Menthol–Fatty Acid HDES Boosts In Vitro Oral Bioavailability of Oleanolic Acid via Synergistic Digestive Release and Cellular Absorption
Abstract
1. Introduction
2. Materials and Methods
2.1. Materials
2.2. The Preparation of HDESs
2.3. Viscosity Determination of HDESs
2.4. Determination of the Solubility of OA
2.5. Preparation of HDES-OA
2.6. In Vitro Digestion of HDES-OA
2.6.1. Oral Phase
2.6.2. Gastric Phase
2.6.3. Intestinal Phase
2.7. Determination of the Biological Accessibility of HDES-OA
2.8. Characterization of OA Treated by HDES
2.8.1. FTIR Spectral Analysis
2.8.2. X-Ray Diffraction Analysis
2.9. Construction of the Caco-2 Cell Model
2.9.1. Cell Culture
2.9.2. Cytotoxicity Determination
2.9.3. Establishment of Caco-2 Cell Monolayer
2.9.4. Caco-2 Measurement of Cell Transepithelial Electrical Resistance (TEER)
2.9.5. Measurement of the Apparent Permeability Coefficient (Papp)
2.9.6. Cell Uptake
2.9.7. The Absorption Pathways of Cells
2.9.8. Cell Transport
2.10. Determination of Bioavailability
2.11. Statistical Analysis
3. Results and Discussion
3.1. The Influence of HDESs on the Bioaccessibility of OA and Its Physical Property Basis
3.2. Characterization of OA After HDES Processing
3.3. Cell
3.3.1. Cytotoxicity Assessment and Safe Concentration Screening
3.3.2. Establishment and Integrity Assessment of Cell Monolayers
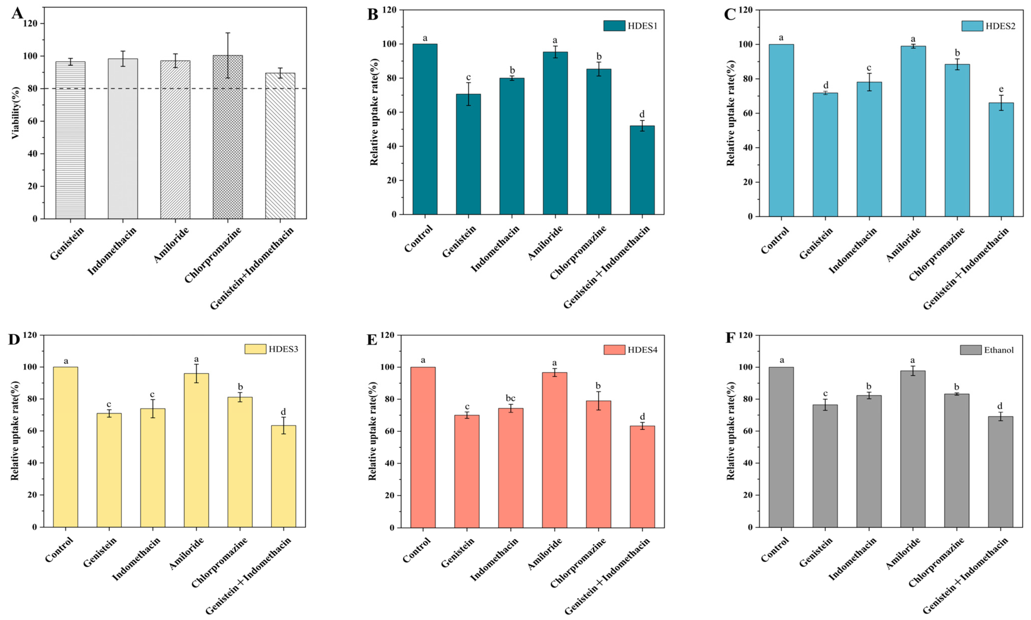
3.3.3. Exploration of the Uptake of OA by Caco-2 Cells and Its Mechanism
Cellular Uptake
Cellular Absorption Pathway
3.3.4. Cellular Secretion
3.3.5. Total Cell Absorption Rate and Bioavailability
4. Conclusions
Author Contributions
Funding
Institutional Review Board Statement
Informed Consent Statement
Data Availability Statement
Conflicts of Interest
References
- Liu, S.; Liu, H.; Zhang, L.; Ma, C.; Abd El-Aty, A.M. Edible Pentacyclic Triterpenes: A Review of Their Sources, Bioactivities, Bioavailability, Self-Assembly Behavior, and Emerging Applications as Functional Delivery Vehicles. Crit. Rev. Food Sci. Nutr. 2024, 64, 5203–5219. [Google Scholar] [CrossRef]
- Li, Y.; Wang, J.; Li, L.; Song, W.; Li, M.; Hua, X.; Wang, Y.; Yuan, J.; Xue, Z. Natural Products of Pentacyclic Triterpenoids: From Discovery to Heterologous Biosynthesis. Nat. Prod. Rep. 2023, 40, 1303–1353. [Google Scholar] [CrossRef]
- Castellano, J.M.; Ramos-Romero, S.; Perona, J.S. Oleanolic Acid: Extraction, Characterization and Biological Activity. Nutrients 2022, 14, 623. [Google Scholar] [CrossRef]
- Ayeleso, T.; Matumba, M.; Mukwevho, E. Oleanolic Acid and Its Derivatives: Biological Activities and Therapeutic Potential in Chronic Diseases. Molecules 2017, 22, 1915. [Google Scholar] [CrossRef]
- Kaps, A.; Gwiazdoń, P.; Chodurek, E. Nanoformulations for Delivery of Pentacyclic Triterpenoids in Anticancer Therapies. Molecules 2021, 26, 1764. [Google Scholar] [CrossRef]
- Feng, A.; Yang, S.; Sun, Y.; Zhang, L.; Bo, F.; Li, L. Development and Evaluation of Oleanolic Acid Dosage Forms and Its Derivatives. BioMed Res. Int. 2020, 2020, 1308749. [Google Scholar] [CrossRef] [PubMed]
