Sign in to use this feature.

Years

Between: -

Subjects

remove_circle_outline
remove_circle_outline
remove_circle_outline
remove_circle_outline
remove_circle_outline

Journals

Article Types

Countries / Regions

Search Results (23)

Search Parameters:
Keywords = epidural anaesthesia

Order results
Result details
Results per page
Select all
Export citation of selected articles as:
5 pages, 144 KB  
Case Report
Multidisciplinary Care Approach to Asymptomatic Brugada Syndrome in Pregnancy: A Case Report
by Isabella Marechal-Ross and Kathryn Austin
Reports 2025, 8(3), 138; https://doi.org/10.3390/reports8030138 - 5 Aug 2025
Viewed by 884
Abstract
Background and Clinical Significance: Brugada syndrome (BrS) is a rare inherited cardiac channelopathy, often associated with SCN5A loss-of-function mutations. Clinical presentations range from asymptomatic to malignant arrhythmias and sudden cardiac death. Physiological and pharmacological stressors affecting sodium channel function—such as pyrexia, certain medications, [...] Read more.
Background and Clinical Significance: Brugada syndrome (BrS) is a rare inherited cardiac channelopathy, often associated with SCN5A loss-of-function mutations. Clinical presentations range from asymptomatic to malignant arrhythmias and sudden cardiac death. Physiological and pharmacological stressors affecting sodium channel function—such as pyrexia, certain medications, and possibly pregnancy—may unmask or exacerbate arrhythmic risk. However, there is limited information regarding pregnancy and obstetric outcomes. Obstetric management remains largely informed by isolated case reports and small case series. A literature review was conducted using OVID Medline and Embase, identifying case reports, case series, and one retrospective cohort study reporting clinical presentation, obstetric management, and outcomes in maternal BrS. A case is presented detailing coordinated multidisciplinary input, antenatal surveillance, and intrapartum and postpartum care to contribute to the growing evidence base guiding obstetric care in this complex setting. Case Presentation: A 30-year-old G2P0 woman with asymptomatic BrS (SCN5A-positive) was referred at 31 + 5 weeks’ gestation for multidisciplinary antenatal care. Regular review and collaborative planning involving cardiology, anaesthetics, maternal–fetal medicine, and obstetrics guided a plan for vaginal delivery with continuous cardiac and fetal monitoring. At 38 + 0 weeks, the woman presented with spontaneous rupture of membranes and underwent induction of labour. A normal vaginal delivery was achieved without arrhythmic events. Epidural block with ropivacaine and local anaesthesia with lignocaine were well tolerated, and 24 h postpartum monitoring revealed no abnormalities. Conclusions: This case adds to the limited but growing literature suggesting that with individualised planning and multidisciplinary care, pregnancies in women with BrS can proceed safely and without complication. Ongoing case reporting is essential to inform future guidelines and optimise maternal and fetal outcomes. Full article
(This article belongs to the Section Obstetrics/Gynaecology)
39 pages, 514 KB  
Review
A Comprehensive Review of a Mechanism-Based Ventricular Electrical Storm Management
by Alina Gabriela Negru, Diana Carina Iovanovici, Ana Lascu, Alexandru Silviu Pescariu, Gabriel Cismaru, Simina Crișan, Ștefan Ailoaei, Diana Luiza Bebec, Caius Glad Streian, Mariela Romina Bîrza, Andrei Raul Manzur, Silvia Ana Luca, Dana David, Svetlana Moșteoru, Dan Gaiță and Constantin Tudor Luca
J. Clin. Med. 2025, 14(15), 5351; https://doi.org/10.3390/jcm14155351 - 29 Jul 2025
Viewed by 4714
Abstract
The electrical ventricular storm (VES) is defined as multiple sustained ventricular arrhythmias arising in a short time, often refractory to standard antiarrhythmic treatment. The three pillars of the physiopathogenesis of the VES are autonomic dysfunction, triggers, and an altered ventricular substrate. Incessant or [...] Read more.
The electrical ventricular storm (VES) is defined as multiple sustained ventricular arrhythmias arising in a short time, often refractory to standard antiarrhythmic treatment. The three pillars of the physiopathogenesis of the VES are autonomic dysfunction, triggers, and an altered ventricular substrate. Incessant or highly recurrent ventricular arrhythmia impacts the hemodynamic status by worsening heart failure and increasing mortality. A stepwise, team-based, and tailored therapeutic approach is required to stop ventricular arrhythmia and regain the hemodynamic and electric stability of the patient. The authors focused on describing all currently available therapeutic approaches for VES, intending to establish the best VES therapeutic approaches. This process involves considering the patient’s specific condition, responses to previous treatments, and the potential risks and benefits of each approach. The options range from adjusting antiarrhythmic therapy to reprogramming of the ICD, sedation, epidural anaesthesia, stellate ganglia anaesthetic block, and the use of ECMO or left ventricular assist devices and radiofrequency catheter ablation. Particular attention is paid to the detailed management of genetic primary arrhythmia syndromes like long-QT syndrome, catecholaminergic polymorphic ventricular tachycardia, Brugada syndrome and Wolff–Parkinson–White syndrome, early repolarisation syndrome, right ventricular arrhythmogenic dysplasia, and idiopathic ventricular fibrillation. After overcoming the acute events of VES and obtaining hemodynamic stability, the treatment should shift toward an optimal balance of heart failure therapy, controlling the substrate by revascularisation procedures and resolving other pathology-generating ventricular arrhythmias. This article provides a comprehensive overview of ESV’s current management options using the most efficient strategies known to date. Full article
