Theoretical Insights into the Molecular Interaction in Li-Ion Battery Electrolytes from the Perspective of the Dielectric Continuum Solvation Model
Abstract
1. Introduction
2. Methods
2.1. Model Development
2.2. Computational Details
3. Results and Discussion
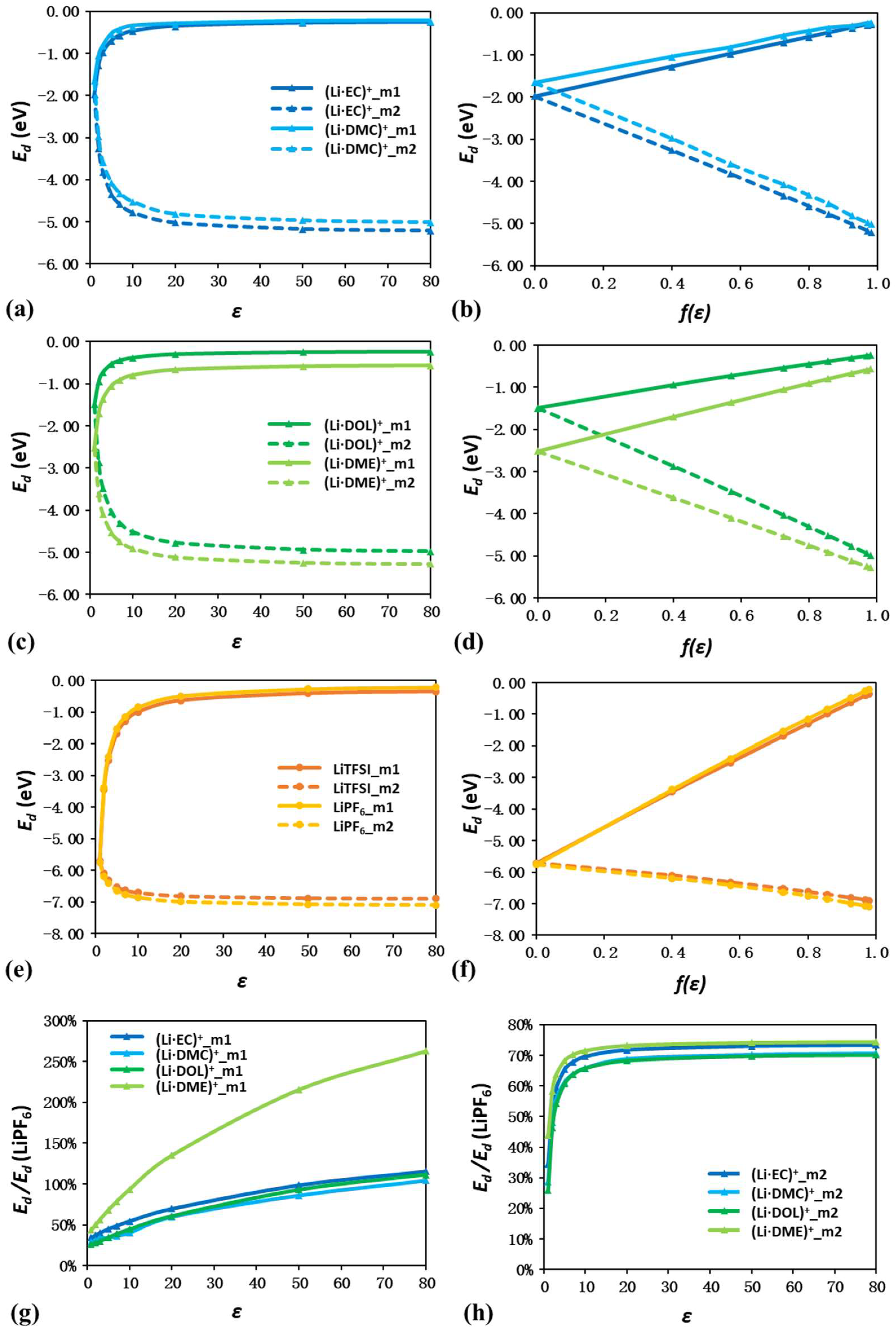
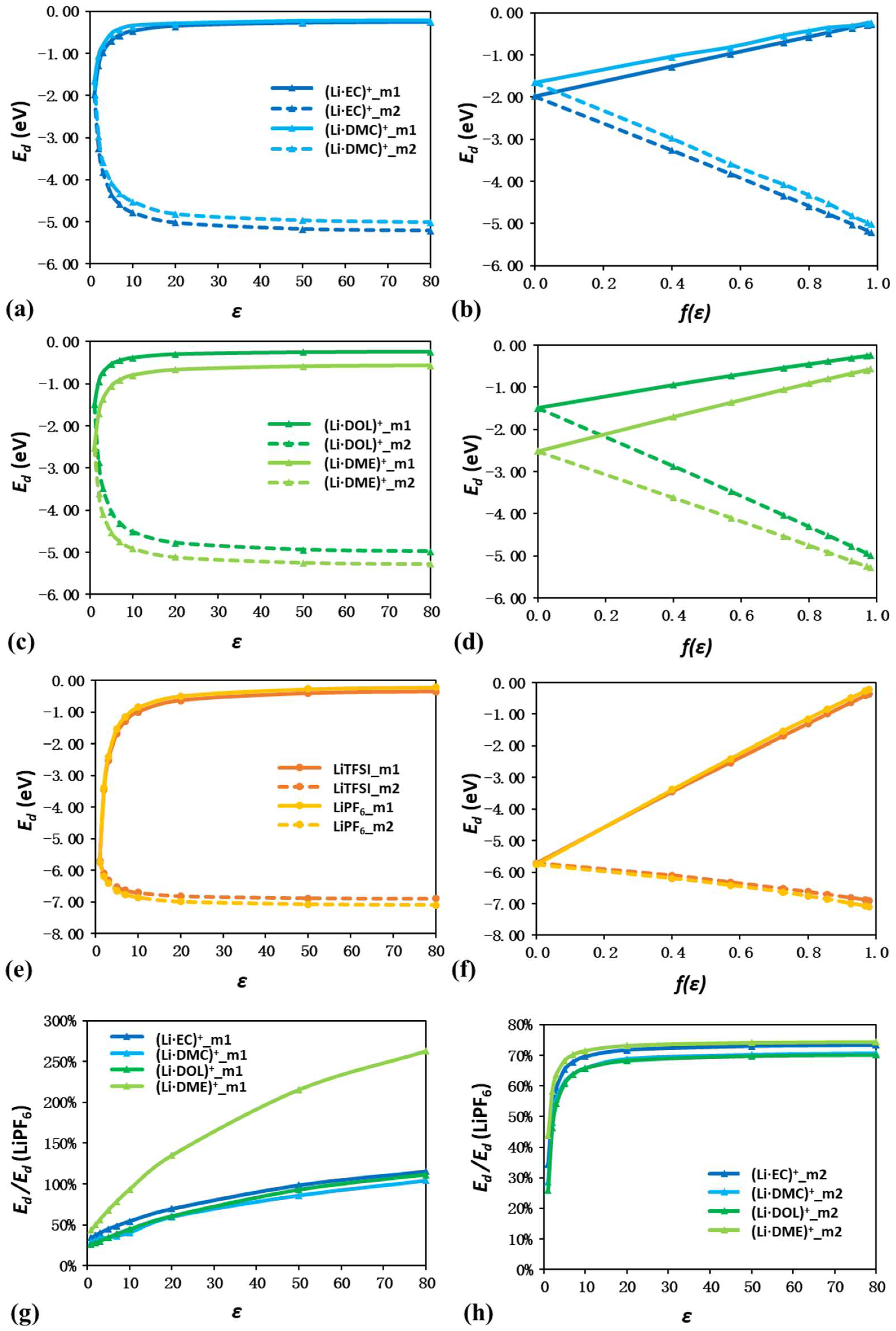
3.1. Energy Shift of Isolated Ions and Solvent Molecules
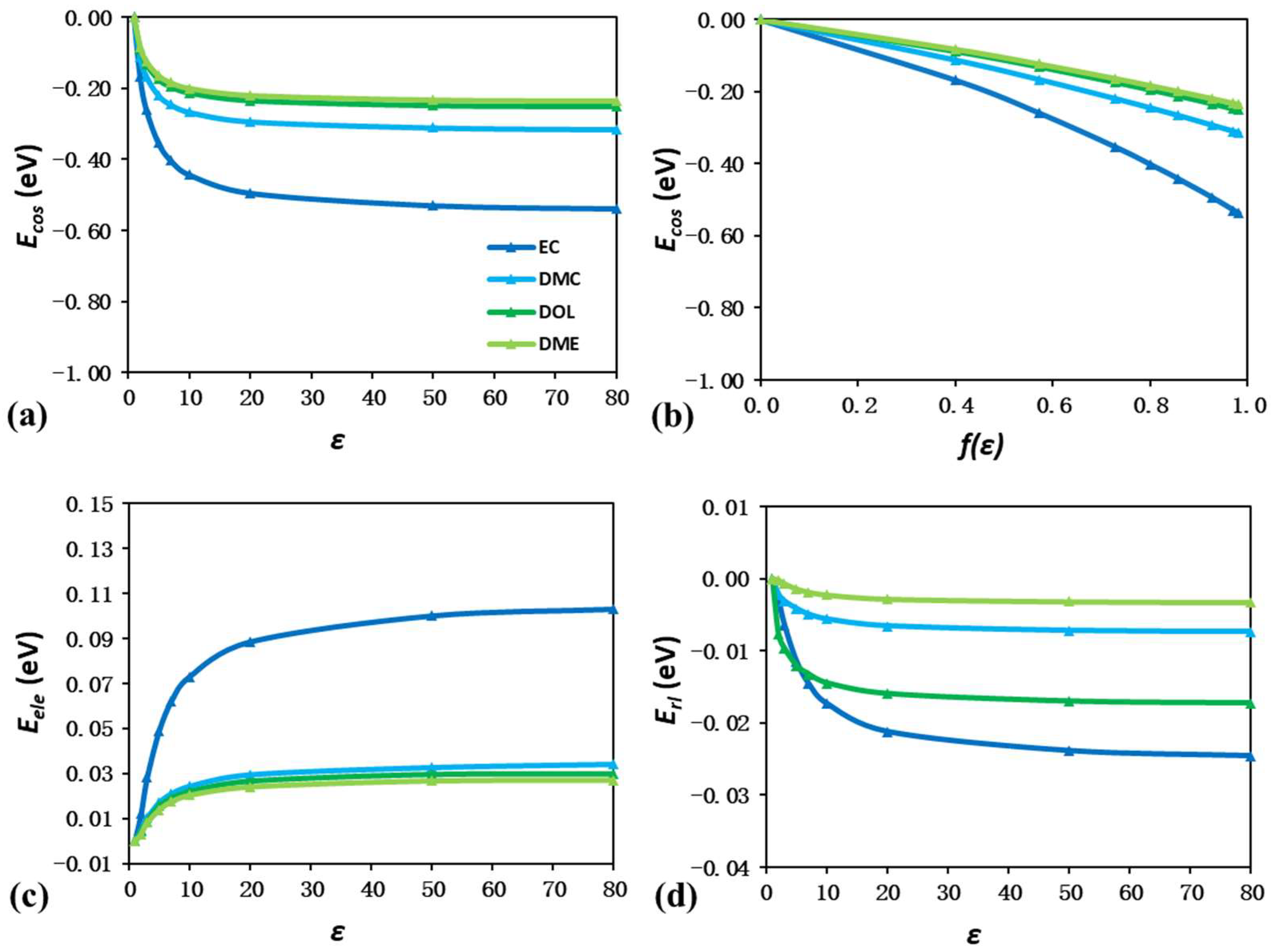
3.2. Energy Shift of Isolated Ion Pairs
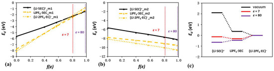
3.3. Energy Shift of Solvation Complex
3.4. Shift of HOMO/LUMO Levels
4. Conclusions
Supplementary Materials
Author Contributions
Funding
Data Availability Statement
Conflicts of Interest
References
- Meng, Y.S.; Srinivasan, V.; Xu, K. Designing better electrolytes. Science 2022, 378, 3750. [Google Scholar] [CrossRef] [PubMed]
- Xiao, J.; Shi, F.; Glossmann, T.; Burnett, C.; Liu, Z. From laboratory innovations to materials manufacturing for lithium-based batteries. Nat. Energy 2023, 8, 329–339. [Google Scholar] [CrossRef]
- Xin, S.; Zhang, X.; Wang, L.; Yu, H.; Chang, X.; Zhao, Y.M.; Meng, Q.; Xu, P.; Zhao, C.Z.; Chen, J.; et al. Roadmap for rechargeable batteries: Present and beyond. Sci. China Chem. 2024, 67, 13–42. [Google Scholar] [CrossRef]
- Suo, L.; Borodin, O.; Gao, T.; Olguin, M.; Ho, J.; Fan, X.; Luo, C.; Wang, C.; Xu, K. “Water-in-salt” electrolyte enables high-voltage aqueous lithium-ion chemistries. Science 2015, 350, 938–943. [Google Scholar] [CrossRef]
- Lai, J.; Guo, Y.; Lai, H.E.; Ospina-Acevedo, F.A.; Tian, W.; Kuai, D.; Chen, D.; Balbuena, P.B.; Shi, F. Linking Solvation Equilibrium Thermodynamics to Electrolyte Transport Kinetics for Lithium Batteries. J. Am. Chem. Soc. 2025, 147, 14348–14358. [Google Scholar] [CrossRef]
- Fan, X.; Wang, C. High-voltage liquid electrolytes for Li batteries: Progress and perspectives. Chem. Soc. Rev. 2021, 50, 10486–10566. [Google Scholar] [CrossRef]
