Sign in to use this feature.

Years

Between: -

Subjects

remove_circle_outline
remove_circle_outline
remove_circle_outline
remove_circle_outline
remove_circle_outline
remove_circle_outline
remove_circle_outline
remove_circle_outline
remove_circle_outline

Journals

remove_circle_outline
remove_circle_outline
remove_circle_outline
remove_circle_outline
remove_circle_outline
remove_circle_outline
remove_circle_outline
remove_circle_outline
remove_circle_outline
remove_circle_outline
remove_circle_outline

Article Types

Countries / Regions

remove_circle_outline
remove_circle_outline
remove_circle_outline
remove_circle_outline

Search Results (886)

Search Parameters:
Keywords = enhanced cellular uptake

Order results
Result details
Results per page
Select all
Export citation of selected articles as:
20 pages, 1376 KB  
Article
Menthol–Fatty Acid HDES Boosts In Vitro Oral Bioavailability of Oleanolic Acid via Synergistic Digestive Release and Cellular Absorption
by Qin Zhang, Chenjia Li, Jie Yu, Benyang Li and Chaoxi Zeng
Foods 2026, 15(2), 343; https://doi.org/10.3390/foods15020343 (registering DOI) - 17 Jan 2026
Abstract
To improve the oral bioavailability of oleanolic acid (OA), this study developed a menthol–fatty acid-based hydrophobic deep eutectic solvent (HDES) system. Through a comprehensive evaluation using in vitro simulated digestion and Caco-2 cell transport models, the short-chain HDES was found to increase the [...] Read more.
To improve the oral bioavailability of oleanolic acid (OA), this study developed a menthol–fatty acid-based hydrophobic deep eutectic solvent (HDES) system. Through a comprehensive evaluation using in vitro simulated digestion and Caco-2 cell transport models, the short-chain HDES was found to increase the apparent in vitro bioavailability index of OA by 9.3-fold compared to conventional ethanol systems, with efficacy showing clear fatty acid chain-length dependence. The mechanism was systematically investigated through spectral characterization and cellular studies, revealing a two-stage enhancement process: during the digestion phase, HDES significantly improved OA bioaccessibility to 14.30% compared to 4.90% with ethanol; during the absorption phase, it markedly increased cellular uptake to 25.79% versus 4.71% with ethanol. Molecular analysis indicated that the optimal hydrophobicity and diffusion properties of HDES contributed to this enhancement. This study reveals a fatty acid chain-length-dependent mechanism in HDES-facilitated OA delivery, providing a tunable strategy for enhancing the absorption of hydrophobic bioactive compounds. Full article
(This article belongs to the Section Nutraceuticals, Functional Foods, and Novel Foods)
22 pages, 4486 KB  
Article
Astaxanthin as a Natural Photoprotective Agent: In Vitro and In Silico Approach to Explore a Multi-Targeted Compound
by Aida Lahmar, Balkis Abdelaziz, Nahla Gouader, Abir Salek, Imen Waer and Leila Chekir Ghedira
Sci. Pharm. 2026, 94(1), 8; https://doi.org/10.3390/scipharm94010008 - 13 Jan 2026
Viewed by 160
Abstract
Ultraviolet B radiation is a major cause of skin aging, cellular senescence, and inflammaging, mediated by the excessive production of reactive oxygen species (ROS) and induction of apoptosis. This study evaluated the photo-protective effects of astaxanthin, one of the strongest natural antioxidants, in [...] Read more.
Ultraviolet B radiation is a major cause of skin aging, cellular senescence, and inflammaging, mediated by the excessive production of reactive oxygen species (ROS) and induction of apoptosis. This study evaluated the photo-protective effects of astaxanthin, one of the strongest natural antioxidants, in UVB-treated keratinocytes. The antioxidant capacity of astaxanthin was evaluated using ABTS, DPPH, and NBT/riboflavin/SOD assays. HaCaT cells were exposed to 30 mJ/cm2 of UVB radiation. Photoprotective effects and accumulated ROS were evaluated in UVB-irradiated HaCaT cells by MTT and DCFH-DA assays. Nitric oxide levels were quantified using the Griess reagent. Apoptosis was assessed by dual staining using acridine orange/ethidium bromide, lysosomal integrity by acridine orange uptake, and cell migration by scratch assay. Cell adhesion was assessed on ECM-coated Nunc plates. Finally, we formulated a 0.5% astaxanthin-enriched cream. Astaxanthin mitigated UVB-induced damage by reducing intracellular ROS levels by 3.7-fold, decreasing nitric oxide production to 29.8 ± 7.7% at the highest concentration, and maintaining lysosomal integrity. The carotenoid significantly enhanced cell viability, increasing it from 60.64 ± 8.3% in UV-treated cells to 102.1 ± 3.22% at 40 µM. Moreover, treated cells showed a significant reduction (p < 0.001) in the apoptotic rate (37.7 ± 3.1 vs. 87.7 ± 3.8 in UVB-irradiated cells, as evidenced by reduced chromatin condensation and nuclear fragmentation. Astaxanthin also enhanced tissue repair, as evidenced by increased cell migration and adhesion to several extracellular matrix (ECM) proteins (poly-L-lysine, laminin, fibrinogen, vitronectin and collagen I). In silico molecular docking predicted strong binding affinities between astaxanthin and key cellular targets, including JAK2 (−9.9 kcal/mol, highest affinity), STAT3, FAK, COX-2, NF-k-B, MMP2, and MMP9. The formulated cream demonstrated an in vitro SPF of 7.2 ± 2.5. Astaxanthin acts as a multifunctional photoprotective compound, providing a strong rationale for its incorporation into cosmetic and dermatological formulations, as further supported by the successful formulation and in vitro SPF estimation of an astaxanthin-enriched cream. Full article
Show Figures

