Sign in to use this feature.

Years

Between: -

Subjects

remove_circle_outline
remove_circle_outline
remove_circle_outline
remove_circle_outline
remove_circle_outline
remove_circle_outline
remove_circle_outline
remove_circle_outline
remove_circle_outline

Journals

remove_circle_outline
remove_circle_outline
remove_circle_outline
remove_circle_outline
remove_circle_outline
remove_circle_outline
remove_circle_outline
remove_circle_outline

Article Types

Countries / Regions

remove_circle_outline
remove_circle_outline
remove_circle_outline
remove_circle_outline
remove_circle_outline

Search Results (334)

Search Parameters:
Keywords = epilepsy risk

Order results
Result details
Results per page
Select all
Export citation of selected articles as:
15 pages, 760 KB  
Systematic Review
The Multifaceted Role of Irisin in Neurological Disorders: A Systematic Review Integrating Preclinical Evidence with Clinical Observations
by Foad Alzoughool, Loai Alanagreh, Yousef Aljawarneh, Haitham Zraigat and Mohammad Alzghool
Neurol. Int. 2026, 18(1), 15; https://doi.org/10.3390/neurolint18010015 - 9 Jan 2026
Viewed by 138
Abstract
Background: Irisin, an exercise-induced myokine, has emerged as a potent neuroprotective factor, though a systematic synthesis of its role across neurological disorders is lacking. This review systematically evaluates clinical and preclinical evidence on irisin’s association with neurological diseases and its underlying mechanisms. Methods: [...] Read more.
Background: Irisin, an exercise-induced myokine, has emerged as a potent neuroprotective factor, though a systematic synthesis of its role across neurological disorders is lacking. This review systematically evaluates clinical and preclinical evidence on irisin’s association with neurological diseases and its underlying mechanisms. Methods: Following PRISMA 2020 guidelines, a systematic search of PubMed/MEDLINE, Scopus, Web of Science, Embase, and Cochrane Library was conducted. The review protocol was prospectively registered in PROSPERO. Twenty-one studies were included, comprising predominantly preclinical evidence (n = 14), alongside clinical observational studies (n = 6), and a single randomized controlled trial (RCT) investigating irisin in cerebrovascular diseases, Parkinson’s disease (PD), Alzheimer’s disease (AD), and other neurological conditions. Eligible studies were original English-language research on irisin or FNDC5 and their neuroprotective effects, excluding reviews and studies without direct neuronal outcomes. Risk of bias was independently assessed using SYRCLE, the Newcastle–Ottawa Scale, and RoB 2, where disagreements between reviewers were resolved through discussion and consensus. Results were synthesized narratively, integrating mechanistic, pre-clinical, and clinical evidence to highlight consistent neuroprotective patterns of irisin across disease categories. Results: Clinical studies consistently demonstrated that reduced circulating irisin levels predict poorer outcomes. Lower serum irisin was associated with worse functional recovery and post-stroke depression after ischemic stroke, while decreased plasma irisin in PD correlated with greater motor severity, higher α-synuclein, and reduced dopamine uptake. In AD, cerebrospinal fluid irisin levels were significantly correlated with global cognitive efficiency and specific domain performance, and correlation analyses within studies suggested a closer association with amyloid-β pathology than with markers of general neurodegeneration. However, diagnostic accuracy metrics (e.g., AUC, sensitivity, specificity) for irisin as a standalone biomarker are not yet established. Preclinical findings revealed that irisin exerts neuroprotection through multiple mechanisms: modulating microglial polarization from pro-inflammatory M1 to anti-inflammatory M2 phenotype, suppressing NLRP3 inflammasome activation, enhancing autophagy, activating integrin αVβ5/AMPK/SIRT1 signaling, improving mitochondrial function, and reducing neuronal apoptosis. Irisin administration improved outcomes across models of stroke, PD, AD, postoperative cognitive dysfunction, and epilepsy. Conclusions: Irisin represents a critical mediator linking exercise to brain health, with consistent neuroprotective effects across diverse neurological conditions. Its dual ability to combat neuroinflammation and directly protect neurons, demonstrated in preclinical models, positions it as a promising therapeutic candidate for future investigation. Future research must prioritize the resolution of fundamental methodological challenges in irisin measurement, alongside investigating pharmacokinetics and sex-specific effects, to advance irisin toward rigorous clinical evaluation. Full article
Show Figures