- Xu, J.; Zhang, J.; Pollard, T.P.; Li, Q.; Tan, S.; Hou, S.; Wang, C. Electrolyte design for Li-ion batteries under extreme operating conditions. Nature 2023, 614, 694–700. [Google Scholar] [CrossRef]
- Zhang, Y.; Lu, Y.; Jin, J.; Wu, M.; Yuan, H.; Zhang, S.; Davey, K.; Guo, Z.; Wen, Z. Electrolyte design for lithium-ion batteries for extreme temperature applications. Adv. Mater. 2024, 36, 2308484. [Google Scholar] [CrossRef]
- Chen, Y.; Li, M.; Liu, Y.; Jie, Y.; Li, W.; Huang, F.; Li, X.; He, Z.; Ren, X.; Chen, Y.; et al. Origin of dendrite-free lithium deposition in concentrated electrolytes. Nat. Commun. 2023, 14, 2655. [Google Scholar] [CrossRef]
- Wu, Z.; Li, R.; Zhang, S.; Deng, T.; Zhang, H.; Zhang, R.; Liu, J.; Ding, S.; Fan, L.; Chen, L.; et al. Deciphering and modulating energetics of solvation structure enables aggressive high-voltage chemistry of Li metal batteries. Chem 2023, 9, 650–664. [Google Scholar] [CrossRef]
- Efaw, C.M.; Wu, Q.; Gao, N.; Zhang, Y.; Zhu, H.; Gering, K.; Hurley, M.F.; Xiong, H.; Hu, E.; Cao, X.; et al. Localized high-concentration electrolytes get more localized through micelle-like structures. Nat. Mater. 2023, 22, 1531–1539. [Google Scholar] [CrossRef]
- Ma, B.; Zhang, H.; Li, R.; Zhang, S.; Chen, L.; Zhou, T.; Wang, J.; Zhang, R.; Ding, S.; Xiao, X.; et al. Molecular-docking electrolytes enable high-voltage lithium battery chemistries. Nat. Chem. 2024, 16, 1427–1435. [Google Scholar] [CrossRef]
- Lu, D.; Li, R.; Rahman, M.M.; Yu, P.; Lv, L.; Yang, S.; Huang, Y.; Sun, C.; Zhang, S.; Zhang, H.; et al. Ligand-channel-enabled ultrafast Li-ion conduction. Nature 2024, 627, 101–107. [Google Scholar] [CrossRef] [PubMed]
- Yang, W.; Chen, A.; He, P.; Zhou, H. Advancing lithium metal electrode beyond 99.9% coulombic efficiency via super-saturated electrolyte with compressed solvation structure. Nat. Commun. 2025, 16, 4229. [Google Scholar] [CrossRef] [PubMed]
