Sign in to use this feature.

Years

Between: -

Subjects

remove_circle_outline
remove_circle_outline
remove_circle_outline
remove_circle_outline
remove_circle_outline
remove_circle_outline
remove_circle_outline
remove_circle_outline
remove_circle_outline

Journals

remove_circle_outline
remove_circle_outline
remove_circle_outline
remove_circle_outline
remove_circle_outline
remove_circle_outline
remove_circle_outline
remove_circle_outline
remove_circle_outline
remove_circle_outline
remove_circle_outline
remove_circle_outline

Article Types

Countries / Regions

remove_circle_outline
remove_circle_outline
remove_circle_outline
remove_circle_outline

Search Results (1,233)

Search Parameters:
Keywords = enclosures

Order results
Result details
Results per page
Select all
Export citation of selected articles as:
17 pages, 55937 KB  
Article
Applicability of Machine Learning in Behavioural Monitoring of the Red Panda (Ailurus fulgens) in Zoos
by Amalie M. Worup, Anne S. Sonne, Jeppe Kudahl, Johanne H. Jacobsen, Sussie Pagh, Thea L. Faddersbøll and Cino Pertoldi
Animals 2026, 16(8), 1165; https://doi.org/10.3390/ani16081165 - 10 Apr 2026
Abstract
Welfare assessment for the endangered red panda (Ailurus fulgens) in captivity requires systematic behaviour monitoring, yet traditional direct observation is often limited by observer subjectivity and time constraints. This study evaluates the feasibility of employing machine learning (ML) to automate behavioural [...] Read more.
Welfare assessment for the endangered red panda (Ailurus fulgens) in captivity requires systematic behaviour monitoring, yet traditional direct observation is often limited by observer subjectivity and time constraints. This study evaluates the feasibility of employing machine learning (ML) to automate behavioural monitoring of a red panda in a complex, mixed-species enclosure at Aalborg Zoo, Denmark. Using video data from cameras in the enclosure of the red panda, and the ML model LabGym for animal detection and behavioural categorisation, models were trained to analyse activity patterns of the red panda. The results demonstrate that, while the behaviour categorizer is a promising tool with high classification confidence, the overall system effectiveness is currently limited by the object detector’s performance in a naturalistic environment. Challenges such as environmental obstructions (e.g., rocks, foliage, and trees) and the animal’s camouflage contributed to a significant amount of unclassified time, which may affect the overall assessment of behavioural distribution. We conclude that, while ML holds potential for non-invasive behaviour monitoring, its application in complex zoo settings requires improved detection capabilities to be fully reliable. Future iterations of this system could be enhanced by complementing standard object detection with pose estimation frameworks. Implementing alternative labelling strategies or background subtraction methods could additionally mitigate the detection challenges posed by environmental obstruction. Full article
(This article belongs to the Special Issue Artificial Intelligence as a Useful Tool in Behavioural Studies)
Show Figures

Figure 1

37 pages, 10409 KB  
Article
A Scalable Framework for Street Interface Morphology Assessment via Automated Multimodal Large Language Model Agents
by Yuchen Wang, Yu Ye and Chao Weng
Land 2026, 15(4), 610; https://doi.org/10.3390/land15040610 - 8 Apr 2026
Viewed by 101
Abstract
Evaluating street interface morphology is essential for urban design, yet existing approaches often struggle to combine large-scale applicability with higher-level morphological interpretation. This study proposes a scalable framework for assessing street interface morphology using an automated multimodal large language model (MLLM) agent. Using [...] Read more.
Evaluating street interface morphology is essential for urban design, yet existing approaches often struggle to combine large-scale applicability with higher-level morphological interpretation. This study proposes a scalable framework for assessing street interface morphology using an automated multimodal large language model (MLLM) agent. Using street view imagery (SVI), the framework evaluates four core morphological dimensions—enclosure, continuity, transparency, and roughness–through two complementary analytical streams: objective geometric measurement and subjective morphological assessment. To support reliable evaluation, the framework incorporates a dual-benchmark strategy consisting of manually derived geometric measurements and expert-consensus ratings for calibration and validation. Applied in Shanghai, the framework demonstrated reliable performance across the evaluated dimensions. The optimized agent was further extended to continuous street-segment analysis, demonstrating its applicability to large-scale urban assessment. By integrating objective and subjective evaluation within a scalable and interpretable workflow, the proposed methodology provides a practical tool for street interface morphology analysis and urban design assessment. Full article
(This article belongs to the Section Land Planning and Landscape Architecture)
Show Figures

