Energy Performance of Room Air-Conditioners and Ceiling Fans in Mixed-Mode Buildings
Abstract
:1. Introduction
1.1. Overview
1.2. Tolerating Elevated Temperatures with Appreciable Air Speed
1.3. Space-Cooling Energy Savings with Fan Usage
- By reducing the duration of RAC usage. That is, occupants are more likely to use ceiling fans than RACs if thermal comfort can be maintained only with fan usage, which consumes lesser energy. Based on a study of human thermal comfort in an environmental chamber [12] found that an increase in the indoor air velocity () between 0.5 and 1.0 m/s compensated for an increase in the indoor air temperature () from 2.8 to 3.3 C and could save 15–18% energy. The energy savings were calculated by using the estimate from the United States National Bureau of Standards (USNBS) that a 1 C increase in the set-point temperature () results in 6% energy savings. Ref. [14] concluded that ceiling fans could reduce the use of air-conditioning by 15%. Ref. [20] estimated that space cooling consumption in Australia could be reduced by 76% by using fans with air speeds up to 1.2 m/s when compared with using RACs alone, based on the USNBS’s estimate.
- By extending the set-point temperature (). This means that the occupants are more likely to use RACs with an extended set-point temperature () when they are presented with an acceptable indoor air velocity (). The use of RACs at an extended set-point temperature saves more energy than the additional energy consumption of the ceiling fan. In office spaces with RACs in Ghana, Ref. [21] estimated simulated energy savings from 8 to 33% and from 12 to 44%, respectively, by increasing the from 21 to 25 C during peak and from 22 to 26 C during low outdoor conditions. Compared to a static set-point temperature, an adaptive set-point temperature (i.e., based on adaptive thermal comfort models) reduces energy consumption because an adaptive set-point temperature is usually higher than a static set-point temperature, which is typically set between 22 and 24 C [22,23]. In a review, Ref. [24] found that most studies had reported an average energy savings from 6 to 10% per 1 C rise in the set-point temperature ().
1.4. Room Air-Conditioner and Ceiling Fan Usage in India
1.5. Research Gaps and Motivation
- The usage of RACs with ceiling fans, especially at high fan speed settings, may increase the convective heat transfer from the interiors. It is unclear whether the static or dynamic values for indoor-surface heat transfer coefficient assumed in simulated studies sufficiently represent the actual values [31]. Furthermore, heat dissipation may occur from fan motors. These factors can lead to an increase in the indoor air temperature (). This increases the space cooling load and reduces the expected energy savings due to ceiling fan usage. A pilot study has provisionally shown that the use of ceiling fans with RACs could increase the indoor operative temperature () in Indian buildings [32].
- The relationship between the set-point temperature (), indoor conditions and RAC energy consumption in Indian Mixed-Mode Buildings (MMBs) is unclear. The Bureau of Energy Efficiency (BEE) estimates that rising the set-point temperature () in offices from a typical temperature of 20 C to 24 C will result in 23 billion units of electricity nationally by 2030. This is by applying the USNBS’s estimate [33]. However, studies show that an adaptive set-point temperature is sufficient to achieve comfortable indoor conditions as predicted by the Indian Model for Adaptive Comfort (IMAC) model and results in significant energy savings [34]. Moreover, as most people already prefer a of 24–26 C, as shown in a residential RAC survey by [28], the energy savings estimated by the BEE may be simplistic and unrealistic.
- Most thermal comfort studies from India on the ability to tolerate elevated air temperatures in the presence of air velocity were conducted in naturally-ventilated buildings. Where RACs are available, it is uncertain whether the occupants actually tolerate the elevated air temperatures predicted by the thermal comfort studies prior to switching on the RACs. For example, people who can tolerate an indoor operative temperature () of 32 C may tend to switch on the RACs at a of 30 C if the RACs are available. Without a corresponding increase in the set-point temperature () (i.e., extended ), the use of ceiling fans results in additional energy consumption [35].
1.6. Objectives of the Study
- What is the extent of energy savings when ceiling fans are used with Room Air-Conditioners (RACs)?
- What is the extent of energy savings due to an extended set-point temperature ()?
2. Materials and Methods
2.1. Location of the Study
2.2. Procedure of the Study
- An experiment, primarily to analyse the indoor conditions and energy consumption due to changes in the set-point temperature () and fan speed settings (FSSs).
- An analysis of RAC user behaviour (limited to switching the RAC on and off) in relation to the indoor conditions.