- Lu, Y.; Cao, Q.; Zhang, W.; Zeng, T.; Ou, Y.; Yan, S.; Liu, H.; Song, X.; Zhou, H.; Hou, W.; et al. Breaking the molecular symmetricity of sulfonimide anions for high-performance lithium metal batteries under extreme cycling conditions. Nat. Energy 2025, 10, 191–204. [Google Scholar] [CrossRef]
- Xia, Y.; Zhou, P.; Kong, X.; Tian, J.; Zhang, W.; Yan, S.; Hou, W.H.; Zhou, H.Y.; Dong, H.; Chen, X.; et al. Designing an asymmetric ether-like lithium salt to enable fast-cycling high-energy lithium metal batteries. Nat. Energy 2023, 8, 934–945. [Google Scholar] [CrossRef]
- Wang, B.; Doan, H.A.; Son, S.B.; Abraham, D.P.; Trask, S.E.; Jansen, A.; Xu, K.; Liao, C. Data-driven design of electrolyte additives supporting high-performance 5 V LiNi0.5Mn1.5O4 positive electrodes. Nat. Commun. 2025, 16, 3413. [Google Scholar] [CrossRef]
- Wang, H.; Yan, X.; Zhang, R.; Sun, J.; Feng, F.; Li, H.; Liang, J.; Wang, Y.; Ye, G.; Luo, X.; et al. Application-driven design of non-aqueous electrolyte solutions through quantification of interfacial reactions in lithium metal batteries. Nat. Nanotechnol. 2025, 20, 1034–1052. [Google Scholar] [CrossRef]
- Yang, Y.; Yao, N.; Gao, Y.C.; Chen, X.; Huang, Y.X.; Zhang, S.; Zhu, H.B.; Xu, L.; Yao, Y.X.; Yang, S.J.; et al. Data–Knowledge-Dual-Driven Electrolyte Design for Fast-Charging Lithium Ion Batteries. Angew. Chem. 2025, 64, e202505212. [Google Scholar] [CrossRef]
- Chen, X.; Liu, M.; Yin, S.; Gao, Y.C.; Yao, N.; Zhang, Q. Uni-Electrolyte: An Artificial Intelligence Platform for Designing Electrolyte Molecules for Rechargeable Batteries. Angew. Chem. 2025, 137, e202503105. [Google Scholar] [CrossRef]
- Xiao, P.; Yun, X.; Chen, Y.; Guo, X.; Gao, P.; Zhou, G.; Zheng, C. Insights into the solvation chemistry in liquid electrolytes for lithium-based rechargeable batteries. Chem. Soc. Rev. 2023, 52, 5255–5316. [Google Scholar] [CrossRef]
- Wu, L.; Hu, J.; Chen, S.; Yang, X.; Liu, L.; Foord, J.S.; Pobedinskas, P.; Haenen, K.; Hou, H.; Yang, J. Lithium nitrate mediated dynamic formation of solid electrolyte interphase revealed by in situ Fourier transform infrared spectroscopy. Electrochim. Acta 2023, 466, 142973. [Google Scholar] [CrossRef]