Figure 1

27 pages, 1620 KB  
Review
A Solution to Chromium Toxicity? Unlocking the Multi-Faceted Role of Biochar
by Muhammad Umair Hassan and Qitao Su
Plants 2026, 15(2), 234; https://doi.org/10.3390/plants15020234 - 12 Jan 2026
Viewed by 304
Abstract
Chromium (Cr) toxicity poses a significant challenge to agricultural productivity, human health, and food security. Biochar (BC) is a versatile amendment employed to alleviate Cr toxicity. Chromium stress impairs growth by inducing membrane damage and cellular oxidation, as well as inhibiting chlorophyll synthesis, [...] Read more.
Chromium (Cr) toxicity poses a significant challenge to agricultural productivity, human health, and food security. Biochar (BC) is a versatile amendment employed to alleviate Cr toxicity. Chromium stress impairs growth by inducing membrane damage and cellular oxidation, as well as inhibiting chlorophyll synthesis, photosynthetic efficiency, water uptake, and nutrient absorption. This review consolidates information on the mechanisms through which BC mitigates Cr stress. Biochar facilitates Cr immobilization by reduction, adsorption, precipitation, and complexation processes. It enhances growth by improving photosynthetic efficiency, water and nutrient uptake, osmolyte synthesis, and hormonal balance. Additionally, biochar promotes resilient bacterial communities that reduce Cr and enhance nutrient cycling. The effectiveness of BC is not universal and largely depends on its feedstock properties and pyrolysis temperature. This review provides insights into soil quality, plant function, and human health, which contribute to providing a comprehensive assessment of the capacity of BC to mitigate Cr toxicity. This review highlights that BC application can reduce Cr entry into the food chain, thus decreasing its health risk. This review also identifies knowledge gaps and outlines future research directions to increase the efficiency of BC in mitigating Cr toxicity. This review also offers insights into the development of eco-friendly measures to remediate Cr-polluted soils. Full article
(This article belongs to the Special Issue Plant Ecotoxicology and Remediation Under Heavy Metal Stress)
Show Figures

Figure 1

23 pages, 25274 KB  
Article
EDDS-Enhanced Phytoremediation of Cd–Zn Co-Contaminated Soil by Sedum lineare: Mechanisms of Metal Uptake, Soil Improvement, and Microbial Community Modulation
by Haochen Shen, Ziyi Liu, Chen Wang, Ying Chu, Chuhan Zhang, Yang Yu and Shaohui Yang
Plants 2026, 15(2), 231; https://doi.org/10.3390/plants15020231 - 12 Jan 2026
Viewed by 120
Abstract
Soil co-contamination with cadmium (Cd) and zinc (Zn) poses serious threats to environmental safety and public health. This study investigates the enhancement effect and underlying mechanism of the biodegradable chelator Ethylenediamine-N,N′-disuccinic acid (EDDS) on phytoremediation of Cd-Zn contaminated soil using Sedum lineare. [...] Read more.
Soil co-contamination with cadmium (Cd) and zinc (Zn) poses serious threats to environmental safety and public health. This study investigates the enhancement effect and underlying mechanism of the biodegradable chelator Ethylenediamine-N,N′-disuccinic acid (EDDS) on phytoremediation of Cd-Zn contaminated soil using Sedum lineare. The results demonstrate that EDDS application (3.65 g·L−1) effectively alleviated metal-induced phytotoxicity by enhancing chlorophyll synthesis, activating antioxidant enzymes (catalase and dismutase), regulating S-nitrosoglutathione reductase activity, and promoting leaf protein synthesis, thereby improving photosynthetic performance and cellular integrity. The combined treatment significantly increased the bioavailability of Cd and Zn in soil, promoted their transformation into exchangeable fraction, and resulted in removal rates of 30.8% and 28.9%, respectively. EDDS also modified the interaction patterns between heavy metals and essential nutrients, particularly the competitive relationships through selective chelation between Cd/Zn and Fe/Mn during plant uptake. Soil health was substantially improved, as evidenced by reduced electrical conductivity, enhanced cation exchange capacity, and enriched beneficial microbial communities including Sphingomonadaceae. Based on the observed ion antagonism during metal uptake and translocation, this study proposes a novel “Nutrient Regulation Assisted Remediation” strategy to optimize heavy metal accumulation and improve remediation efficiency through rhizosphere nutrient management. These findings confirm the EDDS–S. lineare system as an efficient and sustainable solution for remediation of Cd–Zn co-contaminated soils. Full article
Show Figures