- Milan, A.; Mioc, A.; Prodea, A.; Mioc, M.; Buzatu, R.; Ghiulai, R.; Racoviceanu, R.; Caruntu, F.; Şoica, C. The Optimized Delivery of Triterpenes by Liposomal Nanoformulations: Overcoming the Challenges. Int. J. Mol. Sci. 2022, 23, 1140. [Google Scholar] [CrossRef] [PubMed]
- Tang, B.; Zhang, H.; Row, K.H. Application of Deep Eutectic Solvents in the Extraction and Separation of Target Compounds from Various Samples. J. Sep. Sci. 2015, 38, 1053–1064. [Google Scholar] [CrossRef]
- Hikmawanti, N.P.E.; Ramadon, D.; Jantan, I.; Mun’im, A. Natural Deep Eutectic Solvents (NADES): Phytochemical Extraction Performance Enhancer for Pharmaceutical and Nutraceutical Product Development. Plants 2021, 10, 2091. [Google Scholar] [CrossRef]
- Dai, Y.; Jin, R.; Verpoorte, R.; Lam, W.; Cheng, Y.-C.; Xiao, Y.; Xu, J.; Zhang, L.; Qin, X.-M.; Chen, S. Natural Deep Eutectic Characteristics of Honey Improve the Bioactivity and Safety of Traditional Medicines. J. Ethnopharmacol. 2020, 250, 112460. [Google Scholar] [CrossRef] [PubMed]
- Li, X.; Row, K.H. Development of Deep Eutectic Solvents Applied in Extraction and Separation. J. Sep. Sci. 2016, 39, 3505–3520. [Google Scholar] [CrossRef]
- Faggian, M.; Sut, S.; Perissutti, B.; Baldan, V.; Grabnar, I.; Dall’Acqua, S. Natural Deep Eutectic Solvents (NADES) as a Tool for Bioavailability Improvement: Pharmacokinetics of Rutin Dissolved in Proline/Glycine after Oral Administration in Rats: Possible Application in Nutraceuticals. Molecules 2016, 21, 1531. [Google Scholar] [CrossRef] [PubMed]
- Kongpol, K.; Chaihao, P.; Shuapan, P.; Kongduk, P.; Chunglok, W.; Yusakul, G. Therapeutic Hydrophobic Deep Eutectic Solvents of Menthol and Fatty Acid for Enhancing Anti-Inflammation Effects of Curcuminoids and Curcumin on RAW264.7 Murine Macrophage Cells. RSC Adv. 2022, 12, 17443–17453. [Google Scholar] [CrossRef] [PubMed]
- Peng, X.; Duan, M.-H.; Yao, X.-H.; Zhang, Y.-H.; Zhao, C.-J.; Zu, Y.-G.; Fu, Y.-J. Green Extraction of Five Target Phenolic Acids from Lonicerae Japonicae Flos with Deep Eutectic Solvent. Sep. Purif. Technol. 2016, 157, 249–257. [Google Scholar] [CrossRef]
- Alhadid, A.; Mokrushina, L.; Minceva, M. Influence of the Molecular Structure of Constituents and Liquid Phase Non-Ideality on the Viscosity of Deep Eutectic Solvents. Molecules 2021, 26, 4208. [Google Scholar] [CrossRef]
- Silva, N.H.C.S.; Morais, E.S.; Freire, C.S.R.; Freire, M.G.; Silvestre, A.J.D. Extraction of High Value Triterpenic Acids from Eucalyptus Globulus Biomass Using Hydrophobic Deep Eutectic Solvents. Molecules 2020, 25, 210. [Google Scholar] [CrossRef]
- Brodkorb, A.; Egger, L.; Alminger, M.; Alvito, P.; Assunção, R.; Ballance, S.; Bohn, T.; Bourlieu-Lacanal, C.; Boutrou, R.; Carrière, F.; et al. INFOGEST Static in Vitro Simulation of Gastrointestinal Food Digestion. Nat. Protoc. 2019, 14, 991–1014. [Google Scholar] [CrossRef]
