Sign in to use this feature.

Years

Between: -

Subjects

remove_circle_outline
remove_circle_outline
remove_circle_outline
remove_circle_outline
remove_circle_outline
remove_circle_outline
remove_circle_outline
remove_circle_outline
remove_circle_outline

Journals

Article Types

Countries / Regions

Search Results (48)

Search Parameters:
Keywords = emission ceiling

Order results
Result details
Results per page
Select all
Export citation of selected articles as:
21 pages, 2257 KB  
Article
Modeling the Thermal Conditions in a Piglet Area with Infrared Heating
by Aleksey Kuzmichev, Aleksei Khimenko, Dmitry Tikhomirov and Dmitry Budnikov
Agriculture 2025, 15(21), 2224; https://doi.org/10.3390/agriculture15212224 - 24 Oct 2025
Viewed by 570
Abstract
A pressing task is to develop a mathematical model and calculation method that most accurately describes the radiant component of heat exchange between an animal and its environment. This will help determine the optimal design parameters and temperature conditions for infrared (IR) heaters [...] Read more.
A pressing task is to develop a mathematical model and calculation method that most accurately describes the radiant component of heat exchange between an animal and its environment. This will help determine the optimal design parameters and temperature conditions for infrared (IR) heaters in livestock premises. The mathematical models considered describe the animal’s heat exchange with the environment during IR heating. However, they do not take into account the hidden surface temperature of the premises’ enclosing structures and their emissivity factor, or the relationship between animal thermal comfort and the IR heater surface temperature. The proposed radiant heat exchange mathematical model is applicable to diffusely absorbing and radiating isothermic surface system typical of pigsties. It takes into account the emissivity factors of all of the enclosing structures’ surfaces and determines the effective (apparent) premises temperature value tef, corresponding to the thermal comfort conditions. The IR heater surface temperature’s dependence on the emissivity of the pigsty’s enclosing structures (walls, ceiling, and floor) is given, calculated using three methods. As the emissivity of the premises’ enclosing structures decreases, the difference between the results obtained via methods 1, 2, and 3 increases significantly and reaches 50…60% at ε = 0.8. The IR heater radiating surface temperature range is defined in order to create suitable thermal conditions on premises designed for keeping 1- to 4-week-old newborn piglets depending on the enclosing structure temperature and emissivity, taking into account hidden heat exchange surfaces. Full article
(This article belongs to the Section Farm Animal Production)
Show Figures

Figure 1

30 pages, 6591 KB  
Article
Net-Zero Energy Retrofitting in Perth’s Residential Sector: Key Features and Strategies for Sustainable Building Transformation
by Taqir Mahmood Romeo, Tahmina Ahsan and Atiq Zaman
Urban Sci. 2025, 9(10), 421; https://doi.org/10.3390/urbansci9100421 - 13 Oct 2025
Viewed by 1596
Abstract
The study aims to identify optimum retrofitting strategies that mitigate climate change and support Australia’s net-zero emissions target by 2050. Current heating and cooling demands, as well as the energy performance of three stand-alone houses built before 2003, were evaluated to determine optimal [...] Read more.
The study aims to identify optimum retrofitting strategies that mitigate climate change and support Australia’s net-zero emissions target by 2050. Current heating and cooling demands, as well as the energy performance of three stand-alone houses built before 2003, were evaluated to determine optimal retrofitting measures. Based on a comprehensive literature review and physical building surveys and energy simulations using FirstRate5 of three selected case studies of stand-alone houses in Australia’s climate zone 5, the study identifies and proposes effective retrofitting opportunities in Western Australia. Additionally, the outcomes from FirstRate5 illustrate that improving ceiling and exterior wall insulation in living and dining areas, sealing air leaks, reducing overshading, and replacing single-glazed windows with double-glazed units while enlarging north-facing windows, following the recommended wall–window ratio significantly improve the energy rating of the selected houses. The average energy rating performance of the three selected stand-alone houses increases from an average below 3.5 stars (211.5 MJ/m2) to above 7.5 stars (46.7 MJ/m2), representing around 76.6% improvement in energy efficiency. Just to contextualise the scale up, such retrofitting of all old stand-alone houses built before 2003 would potentially reduce emissions by 12.73 Mt CO2-e/year, representing a 3.16% contribution toward Australia’s national emission reduction target by 2035. Additionally, installing solar energy systems could reduce an extra 4.5 Mt CO2-e/year. The study’s findings demand robust retrofitting strategies for Australia to achieve its 2050 net-zero emissions targets. Full article
Show Figures