Figure 1

19 pages, 474 KB  
Case Report
Rehabilitation After Severe Traumatic Brain Injury with Acute Symptomatic Seizure: Neurofeedback and Motor Therapy in a 6-Month Follow-Up Case Study
by Annamaria Leone, Luna Digioia, Rosita Paulangelo, Nicole Brugnera, Luciana Lorenzon, Fabiana Montenegro, Pietro Fiore, Petronilla Battista, Stefania De Trane and Gianvito Lagravinese
Neurol. Int. 2026, 18(1), 14; https://doi.org/10.3390/neurolint18010014 - 8 Jan 2026
Viewed by 212
Abstract
Background/Objectives: Post-traumatic epileptogenesis is a frequent and clinically relevant consequence of traumatic brain injury (TBI), often contributing to worsened neurological and functional outcomes. In patients experiencing early post-injury seizures, rehabilitative strategies that support recovery while considering increased epileptogenic risk are needed. This case [...] Read more.
Background/Objectives: Post-traumatic epileptogenesis is a frequent and clinically relevant consequence of traumatic brain injury (TBI), often contributing to worsened neurological and functional outcomes. In patients experiencing early post-injury seizures, rehabilitative strategies that support recovery while considering increased epileptogenic risk are needed. This case study explores the potential benefits of combining neurofeedback (NFB) with motor therapy on cognitive and motor recovery. Methods: A patient hospitalized for severe TBI who experienced an acute symptomatic seizure in the early post-injury phase underwent baseline quantitative EEG (qEEG), neuromotor, functional, and neuropsychological assessments. The patient then completed a three-week rehabilitation program (five days/week) including 30 sensorimotor rhythm (SMR) NFB sessions (35 min each) combined with daily one-hour motor therapy. qEEG and clinical assessments were repeated post-intervention and at 6-month follow-up. Results: Post-intervention qEEG showed significant reductions in Delta and Theta power, reflecting decreased cortical slowing and enhanced neural activation. Relative power analysis indicated reduced Theta activity and Alpha normalization, suggesting improved cortical stability. Increases were observed in Beta and High-beta activity, alongside significant reductions in the Theta/Beta ratio, consistent with improved attentional regulation. Neuropsychological outcomes revealed reliable improvements in global cognition, memory, and visuospatial abilities, mostly maintained or enhanced at follow-up. Depressive and anxiety symptoms decreased markedly. Motor and functional assessments demonstrated meaningful improvements in motor performance, coordination, and functional independence. Conclusions: Findings suggest that integrating NFB with motor therapy may support recovery processes and be associated with sustained neuroplastic changes in the early post-injury phase after TBI, a condition associated with elevated risk for post-traumatic epilepsy. Full article
(This article belongs to the Section Brain Tumor and Brain Injury)
Show Figures

Graphical abstract

10 pages, 611 KB  
Systematic Review
Exploratory Dietary Approaches for Drug-Resistant Epilepsy Beyond Standard Ketogenic Diet and Fish Oil: A Systematic Review of Preliminary Clinical Evidence
by Xianghong Meng and Kequan Zhou
Neurol. Int. 2026, 18(1), 9; https://doi.org/10.3390/neurolint18010009 - 4 Jan 2026
Viewed by 268
Abstract
Background: Standard ketogenic diets (KD) and fish oil have established efficacy for drug-resistant epilepsy (DRE), but adherence and variability remain challenging. Objective: The objective of this study is to provide the first systematic evaluation of clinical evidence for emerging dietary interventions for epilepsy—specifically [...] Read more.
Background: Standard ketogenic diets (KD) and fish oil have established efficacy for drug-resistant epilepsy (DRE), but adherence and variability remain challenging. Objective: The objective of this study is to provide the first systematic evaluation of clinical evidence for emerging dietary interventions for epilepsy—specifically those other than standard KD and fish oil—and to rigorously evaluate their effectiveness and certainty of evidence to address the current gap in dietary management literature. Unlike prior reviews focused on standard KD or carbohydrate-modified versions, this study is the first to synthesize evidence for “non-standard” interventions—including olive oil-based KDs, probiotics, and restrictive gluten/glutamate-free diets—which are typically excluded from traditional dietary meta-analyses. Methods: Following PRISMA 2020 guidelines, we searched PubMed, Web of Science, Cochrane, and Google Scholar up to March 2025. Randomized Controlled Trials (RCTs) and Non-Randomized Studies of Interventions (NRSIs) were included, with quality assessed using RoB 2 and ROBINS-I tools. Results: Eight studies (total n = 675) were identified, comprising 2 RCTs and 6 NRSIs. These included olive oil-based KDs (n = 1), probiotic/synbiotic supplementation (n = 2), medium-chain triglyceride (MCT) additions (n = 2), and gluten-free (n = 1) or glutamate-free (n = 1) diets. Evidence quality is generally low, with 75% of studies at high risk of bias. Preliminary responder rates reached 83.1% in uncontrolled olive oil-based KD studies, whereas the only RCT evaluating a low-glutamate diet showed no significant seizure reduction (p = 0.57). Conclusion: Evidence for emerging dietary interventions beyond standard KD is nascent and of low certainty. Interpretation: While preliminary signals exist for olive oil-based KDs and probiotics, current data are insufficient for clinical recommendation; this review identifies these as promising exploratory targets requiring validation through rigorous, blinded RCTs. Full article
(This article belongs to the Section Movement Disorders and Neurodegenerative Diseases)
Show Figures