Figure 1

24 pages, 1724 KB  
Review
Enhancing the Nucleoside Analog Response with Translational Therapeutic Approaches to Overcome Resistance
by Jenna Thibodeau, Kian Hershberger, Sai Samanvitha M. Ramakrishna, Yongwei Su, Lauren Timmer, Bryce Brophy, Katherine Zhang, Holly Edwards, Jeffrey W. Taub and Yubin Ge
Cells 2026, 15(2), 130; https://doi.org/10.3390/cells15020130 - 12 Jan 2026
Viewed by 158
Abstract
Nucleoside analogs remain central to the treatment of hematologic malignancies and solid tumors, yet resistance frequently occurs, contributing to relapse and disease-related mortality. Rather than arising from a single mechanism, effective nucleoside analog activity requires successful navigation of multiple biological barriers, including cellular [...] Read more.
Nucleoside analogs remain central to the treatment of hematologic malignancies and solid tumors, yet resistance frequently occurs, contributing to relapse and disease-related mortality. Rather than arising from a single mechanism, effective nucleoside analog activity requires successful navigation of multiple biological barriers, including cellular uptake, intracellular activation, nucleotide pool balance, genome surveillance, and mitochondrial stress responses. This review integrates recent advances describing how alterations at each of these levels contribute to resistance to nucleoside analog therapies. We further highlight emerging therapeutic strategies centered on small-molecule inhibitors that exploit these vulnerabilities to enhance the efficacy of nucleoside analogs. Together, this integrative perspective supports the need for development of small molecule inhibitors and design of combination approaches aimed at restoring apoptotic competence and improving the use of nucleoside analog-based therapies for the treatment of cancer. Full article
(This article belongs to the Special Issue Small Molecule Inhibitors: A New Era in Cancer Treatment)
Show Figures

Figure 1

23 pages, 2724 KB  
Article
The Development and Optimisation of a Spinosin Solid-Dispersion-Based Functional Dairy Beverage and Its Sleep-Promoting Effects in Mice
by Beizhi Zhang, Fuzhi Xie, Nannan Chen, Qing Zhang, Dan Zhao, Yu Chen, Shujing Xuan, Xiaona Liu and Liang Zhang
Foods 2026, 15(1), 180; https://doi.org/10.3390/foods15010180 - 5 Jan 2026
Viewed by 216
Abstract
Insomnia remains a widespread global health issue, and traditional hypnotic drugs often produce adverse effects. Although spinosin in Ziziphi Spinosae Semen has sleep-promoting effects, its use is limited by poor solubility and low oral bioavailability. In this study, the solvent melt method was [...] Read more.
Insomnia remains a widespread global health issue, and traditional hypnotic drugs often produce adverse effects. Although spinosin in Ziziphi Spinosae Semen has sleep-promoting effects, its use is limited by poor solubility and low oral bioavailability. In this study, the solvent melt method was used to prepare spinosin solid dispersions, optimising the process with an L9(34) orthogonal design based on apparent solubility. In vitro dissolution testing showed that solid dispersions of varying particle sizes dissolved more readily than pure spinosin, with smaller particles exhibiting faster dissolution. Cellular uptake was assessed in human colon adenocarcinoma cells, with results revealing enhanced uptake of smaller-particle solid dispersions. Powder X-ray diffraction confirmed that spinosin transformed from a crystalline to an amorphous state in the dispersion system. A quadratic orthogonal experiment was conducted to optimise functional dairy beverage formulation, using the centrifugal sedimentation rate as the evaluation index. In vivo experiments demonstrated that the resulting functional dairy beverage reduced spontaneous activity in mice, achieved a 60% sleep-onset rate, improved ethanol-induced memory impairment and produced marked sleep-promoting effects. Moreover, pharmacokinetic studies confirmed that the spinosin solid-dispersion-based functional dairy beverage significantly enhanced the systemic exposure and oral bioavailability of spinosin compared to the spinosin water suspension. These findings indicate that solid dispersion technology effectively enhances spinosin solubility and that the developed functional dairy beverage shows promise as a sleep-promoting functional food. Full article
(This article belongs to the Special Issue Functional Foods for Health Promotion and Disease Prevention)
Show Figures