Figure 1

25 pages, 6291 KB  
Article
Strange Realms in Late Ming Landscape: The Visual Production of Daoist Space in Wu Bin’s 吳彬 Fanghu Tu 方壺圖
by Xiangyang Zhang and Danke Zhang
Religions 2026, 17(4), 462; https://doi.org/10.3390/rel17040462 - 8 Apr 2026
Viewed by 180
Abstract
In late Ming China, landscape (shanshui 山水) painting could function not only as a scenic representation but also as a pictorial means of making sacred space perceptible. This article examines Wu Bin’s hanging scroll Fanghu Tu 方壺圖 (1626; Palace Museum, Beijing) and [...] Read more.
In late Ming China, landscape (shanshui 山水) painting could function not only as a scenic representation but also as a pictorial means of making sacred space perceptible. This article examines Wu Bin’s hanging scroll Fanghu Tu 方壺圖 (1626; Palace Museum, Beijing) and asks how the painting renders Daoist sacred space visible through relations of distance, access, concealment, and uneven disclosure. To avoid treating “Daoist aesthetics” as a general label, the analysis uses schema and pictorial organization as limited descriptive terms for the structuring of spatial experience within the image. The close reading identifies two recurrent pictorial formations brought into relation in Fanghu Tu: a sea-boundary, distant-view configuration that emphasizes separation and delay, and a pavilion-centered enclosure that produces a more concentrated middle field. It then shows how layered waves and broken shoreline, cloud and mist, middle-zone enclosure, and the thinning legibility of the upper peaks prevent the scene from stabilizing into a single resolved destination. Read in relation to late Ming discussions of cultivated “strangeness” (qi 奇) in landscape painting, these features suggest that Daoist sacred space in Fanghu Tu takes shape as an uneven and mediated experience, structured through provisional concentration, interrupted visibility, and renewed distance. The article argues that late Ming landscape painting could render Daoist-inflected sacred spatial experience visible not only through iconography, but also through the pictorial distribution of visibility, access, and reorientation. Full article
(This article belongs to the Special Issue Landscape (山水) as Transcendent Existence)
Show Figures

Figure 1

21 pages, 28338 KB  
Article
An Enhanced YOLOv8n-Based Approach for Pig Behavior Recognition
by Jianjun Guo, Yudian Xu, Lijun Lin, Beibei Zhang, Piao Zhou, Shangwen Luo, Yuhan Zhuo, Jingyu Ji, Zhijie Luo and Guangming Cheng
Computers 2026, 15(4), 230; https://doi.org/10.3390/computers15040230 - 8 Apr 2026
Viewed by 171
Abstract
Pig behavior statistics can reflect their health status. Conventional approaches depend on manual observation to derive behavioral information from video recordings, a process that demands substantial time and human effort. To overcome these limitations in indoor intensive farming environments, this study introduces an [...] Read more.
Pig behavior statistics can reflect their health status. Conventional approaches depend on manual observation to derive behavioral information from video recordings, a process that demands substantial time and human effort. To overcome these limitations in indoor intensive farming environments, this study introduces an effective approach for recognizing pig behaviors, employing an enhanced YOLOv8n architecture. The approach utilizes advanced object detection algorithms to automatically identify pig behaviors, including stand, lie, eat, fight, and tail-bite, from overhead video footage of the enclosure. First, images of daily pig behaviors are collected using cameras to build a pig behavior dataset. To boost detection accuracy, the SE attention mechanism is embedded within the feature extraction backbone of the YOLOv8n network to enhance its representational capacity, strengthening the model’s capacity to grasp overarching contextual information and improve the expressiveness of extracted features. The GIoU loss function is employed during training to reduce computational cost and accelerate model convergence. Moreover, integrating Ghost convolution into the backbone significantly reduces both computational complexity and the total number of parameters. The experimental findings reveal that the optimized YOLOv8n model contains just 1.71 million parameters, marking a 42.93% reduction relative to the baseline model. Its floating-point operations total 5.0 billion, indicating a 38.27% decrease, while the mean average precision (mAP@50) reaches 96.8%, surpassing the original by 2.6 percentage points. Compared with other widely used YOLO-based object detection frameworks, the proposed approach achieves notably higher accuracy while requiring significantly lower computational resources and model complexity. Full article
(This article belongs to the Section AI-Driven Innovations)
Show Figures