Figure 1

18 pages, 2046 KB  
Article
Imaging Scores in Subarachnoid Hemorrhage: Performance on Prediction of Functional Outcome, Mortality, and Complications
by Luise Biburger, Lena Mers, Anna Bogdanova, Alexander Sekita, Matthias Borutta, Daniel Delev, Yavor Bozhkov, Oliver Schnell, Tobias Engelhorn, Ludwig Singer, Maximilian Sprügel, Stefan Schwab and Stefan T. Gerner
Brain Sci. 2026, 16(1), 28; https://doi.org/10.3390/brainsci16010028 - 25 Dec 2025
Viewed by 444
Abstract
Background/Objectives: Several imaging scores have been developed for subarachnoid hemorrhage (SAH), but their prognostic performance for long-term functional outcome and post-hospital complications remains insufficiently characterized. We evaluated whether five admission imaging scores (modified Fisher, Claassen, Hijdra, Graeb, IVH) independently predict 12-month functional outcome [...] Read more.
Background/Objectives: Several imaging scores have been developed for subarachnoid hemorrhage (SAH), but their prognostic performance for long-term functional outcome and post-hospital complications remains insufficiently characterized. We evaluated whether five admission imaging scores (modified Fisher, Claassen, Hijdra, Graeb, IVH) independently predict 12-month functional outcome and major secondary endpoints. Methods: We performed a retrospective cohort study of 479 consecutive patients with atraumatic SAH recorded in a prospectively maintained institutional registry. Admission CT/MRI was scored by two board-certified neuroradiologists blinded to clinical outcomes. The primary endpoint was unfavorable functional outcome at 12 months (modified Rankin scale [mRS] 4–6). Secondary endpoints included 12-month mortality, delayed cerebral ischemia (DCI), post-hemorrhagic epilepsy, shunt-dependent hydrocephalus, return to work, and patient-reported health. Receiver operating characteristic (ROC) analyses and multivariable logistic regression adjusted for established predictors were conducted. Results: All imaging scores were significantly associated with the primary endpoint and demonstrated adequate discrimination (area under the curve [AUC] ~0.70–0.74), with the Graeb and IVH scores performing highest for long-term functional outcome, mortality, and shunt dependence. Associations with DCI and epilepsy were modest. In multivariable analyses, all imaging scores remained independently associated with mRS 4–6. Subgroup analyses showed stronger prognostic performance in good-grade SAH, aneurysmal SAH, and cases with concomitant intraventricular hemorrhage. Conclusions: Admission imaging burden independently predicts 12-month functional outcome, mortality, and shunt dependence after SAH. Incorporating IVH-oriented measures alongside established clinical grading may improve individualized risk stratification, particularly in good-grade and aneurysmal SAH. Full article
(This article belongs to the Topic Diagnosis and Management of Acute Ischemic Stroke)
Show Figures

Figure 1

31 pages, 4219 KB  
Review
Molecular Basis of GABA Aminotransferase Inhibition in Epilepsy: Structure, Mechanisms, and Drug Development
by Muhammad Yasir, Jongseon Choe, Jin-Hee Han and Wanjoo Chun
Curr. Issues Mol. Biol. 2025, 47(12), 1032; https://doi.org/10.3390/cimb47121032 - 11 Dec 2025
Viewed by 1010
Abstract
Epilepsy affects approximately 50 million people worldwide, with nearly one-third of patients experiencing inadequate seizure control with conventional anti-epileptic drugs. The GABAergic system, responsible for inhibitory neurotransmission in the central nervous system, represents a critical target for seizure management. GABA aminotransferase (GABA-T), the [...] Read more.
Epilepsy affects approximately 50 million people worldwide, with nearly one-third of patients experiencing inadequate seizure control with conventional anti-epileptic drugs. The GABAergic system, responsible for inhibitory neurotransmission in the central nervous system, represents a critical target for seizure management. GABA aminotransferase (GABA-T), the enzyme responsible for GABA catabolism, has emerged as a particularly attractive therapeutic target. Inhibition of GABA-T increases synaptic GABA availability, enhancing inhibitory neurotransmission and raising the seizure threshold. Vigabatrin, an irreversible GABA-T inhibitor, has demonstrated remarkable efficacy in specific epilepsy syndromes, particularly infantile spasms and refractory partial seizures. However, its clinical utility is tempered by the risk of irreversible visual field defects, necessitating careful patient selection and monitoring. This review examines the molecular biology of GABA-T, the mechanisms of action of its inhibitors, clinical applications, safety considerations, and emerging developments in this therapeutic area. We discuss the structure–function relationships of GABA-T, the pharmacology of vigabatrin and experimental inhibitors, clinical efficacy across various epilepsy syndromes, adverse effect profiles, and future directions including novel inhibitors with improved safety profiles. Understanding the role of GABA-T in epilepsy pathophysiology and the therapeutic potential of its inhibitors provides insights into rational drug design and personalized treatment strategies for epilepsy management. Full article
(This article belongs to the Special Issue Advances in Drug Design and Drug Discovery)
Show Figures