- Uchida, Y.; Kätelhön, E.; Compton, R.G. Linear sweep voltammetry with non-triangular waveforms: New opportunities in electroanalysis. J. Electroanal. Chem. 2018, 818, 140–148. [Google Scholar] [CrossRef]
- Tomasi, J.; Persico, M. Molecular Interactions in Solution: An Overview of Methods Based on Continuous Distributions of the Solvent. Chem. Rev. 1994, 94, 2027–2094. [Google Scholar] [CrossRef]
- Mathew, K.; Sundararaman, R.; Letchworth-Weaver, K.; Arias, T.A.; Hennig, R.G. Implicit solvation model for density-functional study of nanocrystal surfaces and reaction pathways. J. Chem. Phys. 2014, 140, 084106. [Google Scholar] [CrossRef]
- Klamt, A.; Schüürmann, G. COSMO: A new approach to dielectric screening in solvents with explicit expressions for the screening energy and its gradient. J. Chem. Soc. 1993, 2, 799–805. [Google Scholar] [CrossRef]
- Marenich, A.V.; Cramer, C.J.; Truhlar, D.G. Universal Solvation Model Based on Solute Electron Density and on a Continuum Model of the Solvent Defined by the Bulk Dielectric Constant and Atomic Surface Tensions. J. Phys. Chem. B 2009, 113, 6378–6396. [Google Scholar] [CrossRef]
- Yang, C.; Liu, X.; Lin, Y.; Yin, L.; Lu, J.; You, Y. Entropy-Driven Solvation toward Low-Temperature Sodium-Ion Batteries with Temperature-Adaptive Feature. Adv. Mater. 2023, 35, 2301817. [Google Scholar] [CrossRef]
- Yang, J.; Ruan, J.; Li, Q.; Fang, F.; Song, Y.; Sun, D.; Wang, F. Improved Low-Temperature Performance of Rocking-Chair Sodium-Ion Hybrid Capacitor by Mitigating the De-Solvation Energy and Interphase Resistance. Adv. Funct. Mater. 2022, 32, 2200566. [Google Scholar] [CrossRef]
- Chen, J.; Zhang, D.; Zhu, L.; Liu, M.; Zheng, T.; Xu, J.; Li, J.; Wang, F.; Wang, Y.; Dong, X.; et al. Hybridizing carbonate and ether at molecular scales for high-energy and high-safety lithium metal batteries. Nat. Commun. 2024, 15, 3217. [Google Scholar] [CrossRef]
