Dual Role of Ionic Liquids as Plasticizer and Co-Foaming Agent of Polylactide Matrix
Abstract
1. Introduction
2. Materials and Methods
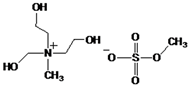
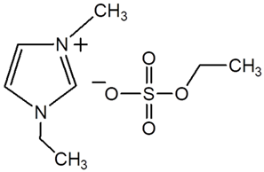
2.1. Materials
2.2. Blend Preparation
2.3. Foaming Procedure
2.4. Characterization
2.5. Foaming Properties
3. Results
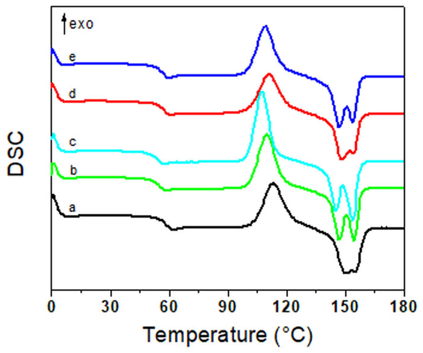
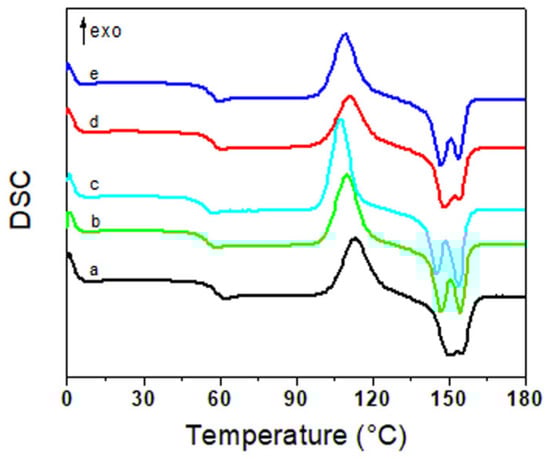
3.1. Mechanical and Thermal Properties
3.2. Morphology
3.3. Rheological Properties
3.4. Effect of Ionic Liquids on the Characteristics of Foamed PLA
4. Conclusions
Supplementary Materials
Author Contributions
Funding
Informed Consent Statement
Data Availability Statement
Conflicts of Interest
References
- Da Silva Pens, C.J.; Klug, T.V.; Stoll, L.; Izidoro, F.; Flores, S.H.; De Oliveira Rios, A. Poly (Lactic Acid) and Its Improved Properties by Some Modifications for Food Packaging Applications: A Review. Food Packag. Shelf Life 2024, 41, 101230. [Google Scholar] [CrossRef]
- Nampoothiri, K.M.; Nair, N.R.; John, R.P. An Overview of the Recent Developments in Polylactide (PLA) Research. Bioresour. Technol. 2010, 101, 8493–8501. [Google Scholar] [CrossRef]
- De Luca, S.; Milanese, D.; Gallichi-Nottiani, D.; Cavazza, A.; Sciancalepore, C. Poly(Lactic Acid) and Its Blends for Packaging Application: A Review. Clean Technol. 2023, 5, 1304–1343. [Google Scholar] [CrossRef]
- Nofar, M.; Sacligil, D.; Carreau, P.J.; Kamal, M.R.; Heuzey, M.-C. Poly (Lactic Acid) Blends: Processing, Properties and Applications. Int. J. Biol. Macromol. 2019, 125, 307–360. [Google Scholar] [CrossRef]
- Nagarajan, V.; Mohanty, A.K.; Misra, M. Perspective on Polylactic Acid (PLA) Based Sustainable Materials for Durable Applications: Focus on Toughness and Heat Resistance. ACS Sustain. Chem. Eng. 2016, 4, 2899–2916. [Google Scholar] [CrossRef]
- Jiang, L.; Wolcott, M.P.; Zhang, J. Study of Biodegradable Polylactide/Poly(Butylene Adipate-Co-Terephthalate) Blends. Biomacromolecules 2006, 7, 199–207. [Google Scholar] [CrossRef]
- Kumar, M.; Mohanty, S.; Nayak, S.K.; Rahail Parvaiz, M. Effect of Glycidyl Methacrylate (GMA) on the Thermal, Mechanical and Morphological Property of Biodegradable PLA/PBAT Blend and Its Nanocomposites. Bioresour. Technol. 2010, 101, 8406–8415. [Google Scholar] [CrossRef]
- Chieng, B.W.; Ibrahim, N.A.; Then, Y.Y.; Loo, Y.Y. Epoxidized Jatropha Oil as a Sustainable Plasticizer to Poly(Lactic Acid). Polymers 2017, 9, 204. [Google Scholar] [CrossRef]
- Silverajah, V.S.G.; Ibrahim, N.A.; Yunus, W.M.Z.W.; Hassan, H.A.; Woei, C.B.A. Comparative Study on the Mechanical, Thermal and Morphological Characterization of Poly(Lactic Acid)/Epoxidized Palm Oil Blend. Int. J. Mol. Sci. 2012, 13, 5878–5898. [Google Scholar] [CrossRef] [PubMed]
- Bhasney, S.M.; Patwa, R.; Kumar, A.; Katiyar, V. Plasticizing Effect of Coconut Oil on Morphological, Mechanical, Thermal, Rheological, Barrier, and Optical Properties of Poly(Lactic Acid): A Promising Candidate for Food Packaging. J. Appl. Polym. Sci. 2017, 134, 45390. [Google Scholar] [CrossRef]