Figure 1

15 pages, 543 KB  
Review
Sleep in Lennox–Gastaut Syndrome: A Scoping Review
by Debopam Samanta
Children 2025, 12(12), 1676; https://doi.org/10.3390/children12121676 - 10 Dec 2025
Viewed by 396
Abstract
Background and Objective: Lennox–Gastaut syndrome (LGS) is a severe developmental and epileptic encephalopathy characterized by multiple seizure types, distinctive electroencephalography (EEG) abnormalities, and cognitive impairment. Sleep disturbances are highly prevalent in LGS and contribute substantially to reduced quality of life. However, no [...] Read more.
Background and Objective: Lennox–Gastaut syndrome (LGS) is a severe developmental and epileptic encephalopathy characterized by multiple seizure types, distinctive electroencephalography (EEG) abnormalities, and cognitive impairment. Sleep disturbances are highly prevalent in LGS and contribute substantially to reduced quality of life. However, no comprehensive analysis has yet been conducted to systematically examine key aspects of sleep—including architecture, microstructure, sleep-disordered breathing, and circadian regulation—leaving critical knowledge gaps. To address this, we conducted a scoping review to map the current evidence on sleep abnormalities in LGS and to identify priorities for future research. Method: A scoping review was conducted following PRISMA-ScR guidelines. PubMed, Embase, Ovid, and ClinicalTrials.gov from inception to October 2025 for studies evaluating sleep parameters in individuals with LGS or mixed epilepsy cohorts with ≥50% LGS cases. Eligible designs included observational and interventional studies using polysomnography, video-EEG, actigraphy, or sleep questionnaires. Data were synthesized narratively due to heterogeneity, and methodological quality was assessed using relevant Joanna Briggs Institute (JBI) checklists. Results: After screening 1242 articles, eleven studies met inclusion criteria, spanning 1986–2025 and conducted across four continents. Most were small single-center observational studies (5–16 LGS participants) using polysomnography as the primary assessment, with others employing wearable monitoring, surface and intracranial EEG, or circadian biomarker analyses. Across studies, individuals with LGS demonstrated markedly disrupted sleep architecture—notably reduced or absent rapid eye movement (REM) sleep, fragmented non-rapid eye movement (NREM) sleep, and attenuated spindles. Microstructural analysis showed elevated cyclic alternating pattern (CAP) rates, with epileptiform discharges clustering in CAP phase A. Sleep-disordered breathing (SDB) was common, particularly in adults, and associated with tonic seizures and central apneas. Circadian rhythm dysregulation, including altered melatonin and cortisol profiles, was also reported. A feasibility study demonstrated that home-based wearable devices and sleep apnea monitors were both acceptable and practical for use in children with LGS. No interventional studies have evaluated whether addressing sleep abnormalities modifies seizure or cognitive outcomes. Interpretation: Sleep in LGS is profoundly disrupted at both macrostructural and microstructural levels. These abnormalities may exacerbate seizure burden, cognitive impairment, and SUDEP risk, representing a potentially modifiable contributor to disease severity. Larger, prospective studies integrating polysomnography, wearable monitoring, and interventional approaches are needed to clarify causal mechanisms and therapeutic potential. Full article
Show Figures

Figure 1

18 pages, 2260 KB  
Article
Association Between CYP2C9 and CYP2C19 Genetic Polymorphisms and Antiseizure Medication-Induced Adverse Reactions Among Peruvian Patients with Epilepsy
by Angel T. Alvarado, Felipe L. Ignacio-Cconchoy, Juan C. Espinoza-Retuerto, Roxana M. Contreras-Macazana, Luis Abel Quiñones, Jorge A. García, María R. Bendezú, Haydee Chávez, Felipe Surco-Laos, Doris Laos-Anchante, Pompeyo A. Cuba-Garcia, Elizabeth J. Melgar-Merino, Bertha Pari-Olarte, Mario Bonifaz-Hernández, José Santiago Almeida-Galindo, José Kong-Chirinos, Ricardo Pariona-Llanos, Priscilia Aguilar-Ramírez and Nelson M. Varela
Pharmaceuticals 2025, 18(12), 1872; https://doi.org/10.3390/ph18121872 - 9 Dec 2025
Viewed by 434
Abstract
Background/Objectives: Epilepsy is characterized by recurrent, unprovoked, self-limiting seizures of genetic, acquired, or unknown origin. It affects more than 50 million people worldwide. The prevalence in Peru is 11.9–32.1 per 1000 people. Our objective was to describe the association between CYP2C9 and [...] Read more.
Background/Objectives: Epilepsy is characterized by recurrent, unprovoked, self-limiting seizures of genetic, acquired, or unknown origin. It affects more than 50 million people worldwide. The prevalence in Peru is 11.9–32.1 per 1000 people. Our objective was to describe the association between CYP2C9 and CYP2C19 genetic polymorphisms and adverse reactions induced by antiseizure medications among Peruvian patients with epilepsy. Methods: A descriptive observational study was conducted on Peruvian patients with epilepsy. Non-probability, non-randomized, purposive sampling was carried out through consecutive inclusion. Genomic DNA was obtained from venous blood samples. Genotypes were determined by real-time PCR using specific TaqMan probes to identify the alleles of interest. Results: In total, 89 Peruvian patients with epilepsy were recruited at the Alberto Sabogal Sologuren National Hospital-ESSALUD: 45 were male (23.6 ± 10.0 years) and 44 were female (24.0 ± 12.4 years). The observed frequencies for CYP2C9*2, CYP2C9*3, CYP2C19*2, CYP2C19*3, and CYP2C19*17 were 0.034 (T allele), 0.034 (C allele), 0.14 (A allele), 0.00 (A allele), and 0.03 (T allele), respectively. Patients with intermediate and poor metabolic phenotypes of CYP2C9 and CYP2C19 had a significantly higher risk of adverse drug reactions (ADRs) (OR = 3.75; 95%CI: 1.32–10.69; p = 0.013), compared with normal metabolizers. Polytherapy was a predictor increasing the likelihood of ADRs (OR = 4.33; 95% CI: 1.46–12.80; p = 0.008). Conclusions: In this cohort of Peruvian patients with epilepsy, the reduced-function alleles CYP2C9*2, CYP2C9*3, and CYP2C19*2, associated with decreased metabolic activity, were significantly linked to an increased risk of adverse drug reactions induced by antiseizure medications. Polytherapy further heightened this risk. Collectively, these findings highlight the clinical relevance of CYP2C9 and CYP2C19 genotyping to enhance the safety of antiseizure pharmacotherapy in Latin American settings, where pharmacogenomic evidence remains limited. Full article
(This article belongs to the Section Pharmacology)
Show Figures