Graphical abstract

31 pages, 4856 KB  
Article
PEGylated Zein Micelles for Prostate Cancer Therapy: Influence of PEG Chain Length and Transferrin Targeting on Docetaxel Delivery
by Khadeejah Maeyouf, Jitkasem Meewan, Hawraa Ali-Jerman, Musa Albatsh, Sukrut Somani, Partha Laskar, Margaret Mullin, Craig Irving, Graeme MacKenzie and Christine Dufès
Pharmaceutics 2026, 18(1), 68; https://doi.org/10.3390/pharmaceutics18010068 - 4 Jan 2026
Viewed by 293
Abstract
Background/Objectives: Docetaxel is a widely used chemotherapeutic agent for several malignancies and is an established treatment for castration-resistant prostate cancer. However, its poor aqueous solubility, systemic toxicity, and the emergence of drug resistance limit its clinical benefit. Zein, a prolamin, forms micelles that [...] Read more.
Background/Objectives: Docetaxel is a widely used chemotherapeutic agent for several malignancies and is an established treatment for castration-resistant prostate cancer. However, its poor aqueous solubility, systemic toxicity, and the emergence of drug resistance limit its clinical benefit. Zein, a prolamin, forms micelles that enhance the solubility and delivery of hydrophobic drugs. As PEG length and ligand presentation govern micelle behavior, we investigated transferrin-functionalized PEGylated zein micelles as docetaxel nanocarriers and examined how PEG chain length (5 K vs. 10 K) and transferrin-mediated targeting affect delivery to prostate cancer cells. Methods: Docetaxel-loaded zein micelles bearing 5 K or 10 K PEG chains were prepared and conjugated to transferrin. Formulations were characterized for size, charge, morphology, critical micelle concentration, colloidal stability, drug loading and transferrin density. Cellular uptake and mechanisms were assessed in PC-3-Luc, DU145 and LNCaP cells by confocal microscopy, flow cytometry and pharmacological inhibition. Anti-proliferative activity was determined by MTT assays. Results: Both PEG5K and PEG10K micelles formed micellar dispersions with low polydispersity and high encapsulation efficiency. PEG5K micelles achieved higher transferrin conjugation and drug loading. Transferrin-functionalized PEG5K micelles showed enhanced uptake in DU145 and LNCaP cells but lower internalization in PC-3-Luc cells. Inhibitor studies indicated receptor-dependent uptake via clathrin- and caveolae-mediated endocytosis. Free docetaxel remained the most potent. However, among nanocarriers, transferrin-targeted PEG5K micelles showed the greatest anti-proliferative efficacy relative to their non-targeted counterparts, whereas transferrin-targeted PEG10K micelles were less potent than the non-targeted PEG10K micelles across all three cell lines. Conclusions: PEG chain length and ligand presentation are key determinants of uptake and cytotoxicity of docetaxel-loaded zein micelles. Shorter PEG chains favor effective transferrin display and receptor engagement, whereas longer PEG likely induces steric hindrance and reduces targeting, supporting transferrin-conjugated PEG5K zein micelles (the lead formulation in this study) as a targeted delivery platform that improves performance relative to matched non-targeted micelles in vitro, while free docetaxel remains more potent in 2D monolayer assays. Full article
(This article belongs to the Section Nanomedicine and Nanotechnology)
Show Figures

Figure 1

18 pages, 2928 KB  
Article
Water-Dispersible Supramolecular Nanoparticles Formed by Dicarboxyl-bis-pillar[5]arene/CTAB Host–Guest Interaction as an Efficient Delivery System of Quercetin
by Marco Milone, Martina Mazzaferro, Antonella Calderaro, Giuseppe T. Patanè, Davide Barreca, Salvatore Patanè, Norberto Micali, Valentina Villari, Anna Notti, Melchiorre F. Parisi, Ilenia Pisagatti and Giuseppe Gattuso
Int. J. Mol. Sci. 2026, 27(1), 516; https://doi.org/10.3390/ijms27010516 - 4 Jan 2026
Viewed by 270
Abstract
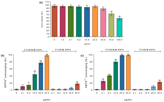
Supramolecular nanoparticles offer an efficient strategy to enhance the solubility, stability, and bioavailability of poorly water-soluble therapeutic molecules. In this study, water-dispersible SNPs were successfully prepared from dicarboxyl-bis-pillar[5]arene (H) and cetyltrimethylammonium bromide (CTAB) using a microemulsion method. Dynamic light scattering revealed [...] Read more.
Supramolecular nanoparticles offer an efficient strategy to enhance the solubility, stability, and bioavailability of poorly water-soluble therapeutic molecules. In this study, water-dispersible SNPs were successfully prepared from dicarboxyl-bis-pillar[5]arene (H) and cetyltrimethylammonium bromide (CTAB) using a microemulsion method. Dynamic light scattering revealed that the resulting CTAB/H nanoparticles possessed a size distribution centered around 40 nm, a positive surface charge (+15 mV), and exhibited high colloidal stability over three months. 1H NMR, 2D TOCSY, 2D NOESY, diffusion ordered NMR spectroscopy, and UV-Vis investigations confirmed the inclusion of the CTAB alkyl chain within the pillar[5]arene cavity, supporting the formation of stable supramolecular assemblies capable of efficiently encapsulating the poorly water-soluble flavonol quercetin (Q). The CTAB/H system displayed low cytotoxicity (up to 50 µg/mL) and pronounced antioxidant activity, as evidenced by DPPH, ABTS, and FRAP assays. Quercetin-loaded nanoparticles (CTAB/H/Q) enhanced cellular uptake and exhibited a marked cytoprotective effect against H2O2-induced oxidative stress in NIH-3T3 fibroblasts. Full article
Show Figures