Figure 1

23 pages, 1048 KB  
Article
The Impact of Campus Pathway Landscape Environment on Multidimensional Health Benefits of University Students
by Xiang Ji, Yao Fu, Qingyu Li, Zhuolin Shi, Kexin Bao, Mei Lyu and Dong Sun
Buildings 2026, 16(7), 1454; https://doi.org/10.3390/buildings16071454 - 7 Apr 2026
Viewed by 203
Abstract
University students face sustained academic, employment, and social pressures. Campus pathways, as central linear spaces in daily routines, hold significant potential to influence well-being, yet existing research has largely overlooked how their environmental characteristics affect multidimensional health. Using Shenyang Jianzhu University as a [...] Read more.
University students face sustained academic, employment, and social pressures. Campus pathways, as central linear spaces in daily routines, hold significant potential to influence well-being, yet existing research has largely overlooked how their environmental characteristics affect multidimensional health. Using Shenyang Jianzhu University as a case, this study identified frequently used pathways through GPS tracking and surveys, and quantitatively analyzed how environmental features affect walking willingness, emotional experience, and social interaction. By comparing high- and low-benefit groups, the key environmental thresholds were identified to inform health-oriented design. Beyond verifying some established understandings (e.g., daily commuting paths prioritize efficiency, while leisure paths focus on experiential quality), the study further revealed several mechanisms through quantitative analysis. For example, “road accessibility”—an indicator of convenience—showed a significant negative correlation with emotional experience. The study established quantifiable prediction models and identified design thresholds for campus pathways. A high aesthetic greenery was key to achieving high overall benefits, while low building enclosure and vegetation complexity promoted social interaction. This achievement transforms health-oriented campus pathway design from qualitative principles into a measurable and optimizable scientific practice, thus providing an empirical basis and practical guidance for the construction of health-supportive campus environments. Full article
(This article belongs to the Section Building Energy, Physics, Environment, and Systems)
Show Figures