- Qian, C.; Decker, E.A.; Xiao, H.; McClements, D.J. Nanoemulsion Delivery Systems: Influence of Carrier Oil on β-Carotene Bioaccessibility. Food Chem. 2012, 135, 1440–1447. [Google Scholar] [CrossRef]
- Minekus, M.; Alminger, M.; Alvito, P.; Ballance, S.; Bohn, T.; Bourlieu, C.; Carrière, F.; Boutrou, R.; Corredig, M.; Dupont, D.; et al. A Standardised Static in Vitro Digestion Method Suitable for Food–an International Consensus. Food Funct. 2014, 5, 1113–1124. [Google Scholar] [CrossRef]
- Martin, D.; Navarro Del Hierro, J.; Villanueva Bermejo, D.; Fernández-Ruiz, R.; Fornari, T.; Reglero, G. Bioaccessibility and Antioxidant Activity of Calendula Officinalis Supercritical Extract as Affected by in Vitro Codigestion with Olive Oil. J. Agric. Food Chem. 2016, 64, 8828–8837. [Google Scholar] [CrossRef]
- Kang, L.; Han, X.; Chang, X.; Su, Z.; Fu, F.; Shan, Y.; Guo, J.; Li, G. Redox-Sensitive Self-Assembling Polymer Micelles Based on Oleanolic Modified Hydroxyethyl Starch: Synthesis, Characterisation, and Oleanolic Release. Int. J. Biol. Macromol. 2024, 266, 131211. [Google Scholar] [CrossRef]
- Ren, Y.; Liu, Y.; Yang, Z.; Niu, R.; Gao, K.; Yang, B.; Liao, X.; Zhang, J. Solid Inclusion Complexes of Oleanolic Acid with Amino-Appended β-Cyclodextrins (ACDs): Preparation, Characterization, Water Solubility and Anticancer Activity. Mater. Sci. Eng. C 2016, 69, 68–76. [Google Scholar] [CrossRef]
- Ojeda-Serna, I.E.; Rocha-Guzmán, N.E.; Gallegos-Infante, J.A.; Cháirez-Ramírez, M.H.; Rosas-Flores, W.; Pérez-Martínez, J.D.; Moreno-Jiménez, M.R.; González-Laredo, R.F. Water-in-Oil Organogel Based Emulsions as a Tool for Increasing Bioaccessibility and Cell Permeability of Poorly Water-Soluble Nutraceuticals. Food Res. Int. 2019, 120, 415–424. [Google Scholar] [CrossRef]
- Sessa, M.; Balestrieri, M.L.; Ferrari, G.; Servillo, L.; Castaldo, D.; D’Onofrio, N.; Donsì, F.; Tsao, R. Bioavailability of Encapsulated Resveratrol into Nanoemulsion-Based Delivery Systems. Food Chem. 2014, 147, 42–50. [Google Scholar] [CrossRef] [PubMed]
- Zhou, F.; Huang, W.; Li, M.; Zhong, Y.; Wang, M.; Lu, B. Bioaccessibility and Absorption Mechanism of Phenylethanoid Glycosides Using Simulated Digestion/Caco-2 Intestinal Cell Models. J. Agric. Food Chem. 2018, 66, 4630–4637. [Google Scholar] [CrossRef]
- Liang, Q.; Chalamaiah, M.; Ren, X.; Ma, H.; Wu, J. Identification of New Anti-Inflammatory Peptides from Zein Hydrolysate after Simulated Gastrointestinal Digestion and Transport in Caco-2 Cells. J. Agric. Food Chem. 2018, 66, 1114–1120. [Google Scholar] [CrossRef] [PubMed]
- Li, F.; Wei, Y.; Zhao, J.; Yu, G.; Huang, L.; Li, Q. Transport Mechanism and Subcellular Localization of a Polysaccharide from Cucurbia Moschata across Caco-2 Cells Model. Int. J. Biol. Macromol. 2021, 182, 1003–1014. [Google Scholar] [CrossRef]