Figure 1

20 pages, 1593 KB  
Review
Nano-Engineered Delivery of the Pro-Apoptotic KLA Peptide: Strategies, Synergies, and Future Directions
by Yunmi Cho, Ha Gyeong Kim and Eun-Taex Oh
Biomolecules 2026, 16(1), 74; https://doi.org/10.3390/biom16010074 - 2 Jan 2026
Viewed by 383
Abstract
Antimicrobial peptides have been increasingly recognized as potential anticancer agents, with the KLA peptide (KLAKLAK2) being one of the most well-known and successful examples. The research interest in the KLA peptide is attributed to its ability to induce apoptosis in cancer [...] Read more.
Antimicrobial peptides have been increasingly recognized as potential anticancer agents, with the KLA peptide (KLAKLAK2) being one of the most well-known and successful examples. The research interest in the KLA peptide is attributed to its ability to induce apoptosis in cancer cells by disrupting the mitochondrial membrane. However, the KLA peptide exhibits poor cellular uptake and it lacks targeting specificity, limiting its clinical potential in cancer therapy. In this review, recent advances in nano-engineered delivery platforms for overcoming the limitations of KLA peptides and enhancing their anticancer efficacy are discussed. Specifically, various nanocarrier systems that enable targeted delivery, controlled release and/or improved bioavailability, including pH-responsive nanosystems, photo-chemo combination liposomes, self-assembled peptide-based nanostructures, nanogel-based delivery systems, homing domain-conjugated KLA structures, inorganic-based nanoparticles, and biomimetic nanocarriers, are highlighted. Additionally, synergistic strategies for combining KLA with chemotherapeutic agents or immunotherapeutic agents to overcome resistance mechanisms in cancer cells are examined. Finally, key challenges for the clinical application of these nanotechnologies are summarized and future directions are proposed. Full article
(This article belongs to the Special Issue Advances in Nano-Based Drug Delivery Systems)
Show Figures

Figure 1

22 pages, 640 KB  
Review
Unraveling Jawbone Susceptibility: Distinctive Features Underlying Medication-Related Osteonecrosis
by Balázs Paczona, József Piffkó and Ágnes Janovszky
Dent. J. 2026, 14(1), 18; https://doi.org/10.3390/dj14010018 - 1 Jan 2026
Viewed by 235
Abstract
Medication-related osteonecrosis of the jaw (MRONJ) is a devastating complication arising primarily after invasive dentoalveolar procedures in patients treated with antiresorptive, antiangiogenic, or targeted therapies. Although recognized risk factors are established, the distinctive vulnerability of jawbones compared to long bones is not fully [...] Read more.
Medication-related osteonecrosis of the jaw (MRONJ) is a devastating complication arising primarily after invasive dentoalveolar procedures in patients treated with antiresorptive, antiangiogenic, or targeted therapies. Although recognized risk factors are established, the distinctive vulnerability of jawbones compared to long bones is not fully understood. This review comprehensively synthesizes recent advances regarding the embryological, anatomical, and physiological disparities that contribute to region-specific susceptibility to MRONJ. Recent evidence suggests that jawbones diverge significantly from long bones in embryonic origin, ossification pathways, vascular architecture, innervation patterns, and regenerative capacities. These differences affect bone metabolism, healing dynamics, response to pharmacologic agents, and local cellular activities, such as enhanced bisphosphonate uptake and specialized microcirculation. Experimental and clinical evidence reveals that mandibular periosteal cells exhibit superior osteogenic and angiogenic potentials, and the jaws respond differently to metabolic challenges, trauma, and medication-induced insults. Furthermore, site-specific pharmacologic and inflammatory interactions, including altered periosteal microcirculation and leukocyte–endothelial interactions, may explain the development of MRONJ, although rare cases of medication-related osteonecrosis have also been reported in long bones. Emerging research demonstrates that immune dysregulation, particularly M1 macrophage polarization with overexpression of matrix metalloproteinase-13 (MMP-13), plays a crucial role in early MRONJ development. Understanding these mechanisms highlights the critical need for region-specific preventive measures and therapeutic strategies targeting the unique biology of jawbones. This comparative perspective offers new translational insights for designing targeted interventions, developing tissue engineering solutions, and improving patient outcomes. Future research should focus on gene expression profiling and cellular responses across skeletal regions to further delineate MRONJ pathogenesis and advance personalized therapies for affected patients. Full article
(This article belongs to the Special Issue Dental Oncology)
Show Figures