- Sheng, L.; Wang, Q.; Liu, X.; Cui, H.; Wang, X.; Xu, Y.; Li, Z.; Wang, L.; Chen, Z.; Xu, G.; et al. Suppressing electrolyte-lithium metal reactivity via Li+-desolvation in uniform nano-porous separator. Nat. Commun. 2022, 13, 172. [Google Scholar] [CrossRef]
- Ge, B.; Deng, J.; Wang, Z.; Liang, Q.; Hu, L.; Ren, X.; Li, R.; Lin, Y.; Li, Y.; Wang, Q.; et al. Aggregate-Dominated Dilute Electrolytes with Low-Temperature-Resistant Ion-Conducting Channels for Highly Reversible Na Plating/Stripping. Adv. Mater. 2024, 36, 2408161. [Google Scholar] [CrossRef] [PubMed]
- Hu, L.; Deng, J.; Lin, Y.; Liang, Q.; Ge, B.; Weng, Q.; Li, Y.; Deng, Y.; Chen, G.; Yu, X. Restructuring Electrolyte Solvation by a Versatile Diluent Toward Beyond 99.9% Coulombic Efficiency of Sodium Plating/Stripping at Ultralow Temperatures. Adv. Mater. 2024, 36, 2312161. [Google Scholar] [CrossRef] [PubMed]
- Azemtsop, M.T.; Mehra, R.M.; Kumar, Y.; Gupta, M. Physical Characterization of Ionic Liquid-Modified Polyvinyl Alcohol and Sodium Thiocyanate Polymer Electrolytes for Electrochemical Double-Layer Capacitor Application. J. Shanghai Jiaotong Univ. 2023, 28, 161–171. [Google Scholar] [CrossRef]
- Wu, Q.; Qi, Y. Revealing heterogeneous electric double layer (EDL) structures of localized high-concentration electrolytes (LHCEs) and their impact on solid–electrolyte interphase (SEI) formation in lithium batteries. Energy Environ. Sci. 2025, 18, 3036–3046. [Google Scholar] [CrossRef]
- Yao, N.; Chen, X.; Shen, X.; Zhang, R.; Fu, Z.; Ma, X.; Zhang, X.; Li, B.; Zhang, Q. An Atomic Insight into the Chemical Origin and Variation of the Dielectric Constant in Liquid Electrolytes. Angew. Chem. 2021, 60, 21473–21478. [Google Scholar] [CrossRef]
- Delley, B. From molecules to solids with the DMol3 approach. J. Phys. Chem. 2000, 113, 7756–7764. [Google Scholar] [CrossRef]
- Delley, B. An all-electron numerical method for solving the local density functional for polyatomic molecules. J. Phys. Chem. 1990, 92, 508–517. [Google Scholar] [CrossRef]