- Thakur, S.; Cisneros-Lopez, E.O.; Pin, J.-M.; Misra, M.; Mohanty, A.K. Green Toughness Modifier from Downstream Corn Oil in Improving Poly(Lactic Acid) Performance. ACS Appl. Polym. Mater. 2019, 1, 3396–3406. [Google Scholar] [CrossRef]
- Livi, S.; Baudoux, J.; Gérard, J.-F.; Duchet-Rumeau, J. Ionic Liquids: A Versatile Platform for the Design of a Multifunctional Epoxy Networks 2.0 Generation. Prog. Polym. Sci. 2022, 132, 101581. [Google Scholar] [CrossRef]
- Shamsuri, A.A.; Daik, R. Applications of ionic liquids and their mixtures for preparation of advanced polymer blends and composites: A short review. Rev. Adv. Mater. Sci. 2015, 40, 45–59. [Google Scholar]
- Soares, B.G. Ionic liquid: A smart approach for developing conducting polymer composites. A review. J. Molec. Liq. 2018, 262, 8–18. [Google Scholar] [CrossRef]
- Chen, B.-K.; Wu, T.-Y.; Chang, Y.-M.; Chen, A.F. Ductile Polylactic Acid Prepared with Ionic Liquids. Chem. Eng. J. 2013, 215–216, 886–893. [Google Scholar] [CrossRef]
- Jia, Y.-W.; Zhao, X.; Fu, T.; Li, D.-F.; Guo, Y.; Wang, X.-L.; Wang, Y.-Z. Synergy Effect between Quaternary Phosphonium Ionic Liquid and Ammonium Polyphosphate toward Flame Retardant PLA with Improved Toughness. Compos. Part B 2020, 197, 108192. [Google Scholar] [CrossRef]
- Gui, H.; Li, Y.; Chen, S.; Xu, P.; Zheng, B.; Ding, Y. Effects of Biodegradable Imidazolium-Based Ionic Liquid with Ester Group on the Structure and Properties of PLLA. Macromol. Res. 2014, 22, 583–591. [Google Scholar] [CrossRef]
- Park, K.; Ha, J.U.; Xanthos, M. Ionic Liquids as Plasticizers/Lubricants for Polylactic Acid. Polym. Eng. Sci. 2010, 50, 1105–1110. [Google Scholar] [CrossRef]
- Park, K.I.; Xanthos, M. A Study on the Degradation of Polylactic Acid in the Presence of Phosphonium Ionic Liquids. Polym. Degrad. Stab. 2009, 94, 834–844. [Google Scholar] [CrossRef]
- Zhang, P.; Peng, L.; Li, W. Application of Ionic Liquid [Bmim]PF6 as Green Plasticizer for Poly(L-Lactide). e-Polymers 2008, 8, 172. [Google Scholar] [CrossRef]
- Merlini, C.; Oliveira Castro, V.; Perli, G.; El Omari, Y.; Livi, S. Epoxidized Ionic Liquids as Processing Auxiliaries of Poly(Lactic Acid) Matrix: Influence on the Manufacture, Structural and Physical Properties. Nanomaterials 2023, 13, 1476. [Google Scholar] [CrossRef]
- Yu, K.; Hou, J.; Tian, D.; Zhang, X.; Chen, J. Biodegradable and Structure-Tunable Poly(Lactic Acid) Foam Prepared by Temperature-Induced CO2 Foaming. ACS Sustain. Chem. Eng. 2024, 12, 10947–10957. [Google Scholar] [CrossRef]
- Ni, J.; Yu, K.; Zhou, H.; Mi, J.; Chen, S.; Wang, X. Morphological Evolution of PLA Foam from Microcellular to Nanocellular Induced by Cold Crystallization Assisted by Supercritical CO2. J. Supercrit. Fluids 2020, 158, 104719. [Google Scholar] [CrossRef]
- Gong, P.; Zhai, S.; Lee, R.; Zhao, C.; Buahom, P.; Li, G.; Park, C.B. Environmentally Friendly Polylactic Acid-Based Thermal Insulation Foams Blown with Supercritical CO2. Ind. Eng. Chem. Res. 2018, 57, 5464–5471. [Google Scholar] [CrossRef]
- Peng, K.; Mubarak, S.; Diao, X.; Cai, Z.; Zhang, C.; Wang, J.; Wu, L. Progress in the Preparation, Properties, and Applications of PLA and Its Composite Microporous Materials by Supercritical CO2: A Review from 2020 to 2022. Polymers 2022, 14, 4320. [Google Scholar] [CrossRef]