Graphical abstract

21 pages, 1724 KB  
Article
Climate Change Mitigation ODA Improved the Human Development Index but Had a Limited Impact on Greenhouse Gas Mitigation
by Hyunyoung Yang, Jeongyeon Chae and Eunho Choi
Forests 2025, 16(8), 1247; https://doi.org/10.3390/f16081247 - 31 Jul 2025
Viewed by 1016
Abstract
Climate change mitigation Official Development Assistance (ODA) primarily aims to reduce greenhouse gas (GHG) emissions in developing countries while also seeking to enhance human welfare as a fundamental goal of development aid. This study investigates whether climate mitigation ODA contributes to achieving the [...] Read more.
Climate change mitigation Official Development Assistance (ODA) primarily aims to reduce greenhouse gas (GHG) emissions in developing countries while also seeking to enhance human welfare as a fundamental goal of development aid. This study investigates whether climate mitigation ODA contributes to achieving the principles of the doughnut framework—staying within the ecological ceiling (mitigating GHG emissions) while meeting the social foundation (enhancing human development index, HDI). We analyzed data from 77 developing countries between 2010 and 2020, including subgroup analyses by income level (high-, middle-, and low-income groups), using an instrumental variable–fixed effect approach. The results show that climate change mitigation ODA significantly improved the HDI but had no impact on reducing overall GHG emissions, including fossil fuel-based and land use change and forestry-based mitigations. When disaggregated by income level, ODA was found to improve the HDI and reduce fossil fuel-based GHG emission in low-income countries; however, these effects weakened as income levels increased. Across all income groups, there was no significant reduction in GHG emissions resulting from land use change or forestry. These findings suggest that climate change mitigation ODA can yield a greater impact when prioritized for low-income countries and that current ODA strategies for addressing GHG emissions related to land use change and forestry should be reconsidered. Full article
(This article belongs to the Section Forest Economics, Policy, and Social Science)
Show Figures

Graphical abstract

21 pages, 727 KB  
Article
Cost-Effective Energy Retrofit Pathways for Buildings: A Case Study in Greece
by Charikleia Karakosta and Isaak Vryzidis
Energies 2025, 18(15), 4014; https://doi.org/10.3390/en18154014 - 28 Jul 2025
Cited by 3 | Viewed by 2759
Abstract
Urban areas are responsible for most of Europe’s energy demand and emissions and urgently require building retrofits to meet climate neutrality goals. This study evaluates the energy efficiency potential of three public school buildings in western Macedonia, Greece—a cold-climate region with high heating [...] Read more.
Urban areas are responsible for most of Europe’s energy demand and emissions and urgently require building retrofits to meet climate neutrality goals. This study evaluates the energy efficiency potential of three public school buildings in western Macedonia, Greece—a cold-climate region with high heating needs. The buildings, constructed between 1986 and 2003, exhibited poor insulation, outdated electromechanical systems, and inefficient lighting, resulting in high oil consumption and low energy ratings. A robust methodology is applied, combining detailed on-site energy audits, thermophysical diagnostics based on U-value calculations, and a techno-economic assessment utilizing Net Present Value (NPV), Internal Rate of Return (IRR), and SWOT analysis. The study evaluates a series of retrofit measures, including ceiling insulation, high-efficiency lighting replacements, and boiler modernization, against both technical performance criteria and financial viability. Results indicate that ceiling insulation and lighting system upgrades yield positive economic returns, while wall and floor insulation measures remain financially unattractive without external subsidies. The findings are further validated through sensitivity analysis and policy scenario modeling, revealing how targeted investments, especially when supported by public funding schemes, can maximize energy savings and emissions reductions. The study concludes that selective implementation of cost-effective measures, supported by public grants, can achieve energy targets, improve indoor environments, and serve as a replicable model of targeted retrofits across the region, though reliance on external funding and high upfront costs pose challenges. Full article
Show Figures