- Zhao, Y.; Truhlar, D. A new local density functional for main-group thermochemistry, transition metal bonding, thermochemical kinetics, and noncovalent interactions. J. Phys. Chem. 2000, 125, 194101. [Google Scholar] [CrossRef]
- Kresse, G.; Hafner, J. Ab initio molecular dynamics for open-shell transition metals. Phys. Rev. B 1993, 48, 13115–13118. [Google Scholar] [CrossRef]
- Kresse, G.; Furthmuller, J. Efficient iterative schemes for ab initio total-energy calculations using a plane-wave basis set. Comput. Mater. Sci. 1996, 6, 15–508. [Google Scholar] [CrossRef]
- Clark, S.J.; Segall, M.D.; Pickard, C.J.; Hasnip, P.J.; Probert, M.J.; Refson, K.; Payne, M.C. First principles methods using CASTEP. Z. Fuer Krist. 2005, 220, 567–570. [Google Scholar] [CrossRef]
- Reed, A.E.; Curtiss, L.A.; Weinhold, F. Intermolecular interactions from a natural bond orbital, donor-acceptor viewpoint. Chem. Rev. 1988, 88, 899–926. [Google Scholar] [CrossRef]
- Available online: https://physics.nist.gov/PhysRefData/ASD/ionEnergy.html (accessed on 19 August 2025).
- Daniels, I.N.; Wang, Z.; Laird, B. Dielectric Properties of Organic Solvents in an Electric Field. J. Phys. Chem. C 2017, 121, 1025–1031. [Google Scholar] [CrossRef]
- Park, C.; Kanduč, M.; Chudoba, R.; Ronneburg, A.; Risse, S.; Ballauff, M.; Dzubiella, J. Molecular simulations of electrolyte structure and dynamics in lithium–sulfur battery solvents. J. Power Sources 2018, 373, 70–78. [Google Scholar] [CrossRef]
- Zhang, L.; Chen, Y. Electrolyte solvation structure as a stabilization mechanism for electrodes. Energy Mater. 2021, 373, 100004. [Google Scholar] [CrossRef]
- Wang, Z.; Wang, H.; Qi, S.; Wu, D.; Huang, J.; Li, X.; Wang, C.; Ma, J. Structural regulation chemistry of lithium ion solvation for lithium batteries. Ecomat 2022, 4, e12200. [Google Scholar] [CrossRef]
- Chen, X.; Zhang, X.; Li, H.; Zhang, Q. Cation−Solvent, Cation−Anion, and Solvent−Solvent Interactions with Electrolyte Solvation in Lithium Batteries. Batter. Supercaps 2019, 2, 128–131. [Google Scholar] [CrossRef]