(This article belongs to the Section Cardiology)
8 pages, 178 KB  
Article
Short-Term Outcomes of Abdominal Surgeries Performed with Epidural Anaesthesia in Italian Calves
by Gessica Giusto, Claudio Bellino, Anna Cerullo and Marco Gandini
Vet. Sci. 2025, 12(5), 417; https://doi.org/10.3390/vetsci12050417 - 28 Apr 2025
Viewed by 1128
Abstract
Abdominal surgery is widely described for several diseases in cattle. While in adults surgical procedures are generally performed in standing or in sternal recumbency, lateral or dorsal recumbency is preferred in calves. General anaesthesia is associated with several side effects, and epidural anaesthesia [...] Read more.
Abdominal surgery is widely described for several diseases in cattle. While in adults surgical procedures are generally performed in standing or in sternal recumbency, lateral or dorsal recumbency is preferred in calves. General anaesthesia is associated with several side effects, and epidural anaesthesia (EA) is a valid alternative anaesthetic protocol for several surgical approaches. Previous studies have already been published about abdominal surgery in calves for several diseases, but they are not focused on short-term outcomes. Therefore, there is a need to report a case series for calves that have undergone exploratory laparotomy under EA. General anaesthesia is limited in cattle due to its association with several complications, such as ruminal stasis, regurgitation and tympany, and alternative protocols need to be used. The aim of this study is to describe the surgical features and short-term outcomes of elective and emergency laparotomies in calves under EA. In more complex or longer-lasting surgery, with a median duration of 80 min, intravenous administration of xylazine was necessary. Short-term survival (defined as survival until discharge from the hospital) rate was 90.1%. The EA was sufficient to ensure adequate analgesia in most surgeries. This type of anaesthesia is easy to administer, with limited side effects. The results of this study support surgeons in decision-making in the event of pathologies requiring abdominal surgery. Full article
(This article belongs to the Section Veterinary Surgery)
21 pages, 659 KB  
Review
Perioperative Pain Management for Mastectomy in Dogs: A Narrative Review
by Giada Giambrone, Giuseppe Catone, Gabriele Marino, Alessandra Sfacteria, Renato Miloro and Cecilia Vullo
Animals 2025, 15(9), 1214; https://doi.org/10.3390/ani15091214 - 25 Apr 2025
Viewed by 4222
Abstract
Mammary tumours are the most common neoplasia in adult female dogs. Mastectomy leads to moderate to severe pain. Effective pain management is crucial in veterinary medicine. This review outlines analgesic techniques for managing perioperative pain in dogs undergoing mastectomy. A literature search on [...] Read more.
Mammary tumours are the most common neoplasia in adult female dogs. Mastectomy leads to moderate to severe pain. Effective pain management is crucial in veterinary medicine. This review outlines analgesic techniques for managing perioperative pain in dogs undergoing mastectomy. A literature search on dog mastectomy analgesia was conducted from January 2001 to January 2025. Pre-emptive meloxicam reduces postoperative cardiovascular changes without affecting renal function. When combined with gabapentin, it lowers the need for rescue analgesic opioids, similar to robenacoxib. With regard to tramadol, it offers contrasting analgesia in the studies considered when used alone, while its effect appears enhanced when used in combination with meloxicam/dipyrone. However, methadone provides superior pain control, especially when given preoperatively or intraoperatively. The combination of ketamine, lidocaine, and maropitant enhances pain management, while fentanyl, alone or with lidocaine and ketamine, is effective for intraoperative pain control. Local infiltration with lidocaine/bupivacaine provides effective pain control, and devices like Comfont-in® or WSC facilitate this process. Tumescent anaesthesia using lidocaine/ropivacaine allows for extensive infiltration of the mammary gland. Epidural analgesia, paravertebral blocks, and TAP blocks are beneficial in multimodal protocols. Transdermal patches containing fentanyl/buprenorphine offer prolonged analgesia, while electroacupuncture can help reduce the need for rescue analgesics. Multimodal analgesic protocols are crucial for effective pain management in dog mastectomy surgeries, minimising the need for rescue opioids. Full article
(This article belongs to the Special Issue Recent Advances in Canine Mammary Tumors—2nd Edition)
Show Figures