Figure 1

19 pages, 8010 KB  
Article
Multi-Model Fusion for Street Visual Quality Evaluation
by Qianhan Wang and Yuechen Li
ISPRS Int. J. Geo-Inf. 2026, 15(4), 158; https://doi.org/10.3390/ijgi15040158 - 6 Apr 2026
Viewed by 222
Abstract
With accelerating global urbanization and increasingly diverse demands for public spaces, promoting urban low-carbon transitions and enhancing residents’ quality of life have become central missions of modern urban development. As one of the city’s primary arteries, streets—through their green landscapes, slow-moving transportation systems, [...] Read more.
With accelerating global urbanization and increasingly diverse demands for public spaces, promoting urban low-carbon transitions and enhancing residents’ quality of life have become central missions of modern urban development. As one of the city’s primary arteries, streets—through their green landscapes, slow-moving transportation systems, and public facilities—play an indispensable role in reducing carbon emissions, promoting healthy living, and improving residents’ well-being. In this study, the Yubei District of Chongqing was selected as the research area, and an automated evaluation framework was proposed for street visual quality, based on multi-source street view data and ensemble learning. PSP-Net semantic segmentation model was employed to extract eight key visual indicators from street view images, including green view index, Visual Entropy (Entropy), sky view factor (SVF), drivable space, sidewalk, safety facilities, buildings, and enclosure. Based on these features, a Stacking-based ensemble learning model was constructed, integrating multiple base models such as Random Forest, XGBoost, and LightGBM, with Linear Regression as the meta-learner, to predict street visual quality. The results demonstrate that the ensemble model significantly outperforms any single model, achieving a correlation coefficient (r) of 0.77 and effectively capturing the complex perceptual features of street environments. This study provides a reliable, intelligent, and quantitative method for large-scale evaluation of urban street visual quality, while supplying data support and decision-making references for street renewal and spatial optimization. Full article
Show Figures

Figure 1

29 pages, 6180 KB  
Article
A Comparative Study of a Real-Time Ankle Mobility Monitoring Wearable System
by Giovanni Mastrangelo, Betsy Dayana Marcela Chaparro Rico, Matteo Russo, Marco Ceccarelli and Daniele Cafolla
Robotics 2026, 15(4), 76; https://doi.org/10.3390/robotics15040076 - 4 Apr 2026
Viewed by 263
Abstract
This paper presents a low-cost, lightweight wearable sensing module for real-time multi-degree-of-freedom motion analysis, which is validated using ankle movements from a representative case study. The system is based on a compact inertial measurement unit integrated into a custom-made enclosure and employs Kalman [...] Read more.
This paper presents a low-cost, lightweight wearable sensing module for real-time multi-degree-of-freedom motion analysis, which is validated using ankle movements from a representative case study. The system is based on a compact inertial measurement unit integrated into a custom-made enclosure and employs Kalman filter-based sensor fusion to estimate three-dimensional joint orientation. An experimental campaign involving sixteen healthy participants was conducted, and measurements were compared against a gold-standard optical motion capture system, Optitrack V120 Trio. Ankle kinematics were analysed across all anatomical planes, including dorsiflexion/plantarflexion, inversion/eversion, and adduction/abduction. Quantitative metrics, including cosine similarity consistently above 0.98 across all movements and root mean square error within 4° on average, demonstrate strong agreement between the angular measuring device and motion capture data, with errors remaining within clinically acceptable limits. The results confirm the feasibility of the proposed system as a reliable, portable, and affordable alternative to laboratory-based measurement technologies. Beyond ankle assessment, the sensing approach is applicable to a wide range of motion-assistive and rehabilitation systems, supporting continuous monitoring, personalised therapy, and future integration into intelligent wearable devices. Full article
Show Figures

Figure 1

11 pages, 785 KB  
Article
Conservation Education: The Signage Used in Eleven Swedish Zoos
by Elin Torgersson, Lina S. V. Roth and Maria Andersson
Animals 2026, 16(7), 1113; https://doi.org/10.3390/ani16071113 - 4 Apr 2026
Viewed by 438
Abstract
Education is one of the core roles of modern zoos, alongside research and conservation. In recent years, increasing emphasis has been placed on the importance of conservation within zoo education, and the term conservation education has become more widely used. Swedish zoos report [...] Read more.
Education is one of the core roles of modern zoos, alongside research and conservation. In recent years, increasing emphasis has been placed on the importance of conservation within zoo education, and the term conservation education has become more widely used. Swedish zoos report using a variety of educational activities; however, systematic evaluations remain scarce. The aim of the present study was to analyse the content of species signage (n = 404) at 11 zoos in Sweden. A predetermined evaluation protocol was applied, including items related to conservation, animal biology, behaviour, ecology, and animal welfare, assessed using binary (“yes/no”) criteria. The signage analysis revealed that majority of signs provided basic species information, such as body size (88% of signs), lifespan (59%), geographical distribution (86%), diet (84%), and number of offspring (75%). In contrast, only 68% of signs included conservation status, 44% described specific threats, and just 17% provided information on actions visitors could take to support conservation. Information related to animal welfare was rare: 4% of signs mentioned enclosure design, 2% referred to enrichment, and only 1% included animal training. Overall, while Swedish zoos generally provided information on species ecology and, to some extent, conservation, guidance on how visitors could actively contribute to conservation was limited. Full article
(This article belongs to the Section Zoo Animals)
Show Figures