Graphical abstract

30 pages, 3599 KB  
Article
Endophenotype Research in Epilepsy Across Time
by Ozgun Yetkin, Ovinuchi Ejiohuo, Betul Baykan and Marcin Zarowski
Brain Sci. 2025, 15(12), 1275; https://doi.org/10.3390/brainsci15121275 - 27 Nov 2025
Viewed by 554
Abstract
Background/Objectives: Endophenotypes—quantifiable biological markers bridging genetic variations and clinical manifestations—have significantly evolved since their introduction to psychiatric genetics. This study presents the first comprehensive analysis of endophenotype research in epilepsy, examining validation frameworks, methodological approaches, and the potential for clinical translation. Methods [...] Read more.
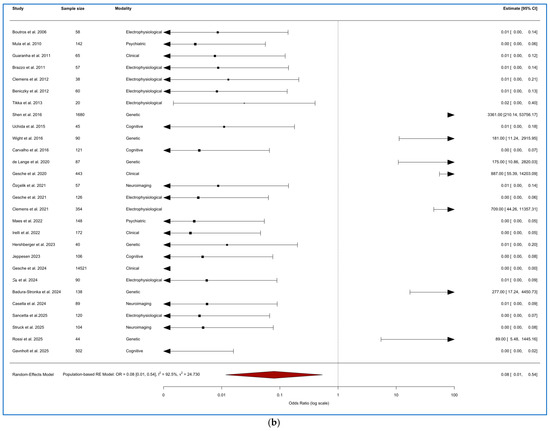
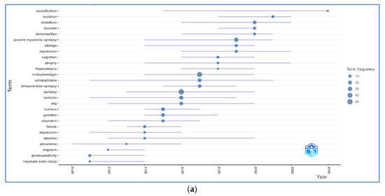
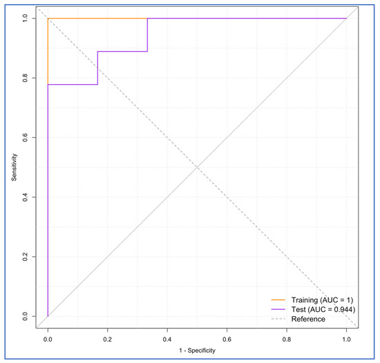
Background/Objectives: Endophenotypes—quantifiable biological markers bridging genetic variations and clinical manifestations—have significantly evolved since their introduction to psychiatric genetics. This study presents the first comprehensive analysis of endophenotype research in epilepsy, examining validation frameworks, methodological approaches, and the potential for clinical translation. Methods: We employed a dual-methodological approach combining the bibliometric analysis with a systematic review and a meta-analysis. Literature searches in the Web of Science and Scopus databases (17 July 2025) employed comprehensive strategies that incorporated endophenotype and epilepsy terminology. In the bibliometric analysis, the ‘Bibliometrix’ R package (version 4.4.3 (R Core Team, 2024) was used for publication trends, collaboration networks, and thematic evolution. The meta-analysis quantitatively synthesized validation outcomes across studies. For the systematic review, we compared traditional validation criteria with the Endophenotype 2.0 framework and applied machine learning-based validation techniques across 53 studies meeting rigorous inclusion criteria. Results: An analysis of 169 publications (2001–2025) revealed moderate annual growth (6.94%) with acceleration after 2015. Neuroimaging features achieved exceptional validation rates (77.8% perfect scores under Endophenotype 2.0), with functional MRI studies reaching 87.5% success. The Endophenotype 2.0 framework significantly outperformed traditional criteria (58.5% vs. 43.4%), particularly for genetic/molecular endophenotypes (83.3% vs. 0%). Family-based designs emerged as the strongest validation predictors (96% vs. 25% for population-based studies). International collaboration remained limited (4.1%). Conclusions: The endophenotype research in epilepsy has evolved toward validated biomarkers. The more comprehensive performance of the novel validation framework positions multiple endophenotypes—particularly neuroimaging and genetic markers—for the implementation of precision medicine. Our findings reveal opportunities for transdiagnostic biomarkers that could revolutionize risk assessment, early intervention, and personalized treatment across neurodevelopmental conditions. Full article
(This article belongs to the Section Molecular and Cellular Neuroscience)
Show Figures