Figure 1

24 pages, 628 KB  
Article
Adequacy of Anesthesia Guidance for Combined General/Epidural Anesthesia in Patients Undergoing Open Abdominal Infrarenal Aortic Aneurysm Repair; Preliminary Report on Hemodynamic Stability and Pain Perception
by Michał Jan Stasiowski, Seweryn Król, Paweł Wodecki, Nikola Zmarzły and Beniamin Oskar Grabarek
Pharmaceuticals 2024, 17(11), 1497; https://doi.org/10.3390/ph17111497 - 7 Nov 2024
Cited by 2 | Viewed by 2230
Abstract
Background/Objectives: Hemodynamic instability and inappropriate postoperative pain perception (IPPP) with their consequences constitute an anesthesiological challenge in patients undergoing primary elective open lumbar infrarenal aortic aneurysm repair (OLIAAR) under general anesthesia (GA), as suboptimal administration of intravenous rescue opioid analgesics (IROAs), whose [...] Read more.
Background/Objectives: Hemodynamic instability and inappropriate postoperative pain perception (IPPP) with their consequences constitute an anesthesiological challenge in patients undergoing primary elective open lumbar infrarenal aortic aneurysm repair (OLIAAR) under general anesthesia (GA), as suboptimal administration of intravenous rescue opioid analgesics (IROAs), whose titration is optimized by Adequacy of Anaesthesia (AoA) guidance, constitutes a risk of adverse events. Intravenous or thoracic epidural anesthesia (TEA) techniques of preventive analgesia have been added to GA to minimize these adverse events. Methods: Seventy-five patients undergoing OLIAAR were randomly assigned to receive TEA with 0.2% ropivacaine (RPV) with fentanyl (FNT) 2.5 μg/mL (RPV group) or 0.2% bupivacaine (BPV) with FNT 2.5 μg/mL (BPV group) or intravenous metamizole/tramadol (MT group). IROA using FNT during GA was administered under AoA guidance. Systemic morphine was administered as a rescue agent in all groups postoperatively in the case of IPPP, assessed using the Numeric Pain Rating Score > 3. The maximum score at admission and the minimum at discharge from the postoperative care unit to the Department of Vascular Surgery, perioperative hemodynamic stability, and demand for rescue opioid analgesia were analyzed. Results: Ultimately, 57 patients were analyzed. In 49% of patients undergoing OLIAAR, preventive analgesia did not prevent the incidence of IPPP, which was not statistically significant between groups. No case of acute postoperative pain perception was noted in the RPV group, but at the cost of statistically significant minimum mean arterial pressure values, reflecting hemodynamic instability, with clinical significance < 65mmHg. Demand for postoperative morphine was not statistically significantly different between groups, contrary to significantly lower doses of IROA using FNT in patients receiving TEA. Conclusions: AoA guidance for IROA administration with FNT blunted the preventive analgesia effect of TEA compared with intravenous MT that ensured proper perioperative hemodynamic stability along with adequate postoperative pain control with acceptable demand for postoperative morphine. Full article
(This article belongs to the Special Issue Common Medications Used in Anesthesia)
Show Figures

Figure 1

16 pages, 729 KB  
Systematic Review
The Management and Prevention of Delirium in Elderly Patients Hospitalised in Intensive Care Units: A Systematic Review
by Sarai Zaher-Sánchez, Pedro José Satústegui-Dordá, Enrique Ramón-Arbués, Jose Angel Santos-Sánchez, Juan José Aguilón-Leiva, Sofía Pérez-Calahorra, Raúl Juárez-Vela, Teresa Sufrate-Sorzano, Beatriz Angulo-Nalda, María Elena Garrote-Cámara, Iván Santolalla-Arnedo and Emmanuel Echániz-Serrano
Nurs. Rep. 2024, 14(4), 3007-3022; https://doi.org/10.3390/nursrep14040219 - 15 Oct 2024
Cited by 4 | Viewed by 7802
Abstract
Background: Delirium or an acute confusional state (ACS) is characterised as being a frequent and complex hospital complication in older adult patients, which can affect their level of independence and increase patient morbidity and mortality. Critically ill patients in the intensive care unit [...] Read more.
Background: Delirium or an acute confusional state (ACS) is characterised as being a frequent and complex hospital complication in older adult patients, which can affect their level of independence and increase patient morbidity and mortality. Critically ill patients in the intensive care unit (ICU) frequently develop ICU delirium, leading to longer hospital and ICU stays, increased mortality and long-term impairment. Objectives: This review aims to assess existing evidence of interventions that can be considered effective for the management and prevention of delirium in ICUs, reducing short-term morbidity and mortality, ICU and hospital admission times and the occurrence of other long-term complications. Methodology: For this systematic review, we searched Medline, PubMed, Cochrane Library, CINHAL, LILACS, SciELO and Dialnet from January 2018 to August 2024, in English, Spanish and French. MeSH descriptors were adjusted to search the different databases. We also checked Prospero for ongoing systematic reviews. Main results: The electronic search yielded a total of 2656 studies, of which 14 trials met the eligibility criteria, with a total of 14,711 participants. We included eight randomised clinical trial (RCTs), four cohort analyses, one systematic review and one observational trial, including participants over 65 years admitted to the ICU. Ten of these studies were based on pharmacological interventions, three of them examined non-pharmacological interventions and the remaining study examined mixed (pharmacological and non-pharmacological) interventions. Six placebo RCTs were included, plus four reported comparisons between different drugs. Regarding non-pharmacological interventions, nursing programmes focused on optimising modifiable risk factors or the use of therapies such as bright light are emerging. Regarding mixed interventions, we found the combination of invasive techniques and with sedoanalgesia. Conclusions: Due to its satisfactory level of sedation, dexmedetomidine is presented as a viable option because, although olanzapine offers safer results, postoperative administration angiotensin inhibitor systems significantly reduced the incidence of delirium. As for propofol, no significant differences were found. Among the non-pharmacological and mixed therapies, bright light therapy was able to reduce the incidence of delirium, and the combination of epidural/general anaesthesia was effective in all subtypes of delirium. Concerning the remaining interventions, the scientific evidence is still insufficient to provide a definitive recommendation. Full article
Show Figures