- Bhushani, J.A.; Kurrey, N.K.; Anandharamakrishnan, C. Nanoencapsulation of Green Tea Catechins by Electrospraying Technique and Its Effect on Controlled Release and In-Vitro Permeability. J. Food Eng. 2017, 199, 82–92. [Google Scholar] [CrossRef]
- Ma, J.-J.; Huang, X.-N.; Yin, S.-W.; Yu, Y.-G.; Yang, X.-Q. Bioavailability of Quercetin in Zein-Based Colloidal Particles-Stabilized Pickering Emulsions Investigated by the in Vitro Digestion Coupled with Caco-2 Cell Monolayer Model. Food Chem. 2021, 360, 130152. [Google Scholar] [CrossRef]
- He, B.; Lin, P.; Jia, Z.; Du, W.; Qu, W.; Yuan, L.; Dai, W.; Zhang, H.; Wang, X.; Wang, J.; et al. The Transport Mechanisms of Polymer Nanoparticles in Caco-2 Epithelial Cells. Biomaterials 2013, 34, 6082–6098. [Google Scholar] [CrossRef]
- Zhang, D.; Pan, X.; Wang, S.; Zhai, Y.; Guan, J.; Fu, Q.; Hao, X.; Qi, W.; Wang, Y.; Lian, H.; et al. Multifunctional Poly(Methyl Vinyl Ether- Co -Maleic Anhydride)- Graft -Hydroxypropyl-β-Cyclodextrin Amphiphilic Copolymer as an Oral High-Performance Delivery Carrier of Tacrolimus. Mol. Pharm. 2015, 12, 2337–2351. [Google Scholar] [CrossRef]
- Luo, Y.; Teng, Z.; Wang, T.T.Y.; Wang, Q. Cellular Uptake and Transport of Zein Nanoparticles: Effects of Sodium Caseinate. J. Agric. Food Chem. 2013, 61, 7621–7629. [Google Scholar] [CrossRef]
- Tian, X.-J.; Yang, X.-W.; Yang, X.; Wang, K. Studies of Intestinal Permeability of 36 Flavonoids Using Caco-2 Cell Monolayer Model. Int. J. Pharm. 2009, 367, 58–64. [Google Scholar] [CrossRef]
- Anese, M.; Bot, F.; Panozzo, A.; Mirolo, G.; Lippe, G. Effect of Ultrasound Treatment, Oil Addition and Storage Time on Lycopene Stability and in Vitro Bioaccessibility of Tomato Pulp. Food Chem. 2015, 172, 685–691. [Google Scholar] [CrossRef]
- Achkar, T.E. Basics and Properties of Deep Eutectic Solvents: A Review. Environ. Chem. Lett. 2021, 19, 3397–3408. [Google Scholar] [CrossRef]
- Zhang, Q.; Vigier, K.D.O. Deep Eutectic Solvents: Syntheses, Properties and Applications. Chem. Soc. Rev. 2012, 41, 7108–7146. [Google Scholar] [CrossRef] [PubMed]
- Daadoue, S.; Al-Remawi, M.; Al-Mawla, L.; Idkaidek, N.; Khalid, R.M.; Al-Akayleh, F. Deep Eutectic Liquid as Transdermal Delivery Vehicle of Risperidone. J. Mol. Liq. 2022, 345, 117347. [Google Scholar] [CrossRef]
- Fan, M.; Dai, D.; Huang, B. Fourier Transform Infrared Spectroscopy for Natural Fibres. Fourier Transform.-Mater. Anal. 2012, 3, 45–68. [Google Scholar] [CrossRef]
- Li, H.; Li, J.; Liu, L.; Zhang, Y.; Luo, Y.; Zhang, X.; Yang, P.; Zhang, M.; Yu, W.; Qu, S. Elucidation of the Intestinal Absorption Mechanism of Celastrol Using the Caco-2 Cell Transwell Model. Planta Medica 2016, 82, 1202–1207. [Google Scholar] [CrossRef] [PubMed]
- Koivusalo, M.; Welch, C.; Hayashi, H.; Scott, C.C.; Kim, M.; Alexander, T.; Touret, N.; Hahn, K.M.; Grinstein, S. Amiloride Inhibits Macropinocytosis by Lowering Submembranous pH and Preventing Rac1 and Cdc42 Signaling. J. Cell Biol. 2010, 188, 547–563. [Google Scholar] [CrossRef]