Figure 1

20 pages, 3694 KB  
Article
Experimental and Numerical Assessment of a Compact Sensible Heat Storage Unit for Renewable Energy Applications
by Marius Costel Balan, Ștefănica Eliza Tansanu, Robert Ștefan Vizitiu, Andrei Burlacu and Ioan Ursache
Energies 2026, 19(7), 1775; https://doi.org/10.3390/en19071775 - 4 Apr 2026
Viewed by 246
Abstract
The conversion of surplus electrical energy into thermal energy represents an effective pathway for increasing the flexibility of renewable-energy systems. This study presents an experimental and numerical assessment of a compact vapor-assisted sensible heat storage unit designed to transform electrical input into stored [...] Read more.
The conversion of surplus electrical energy into thermal energy represents an effective pathway for increasing the flexibility of renewable-energy systems. This study presents an experimental and numerical assessment of a compact vapor-assisted sensible heat storage unit designed to transform electrical input into stored thermal energy using a controlled evaporation–condensation process inside a vertical steel cylinder. An 800 W immersion heater was employed to generate vapor, while nine temperature sensors monitored the thermal response of the evaporator, enclosure air, and storage medium. Two operating configurations, insulated and non-insulated, were investigated to characterize charging and discharging dynamics. In parallel, CFD simulations performed in ANSYS Fluent were used to analyze coupled heat transfer and phase-change mechanisms. The results demonstrate efficient electrical-to-thermal energy conversion, with rapid temperature rise during charging driven by vapor-assisted convection following the onset of boiling. Experimental data and numerical predictions consistently reveal a transition from conduction-dominated heating to a phase-change-enhanced regime, which accelerates heat distribution and thermal homogenization within the storage unit. Comparative tests further indicate that reduced external losses improve heat retention during discharge. Overall, the combined experimental–numerical approach confirms the capability of the proposed compact system to store electrically generated heat in a stable and repeatable manner, highlighting its potential for daily photovoltaic energy buffering and small-scale renewable-energy applications. Full article
(This article belongs to the Section B: Energy and Environment)
Show Figures