Figure 1

10 pages, 649 KB  
Review
Loco-Regional Anaesthesia during Standing Laparoscopic Ovariectomy in Equids: A Systematic Review (2003–2023) of the Literature
by Giada Giambrone, Giuseppe Catone, Gabriele Marino, Enrico Gugliandolo, Renato Miloro and Cecilia Vullo
Animals 2024, 14(16), 2306; https://doi.org/10.3390/ani14162306 - 8 Aug 2024
Viewed by 1944
Abstract
Laparoscopic ovariectomy is generally performed with equids in the standing position, with the animals heavily sedated and restrained in stocks. This procedure may be quite painful, and it is essential first to manage intraoperative pain to complete the surgery, respecting the animal’s welfare [...] Read more.
Laparoscopic ovariectomy is generally performed with equids in the standing position, with the animals heavily sedated and restrained in stocks. This procedure may be quite painful, and it is essential first to manage intraoperative pain to complete the surgery, respecting the animal’s welfare and, at the same time, ensuring the safety of the operators. Laparoscopy requires multiple small incisions to introduce the instruments, with one to two incisions enlarged sufficiently to remove the ovary. The surgical procedure must be associated with effective pain control, usually obtained with loco-regional anaesthesia, mesovarian injection, mesovaric or ovarian topical anaesthesia, and epidural anaesthesia. This systematic review aims to discuss articles published from 2003 to 2023 on treating loco-regional anaesthesia in standing laparoscopic ovariectomy in association with an evaluation of pain. The literature review was undertaken according to the Preferred Reporting Items for Systematic Reviews and Meta-Analysis (PRISMA) guidelines on three databases (NCBI-PubMed, Web of Science, and SciVerse Scopus). Despite the collected papers numbering 36, we identified only five eligible papers, demonstrating that few studies are performed in order to evaluate the quality of analgesia with loco-regional anaesthesia in standing laparoscopic ovariectomy in equids. The authors of this systematic review agree that the association of injectable and epidural anaesthesia is the best solution to manage intraoperative pain in standing laparoscopic ovariectomy in equids. Full article
Show Figures

Figure 1

11 pages, 1017 KB  
Article
Comparison between Bilateral Ultrasound-Guided Quadratus Lumborum Block and Sacrococcygeal Epidural in Cats Undergoing Ovariectomy
by José Diogo dos-Santos, Mário Ginja, João Martins, Patrícia Cabral, Sofia Alves-Pimenta, Lénio Ribeiro, Pablo E. Otero and Bruno Colaço
Vet. Sci. 2024, 11(1), 25; https://doi.org/10.3390/vetsci11010025 - 8 Jan 2024
Cited by 12 | Viewed by 4105
Abstract
Background: Ultrasound-guided quadratus lumborum block (QLB) and sacrococcygeal epidural anaesthesia (ScE) have been used for neutering cats, providing effective pain relief. Objectives: To compare the effects of the QLB with those of ScE in cats undergoing ovariectomies. Methods: Feral cats undergoing ovariectomy were [...] Read more.
Background: Ultrasound-guided quadratus lumborum block (QLB) and sacrococcygeal epidural anaesthesia (ScE) have been used for neutering cats, providing effective pain relief. Objectives: To compare the effects of the QLB with those of ScE in cats undergoing ovariectomies. Methods: Feral cats undergoing ovariectomy were premedicated with dexmedetomidine (20 μg kg−1) and methadone (0.2 mg kg−1) intramuscularly. Anaesthesia was induced with 2–4 mg kg−1 of propofol intravenously and maintained with isoflurane in oxygen. The cats were randomly allocated to the groups QLB (bilateral QLB with 0.4 mL kg−1 of 0.25% bupivacaine) and ScE (0.3 mL kg−1 of 0.25% bupivacaine). Hemodynamic data and analgesia rescue were collected at four intraoperative periods. The pain scale and motor block were assessed in both groups during the postoperative period. Results: The ScE results in increased hypotension, prolonged extubation time, and higher postoperative motor block than the QLB (p < 0.05). The QLB and ScE groups required a similar number of intraoperative rescues and presented the same postoperative pain scale classification. Conclusions: The QLB with 0.25% bupivacaine is a potential alternative to ScE with 0.25% bupivacaine in perioperative pain management in elective cat ovariectomy. The QLB promoted less hypotension and postoperative motor block when compared with the ScE group. Full article
(This article belongs to the Special Issue Anesthesia and Pain Management in Veterinary Surgery)
Show Figures

