf spot was discussed, offering a theoretical foundation for improved disease prevention and control. Full article
Show Figures

Figure 1

21 pages, 5455 KB  
Article
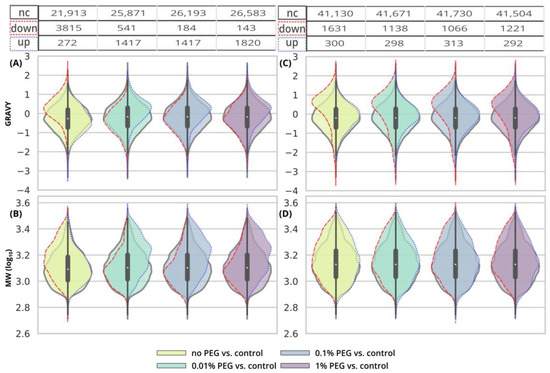
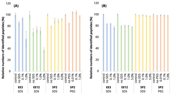
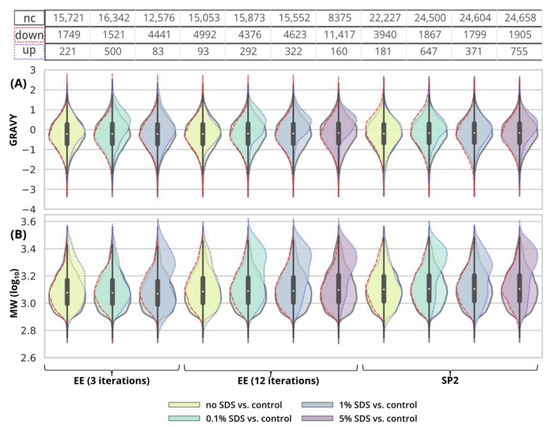
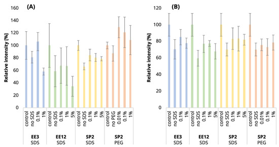
Benchmarking of Two Peptide Clean-Up Protocols: SP2 and Ethyl Acetate Extraction for Sodium Dodecyl Sulfate or Polyethylene Glycol Removal from Plant Samples before LC-MS/MS
by Petra Martinková, Hana Konečná, Petr Gintar, Karolína Kryštofová, David Potěšil, Martin Trtílek and Zbyněk Zdráhal
Int. J. Mol. Sci. 2023, 24(24), 17347; https://doi.org/10.3390/ijms242417347 - 11 Dec 2023
Cited by 3 | Viewed by 3436
Abstract
The success of bottom-up proteomic analysis frequently depends on the efficient removal of contaminants from protein or peptide samples before LC-MS/MS. For a peptide clean-up workflow, single-pot solid-phase-enhanced peptide sample preparation on carboxylate-modified paramagnetic beads (termed SP2) was evaluated for sodium dodecyl sulfate [...] Read more.
The success of bottom-up proteomic analysis frequently depends on the efficient removal of contaminants from protein or peptide samples before LC-MS/MS. For a peptide clean-up workflow, single-pot solid-phase-enhanced peptide sample preparation on carboxylate-modified paramagnetic beads (termed SP2) was evaluated for sodium dodecyl sulfate or polyethylene glycol removal from Arabidopsis thaliana tryptic peptides. The robust and efficient 40-min SP2 protocol, tested for 10-ng, 250-ng, and 10-µg peptide samples, was proposed and benchmarked thoroughly against the ethyl acetate extraction protocol. The SP2 protocol on carboxylated magnetic beads proved to be the most robust approach, even for the simultaneous removal of massive sodium dodecyl sulfate (SDS) and polyethylene glycol (PEG) contaminations from AT peptide samples in respect of the LC-MS/MS data outperforming ethyl acetate extraction. Full article
(This article belongs to the Section Biochemistry)
Show Figures

Figure 1

Back to TopTop