- Han, S. Structure and dynamics in the lithium solvation shell of nonaqueous electrolytes. Sci. Rep. 2019, 9, 5555. [Google Scholar] [CrossRef]
- Hou, T.; Fong, K.; Wang, J.; Persson, K. The solvation structure, transport properties and reduction behavior of carbonate-based electrolytes of lithium-ion batteries. Chem. Sci. 2021, 12, 14740. [Google Scholar] [CrossRef]
- Xia, M.; Jiao, T.; Liu, G.; Chen, Y.; Gao, J.; Cheng, Y.; Yang, Y.; Wang, M.; Zheng, J. Rational design of electrolyte solvation structure for stable cycling and fast charging lithium metal batteries. J. Power Sources 2022, 548, 232106. [Google Scholar] [CrossRef]
- Yeddala, M.; Rynearson, L.; Lucht, B. Modification of Carbonate Electrolytes for Lithium Metal Electrodes. ACS Energy Lett. 2023, 8, 4782–4793. [Google Scholar] [CrossRef]
- Kang, H.; Kang, H.; Lyu, M.; Cho, E. A review of recent developments in the design of electrolytes and solid electrolyte interphase for lithium metal batteries. EcoMat 2022, 6, e12498. [Google Scholar] [CrossRef]
- Perdew, J.P.; Wang, Y. Accurate and simple analytic representation of the electron−gas correlation energy. Phys. Rev. B 1992, 45, 23, 13244−13249. [Google Scholar] [CrossRef] [PubMed]
- Perdew, J.P.; Burke, K.; Ernzerhof, M. Generalized gradient approximation made simple. Phys. Rev. Lett. 1996, 77, 18, 3865−3868. [Google Scholar] [CrossRef]
- Stephens, P.J.; Devlin, F.J.; Chabalowski, C.F.; Frisch, M.J. Ab initio calculation of vibrational absorption and circular dichroism spectra using density functional force fields. J. Phys. Chem. 1994, 98, 45, 11623−11627. [Google Scholar] [CrossRef]
- Ortmann, F.; Bechstedt, F.; Schmidt, W.G. Semiempirical van der Waals correction to the density functional description of solids and molecular structures. Phys. Rev. B 2006, 73, 205201. [Google Scholar] [CrossRef]