Figure 1

19 pages, 6843 KB  
Systematic Review
The Immunomodulatory Effect of Various Anaesthetic Practices in Patients Undergoing Gastric or Colon Cancer Surgery: A Systematic Review and Meta-Analysis of Randomized Clinical Trials
by Georgios Konstantis, Georgia Tsaousi, Elisavet Kitsikidou, Dimitrios Zacharoulis and Chryssa Pourzitaki
J. Clin. Med. 2023, 12(18), 6027; https://doi.org/10.3390/jcm12186027 - 18 Sep 2023
Cited by 7 | Viewed by 2840
Abstract
Background: Gastric and colorectal carcinomas are associated with increased mortality and an increasing incidence worldwide, while surgical resection remains the primary approach for managing these conditions. Emerging evidence suggests that the immunosuppression induced by the chosen anaesthesia approach, during the perioperative period, can [...] Read more.
Background: Gastric and colorectal carcinomas are associated with increased mortality and an increasing incidence worldwide, while surgical resection remains the primary approach for managing these conditions. Emerging evidence suggests that the immunosuppression induced by the chosen anaesthesia approach, during the perioperative period, can have a significant impact on the immune system and consequently the prognosis of these patients. Aim: This systematic review aims to comprehensively summarize the existing literature on the effects of different anaesthesia techniques on immune system responses, focusing on cellular immunity in patients undergoing the surgical removal of gastric or colorectal carcinomas. There is no meta-analysis investigating anaesthesia’s impact on immune responses in gastric and colorectal cancer surgery. Anaesthesia is a key perioperative factor, yet its significance in this area has not been thoroughly investigated. The clinical question of how the anaesthetic technique choice affects the immune system and prognosis remains unresolved. Methods: Major electronic databases were searched up to February 2023 to May 2023 for relevant randomized controlled trials (RCTs). The study protocol has been registered with Prospero (CRD42023441383). Results: Six RCTs met the selection criteria. Among these, three RCTs investigated the effects of volatile-based anaesthesia versus total intravenous anaesthesia (TIVA), while the other three RCTs compared general anaesthesia alone to the combination of general anaesthesia with epidural anaesthesia. According to our analysis, there were no significant differences between TIVA and volatile-based anaesthesia, in terms of primary and secondary endpoints. The combination of general anaesthesia with epidural analgesia had a positive impact on NK cell counts (SMD 0.61, 95% CI 0.28 to 0.94, I2 0.0% at 24 and 72 h after the operation), as well as on CD4+ cells (SMD 0.59, CI 95% 0.26 to 0.93, I2 0.0%). However, the CD3+ cell count, CD4+/CD8+ ratio, neutrophil-to-lymphocyte ratio (NLR), IL-6 and TNF-α levels remained unaffected. Conclusions: The combination of epidural analgesia and general anaesthesia can potentially improve, postoperatively, the NK cell count and CD4+ cell levels in gastric or colon surgery patients. However, the specific impact of TIVA or volatile-based anaesthesia remains uncertain. To gain a better understanding of the immunomodulatory effects of anaesthesia, in this particular group of cancer patients, further well-designed trials are required. Full article
(This article belongs to the Section General Surgery)
Show Figures

Figure 1

12 pages, 597 KB  
Article
Implementation of an Enhanced Recovery after Surgery Protocol in Advanced and Recurrent Rectal Cancer Patients after beyond Total Mesorectal Excision Surgery: A Feasibility Study
by Stefi Nordkamp, Davy M. J. Creemers, Sofie Glazemakers, Stijn H. J. Ketelaers, Harm J. Scholten, Silvie van de Calseijde, Grard A. P. Nieuwenhuijzen, Jip L. Tolenaar, Hendi W. Crezee, Harm J. T. Rutten, Jacobus W. A. Burger and Johanne G. Bloemen
Cancers 2023, 15(18), 4523; https://doi.org/10.3390/cancers15184523 - 12 Sep 2023
Cited by 9 | Viewed by 2497
Abstract
Introduction: The implementation of an Enhanced Recovery After Surgery (ERAS) protocol in patients with locally advanced rectal cancer (LARC) and locally recurrent rectal cancer (LRRC) has been deemed unfeasible until now because of the heterogeneity of this disease and low caseloads. Since evidence [...] Read more.
Introduction: The implementation of an Enhanced Recovery After Surgery (ERAS) protocol in patients with locally advanced rectal cancer (LARC) and locally recurrent rectal cancer (LRRC) has been deemed unfeasible until now because of the heterogeneity of this disease and low caseloads. Since evidence and experience with ERAS principles in colorectal cancer care are increasing, a modified ERAS protocol for this specific group has been developed. The aim of this study is to evaluate the implementation of a tailored ERAS protocol for patients with LARC or LRRC, requiring beyond total mesorectal excision (bTME) surgery. Methods: Patients who underwent a bTME for LARC or LRRC between October 2021 and December 2022 were prospectively studied. All patients were treated in accordance with the ERAS LARRC protocol, which consisted of 39 ERAS care elements specifically developed for patients with LARC and LRRC. One of the most important adaptations of this protocol was the anaesthesia procedure, which involved the use of total intravenous anaesthesia with intravenous (iv) lidocaine, iv methadone, and iv ketamine instead of epidural anaesthesia. The outcomes showed compliance with ERAS care elements, complications, length of stay, and functional recovery. A follow-up was performed at 30 and 90 days post-surgery. Results: Seventy-two patients were selected, all of whom underwent bTME for either LARC (54.2%) or LRRC (45.8%). Total compliance with the adjusted ERAS protocol was 73.6%. Major complications were present in 12 patients (16.7%), and the median length of hospital stay was 9 days (IQR 6.0–14.0). Patients who received multimodal anaesthesia (75.0%) stayed in the hospital for a median of 7.0 days (IQR 6.8–15.5). These patients received fewer opioids on the first three postoperative days than patients who received epidural analgesia (p < 0.001). Conclusions: The implementation of the ERAS LARRC protocol seemed successful according to its compliance rate of >70%. Its complication rate was substantially reduced in comparison with the literature. Multimodal anaesthesia is feasible in beyond TME surgery with promising effects on recovery after surgery. Full article
(This article belongs to the Special Issue The Survival of Colon and Rectal Cancer)
Show Figures