2.2.1. Experiment
2.2.2. RAC User Behaviour Analysis
2.3. Instruments, Measurements and Data Collection
2.3.1. Instruments
- A comfort module was used to record the indoor conditions, i.e., indoor air temperature (), globe temperature () and relative humidity (). The comfort module was carefully placed to avoid any proximate heat sources (e.g., windows) or heat sinks (e.g., RAC), and a near uniform, well-mixed temperature across the room could be assumed when ceiling fans were used, as observed in [11,37].
- An energy module was placed between the main supply and the RACs and recorded the values of the power (P), voltage (V), current (I) and power factor () ( is the ratio of working power (kW) to apparent power (kVA); a high power factor means a high degree of efficiency)) from the RACs.
- An Infrared (IR) emitter module automatically switched the RACs on and off at the required as shown in Table 2. It also changed the fan speed setting every day as shown in Table 3. All ceiling fans had wall-mounted speed controllers, except two superefficient ceiling fans with IR remote controllers. For ceiling fans without remote controllers, an USHA IR fan speed setting controller receiving unit was fixed under the fan canopy to enable remote control via the IR emitter module.
2.3.2. Measurements
2.3.3. Data Collection
2.4. Data Cleaning
- Occasional missing data and stray RAC compressor cycles. If the duration of such missing data was less than 10 min, the data were linearly interpolated between the timestamps with the available data.
- Missing records due to load shedding or power outages. If the duration of missing data was greater than 10 min, the data were not included in the analysis.
- In the case of samples V1, H2 and H3, all records of the comfort module were missing due to a damaged Real Time Clock (RTC) module or a faulty connection between the sensor and the board. However, their energy module data were included in the analysis. The indoor air temperature and relative humidity were missing in sample V6, and therefore, only its globe temperature was considered for the analysis as a substitute for the indoor air temperature.
3. Results
3.1. Outdoor Conditions
3.2. Indoor Conditions
3.2.1. Temperature
3.2.2. Relative Humidity
3.2.3. Ceiling Fan Speed Setting and Air Velocity
3.3. Energy Consumption
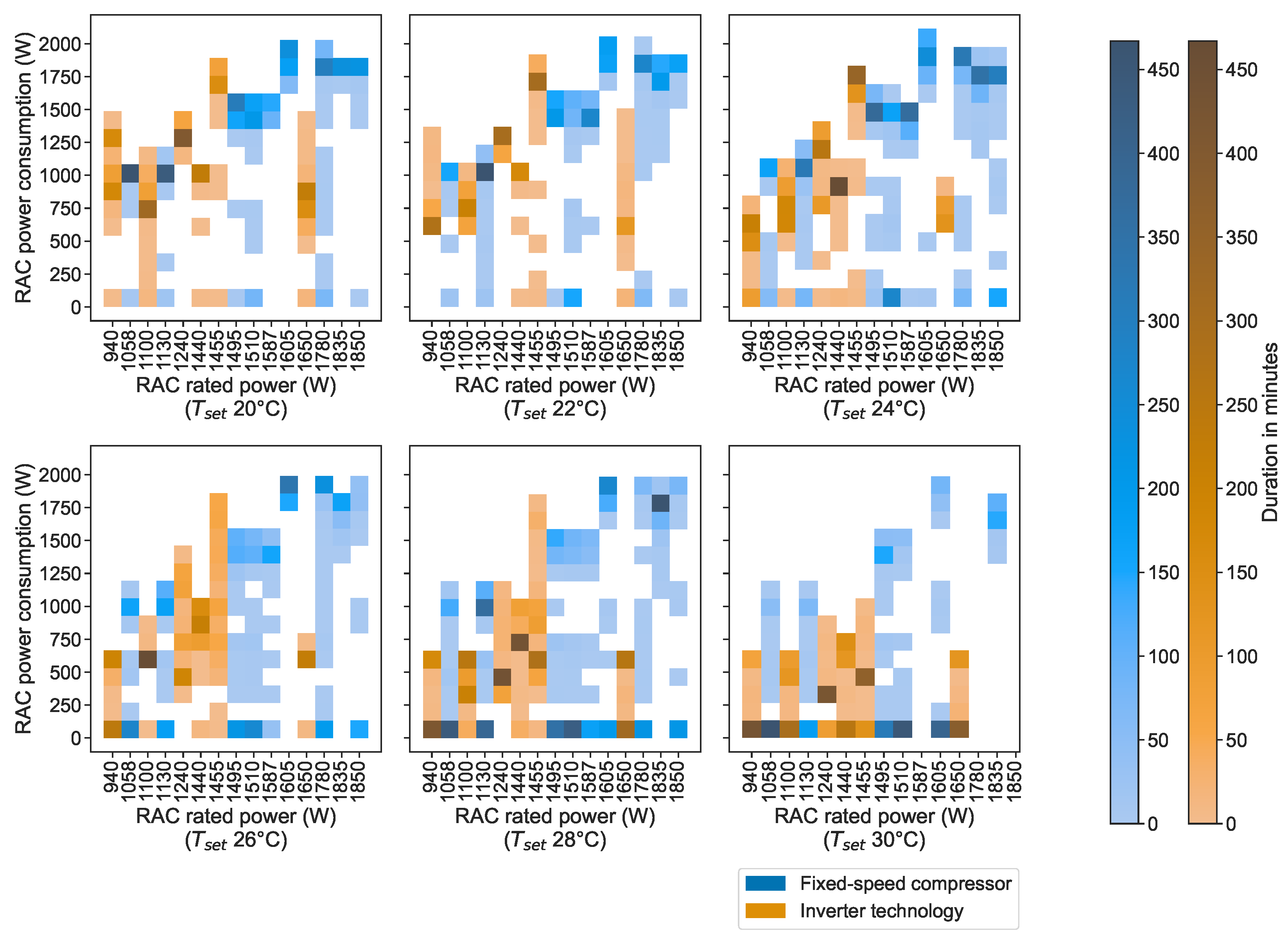
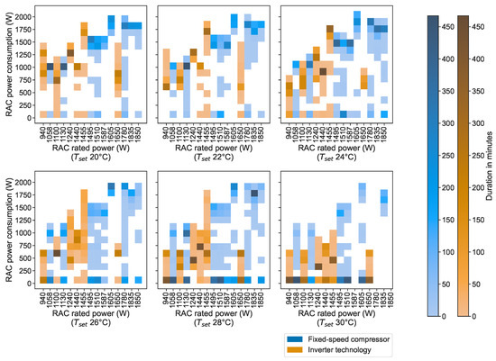
3.3.1. RAC Power Usage
3.3.2. Ceiling Fan Power Usage
3.3.3. Total Energy Consumption
3.3.4. Energy Saving due to Extended Set-Point Temperature
- = measured RAC energy consumption (kWh);
- = cooling degree days with set-point temperature as base temperature during the study period (−);