- Neves, A.R.; Queiroz, J.F.; Costa Lima, S.A.; Figueiredo, F.; Fernandes, R.; Reis, S. Cellular Uptake and Transcytosis of Lipid-Based Nanoparticles across the Intestinal Barrier: Relevance for Oral Drug Delivery. J. Colloid Interface Sci. 2016, 463, 258–265. [Google Scholar] [CrossRef]
- Hubbard, S.R.; Till, J.H. Protein Tyrosine Kinase Structure and Function. Annu. Rev. Biochem. 2000, 69, 373–398. [Google Scholar] [CrossRef] [PubMed]
- Mo, Y.; Lim, L.-Y. Mechanistic Study of the Uptake of Wheat Germ Agglutinin-Conjugated PLGA Nanoparticles by A549 Cells. J. Pharm. Sci. 2004, 93, 20–28. [Google Scholar] [CrossRef] [PubMed]
- Liu, X.; Lin, Y.; Yao, K.; Xie, J.; Xiao, J.; Cao, Y. Increasing β-Carotene Bioavailability and Bioactivity in Spinach Demonstrated Using Excipient Nanoemulsions—Especially Those of Long-Chain Triglycerides. Food Chem. 2023, 404, 134194. [Google Scholar] [CrossRef] [PubMed]
- Kopec, R.E.; Failla, M.L. Recent Advances in the Bioaccessibility and Bioavailability of Carotenoids and Effects of Other Dietary Lipophiles. J. Food Compos. Anal. 2018, 68, 16–30. [Google Scholar] [CrossRef]








| Abbreviation | HBA | HBD | Molar Ratio |
|---|---|---|---|
| HDES1 | Menthol | n-Octanoic acid | 2:1 |
| HDES2 | Decanoic acid | 2:1 | |
| HDES3 | Lauric acid | 2:1 | |
| HDES4 | Oleic acid | 2:1 | |
| HDES5 | Lauric acid | n-Octanoic acid | 1:2 |
| HDES6 | Decanoic acid | 1:2 | |
| HDES7 | Oleic acid | 1:2 |
Disclaimer/Publisher’s Note: The statements, opinions and data contained in all publications are solely those of the individual author(s) and contributor(s) and not of MDPI and/or the editor(s). MDPI and/or the editor(s) disclaim responsibility for any injury to people or property resulting from any ideas, methods, instructions or products referred to in the content. |
© 2026 by the authors. Licensee MDPI, Basel, Switzerland. This article is an open access article distributed under the terms and conditions of the Creative Commons Attribution (CC BY) license.
Share and Cite
Zhang, Q.; Li, C.; Yu, J.; Li, B.; Zeng, C. Menthol–Fatty Acid HDES Boosts In Vitro Oral Bioavailability of Oleanolic Acid via Synergistic Digestive Release and Cellular Absorption. Foods 2026, 15, 343. https://doi.org/10.3390/foods15020343
Zhang Q, Li C, Yu J, Li B, Zeng C. Menthol–Fatty Acid HDES Boosts In Vitro Oral Bioavailability of Oleanolic Acid via Synergistic Digestive Release and Cellular Absorption. Foods. 2026; 15(2):343. https://doi.org/10.3390/foods15020343
Chicago/Turabian StyleZhang, Qin, Chenjia Li, Jie Yu, Benyang Li, and Chaoxi Zeng. 2026. "Menthol–Fatty Acid HDES Boosts In Vitro Oral Bioavailability of Oleanolic Acid via Synergistic Digestive Release and Cellular Absorption" Foods 15, no. 2: 343. https://doi.org/10.3390/foods15020343
APA StyleZhang, Q., Li, C., Yu, J., Li, B., & Zeng, C. (2026). Menthol–Fatty Acid HDES Boosts In Vitro Oral Bioavailability of Oleanolic Acid via Synergistic Digestive Release and Cellular Absorption. Foods, 15(2), 343. https://doi.org/10.3390/foods15020343