Figure 1

17 pages, 583 KB  
Article
Epilepsy Surgery in Kazakhstan: Outcomes and the Role of Advanced Imaging
by Dina Kalinina, Nazira Bekenova, Alimzhan Muxunov, Zhassulan Utebekov, Gaziz Kyrgyzbay, Darkhan Kimadiev, Guldana Zhumabaeva and Antonio Sarria-Santamera
J. Clin. Med. 2025, 14(22), 7932; https://doi.org/10.3390/jcm14227932 - 8 Nov 2025
Viewed by 630
Abstract
Background and Objectives: Evidence on epilepsy surgery from Central Asia is limited, reflecting the real-world challenges of developing this service in low- and middle-income settings. We evaluated one-year seizure outcomes after resective surgery for drug-resistant focal epilepsy at a single center in Kazakhstan, [...] Read more.
Background and Objectives: Evidence on epilepsy surgery from Central Asia is limited, reflecting the real-world challenges of developing this service in low- and middle-income settings. We evaluated one-year seizure outcomes after resective surgery for drug-resistant focal epilepsy at a single center in Kazakhstan, and we assessed whether the use of advanced presurgical imaging was associated with seizure freedom. Materials and Methods: A retrospective cohort study was conducted, including consecutive adults who underwent curative-intent resective epilepsy surgery from 2017 to 2023. Outcomes at 12 months or more post-surgery were classified using the Engel criteria. Logistic regression was used to examine associations between the advanced presurgical diagnostic tool and achieving an Engel class I outcome. Crude and adjusted risk ratios (RRs) for not achieving Engel I were estimated using modified Poisson regression with robust SEs. Results: Among 112 patients (median age 31 years; median epilepsy duration 19 years), 76% underwent temporal lobe procedures and 71% had lobectomies. At one year, 74 patients were seizure-free (Engel II: 15.2%, III: 11.6%, IV: 7.1%). Year-to-year Engel I rates varied without a significant linear trend from 2018 to 2023. In bivariable analyses, MRI-defined atrophy (RR, 3.14) and mixed lesions (RR, 2.62) were associated with a higher risk of not achieving Engel I, whereas longer epilepsy duration was linked to a lower risk (RR, 0.97 per year). In adjusted models, predictors of not achieving Engel I included generalized tonic–clonic seizures (aRR, 1.96), atrophy (aRR, 2.98), mixed lesions (aRR, 2.45), and undergoing any advanced diagnostic test (aRR, 3.38). Longer epilepsy durations remained protective (aRR 0.95 per year). In modality-specific logistic models, fMRI use was associated with higher odds of Engel I (aOR 3.39), and MR spectroscopy was associated with lower odds (aOR 0.33). Conclusions: In this Central Asian single-center cohort, about two-thirds of adults achieved complete seizure freedom one year after resective surgery—comparable to international benchmarks. Advanced imaging modalities showed divergent associations with outcomes, likely reflecting confounding by indication. These findings support the feasibility of effective epilepsy surgery in a low-resource context and the value of targeted use of advanced imaging. Full article
(This article belongs to the Section Clinical Neurology)
Show Figures

Figure 1

15 pages, 249 KB  
Article
A Comprehensive Perspective on Febrile Seizures in Children: A Prospective Cohort Study with Evaluation of Clinical, Laboratory, and Genetic Features
by Gülşen Yalçın, Ruken Yıldırım, Edip Unal, Dilek Cebeci, Atilla Ersen, Berk Özyılmaz, Selahattin Tekeş, Murat Anıl and Aylin Gürbay
J. Clin. Med. 2025, 14(22), 7918; https://doi.org/10.3390/jcm14227918 - 8 Nov 2025
Viewed by 1630
Abstract
Background: Febrile seizures (FS) are the most common seizures in childhood, yet their clinical, biochemical, and genetic risk factors are still being clarified. This study aimed to provide a comprehensive evaluation of FS from clinical, laboratory, and genetic perspectives. Methods: In this prospective [...] Read more.
Background: Febrile seizures (FS) are the most common seizures in childhood, yet their clinical, biochemical, and genetic risk factors are still being clarified. This study aimed to provide a comprehensive evaluation of FS from clinical, laboratory, and genetic perspectives. Methods: In this prospective cohort study, 124 children aged 6 months to 5 years presenting with FS and 93 febrile controls without seizures were evaluated. Clinical features, laboratory parameters (including trace elements and hormonal markers), and genetic analysis using a 37-gene epilepsy panel were assessed. Multivariate logistic regression analysis was performed to identify independent predictors of FS, complex FS, and recurrent seizures. Results: Children with FS had significantly lower serum sodium, vitamin D, and zinc levels compared to controls. Multivariate analysis identified low sodium and low vitamin D levels as independent risk factors for FS. In the subgroup analysis, lower sodium and vitamin D levels and elevated ferritin levels were independently associated with complex FS. Lower serum zinc levels were significantly associated with seizure recurrence. Genetic analyses revealed pathogenic or likely pathogenic variants in 15.7% of patients with FS, predominantly involving SCN1A and PCDH19 genes. Patients with pathogenic variants also exhibited significantly lower levels of zinc, and selenium compared to genetically negative patients. Conclusions: This study highlights that metabolic disturbances, particularly involving sodium, vitamin D, and zinc, play a crucial role in FS occurrence, complexity, and recurrence. Ferritin may serve as a more sensitive indicator of inflammatory processes influencing seizure severity compared to CRP. Furthermore, genetic predispositions, especially SCN1A and PCDH19 variants, may underlie susceptibility in a subset of children. Routine evaluation of biochemical markers and consideration of genetic testing in selected cases may enhance individualized management strategies for FS. Full article
(This article belongs to the Section Clinical Pediatrics)
22 pages, 1701 KB  
Article
Age-Related Comparative Study of In-Hospital Mortality, Functional Outcome, and Recurrence in a Large Cohort of Patients Surgically Treated for Chronic Subdural Hematoma
by Schahin Salmanian, Jan Rodemerk, Sali Al-Rubaiey, Madiha Ahmadzai, Elias Timner, Lisa Schock, Thiemo Florin Dinger, Oliver Gembruch, Ramazan Jabbarli, Philipp Dammann, Ulrich Sure and Mehdi Chihi
J. Clin. Med. 2025, 14(21), 7856; https://doi.org/10.3390/jcm14217856 - 5 Nov 2025
Viewed by 733
Abstract
Background/Objectives: Chronic subdural hematoma (CSDH) predominantly affects the elderly population. To optimize care and quality in this demographic, tailored, age-specific counseling and therapeutic decision-making are imperative. Accordingly, this study aimed to identify risk factors for in-hospital mortality and functional outcome at discharge following [...] Read more.
Background/Objectives: Chronic subdural hematoma (CSDH) predominantly affects the elderly population. To optimize care and quality in this demographic, tailored, age-specific counseling and therapeutic decision-making are imperative. Accordingly, this study aimed to identify risk factors for in-hospital mortality and functional outcome at discharge following surgery using an age-stratified approach. Methods: We conducted a retrospective analysis of symptomatic CSDH patients who underwent surgery at our institution between June 2012 and December 2023. Subjects were categorized into three age cohorts: younger adults (18–64 years), older adults (65–79 years), and the oldest old (≥80 years). Clinical and neurological statuses at admission and discharge were evaluated using the Glasgow Coma Scale (GCS) and modified Rankin Scale (mRS), with mRS scores > 3 indicating poor functional outcomes. Results: Among 879 CSDH patients (mean age 75 ± 11.9 years), the sex ratio shifted progressively from a male predominance in younger adults (1:3.2) to a more balanced ratio in the oldest old (1:1.7). In the multivariate analysis, poor admission mRS and GCS score ≤ 7 predicted in-hospital mortality for older adults, while atrial fibrillation and postoperative pneumonia were significant in the oldest old. Poor admission mRS and multimorbidity consistently forecast unfavorable outcomes alongside other predictors, such as preoperative altered state of consciousness, epilepsy, dementia, unilateral CSDH, postoperative seizure, bleeding, and pneumonia varying by age cohort. Recurrence-free intervals were significantly extended with increasing age. Conclusions: This large-scale, age-stratified analysis delineates critical predictors of in-hospital mortality and unfavorable functional outcomes in surgically treated CSDH patients. These findings offer valuable guidance for neurosurgeons in preoperative risk assessment and inform age-specific counseling strategies to better communicate prognosis and tailor treatment plans. Full article
(This article belongs to the Section Clinical Neurology)
Show Figures