Figure 1

27 pages, 9005 KB  
Article
Development and Performance of Coconut Fibre Gypsum Composites for Sustainable Building Materials
by María Fernanda Rodríguez-Robalino, Daniel Ferrández, Amparo Verdú-Vázquez and Alicia Zaragoza-Benzal
Buildings 2025, 15(11), 1899; https://doi.org/10.3390/buildings15111899 - 30 May 2025
Cited by 2 | Viewed by 3971
Abstract
In 2022, the building sector accounted for 30% of global energy demand and 27% of CO2 emissions, of which approximately 9% came from building material production. To mitigate this impact, it is critical to develop sustainable alternatives that reduce the environmental footprint [...] Read more.
In 2022, the building sector accounted for 30% of global energy demand and 27% of CO2 emissions, of which approximately 9% came from building material production. To mitigate this impact, it is critical to develop sustainable alternatives that reduce the environmental footprint of construction materials. This paper presents an original study where the effect of coconut fibre as a reinforcing material in gypsum composites is analysed. These plant-based fibres reduce the composite’s density, improve thermal behaviour, and integrate circular economy criteria in construction. In this way, a physico-mechanical characterisation of these novel gypsum-based composites is addressed, and their potential application for developing prefabricated slabs is innovatively explored. Composites were prepared with coconut fibre incorporation in volume up to 17.5%, and mechanical and thermal properties and their behaviour under water action were evaluated. The results indicate that the fibre addition reduced density by about 10.0%, improved flexural strength by 20.5% and compressive strength by 28.4%, and decreased thermal conductivity by 56.3%, which increased the energy efficiency of the building facade by 7.8%. In addition, hydrophobic properties improved, reducing capillary absorption by 15.9% and open porosity by 3.3%. These findings confirm the technical feasibility of coconut fibre-reinforced plaster for application in prefabricated wall and ceiling elements, promoting the efficient use of natural resources and driving the development of sustainable building materials. Full article
(This article belongs to the Collection Sustainable and Green Construction Materials)
Show Figures

Figure 1

20 pages, 3643 KB  
Article
Unlocking Catalytic Efficiency: How Preparation Strategies and Copper Loading Enhance Hydroxyapatite Catalysts for NH3 Oxidation
by Sebastiano Campisi, Melissa Greta Galloni and Antonella Gervasini
Catalysts 2025, 15(4), 405; https://doi.org/10.3390/catal15040405 - 21 Apr 2025
Cited by 2 | Viewed by 1294
Abstract
The selective catalytic oxidation of ammonia (NH3-SCO) is gaining attention due to the hazardous nature of NH3 and its inclusion in emission reduction frameworks such as the National Emission Ceilings Directive and the Gothenburg Protocol (1999). Copper-based hydroxyapatite (Cu/HAP) catalysts [...] Read more.
The selective catalytic oxidation of ammonia (NH3-SCO) is gaining attention due to the hazardous nature of NH3 and its inclusion in emission reduction frameworks such as the National Emission Ceilings Directive and the Gothenburg Protocol (1999). Copper-based hydroxyapatite (Cu/HAP) catalysts have emerged as a promising solution, offering high activity and cost-effectiveness. This study evaluated two preparation methods: a one-pot co-precipitation technique and post-synthesis copper deposition, varying both the contact time and copper concentration. The influence of copper loading and preparation method on catalyst performance in NH3-SCO was investigated in a continuous flow reactor over a temperature range of 200–500 °C, with a fixed gas hourly space velocity (GHSV) of 120,000 h1 and an NH3/O2 ratio of 0.03. X-ray diffraction and DR-UV spectroscopy confirmed the high crystallinity of HAP and provided insights into copper speciation. X-ray photoelectron spectroscopy revealed that Cu/HAP catalysts prepared via one-pot co-precipitation predominantly contained isolated Cu2+ species, which were associated with high catalytic activity in selective NH3-SCO. Conversely, a higher degree of copper structuring was observed in catalysts prepared by post-synthesis deposition, particularly at higher Cu loadings. These findings highlight the potential to tailor Cu structuring on HAP to enhance performance in NH3-SCO through optimized preparation strategies. Full article
(This article belongs to the Special Issue New Trends in Catalysis: ELITECAT 2024)
Show Figures