- Cui, W.; Wei, X.; Luo, J.; Xu, B.; Zhou, H.; Wang, X. CO2-Assisted Fabrication of PLA Foams with Exceptional Compressive Property and Heat Resistance via Introducing Well-Dispersed Stereocomplex Crystallites. J. CO2 Util. 2022, 64, 102184. [Google Scholar] [CrossRef]
- Corre, Y.M.; Maazouz, A.; Duchet, J.; Reignier, J. Batch foaming of chain extended PLA with supercritical CO2: Influence of the rheological properties and the process parameters on the cellular structure. J. Supercrit. Fluids 2011, 58, 177–188. [Google Scholar] [CrossRef]
- Qu, Z.; Yin, D.; Zhou, H.; Wang, X.; Zhao, S. Cellular Morphology Evolution in Nanocellular Poly (Lactic Acid)/Thermoplastic Polyurethane Blending Foams in the Presence of Supercritical N2. Eur. Polym. J. 2019, 116, 291–301. [Google Scholar] [CrossRef]
- Zych, A.; Perotto, G.; Trojanowska, D.; Tedeschi, G.; Bertolacci, L.; Francini, N.; Athanassiou, A. Super Tough Polylactic Acid Plasticized with Epoxidized Soybean Oil Methyl Ester for Flexible Food Packaging. ACS Appl. Polym. Mater. 2021, 3, 5087–5095. [Google Scholar] [CrossRef]
- Orue, A.; Eceiza, A.; Arbelaiz, A. The Effect of Sisal Fiber Surface Treatments, Plasticizer Addition and Annealing Process on the Crystallization and the Thermo-Mechanical Properties of Poly(Lactic Acid) Composites. Ind. Crops Prod. 2018, 118, 321–333. [Google Scholar] [CrossRef]
- Rosli, N.A.; Ahmad, I.; Anuar, F.H.; Abdullah, I. Application of Polymethylmethacrylate-Grafted Cellulose as Reinforcement for Compatibilised Polylactic Acid/Natural Rubber Blends. Carbohydr. Polym. 2019, 213, 50–58. [Google Scholar] [CrossRef] [PubMed]
- Zhang, K.; Nagarajan, V.; Misra, M.; Mohanty, A.K. Supertoughened Renewable PLA Reactive Multiphase Blends System: Phase Morphology and Performance. ACS Appl. Mater. Interfaces 2014, 6, 12436–12448. [Google Scholar] [CrossRef]
- Ramdin, M.; Vlugt, T.J.H.; de Loos, T.W. Solubility of CO2 in the Ionic Liquids [TBMN][MeSO4] and [TBMP][MeSO4]. J. Chem. Eng. Data 2012, 57, 2275–2280. [Google Scholar] [CrossRef]
- Jacquemin, J.; Husson, P.; Majer, V.; Costa Gomes, M.F. Influence of the Cation on the Solubility of CO2 and H2 in Ionic Liquids Based on the Bis(trifluoromethylsulfonyl)imide Anion. J. Solut. Chem. 2007, 36, 967–979. [Google Scholar] [CrossRef]
- Lei, Z.; Dai, C.; Chen, B. Gas Solubility in Ionic Liquids. Chem. Rev. 2014, 114, 1289–1326. [Google Scholar] [CrossRef] [PubMed]





| Ionic Liquids | Chemical Structure | Supplier |
|---|---|---|
| Tris (2-hydroxyethyl) methylammonium methylsulfate ([Tris][MeSO4]) | ![]() | Sigma Aldrich |
| 1-ethyl-3-methylimidazolium ethyl sulfate ([emim][EtSO4]) | ![]() | Sigma Aldrich |
| IL | Young’s Modulus (MPa) | Strain at Break (%) | Max Stress (MPa) | |
|---|---|---|---|---|
| Type | Weight (%) | |||
| - | - | 3158 ± 293 | 4.2 ± 0.4 | 80.9 ± 0.6 |
| [Tris][MeSO4] | 1 | 3731 ± 257 | 3.1 ± 0.5 | 85.9 ± 2.9 |
| [Tris][MeSO4] | 10 | 3228 ± 248 | 36.9 ± 15.0 | 52.3 ± 13.5 |
| [emim][EtSO4] | 1 | 3700 ± 124 | 3.2 ± 0.4 | 82.7 ± 1.3 |
| [emim][EtSO4] | 10 | 3227 ± 87 | 177.0 ± 4.5 | 43.4 ± 2.5 |