- Grimme, S. Semiempirical GGA−type density functional constructed with a long−range dispersion correction. J. Comput. Chem. 2006, 27, 15, 1787−1799. [Google Scholar] [CrossRef]
- Hirano, T. MOPAC Manual, 7th ed.; Stewart, J.J.P., Ed.; US Air Force Academy: Colorado Springs, CO, USA, 1993. [Google Scholar]











Disclaimer/Publisher’s Note: The statements, opinions and data contained in all publications are solely those of the individual author(s) and contributor(s) and not of MDPI and/or the editor(s). MDPI and/or the editor(s) disclaim responsibility for any injury to people or property resulting from any ideas, methods, instructions or products referred to in the content. |
© 2025 by the authors. Licensee MDPI, Basel, Switzerland. This article is an open access article distributed under the terms and conditions of the Creative Commons Attribution (CC BY) license (https://creativecommons.org/licenses/by/4.0/).
Share and Cite
Zhao, Y.; Li, R.; Li, X.; Zhao, X.; Li, Y.; Lin, Y. Theoretical Insights into the Molecular Interaction in Li-Ion Battery Electrolytes from the Perspective of the Dielectric Continuum Solvation Model. Crystals 2025, 15, 796. https://doi.org/10.3390/cryst15090796
Zhao Y, Li R, Li X, Zhao X, Li Y, Lin Y. Theoretical Insights into the Molecular Interaction in Li-Ion Battery Electrolytes from the Perspective of the Dielectric Continuum Solvation Model. Crystals. 2025; 15(9):796. https://doi.org/10.3390/cryst15090796
Chicago/Turabian StyleZhao, Yumeng, Runmin Li, Xiaoxiao Li, Xinsheng Zhao, Yunsong Li, and Yuxiao Lin. 2025. "Theoretical Insights into the Molecular Interaction in Li-Ion Battery Electrolytes from the Perspective of the Dielectric Continuum Solvation Model" Crystals 15, no. 9: 796. https://doi.org/10.3390/cryst15090796
APA StyleZhao, Y., Li, R., Li, X., Zhao, X., Li, Y., & Lin, Y. (2025). Theoretical Insights into the Molecular Interaction in Li-Ion Battery Electrolytes from the Perspective of the Dielectric Continuum Solvation Model. Crystals, 15(9), 796. https://doi.org/10.3390/cryst15090796