Figure 1

24 pages, 6691 KB  
Article
TAT-PBX1 Reverses Hyperglycemia Through β-Cell Regeneration and Functional Restoration in an STZ-Induced Diabetic Model
by Xiangyuan Meng, Zhenhu Zhao, Xin Zhang, Ruihan Guo, Shuran Yang, Shuhua Mao, Ziyu Zong and Jinyu Liu
Pharmaceuticals 2026, 19(1), 85; https://doi.org/10.3390/ph19010085 - 1 Jan 2026
Viewed by 313
Abstract
Objective: β-cell dysfunction and loss are major pathological determinants of impaired islet function and hyperglycemia in diabetes. Given the inability of current therapies to restore β-cell viability or glucose-responsive insulin secretion, this study aimed to investigate whether a cell-permeable PBX1 fusion protein (TAT-PBX1) [...] Read more.
Objective: β-cell dysfunction and loss are major pathological determinants of impaired islet function and hyperglycemia in diabetes. Given the inability of current therapies to restore β-cell viability or glucose-responsive insulin secretion, this study aimed to investigate whether a cell-permeable PBX1 fusion protein (TAT-PBX1) could rescue streptozotocin (STZ)-induced β-cell injury and restore β-cell functional integrity. Methods: A TAT-PBX1 recombinant fusion protein was produced using a prokaryotic expression system. Its protective effects were assessed in STZ-treated MIN6 β cells and in a mouse model of STZ-induced diabetes, with the glucokinase (GK) activator dorzagliatin included as a positive control. We evaluated β-cell apoptosis, DNA damage, ATP and NAD+/NADH levels, insulin signaling (IRS1/PI3K/Akt), and the expression of PDX1 and GK. Glucose-stimulated insulin secretion (GSIS), glucose tolerance, islet morphology, and β-cell proliferation were also examined in vivo. Results: TAT-PBX1 was detectable and significantly enriched in pancreatic tissue and mitigated STZ-induced cytotoxicity by reducing DNA damage, PARP1-associated energy depletion, and β-cell apoptosis. It restored intracellular ATP and NAD+/NADH ratios and reactivated IRS1/PI3K/Akt signaling. TAT-PBX1 further enhanced PDX1 protein levels and upregulated GK, resulting in improved glucose uptake and GSIS. In addition, it increased Ki67+ β-cell proliferation. In diabetic mice, TAT-PBX1 improved glucose tolerance, preserved islet morphology and number, and improved insulin signaling responsiveness. Conclusions: TAT-PBX1 restores β-cell function through coordinated protection of cellular metabolism and insulin signaling, leading to improved β-cell survival, glucose responsiveness, and regenerative capacity. These findings support TAT-PBX1 as a promising molecular strategy for β-cell-protective and β-cell-restorative diabetes therapy. Full article
(This article belongs to the Special Issue Antidiabetic Agents: New Drug Discovery Insights and Prospects)
Show Figures