Graphical abstract

37 pages, 13736 KB  
Article
Identification of the Aeroacoustic Emission Source Regions Within a Ceiling Swirl Diffuser
by Philipp Ostmann, Martin Kremer and Dirk Müller
Acoustics 2025, 7(1), 9; https://doi.org/10.3390/acoustics7010009 - 24 Feb 2025
Cited by 1 | Viewed by 1170
Abstract
The acoustic emissions of ventilation systems and their subcomponents contribute to the perceived overall comfort in indoor environments and are, therefore, the subject of research. In contrast to fans, there is little research on the aeroacoustic properties of air diffusers (often referred to [...] Read more.
The acoustic emissions of ventilation systems and their subcomponents contribute to the perceived overall comfort in indoor environments and are, therefore, the subject of research. In contrast to fans, there is little research on the aeroacoustic properties of air diffusers (often referred to as outlets). This study investigates a commercially available ceiling swirl diffuser. Using a hybrid approach, a detailed three-dimensional large-eddy simulation is coupled with a perturbed wave equation to capture the aeroacoustic processes within the diffuser. The flow model is validated for the investigated operating point of 470 m3/h using laser-optical and acoustic measurements. To identify the noise sources, the acoustic pressure is sampled with various receivers and on cut sections to evaluate the cross-power spectral density, and the sound-pressure level distribution on cut sections is evaluated. It is found that the plenum attenuates the noise near its acoustic eigenmodes and thus dominates other noise sources by several orders of magnitude. By implementing the plenum walls as sound-absorbing, the overall sound-pressure level is predicted to decrease by nearly 10 dB/Hz. Other relevant geometric features are the mounting beam and the guide elements, which are responsible for flow-borne noise emissions near 698 Hz and 2699 Hz, respectively. Full article
Show Figures

Graphical abstract

20 pages, 123864 KB  
Article
Numerical Study on the Characteristics of Hydrogen Leakage, Diffusion and Ventilation in Ships
by Chang-Yong Lee and Sang-Kyun Park
Energies 2025, 18(2), 448; https://doi.org/10.3390/en18020448 - 20 Jan 2025
Cited by 3 | Viewed by 1943
Abstract
Hydrogen is a promising environmentally friendly fuel with the potential for zero-carbon emissions, particularly in maritime applications. However, owing to its wide flammability range (4–75%), significant safety concerns persist. In confined spaces, hydrogen leaks can lead to explosions, posing a risk to both [...] Read more.
Hydrogen is a promising environmentally friendly fuel with the potential for zero-carbon emissions, particularly in maritime applications. However, owing to its wide flammability range (4–75%), significant safety concerns persist. In confined spaces, hydrogen leaks can lead to explosions, posing a risk to both lives and assets. This study conducts a numerical analysis to investigate hydrogen flow within hydrogen storage rooms aboard ships, with the goal of developing efficient ventilation strategies. Through simulations performed using ANSYS-CFX, this research evaluates hydrogen diffusion, stratification, and ventilation performance. A vertex angle of 120° at the ceiling demonstrated superior ventilation efficiency compared to that at 177°, while air inlets positioned on side-wall floors or mid-sections proved more effective than those located near the ceiling. The most efficient ventilation occurred at a velocity of 1.82 m/s, achieving 20 air exchanges per hour. These findings provide valuable insights for the design of safer hydrogen vessel operations. Full article
(This article belongs to the Section B: Energy and Environment)
Show Figures