Figure 1

26 pages, 429 KB  
Article
Modified Asymptotic Solutions and Application to Asymptotic Expansions of Indicator Functions in Mixed-Type Media
by Mishio Kawashita and Wakako Kawashita
Mathematics 2026, 14(7), 1210; https://doi.org/10.3390/math14071210 - 3 Apr 2026
Viewed by 169
Abstract
Asymptotic solutions that can describe the incidence and reflection of waves have been used in various situations. They can also be applied to inverse problems and provide useful information in situations where a precise evaluation is required. However, the construction of standard asymptotic [...] Read more.
Asymptotic solutions that can describe the incidence and reflection of waves have been used in various situations. They can also be applied to inverse problems and provide useful information in situations where a precise evaluation is required. However, the construction of standard asymptotic solutions requires higher regularity with respect to the boundaries of the observation target. This article proposes a “modified asymptotic solution” to overcome this weakness. To demonstrate its usefulness, it is applied to the analysis of the indicator function in the enclosure method for the inverse problem of the wave equation in a mixed-type medium. Full article
(This article belongs to the Section C: Mathematical Analysis)
29 pages, 9034 KB  
Article
A Novel Simultaneous Fault Computation Algorithm for Any Asymmetric and Multiconductor Power System: SFPD
by Roberto Benato and Francesco Sanniti
Energies 2026, 19(7), 1770; https://doi.org/10.3390/en19071770 - 3 Apr 2026
Viewed by 160
Abstract
The paper presents SFPD, the new open algorithm developed by the University of Padova (PD in the acronym) for computing the steady-state regime due to any number of simultaneous faults (SF at the beginning of the acronym) both short circuits and open conductors. [...] Read more.
The paper presents SFPD, the new open algorithm developed by the University of Padova (PD in the acronym) for computing the steady-state regime due to any number of simultaneous faults (SF at the beginning of the acronym) both short circuits and open conductors. The algorithm does not have simplified hypotheses, since it benefits from the pre-fault regime based on PFPD_MCA (power flow by University of Padova with multiconductor cell analysis), a multiconductor power flow (developed and published by the first author) which takes into account both the active conductors (i.e., the phases subjected to the impressed voltages) and the passive conductors (i.e., the interfered metallic conductors, namely earth wires of overhead lines, metallic screens and armors of land and submarine cables, enclosures of gas insulated lines, return and earth wires of 2 × 25 kV AC high-speed railway supply system, etc.). Different types of faults are considered, and where they occur (also along the lines), by means of a suitable admittance matrix in phase frame of reference and embedded inside the overall network bus admittance matrix. Some comparisons with simplified approaches are presented in order to demonstrate the power of the method. Eventually, application to the real Italian network is comprehensively shown. Full article
(This article belongs to the Section F1: Electrical Power System)
Show Figures

Figure 1

17 pages, 10290 KB  
Article
Integrated Magnetic and Electromagnetic Survey of the Pianabella Basilica Ruins (Ostia, Italy): Archaeological Insights and New Magnetometer Prototype Assessment
by Filippo Accomando, Andrea Barone, Nicola Francesco Catalano, Dario Daffara, Francesco Ferraiuolo, Pietro Tizzani and Raffaele Castaldo
Heritage 2026, 9(4), 148; https://doi.org/10.3390/heritage9040148 - 3 Apr 2026
Viewed by 313
Abstract
This study presents the first integrated magnetic and electromagnetic (EMI) survey of the Pianabella Basilica (Ostia, Italy), combining high-resolution magnetic gradient measurements with EMI mapping. The site, characterized by late-antique Christian architecture and funerary structures, provides a complex environment for testing non-invasive geophysical [...] Read more.
This study presents the first integrated magnetic and electromagnetic (EMI) survey of the Pianabella Basilica (Ostia, Italy), combining high-resolution magnetic gradient measurements with EMI mapping. The site, characterized by late-antique Christian architecture and funerary structures, provides a complex environment for testing non-invasive geophysical techniques. Magnetic data were acquired using the MagEx system (v.1.2.2558), a new prototype based on Micro-Fabricated Atomic Magnetometer (MFAM) technology, marking its first field deployment in archaeological prospection. Simultaneously, EMI measurements using the CMD-Mini Explorer provided data on apparent conductivity and in-phase components across three depth levels (0.5–1.8 m). The magnetic gradient map successfully delineated the Basilica’s planimetric outline, revealing anomalies (~20 nT/m) corresponding to masonry and internal enclosures. A significant anomaly (50–60 nT/m) north of the Basilica suggests a basalt-paved Roman road leading toward Porta Laurentina. EMI results corroborated these findings, with low-conductivity zones outlining walls and in-phase responses highlighting reused Roman building materials. Despite significant urban noise from a nearby railway and fences, this integrated approach enhanced interpretability and reduced ambiguity. These findings demonstrate the efficacy of next-generation magnetic gradiometry and EMI for high-resolution archaeological investigations, providing a new methodological benchmark for cultural heritage prospection. Full article
(This article belongs to the Section Archaeological Heritage)
Show Figures