Figure 1

28 pages, 891 KB  
Systematic Review
A Systematic Review of Wearable Sensors in Rett Syndrome—What Physiological Markers Are Informative for Monitoring Disease States?
by Jatinder Singh, Georgina Wilkins, Athina Manginas, Samiya Chishti, Federico Fiori, Girish D. Sharma, Jay Shetty and Paramala Santosh
Sensors 2025, 25(21), 6697; https://doi.org/10.3390/s25216697 - 2 Nov 2025
Viewed by 1098
Abstract
Rett syndrome (RTT) presents with a wide range of symptoms spanning various clinical areas. Capturing symptom change as the disorder progresses is challenging. Wearable sensors offer a non-invasive and objective means of monitoring disease states in neurodevelopmental disorders. The goal of this study [...] Read more.
Rett syndrome (RTT) presents with a wide range of symptoms spanning various clinical areas. Capturing symptom change as the disorder progresses is challenging. Wearable sensors offer a non-invasive and objective means of monitoring disease states in neurodevelopmental disorders. The goal of this study was to conduct a systematic literature review to critically appraise the literature on the use of wearable sensors in individuals with RTT. The PRISMA criteria were used to search four databases without time restriction and identified 226 records. After removing duplicates, the titles and abstracts of 184 records were screened, 147 were excluded, and 37 were assessed for eligibility. Ten (10) articles remained, and a further two were included after additional searching. In total, 12 articles were included in the final analysis. The sample size ranged from 7 to 47 subjects with an age range of 1 to 41 years. Different wearable biosensor devices were used across studies, with the Empatica E4 wearable device being most frequently used in 33% (4/12) of the studies. All the studies demonstrated a high methodological quality with a low risk of bias. Evidence from wearable sensors, combined with machine learning methods, enabled the prediction of different sleep patterns and clinical severity in RTT. Given the small sample size and the limitations of available data for training machine learning models, we highlight areas for consideration. The review emphasises the need to enhance research on the application of wearable sensors in epilepsy and gastrointestinal manifestations/morbidity in RTT. Increased electrodermal activity (EDA), % of maximum heart rate (HRmax%) and the heart rate to low-frequency power (HR/LF) ratio were identified as physiological measures potentially associated with disease states. Based on the evidence synthesis, the role of physiological parameters and their association with symptom management in RTT is discussed. Full article
(This article belongs to the Section Wearables)
Show Figures

Figure 1

22 pages, 650 KB  
Review
Surgical Treatment of Brain Tumor-Related Epilepsy: Current and Emerging Strategies
by Bobak F. Khalili, Michael R. Chojnacki, Karan Dixit, Kapil Gururangan, Craig Horbinski, Joshua M. Rosenow, Jason K. Hsieh, Stephen T. Magill, Matthew C. Tate, Rimas V. Lukas and Jessica W. Templer
Cancers 2025, 17(21), 3539; https://doi.org/10.3390/cancers17213539 - 1 Nov 2025
Viewed by 1818
Abstract
Brain tumor-related epilepsy (BTRE) is a common and debilitating symptom of central nervous system (CNS) tumors. The epileptogenic zone, defined as cortex responsible for seizure generation, is located at the peritumoral region for most tumors, and lower-grade intrinsic brain tumors have the highest [...] Read more.
Brain tumor-related epilepsy (BTRE) is a common and debilitating symptom of central nervous system (CNS) tumors. The epileptogenic zone, defined as cortex responsible for seizure generation, is located at the peritumoral region for most tumors, and lower-grade intrinsic brain tumors have the highest seizure incidence. Surgery is often the most effective treatment for the reduction in seizures in BTRE. However, surgical decisions have historically often been made exclusively for oncologic reasons, with less emphasis on seizure control. Surgical approaches for all tumor types are reviewed, highlighting relevant risk factors. Adjunctive tools during surgery, such as intraoperative electrocorticography (ECoG), may help identify and remove surrounding brain areas which are epileptogenic. Minimally invasive surgery is also gaining traction, given its utility in treating seizures deep-seated tumors. This review explores epileptogenic brain tumors, surgery for BTRE, and emerging strategies to better achieve seizure control. Full article
(This article belongs to the Section Clinical Research of Cancer)
Show Figures