Figure 1

12 pages, 1574 KB  
Article
Safety and Efficiency of Low-Dose Spinal Analgesia Compared to Epidural Analgesia in Treatment of Pain during Labour: A Case Control Study
by Martin Calineata, Lukas Jennewein, Vanessa Neef, Armin Niklas Flinspach, Frank Louwen, Kai Zacharowski and Florian Jürgen Raimann
J. Clin. Med. 2023, 12(18), 5770; https://doi.org/10.3390/jcm12185770 - 5 Sep 2023
Cited by 1 | Viewed by 3187
Abstract
Background: The epidural catheter for analgesia has been used for decades and has become the gold standard in pain therapy for pregnant women in labour. However, procedural parameters such as time to pain relief and duration to implementation pose hurdles for patients shortly [...] Read more.
Background: The epidural catheter for analgesia has been used for decades and has become the gold standard in pain therapy for pregnant women in labour. However, procedural parameters such as time to pain relief and duration to implementation pose hurdles for patients shortly before delivery. Low-dose spinal analgesia (LDSA) is an alternative procedure that was investigated in the study with regard to patient satisfaction and complication rates compared to epidural catheter. Methods: In a retrospective monocentric study, a total of 242 patients receiving low-dose spinal analgesia or epidural catheters were evaluated using propensity score matching. Subjective patient satisfaction as well as complication rates were primarily analysed. We hypothesise that LDSA is a safe procedure and provides a similar level of satisfaction compared with the epidural catheter. For this purpose, both procedures were performed according to in-house standards and the patients were interviewed afterwards. Patients who required surgical delivery were excluded to prevent bias. Results: The LDSA was rated on average as very good [1.09 ± 0.311 vs. 1.07 ± 0.431] in terms of satisfaction by the patients compared to the epidural catheter without showing a significant difference (p = 0.653). Complications were in the low single-digit non-significant range for both procedures [6 (5%) vs. 7 (6%); p = 0.776]. The evaluation showed more perineal tears I° and II° in the low-dose spinal analgesia group [I°: 28 (23%) vs. 3 (2%); p < 0.001—II°: 30 (25%) vs. 2 (2%); p < 0.001]. Neonatal parameters differed significantly only in umbilical cord base excess and umbilical cord venous pH [−5.40 vs. −6.40; p = 0.005]. Conclusions: LDSA represents a low complication procedure for patients at the end of labour with a high satisfaction level. With the LDSA in the repertoire of pain relief during childbirth, it is possible to also achieve pain reduction for women with deliveries of high velocity without compromising patient satisfaction or perinatal morbidity. Full article
(This article belongs to the Special Issue Anesthesia and Pain Management for Women)
Show Figures