| Ionic Liquid | DMA Data | DSC Data | ||||||||
|---|---|---|---|---|---|---|---|---|---|---|
| Type | Weight (%) | E’at 40 °C (MPa) | Tg (°C) | Tg (°C) | Tcc (°C) | Tm1 (°C) | Tm2 (°C) | ΔHm (J/g) | ΔHcc (J/g) | Xc (%) |
| - | - | 2000 | 75 | 59 | 113 | 150 | 154 | 25 | 20 | 5.3 |
| [Tris][MeSO4] | 1 | 1950 | 75 | 58 | 111 | 148 | 154 | 21 | 20 | 1.1 |
| [Tris][MeSO4] | 10 | 1750 | 77 | 57 | 109 | 147 | 154 | 24 | 21 | 3.2 |
| [emim][EtSO4] | 1 | 2070 | 75 | 56 | 110 | 147 | 154 | 24 | 22 | 2.1 |
| [emim][EtSO4] | 10 | 1850 | 76 | 56 | 107 | 145 | 154 | 24 | 23 | 1.1 |
| Ionic Liquid | Density (g/cm3) | VER | Average Cell Size (μm) | Cell Density (109 Cells/cm3) | ||
|---|---|---|---|---|---|---|
| Type | Weight (%) | Solid | Foamed | |||
| - | - | 1.2524 ± 0.0005 | 1.1236 ± 0.0120 | 1.12 | 202 ± 74 | 0.103 |
| [Tris][MeSO4] | 1 | 1.2459 ± 0.0005 | 1.2027 ± 0.0010 | 1.04 | 79 ± 24 | 3.666 |
| [Tris][MeSO4] | 10 | 1.1936 ± 0.0010 | 0.9804 ± 0.0150 | 1.21 | 80 ± 21 | 3.761 |
| [emim][EtSO4] | 1 | 1.2546 ± 0.0008 | 1.1505 ± 0.0100 | 1.08 | 114 ± 36 | 0.562 |
| [emim][EtSO4] | 10 | 1.2299 ± 0.0002 | 1.0361 ± 0.0050 | 1.18 | 81 ± 23 | 2.822 |
| Ionic Liquid | ΔHm (J/g) | ΔHcc (J/g) | Xc (%) | ||||
|---|---|---|---|---|---|---|---|
| Type | Weight (%) | A | B | A | B | A | B |
| - | - | 25 | 23 | 20 | 17 | 5.3 | 6.4 |
| [Tris][MeSO4] | 1 | 21 | 27 | 20 | 21 | 1.1 | 6.4 |
| [Tris][MeSO4] | 10 | 24 | 24 | 21 | 23 | 3.2 | 1.1 |
| [emim][EtSO4] | 1 | 24 | 30 | 22 | 25 | 2.1 | 5.3 |
| [emim][EtSO4] | 10 | 24 | 30 | 23 | 29 | 1.1 | 1.1 |
Disclaimer/Publisher’s Note: The statements, opinions and data contained in all publications are solely those of the individual author(s) and contributor(s) and not of MDPI and/or the editor(s). MDPI and/or the editor(s) disclaim responsibility for any injury to people or property resulting from any ideas, methods, instructions or products referred to in the content. |
© 2025 by the authors. Licensee MDPI, Basel, Switzerland. This article is an open access article distributed under the terms and conditions of the Creative Commons Attribution (CC BY) license (https://creativecommons.org/licenses/by/4.0/).
Share and Cite
Schmitz, D.P.; Lins, L.; Silva, J.M.F.d.; Soares, B.G.; Livi, S. Dual Role of Ionic Liquids as Plasticizer and Co-Foaming Agent of Polylactide Matrix. Polymers 2025, 17, 2967. https://doi.org/10.3390/polym17222967
Schmitz DP, Lins L, Silva JMFd, Soares BG, Livi S. Dual Role of Ionic Liquids as Plasticizer and Co-Foaming Agent of Polylactide Matrix. Polymers. 2025; 17(22):2967. https://doi.org/10.3390/polym17222967
Chicago/Turabian StyleSchmitz, Debora P., Luanda Lins, Juliana M. Farias da Silva, Bluma G. Soares, and Sebastien Livi. 2025. "Dual Role of Ionic Liquids as Plasticizer and Co-Foaming Agent of Polylactide Matrix" Polymers 17, no. 22: 2967. https://doi.org/10.3390/polym17222967
APA StyleSchmitz, D. P., Lins, L., Silva, J. M. F. d., Soares, B. G., & Livi, S. (2025). Dual Role of Ionic Liquids as Plasticizer and Co-Foaming Agent of Polylactide Matrix. Polymers, 17(22), 2967. https://doi.org/10.3390/polym17222967