Figure 1

28 pages, 8618 KB  
Article
Performance Evaluation of Ceiling Cooling with PCM in the Hot-Dry Climate of Yazd, Iran: An Experimental Analysis of Energy, Environmental, and Economic Impacts
by Mehran Rabani, Mina Alafzadeh and Mehrdad Rabani
Buildings 2025, 15(2), 198; https://doi.org/10.3390/buildings15020198 - 10 Jan 2025
Cited by 6 | Viewed by 2556
Abstract
The present study investigates experimental cooling from the ceiling using phase change materials (PCMs) in Yazd, a city characterized by a hot and dry climate. A one-fourth scale model of a real room, measuring 4 m × 3 m × 3 m, was [...] Read more.
The present study investigates experimental cooling from the ceiling using phase change materials (PCMs) in Yazd, a city characterized by a hot and dry climate. A one-fourth scale model of a real room, measuring 4 m × 3 m × 3 m, was employed for the analysis. To evaluate system performance and the impact of PCM on energy consumption reduction, three configurations were considered: a simple PCM system, a PCM system with a fan (PCM-F), and a PCM system with a mini cooler (PCM-C). Additionally, to assess the influence of window configurations on ventilation, temperature, and comfort conditions within the model, three scenarios were examined: two open windows, one open window, and no windows. The economic analysis compared the two systems with the fan and mini cooler against a full mechanical cooling system without PCMs. Furthermore, CO2 emissions and environmental impacts associated with the systems were also evaluated. The results indicate that the presence of PCMs in the ceiling, due to heat absorption during phase change, leads to a temperature reduction of 5 to 10 °C in the ceiling and a 3.2 °C reduction in the average room temperature compared to the scenario without PCMs. The findings demonstrate that ceiling cooling with PCMs significantly contributes to energy consumption reduction during peak hours of cooling demand. Specifically, the PCM-F system results in a 92% reduction, and the PCM-C system leads to a 71% reduction in total cost compared to the reference mechanical cooling system. Additionally, the PCM-F system achieves approximately a 36% reduction, and the PCM-C system results in a 34% reduction in environmental impact relative to the reference full mechanical cooling system. Full article
(This article belongs to the Collection Buildings for the 21st Century)
Show Figures

Figure 1

23 pages, 1961 KB  
Article
Quantification of Carbon Emissions of Building Decoration Processes
by Lianxiang Zhang, Huanyu Wu, Xin Wang, Fugui Wu, Zhikun Ding, Lei Song, Xin Rong, Jing Liu, Xin Wen and Ping Zhong
Buildings 2024, 14(11), 3570; https://doi.org/10.3390/buildings14113570 - 9 Nov 2024
Cited by 3 | Viewed by 1696
Abstract
The continuous growth in building decoration activities has led to significant energy and material consumption, increasing carbon emissions in the construction sector. Existing literature frequently overlooks the carbon impact of building decorations. This study employs the life cycle assessment (LCA) method to quantify [...] Read more.
The continuous growth in building decoration activities has led to significant energy and material consumption, increasing carbon emissions in the construction sector. Existing literature frequently overlooks the carbon impact of building decorations. This study employs the life cycle assessment (LCA) method to quantify the carbon emissions associated with building decorations across five typic building types: residential, hospital, educational, sports cultural, and office buildings. Data were gathered using a mix of field investigations, document reviews, and semi-structured interviews, ensuring comprehensive coverage of all life cycle stages. The results reveal that carbon emission intensities of the studied building decorations ranged from 70.01 to 298.79 kg CO2 eq/m2, with the lowest emissions found in educational buildings and the highest in sports and cultural buildings. The decoration material production stage consistently emerges as the major contributor to emissions, accounting for over 50% of the life cycle of carbon emissions across all building types. The transportation stage also represents a significant share, contributing 18.6% to 24.5% across the building types. It also indicates that ceiling engineering as well as wall and column engineering are the primary carbon emission sources in terms of decoration activities. This study systematically compares the carbon emission characteristics of building decorations across multiple building types, addressing a gap that has been largely overlooked in the existing literature. It highlights the key sources of carbon emissions and proposes targeted mitigation strategies. The findings also suggest future research directions, including the application of innovative low-carbon materials, advanced construction technologies, and optimization of logistics. These insights lay a solid foundation for future low-carbon design and construction practices within the building sector. Full article
(This article belongs to the Section Building Materials, and Repair & Renovation)
Show Figures