Figure 1

13 pages, 841 KB  
Review
Spinal Cord Injury and Complications Related to Neuraxial Anaesthesia Procedures: A Systematic Review
by Daniel H. Pozza, Isaura Tavares, Célia Duarte Cruz and Sara Fonseca
Int. J. Mol. Sci. 2023, 24(5), 4665; https://doi.org/10.3390/ijms24054665 - 28 Feb 2023
Cited by 21 | Viewed by 12056
Abstract
The use of neuraxial procedures, such as spinal and epidural anaesthesia, has been linked to some possible complications. In addition, spinal cord injuries due to anaesthetic practice (Anaes-SCI) are rare events but remain a significant concern for many patients undergoing surgery. This systematic [...] Read more.
The use of neuraxial procedures, such as spinal and epidural anaesthesia, has been linked to some possible complications. In addition, spinal cord injuries due to anaesthetic practice (Anaes-SCI) are rare events but remain a significant concern for many patients undergoing surgery. This systematic review aimed to identify high-risk patients summarise the causes, consequences, and management/recommendations of SCI due to neuraxial techniques in anaesthesia. A comprehensive search of the literature was conducted in accordance with Cochrane recommendations, and inclusion criteria were applied to identify relevant studies. From the 384 studies initially screened, 31 were critically appraised, and the data were extracted and analysed. The results of this review suggest that the main risk factors reported were extremes of age, obesity, and diabetes. Anaes-SCI was reported as a consequence of hematoma, trauma, abscess, ischemia, and infarction, among others. As a result, mainly motor deficits, sensory loss, and pain were reported. Many authors reported delayed treatments to resolve Anaes-SCI. Despite the potential complications, neuraxial techniques are still one of the best options for opioid-sparing pain prevention and management, reducing patients’ morbidity, improving outcomes, reducing the length of hospital stay, and pain chronification, with a consequent economic benefit. The main findings of this review highlight the importance of careful patient management and close monitoring during neuraxial anaesthesia procedures to minimise the risk of spinal cord injury and complications. Full article
(This article belongs to the Special Issue Spinal Cord Injury: From Mechanisms to Therapeutic Approaches)
Show Figures

Figure 1

16 pages, 1115 KB  
Article
Antinociceptive Effect of a Sacro-Coccygeal Epidural of Morphine and Lidocaine in Cats Undergoing Ovariohysterectomy
by Amândio Dourado, Anabela Gomes, Paulo Teixeira, Luís Lobo, Jorge T. Azevedo, Isabel R. Dias and Rui Pinelas
Vet. Sci. 2022, 9(11), 623; https://doi.org/10.3390/vetsci9110623 - 8 Nov 2022
Cited by 10 | Viewed by 3212
Abstract
Background: A commonly described analgesic protocol for ovariohysterectomy (OHE) combines systemic opioids, sedatives, and non-steroidal anti-inflammatory drugs. However, systemic analgesia does not fully prevent perioperative visceral and somatic pain triggered by the surgical stimulus. Objectives: To compare the analgesic effects and quality of [...] Read more.
Background: A commonly described analgesic protocol for ovariohysterectomy (OHE) combines systemic opioids, sedatives, and non-steroidal anti-inflammatory drugs. However, systemic analgesia does not fully prevent perioperative visceral and somatic pain triggered by the surgical stimulus. Objectives: To compare the analgesic effects and quality of recovery of systemic analgesia with those of a sacrococcygeal epidural injection of lidocaine and morphine in cats undergoing elective OHE. Methods: Twenty domestic female cats were premedicated with dexmedetomidine (0.01 mg kg−1 IM) and alfaxalone (1.5 mg kg−1 IM) and randomly assigned to one of two analgesic protocols: methadone (0.2 mg kg−1 IM) in the control group CTR (n = 10) and methadone (0.1 mg kg−1 IM) + epidural lidocaine 2% (0.3 mL kg−1) + morphine 1% (0.1 mg kg−1) diluted with NaCl 0.9% to a total volume of 1.5 mL in the SCC-E group (n = 10). General anaesthesia was induced with alfaxalone (1 mg kg−1 IV) and maintained with sevoflurane in 100% oxygen. Non-invasive blood arterial pressure and cardiorespiratory variables were recorded. The quality of recovery was assessed using a simple descriptive scale. Before surgery and 1, 2, 3, 4, 6, and 8 h post-op pain was assessed using the UNESP-Botucatu multidimensional composite pain scale (MCPS) and mechanical nociception thresholds (MNT). The repeated measures analysis of variance (ANOVA) was used to compare groups over time. Comparison between groups was performed using independent samples t-test if the assumption of normality was verified, or the Mann–Whitney test. The chi-square test of independence and exact Fisher’s test were used to compare groups according to recovery quality. Results: Heart rate and systolic arterial pressure increased significantly from baseline values in the CTR group and did not change in the SCC-E group. In the CTR group, MNT and UNESP-Botucatu-MCPS scores increased significantly from baseline for all assessment points and the first 3 h, respectively, whereas this did not occur in the SCC-E group. Conclusions and clinical relevance: Based on our results, the SCC-E administration of lidocaine 2% with morphine 1% is a reasonable option to provide perioperative analgesia in cats submitted to OHE, compared to a systemic protocol alone. Full article
(This article belongs to the Section Veterinary Surgery)
Show Figures