Graphical abstract

24 pages, 4000 KB  
Article
Newly Synthesized Telmisartan–Amino Acid Conjugates Exhibit Enhanced Cytotoxic Effects in Malignant Melanoma Cells
by Dragana Vukadinović, Ana Damjanović, Miodrag Vuković, Olivera Čudina, Jelena Grahovac and Vladimir Dobričić
Molecules 2026, 31(1), 125; https://doi.org/10.3390/molecules31010125 - 29 Dec 2025
Viewed by 264
Abstract
Telmisartan, an angiotensin II type 1 receptor (AT1R) antagonist, possesses cytotoxic activity towards BRAF-mutated melanoma cell lines. However, its antihypertensive effects limit its use in the population of normotensive patients. To mitigate this shortcoming, a group of eight telmisartan–amino acid conjugates, designed to [...] Read more.
Telmisartan, an angiotensin II type 1 receptor (AT1R) antagonist, possesses cytotoxic activity towards BRAF-mutated melanoma cell lines. However, its antihypertensive effects limit its use in the population of normotensive patients. To mitigate this shortcoming, a group of eight telmisartan–amino acid conjugates, designed to have reduced or no AT1R affinity with enhanced cellular uptake, were synthesized by the coupling reaction in yields ranging from 34% to 60%. Their cytotoxicity was tested on BRAF V600E-mutated melanoma cell lines (A375 and 518A2), and compounds 1, 3, and 8 stood out as the best candidates. These three compounds were also tested on the vemurafenib-resistant (A375R) and normal (HaCaT and MRC-5) cell lines, and compound 8 showed better cytotoxicity (IC50 = 8.84 ± 1.24 µM) and selectivity (>3.50) when compared to telmisartan (IC50 = 29.23 ± 3.88, selectivity > 2.40). The cellular uptake of compounds 1 and 8 was significantly higher than telmisartan, with substantial accumulation in the membrane and nuclear compartments. Unlike telmisartan, compounds 1, 3, and 8 did not inhibit angiotensin II-induced Ca2+ signaling, which indicates diminished AT1R binding. All three compounds induced cell cycle arrest and disrupted mitochondrial morphology and membrane potential. These findings highlight their potential as non-antihypertensive telmisartan derivatives for melanoma therapy. Full article
(This article belongs to the Special Issue Novel Heterocyclic Compounds: Synthesis and Applications)
Show Figures

Figure 1

25 pages, 2396 KB  
Review
Battle of Arbuscular Mycorrhizal Fungi Against Drought Stress: A Gateway to Sustainable Agriculture
by Asfa Batool, Shi-Sheng Li, Hong-Jin Dong, Ali Bahadur, Wei Tu, Yan Zhang, Yue Xiao, Si-Yu Feng, Mei Wang, Jian Zhang, Hong-Bin Sheng, Sen He, Zi-Yan Li, Heng-Rui Kang, Deng-Yao Lan, Xin-Yi He and Yun-Li Xiao
J. Fungi 2026, 12(1), 20; https://doi.org/10.3390/jof12010020 - 27 Dec 2025
Viewed by 415
Abstract
Around 85% of all land plants have symbiotic relationships with arbuscular mycorrhizal (AM) fungi, microscopic soil fungi that build extensive filamentous network in and around the roots. These links strongly influence plant development, water uptake, mineral nutrition, and defense against abiotic stresses. In [...] Read more.
Around 85% of all land plants have symbiotic relationships with arbuscular mycorrhizal (AM) fungi, microscopic soil fungi that build extensive filamentous network in and around the roots. These links strongly influence plant development, water uptake, mineral nutrition, and defense against abiotic stresses. In this context, the use of AMF as a biological instrument to enhance plant drought resistance and phenotypic plasticity, through the formation of mutualistic associations, seems like a novel strategy for sustainable agriculture. This review synthesizes current understanding on the mechanisms through which AMF alleviates drought stress in agriculture. We focus on how AMF help maintain nutrient and water homeostasis by modulating phytohormones and signaling molecules, and by orchestrating associated biochemical and physiological responses. Particular emphasis is placed on aquaporins (AQPs) as key water-and stress-related channels whose expression and activity are modulated by AMF to maintain ion, nutrient, and water balance. AMF-mediated host AQP responses exhibit three unique patterns under stressful conditions: either no changes, downregulation to limit water loss, or upregulation to promote water and nutrient uptake. Nevertheless, little is known about cellular and molecular underpinnings of AMF effect on host AQPs. We also summarize evidence that AMF enhance antioxidant defenses, osmotic adjustment, soil structure, and water retention, thereby jointly improving plant drought tolerance. This review concludes by outlining the potential of AMF to support sustainable agriculture, offering critical research gaps, such as mechanistic studies on fungal AQPs, hormonal crosstalk, and field-scale performance, which propose future directions for deploying AMF in drought-prone agroecosystems. Full article
(This article belongs to the Special Issue New Insights into Arbuscular Mycorrhizal Fungi)
Show Figures