Figure 1

25 pages, 3969 KB  
Article
A Carbon Benefits-Based Signal Control Method in a Connected Environment
by Zhen Kang, Lianhua An, Xiaoguang Yang and Jintao Lai
Appl. Sci. 2024, 14(17), 7638; https://doi.org/10.3390/app14177638 - 29 Aug 2024
Viewed by 1362
Abstract
This study proposes an innovative carbon benefits-based signal control method for connected vehicle (CV) environments, aiming to reduce carbon emissions at urban intersections. By integrating a Carbon Inclusion Mechanism (CIM), the proposed approach offers carbon rewards to vehicles adhering to speed guidance. The [...] Read more.
This study proposes an innovative carbon benefits-based signal control method for connected vehicle (CV) environments, aiming to reduce carbon emissions at urban intersections. By integrating a Carbon Inclusion Mechanism (CIM), the proposed approach offers carbon rewards to vehicles adhering to speed guidance. The method exhibits the following features: (i) higher ceiling of carbon emissions reduction at signal control intersection; (ii) higher compliance rate (CR) of vehicles by taking advantage of carbon economic incentives; (iii) a method for calculating carbon emissions reduction at the intersection. To validate the effectiveness, performance evaluations of emissions, stop frequencies, and delays were conducted through microscopic simulation. Sensitivity analysis encompassed various traffic demands, different CRs of carbon-benefit connected vehicles (CBCVs), and unbalanced traffic demand. The results demonstrated that the proposed method excels in reducing traffic emissions, stop frequencies, and delays. Specifically, carbon emissions were reduced by 5.24% to 17.60%, stop frequencies decreased by 14.8% to 75.4%, and delays were reduced by 22.82% to 52.62%. By utilizing connected vehicle technology and CIM, this study contributes to sustainable urban traffic management, laying a foundation for future research and the practical implementation of emission reduction strategies. Full article
(This article belongs to the Section Transportation and Future Mobility)
Show Figures

Figure 1

19 pages, 3670 KB  
Article
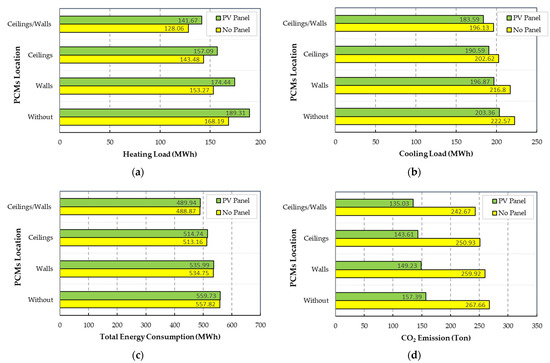
The Use of PCMs and PV Solar Panels in Higher Education Buildings towards Energy Savings and Decarbonization: A Case Study
by Mojtaba Sedaghat, Amir Hossein Heydari and Paulo Santos
Buildings 2024, 14(9), 2691; https://doi.org/10.3390/buildings14092691 - 28 Aug 2024
Cited by 1 | Viewed by 2499
Abstract
Buildings are one the largest energy-consuming sectors in the world, and it is crucial to find solutions to reduce their energy consumption. One way to evaluate these solutions is using building simulation software, which provides a comprehensive perspective. In this article, using DesignBuilder [...] Read more.
Buildings are one the largest energy-consuming sectors in the world, and it is crucial to find solutions to reduce their energy consumption. One way to evaluate these solutions is using building simulation software, which provides a comprehensive perspective. In this article, using DesignBuilder software (v 6.1), the effect of using phase-change materials (PCMs) on the external walls and ceiling of the Department of Mechanical Engineering of Shahid Beheshti University (Tehran, Iran) has been investigated. The methodology involves the use of a layer of PCMs for three locations: (1) on the walls; (2) on the ceiling; and (3) on both the walls and ceiling, with/without PV panels, which leads to seven scenarios (alongside the reference one). The result shows that using PCMs has a greater impact on the heating load than the cooling one and is more effective on ceilings than walls. For the simultaneous use of PCMs in the ceilings and walls, the heating and cooling loads, in comparison with the initial condition of the building, are reduced by 24%, and 12%, respectively. When using solar panels, the heating load increases by 12.6%, and the cooling load decreases by 8.6%, whereas the total energy consumption of the building is fairly constant when using both PV panels and PCMs. In these last conditions, the primary evaluated values shifted significantly. Notably, CO2 emissions saw a nearly 50% reduction, making the simultaneous use of PV panels and PCMs on both walls and ceilings the best performance option. Full article
Show Figures