Figure 1

33 pages, 3238 KB  
Review
Cellular Processes and Forces Shaping the Embryo: Lessons from C. elegans
by Michel Labouesse, Teresa Ferraro, Flora Llense, Jonathon Heier, Zoe Tesone and Jeff Hardin
Cells 2026, 15(7), 645; https://doi.org/10.3390/cells15070645 - 2 Apr 2026
Viewed by 456
Abstract
Embryo and organ shapes emerge from the interplay between genetic programs and physical forces. In recent years, there has been a growing appreciation of the role of mechanical forces in morphogenesis. Here, we review how the integration of advanced genetic approaches with high-resolution [...] Read more.
Embryo and organ shapes emerge from the interplay between genetic programs and physical forces. In recent years, there has been a growing appreciation of the role of mechanical forces in morphogenesis. Here, we review how the integration of advanced genetic approaches with high-resolution imaging, biophysics, and modeling has begun to yield new insights into C. elegans embryonic morphogenesis. Building on past reviews in the field, we analyze dorsal intercalation, ventral enclosure, and axis extension, with a focus on how forces impinge on cellular processes and serve to coordinate morphogenesis across adjacent tissues through mechanotransduction. We also discuss how different forms of cellular rosettes contribute to ventral patterning and head morphogenesis, which had not been discussed in previous reviews. Throughout, we highlight how the reciprocal feedback mechanisms between molecular processes and mechanical forces, as well as cell material properties, shape the embryo. Full article
(This article belongs to the Section Tissues and Organs)
Show Figures

Figure 1

12 pages, 586 KB  
Article
Behavioural Time Allocation and Responses to Environmental Enrichment in Zoo-Housed Yellow-Breasted Capuchin Monkeys (Sapajus xanthosternos)
by Djalma da Nobrega Ferreira, Sérgio L. G. Nogueira-Filho, Guillermina Hernández-Cruz, Stella G. C. Lima, Mike Mendl and Selene S. C. Nogueira
J. Zool. Bot. Gard. 2026, 7(2), 17; https://doi.org/10.3390/jzbg7020017 - 2 Apr 2026
Viewed by 399
Abstract
Understanding how environmental enrichment influences behavioural time allocation is particularly important for threatened primate species maintained under human care. Accordingly, we investigated whether environmental enrichment (EE) influences behavioural time allocation in yellow-breasted capuchin monkeys (Sapajus xanthosternos), aiming to inform evidence-based husbandry [...] Read more.
Understanding how environmental enrichment influences behavioural time allocation is particularly important for threatened primate species maintained under human care. Accordingly, we investigated whether environmental enrichment (EE) influences behavioural time allocation in yellow-breasted capuchin monkeys (Sapajus xanthosternos), aiming to inform evidence-based husbandry practices in zoological settings. Employing the standard ethological approach of behavioural coding, we observed 20 capuchins housed in three groups comprising adult and juvenile males and females. We recorded behavioural categories including: aggressive, exploratory, affiliative/play, general activity, alert, inactivity, and abnormal behaviour. To evaluate individual engagement with EE, we applied the ABA paradigm, wherein phases A1 and A2 (controls) represented standard zoo conditions, while phase B corresponded to the implementation of an EE programme. Each phase spanned 10 days, and behavioural data were collected via focal animal sampling (2 × 10 min focal sessions per animal per day), resulting in a total of 1200 focal sessions. Behavioural time allocation was analysed using a multivariate generalized linear mixed modelling approach that accounted for the interdependence among behavioural categories. Based on previous studies, we predicted that environmental enrichment may promote higher levels of play and exploration and lower aggression and inactivity. However, despite by-eye suggestions of increases in play and decreases in activity during enrichment, when behavioural categories were analysed simultaneously within the multivariate framework, overall behaviour time budgets and behavioural diversity were found not to change significantly across experimental phases. There were also no sex or age effects on behaviour. This indicates that for S. xanthosternos, the enrichment protocol used here did not provide sufficient novelty or complexity to alter established activity patterns. Integrated analytical approaches are needed to further evaluate the effectiveness of enrichment strategies to ensure they are tailored to specific cognitive and social needs of complex species; future studies could explore how social dynamics, enclosure design, and environmental complexity interact to shape behavioural responses to enrichment. Full article
Show Figures