Figure 1

14 pages, 2366 KB  
Article
Design of Anti-Tumor RNA Nanoparticles and Their Inhibitory Effect on Hep3B Liver Cancer
by Shuyi Sun, Ling Yan, Zhekai Liu and Weibo Jin
Biomolecules 2026, 16(1), 45; https://doi.org/10.3390/biom16010045 - 26 Dec 2025
Viewed by 299
Abstract
RNA interference (RNAi) holds promise as a gene-silencing therapy for liver cancer but faces challenges related to siRNA instability, short half-life, and inefficient cellular uptake. In this study, we designed a self-assembling RNA nanoparticle targeting three oncogenes—hTERT, BIRC5, and FGFR1 [...] Read more.
RNA interference (RNAi) holds promise as a gene-silencing therapy for liver cancer but faces challenges related to siRNA instability, short half-life, and inefficient cellular uptake. In this study, we designed a self-assembling RNA nanoparticle targeting three oncogenes—hTERT, BIRC5, and FGFR1—key drivers of cancer progression. These RNA nanoparticles demonstrated enhanced stability and specificity, eliminating the need for conventional toxic delivery carriers. Functional assays revealed that the nanoparticles effectively suppressed the proliferation, migration, tumor growth and apoptosis of a Hepatocellular carcinoma cell line, Hep3B. The nanoparticles exhibited excellent safety and efficacy in xenograft model mice, without off-target toxicity. This work introduces a scalable, biocompatible RNA nanoparticle platform with multi-targeting capability, paving the way for improved RNAi-based therapeutics. Our findings offer a promising strategy for advancing personalized cancer therapies and underscore the broader potential of RNA nanotechnology in addressing complex malignancies. Full article
(This article belongs to the Special Issue The Role of Non-Coding RNAs in Health and Disease)
Show Figures

Figure 1

39 pages, 4489 KB  
Article
High-Resolution 1H NMR Investigation of the Speciation Status of Nickel(II) and Copper(II) Ions in a Cell Culture Medium: Relevance to Their Toxicological Actions
by Deepinder K. Kalra, Kayleigh Hunwin, Katie Hewitt, Olivia Steel and Martin Grootveld
Molecules 2026, 31(1), 85; https://doi.org/10.3390/molecules31010085 - 24 Dec 2025
Viewed by 384
Abstract
Copper and nickel ions play pivotal, albeit distinct, roles as essential trace elements in living systems, and primarily serve as co-factors for a range of enzymes. However, as with all trace metal ions, excessive concentrations can exert adverse toxicological properties. Interestingly, the incorporation [...] Read more.
Copper and nickel ions play pivotal, albeit distinct, roles as essential trace elements in living systems, and primarily serve as co-factors for a range of enzymes. However, as with all trace metal ions, excessive concentrations can exert adverse toxicological properties. Interestingly, the incorporation of these in cell culture media can establish novel chemical interactions, with their speciation status markedly influencing characteristics, including cell maturation, and cellular uptake mechanisms. Thus, the primary objective of this study was to investigate and determine the speciation status (i.e., complexation) of nickel(II) and copper(II) ions by biomolecules present in RPMI 1640 mammalian cell culture medium using virtually non-invasive high-resolution proton NMR analysis, an investigation of much relevance to now routine studies of their toxicological actions towards cultured cells. Samples of the above aqueous culture medium were 1H NMR-titrated with increasing added concentrations of 71–670 µmol/L Ni(II)(aq.), and 0.71–6.7, 7.1–67 and 71–670 µmol/L Cu(II)(aq.), in duplicate or triplicate. 1H NMR spectra were acquired on a JEOL ECZ-600 spectrometer at 298 K. Results demonstrated that addition of increasing concentrations of Ni(II) and Cu(II) ions to the culture medium led to the selective broadening of a series of biomolecule resonances, results demonstrating their complexation by these agents. The most important complexants for Ni(II) were histidine > glutamine > acetate ≈ methionine ≈ lysine ≈ threonine ≈ branched-chain amino acids (BCAAs) > asparagine ≈ aspartate > tyrosine ≈ tryptophan, whereas for Cu(II) they were found to be histidine > glutamine > phenylalanine ≈ tyrosine ≈ nearly all remaining aliphatic metabolites (particularly the wealth of amino acids detectable) > 4-hydroxyphenylacetate (trace culture medium contaminant), in these orders. However, Cu(II) had the ability to influence the linewidths of these signals at much lower added levels (≤7 µmol/L) than that of Ni(II), the broadening effects of the latter occurring at concentrations which were approximately 10-fold greater. Virtually all of these added metal ion-induced resonance modifications were, as expected, reversible on addition of equivalent or excess levels of the chelator EDTA. From this study, changes in the co-ordination sphere of metal ions in physiological environments can give rise to marked modifications in their physicochemical properties (e.g., redox potentials, electronic charges, the potential catalytic generation of reactive oxygen species (ROS), and cell membrane passages). Moreover, given that the above metabolites may also function as potent hydroxyl radical (OH) scavengers, these findings suggest that generation of this aggressively reactive oxidant directly from Cu(II) and Ni(II) ions in physiologically-relevant complexes may be scavenged in a ‘site-dependent’ manner. This study is of further relevance to trace metal ion research in general since it enhances our understanding of the nature of their interactions with culture medium biomolecules, and therefore provides valuable information regarding their overall chemical and biological activities, and toxicities. Full article
Show Figures

Figure 1

Back to TopTop