Figure 1

13 pages, 2308 KB  
Article
Characteristics of Ice Super Saturated Regions in Washington, D.C. Airspace (2019–2023)
by Kayla Ebright and Lance Sherry
Aerospace 2024, 11(7), 587; https://doi.org/10.3390/aerospace11070587 - 17 Jul 2024
Cited by 1 | Viewed by 1970
Abstract
Contrails are estimated to contribute 2% of the Earth’s anthropogenic global warming. Contrails are ice crystal clouds formed by the emission of soot and water vapor from jet engines in atmospheric conditions known as Ice Super Saturated (ISS) regions. The formation of contrails [...] Read more.
Contrails are estimated to contribute 2% of the Earth’s anthropogenic global warming. Contrails are ice crystal clouds formed by the emission of soot and water vapor from jet engines in atmospheric conditions known as Ice Super Saturated (ISS) regions. The formation of contrails can be avoided by flying over or under the ISS regions. Aircraft operators/dispatchers and air traffic control need to know the location of ISS regions in a given airspace to flightplan to avoid contrails. This paper describes the statistics for the presence of ISS regions in the airspace over metropolitan Washington, D.C. These statistics can be used to better understand the operational implications for contrail avoidance. Based on the measurements taken from the twice-daily launch of an aerosonde from Sterling, Virginia (adjacent to Washington, D.C.), analysis of five years of data (2019–2023) indicated that this airspace experiences ISS regions 40% of the days. ISS regions were equally likely during daylight hours (26%) than nighttime (27%). The vertical depth of the ISS region averaged 3000 feet but with a median of 2000 feet. The ISS region floor and ceiling varied by season, with an annual average floor of FL330 and ceiling of FL360. The implications of these results on the operations to avoid contrails, limitations, and future work are discussed. Full article
Show Figures