Figure 1

15 pages, 1219 KB  
Article
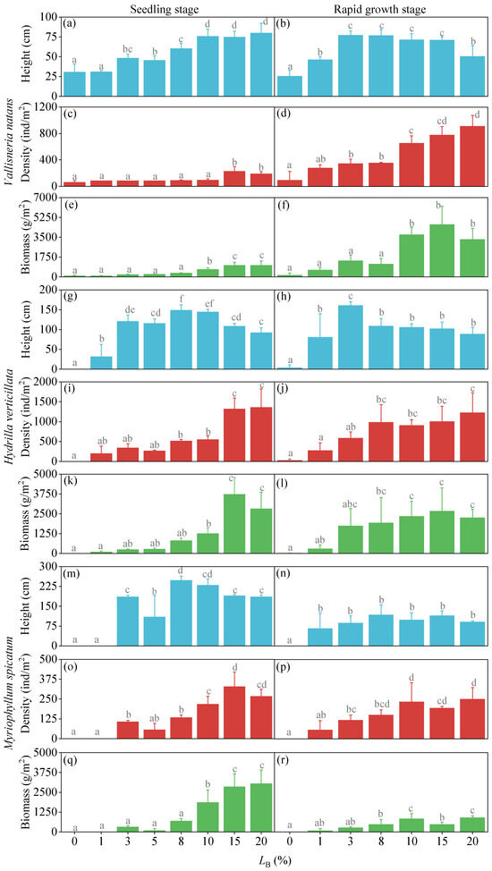
Light Requirement Dynamics in Three Common Submerged Macrophytes: From Establishment to Peak Biomass
by Mengmei Liu, Mansen Liu, Yan Li, Kazi Belal Uddin and Yongjing Zhao
Plants 2026, 15(7), 1066; https://doi.org/10.3390/plants15071066 - 31 Mar 2026
Viewed by 298
Abstract
The deterioration of the underwater light environment is a key driver of submerged vegetation decline in shallow lakes. However, previous studies have largely focused on the short-term light needs of plants, failing to capture their dynamic requirements across the entire growth period. To [...] Read more.
The deterioration of the underwater light environment is a key driver of submerged vegetation decline in shallow lakes. However, previous studies have largely focused on the short-term light needs of plants, failing to capture their dynamic requirements across the entire growth period. To quantify these stage-specific dynamics, we investigated three common submerged macrophytes: the rosette-type Vallisneria natans, erect-type Hydrilla verticillata, and canopy-forming Myriophyllum spicatum. Using mesocosm enclosures, we established eight bottom light gradients (0–20% of ambient light intensity) during both seedling and rapid growth stages to assess growth responses. Key findings are as follows: (1) Light requirements varied by species: V. natans < H. verticillata < M. spicatum. (2) Growth traits exhibited distinct responses: shoot density and biomass increased progressively with light, while plant height showed a unimodal response (increasing then declining), reflecting a shift in energy allocation. (3) Light requirements increased with developmental stage: the light compensation point for V. natans, H. verticillata, and M. spicatum increased from 2.1%, 4.4%, and 4.7% (seedling stage) to 3.3%, 10.5%, and 24.1% (rapid growth stage), respectively. (4) An integrated light–biomass model showed that achieving specific biomass targets required 2.4 to 4.7 times more light during rapid growth than during the seedling stage. This study quantifies stage-specific light requirements for submerged macrophytes, providing a theoretical basis for vegetation restoration and light management in shallow lakes. Full article
(This article belongs to the Section Plant Physiology and Metabolism)
Show Figures

Figure 1

Back to TopTop