Figure 1

12 pages, 3639 KB  
Article
Description of an Ultrasound-Guided Erector Spinae Plane Block and Comparison to a Blind Proximal Paravertebral Nerve Block in Cows: A Cadaveric Study
by Olivia D’Anselme, Amanda Hartnack, Jose Suarez Sanchez Andrade, Christian Alfaro Rojas, Simone Katja Ringer and Paula de Carvalho Papa
Animals 2022, 12(17), 2191; https://doi.org/10.3390/ani12172191 - 25 Aug 2022
Cited by 8 | Viewed by 8029
Abstract
The proximal paravertebral nerve block is commonly used to provide anaesthesia to the flank during standing surgical procedures in adult cattle. It has been reported that additional anaesthetic infiltration may be necessary to provide complete anaesthesia. In humans as well as animal species, [...] Read more.
The proximal paravertebral nerve block is commonly used to provide anaesthesia to the flank during standing surgical procedures in adult cattle. It has been reported that additional anaesthetic infiltration may be necessary to provide complete anaesthesia. In humans as well as animal species, another technique—the ultrasound (US)-guided erector spinae plane block (ESPB)—has been described. The goal of the present study was to develop and investigate an US-guided ESPB in comparison to a blind proximal paravertebral nerve block (PPNB) in cow cadavers. In 10 cadaver specimens, injections of methylene blue-lidocaine (1:1) were performed at the level of T13, L1 and L2 vertebras, on one side doing an ESPB block and, on the other side, a PPNB. Five cadavers were injected with high (40 mL per injection for PPNB and 20 mL for ESPB) and five with low (20 and 15 mL, respectively) volumes of injectate. For the ESPB, the ultrasound probe was oriented craniocaudally, and the ventral-cranial aspect of the articular processes (T13, L1 and L2) was targeted for injection. The dye spreading was evaluated by dissection. The landmarks for US-guided injection were easily visualized; however, injections were accidentally performed at T12, T13 and L1. Nevertheless, L2 was stained in 60% of ESPBs. Epidural spreading was observed with both techniques and all volumes. Viscera puncture was reported in two PPNBs. The ESPB resulted in similar nerve staining compared to the PPNB while using a lower volume of injectate. Even better staining is expected with a T13-L2 instead of a T12-L1 ESPB approach. Further studies are warranted to evaluate the clinical efficacy. Full article
Show Figures

Figure 1

11 pages, 1815 KB  
Article
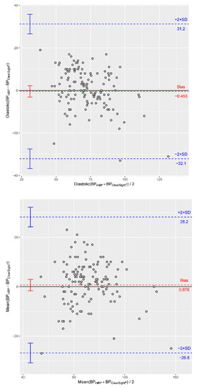
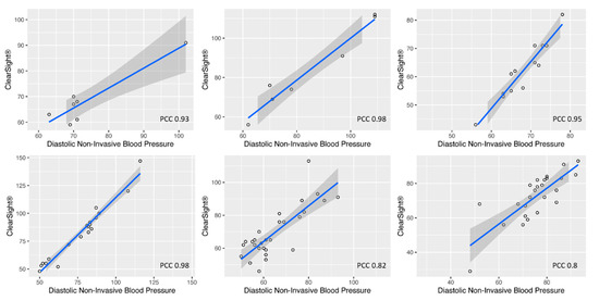
The Use of Non-Invasive Continuous Blood Pressure Measuring (ClearSight®) during Central Neuraxial Anaesthesia for Caesarean Section—A Retrospective Validation Study
by Philipp Helmer, Daniel Helf, Michael Sammeth, Bernd Winkler, Sebastian Hottenrott, Patrick Meybohm and Peter Kranke
J. Clin. Med. 2022, 11(15), 4498; https://doi.org/10.3390/jcm11154498 - 2 Aug 2022
Cited by 9 | Viewed by 3094
Abstract
The close monitoring of blood pressure during a caesarean section performed under central neuraxial anaesthesia should be the standard of safe anaesthesia. As classical oscillometric and invasive blood pressure measuring have intrinsic disadvantages, we investigated a novel, non-invasive technique for continuous blood pressure [...] Read more.
The close monitoring of blood pressure during a caesarean section performed under central neuraxial anaesthesia should be the standard of safe anaesthesia. As classical oscillometric and invasive blood pressure measuring have intrinsic disadvantages, we investigated a novel, non-invasive technique for continuous blood pressure measuring. Methods: In this monocentric, retrospective data analysis, the reliability of continuous non-invasive blood pressure measuring using ClearSight® (Edwards Lifesciences Corporation) is validated in 31 women undergoing central neuraxial anaesthesia for caesarean section. In addition, patients and professionals evaluated ClearSight® through questioning. Results: 139 measurements from 11 patients were included in the final analysis. Employing Bland–Altman analyses, we identified a bias of −10.8 mmHg for systolic, of −0.45 mmHg for diastolic and of +0.68 mmHg for mean arterial blood pressure measurements. Pooling all paired measurements resulted in a Pearson correlation coefficient of 0.7 for systolic, of 0.67 for diastolic and of 0.75 for mean arterial blood pressure. Compensating the interindividual differences in linear regressions of the paired measurements provided improved correlation coefficients of 0.73 for systolic, of 0.9 for diastolic and of 0.89 for mean arterial blood pressure measurements. Discussion: Diastolic and mean arterial blood pressure are within an acceptable range of deviation from the reference method, according to the Association for the Advancement of Medical Instrumentation (AAMI) in the patient collective under study. Both patients and professionals prefer ClearSight® to oscillometric blood pressure measurement in regard of comfort and handling. Full article
(This article belongs to the Section Anesthesiology)
Show Figures

Figure 1

Back to TopTop