Figure 1

11 pages, 2625 KB  
Article
Correlation of Presynaptic and Postsynaptic Proteins with Pathology in Alzheimer’s Disease
by Geidy E. Serrano, Jessica Walker, Courtney Nelson, Michael Glass, Richard Arce, Anthony Intorcia, Madison P. Cline, Natalie Nabaty, Amanda Acuña, Ashton Huppert Steed, Lucia I. Sue, Christine Belden, Parichita Choudhury, Eric Reiman, Alireza Atri and Thomas G. Beach
Int. J. Mol. Sci. 2024, 25(6), 3130; https://doi.org/10.3390/ijms25063130 - 8 Mar 2024
Cited by 8 | Viewed by 3095
Abstract
Synaptic transmission is essential for nervous system function and the loss of synapses is a known major contributor to dementia. Alzheimer’s disease dementia (ADD) is characterized by synaptic loss in the mesial temporal lobe and cerebral neocortex, both of which are brain areas [...] Read more.
Synaptic transmission is essential for nervous system function and the loss of synapses is a known major contributor to dementia. Alzheimer’s disease dementia (ADD) is characterized by synaptic loss in the mesial temporal lobe and cerebral neocortex, both of which are brain areas associated with memory and cognition. The association of synaptic loss and ADD was established in the late 1980s, and it has been estimated that 30–50% of neocortical synaptic protein is lost in ADD, but there has not yet been a quantitative profiling of different synaptic proteins in different brain regions in ADD from the same individuals. Very recently, positron emission tomography (PET) imaging of synapses is being developed, accelerating the focus on the role of synaptic loss in ADD and other conditions. In this study, we quantified the densities of two synaptic proteins, the presynaptic protein Synaptosome Associated Protein 25 (SNAP25) and the postsynaptic protein postsynaptic density protein 95 (PSD95) in the human brain, using enzyme-linked immunosorbent assays (ELISA). Protein was extracted from the cingulate gyrus, hippocampus, frontal, primary visual, and entorhinal cortex from cognitively unimpaired controls, subjects with mild cognitive impairment (MCI), and subjects with dementia that have different levels of Alzheimer’s pathology. SNAP25 is significantly reduced in ADD when compared to controls in the frontal cortex, visual cortex, and cingulate, while the hippocampus showed a smaller, non-significant reduction, and entorhinal cortex concentrations were not different. In contrast, all brain areas showed lower PSD95 concentrations in ADD when compared to controls without dementia, although in the hippocampus, this failed to reach significance. Interestingly, cognitively unimpaired cases with high levels of AD pathology had higher levels of both synaptic proteins in all brain regions. SNAP25 and PSD95 concentrations significantly correlated with densities of neurofibrillary tangles, amyloid plaques, and Mini Mental State Examination (MMSE) scores. Our results suggest that synaptic transmission is affected by ADD in multiple brain regions. The differences were less marked in the entorhinal cortex and the hippocampus, most likely due to a ceiling effect imposed by the very early development of neurofibrillary tangles in older people in these brain regions. Full article
(This article belongs to the Special Issue Molecular Mechanisms of Brain Wiring)
Show Figures

Figure 1

34 pages, 26716 KB  
Article
Energy Performance of Room Air-Conditioners and Ceiling Fans in Mixed-Mode Buildings
by Sriraj Gokarakonda, Christoph van Treeck, Rajan Rawal and Stefan Thomas
Energies 2023, 16(19), 6807; https://doi.org/10.3390/en16196807 - 25 Sep 2023
Cited by 2 | Viewed by 5897
Abstract
Studies show that people can tolerate elevated temperatures in the presence of appreciable air movement (e.g., from using ceiling fans). This minimises the use of air-conditioners and extends their set-point temperature (Tset), resulting in energy savings in space [...] Read more.
Studies show that people can tolerate elevated temperatures in the presence of appreciable air movement (e.g., from using ceiling fans). This minimises the use of air-conditioners and extends their set-point temperature (Tset), resulting in energy savings in space cooling. However, there is little empirical evidence on the energy savings from using ceiling fans with Room Air-Conditioners (RACs). To address this gap, we analysed the energy performance of RACs with both fixed-speed compressors and inverter technology at different set-point temperatures and ceiling fan speed settings in 15 residential Mixed-Mode Buildings (MMBs) in India. Thermal comfort conditions (as predicted by the Indian Model for Adaptive Comfort-Residential (IMAC-R)) with minimum energy consumption were maintained at a set-point temperature (Tset) of 28 and 30 C and a fan speed setting of one. Compared with a Tset of 24 °C, a Tset of 28 and 30 °C resulted in energy savings of 44 and 67%, respectively. With the use of RACs, a configuration with a minimum fan speed was satisfactory for an optimal use of energy and for maintaining the conditions of thermal comfort. In addition, RACs with inverter technology used 34–68% less energy than fixed-speed compressors. With the rising use of RACs, particularly in tropical regions, the study’s outcomes offer a significant potential for reducing space-cooling energy consumption and the resultant greenhouse gas (GHG) emissions. Full article
(This article belongs to the Topic Building Energy Efficiency)
Show Figures

Figure 1

Back to TopTop