Figure 1

14 pages, 517 KB  
Article
Pediatric Health, Climate Perceptions, and School Absenteeism Across Three Regions of Bangladesh: A Cross-Sectional Study
by Yoon Sik Jung, Sakila Afroz, Sadia Samad Mow, Xingyan Wang, Caroline Sarpy, Md Fuadul Islam, Md Nazmul Husain, Md Shahadat Hossain, Al Romana Sania, Md Golam Mostofa, Quazi Quamruzzaman and Maitreyi Mazumdar
Int. J. Environ. Res. Public Health 2025, 22(11), 1639; https://doi.org/10.3390/ijerph22111639 - 28 Oct 2025
Viewed by 814
Abstract
Children remain underrepresented in environmental health studies, and evidence on how climate-related exposures affect pediatric health and school absenteeism is limited. This pilot cross-sectional study reports pediatric symptoms, school attendance, and perceptions of climate change among 300 Bangladeshi children ages 6–12 years old [...] Read more.
Children remain underrepresented in environmental health studies, and evidence on how climate-related exposures affect pediatric health and school absenteeism is limited. This pilot cross-sectional study reports pediatric symptoms, school attendance, and perceptions of climate change among 300 Bangladeshi children ages 6–12 years old in three sites: Barhatta, Galachipa, and Sarankhola. Health status, climate-related perception, and educational disruption were assessed with validated questionnaires. Clinical staff measured peak expiratory flow rate, hemoglobin, and blood lead concentrations. Rash (48%), asthma (21%), and positive screening for epilepsy (17%) were most prevalent in Sarankhola. Mean hemoglobin was lower in Sarankhola (11.0 g/dL) than in the other sites. Awareness of climate change was 100% in Galachipa and Sarankhola, while 32% in Barhatta, with television and health workers being the common sources of information. Almost one in every three children missed at least three days of school in the last month with illness, climate-related emergencies, and unexpected school closures being frequent causes. These findings indicate that Bangladeshi children, especially those living in coastal areas, face the health and educational risks related to climate change, and that longitudinal and environmental monitoring studies are needed. Full article
Show Figures

Figure 1

10 pages, 209 KB  
Article
Cardiac Genetic Variants in Sudden, Unexpected Death in Epilepsy: From Challenging DNA Extraction Methods to Updated NGS Panels for Improved Genetic Analysis
by Alessia Bernini Di Michele, Valerio Onofri, Filomena Melchionda, Lucia Fiordelmondo, Eleonora Ciarimboli, Marco Palpacelli, Sara Sablone, Chiara Turchi and Mauro Pesaresi
Genes 2025, 16(11), 1272; https://doi.org/10.3390/genes16111272 - 28 Oct 2025
Viewed by 515
Abstract
Background/Objectives: SUDEP is the sudden, unexpected death of someone with epilepsy, and occurs mainly during sleep or at rest, or when the individual does not seem to have experienced a convulsive seizure. The cause of death in SUDEP is still unknown, and it [...] Read more.
Background/Objectives: SUDEP is the sudden, unexpected death of someone with epilepsy, and occurs mainly during sleep or at rest, or when the individual does not seem to have experienced a convulsive seizure. The cause of death in SUDEP is still unknown, and it may differ between cases. Cardiac factors are among the most prevalent causes observed in SUDEP. Therefore, within the forensic medicine framework, identifying well-known DNA markers involved in cardiac sudden and unexpected death would aid in understanding the cause of SUDEP, as well as in finding cardiac risk markers in patients with epilepsy. The purpose of this study was to identify any genetic variants by analyzing blood and formalin-fixed paraffin-embedded (FFPE) tissue samples, utilizing next-generation sequencing techniques. Methods: We investigated five cases of SUDEP that were examined at the Legal Medicine department of Ancona (Italy). Peripheral blood or FFPE cardiac tissues were collected, and different DNA extraction methods were performed. In particular, this study underlines a new extraction method from FFPE tissue, adapting the Casework kit for forensic application to our purpose. Later, about one hundred genes correlated to inherited cardiac diseases were sequenced through the Ion PGM System and Ion GeneStudio S5 Systems. Results: Bioinformatic analysis showed some genetic variants of unknown significance (VUS) on genes involved in SUDEP: RYR2, SCN8A, and AKAP9. Conclusions: As expected, very low coverage of the target base was observed for FFPE tissue samples because of the complexity of the biological material. Therefore, the presence of any significant variants in unamplified regions cannot be excluded in the FFPE samples. As suggested by the literature, the variants found in the blood samples are potentially associated with SUDEP. Full article
(This article belongs to the Special Issue Advanced Research in Forensic Genetics)
Back to TopTop