- = cooling degree days with set-point temperature as base temperature according to 10-year average weather data (−).

3.3.5. Variation in RAC Energy Consumption due to Its Efficiency and Technology and Room Size and Construction
3.4. RAC User Behaviour
4. Discussion
4.1. Limits for Tolerating Elevated Temperatures with Air Speed
4.2. Effect of Ceiling Fan Operation on Indoor Temperature and Energy Consumption
4.3. RAC Energy Savings due to Air Speed
- First, did the use of the fan lead to a reduction in the duration of RAC use?
- Second, whether the use of fans or an increase in fan speed setting resulted in extending the set-point temperature ()?
4.4. RAC Energy Savings due to Set-Point Temperature and Operation
4.5. Strengths and Limitations of the Methodology
- Bedrooms in residential buildings are unoccupied during the day making it convenient to test different set-point temperatures and fan speed settings.
- The results of the study reflect the actual usage times of the RACs in residential buildings (see Section 1.4)
- A range of housing typologies were covered, e.g., single-family houses (one-, two- and three-storey buildings) and multifamily houses (e.g., apartments with up to seven storeys).
- The study results are also applicable to small offices, as most share similar characteristics of space size, construction, RAC type and cooling capacity.
- Where there was a significant effect on the results due to building (age, orientation and surroundings) or RAC specifications, this was discussed in the results (see Section 3.3.5).
- The sample size for RAC energy consumption (15), indoor conditions (12) and RAC user behaviour analysis (6) was limited. However, weather-normalised energy savings were presented for the study period. The study period was limited to 24 days and did not cover the entire cooling season. However, it coincided with extreme outdoor weather conditions in one city and near extreme weather conditions in the other city. In addition, apart from survey-based studies, there are few field studies that have exclusively monitored RAC energy consumption and indoor conditions in India. One field study of RAC use in India used a sample size of eight dwellings and analysed data for 30 days [29].
- This is not a thermal comfort study and therefore, an exclusive user survey on thermal comfort or RAC usage behaviour was not conducted.
5. Conclusions
Author Contributions
Funding
Informed Consent Statement
Data Availability Statement
Acknowledgments
Conflicts of Interest
Acronyms
| ABS | Acrylonitrile Butadiene Styrene |
| BEE | Bureau of Energy Efficiency |
| EER | Energy Efficiency Ratio |
| EPW | Energy Plus Weather Format |
| FSS | fan speed setting |
| GHG | greenhouse gas |
| HTTP | Hypertext Transfer Protocol |
| IMAC | Indian Model for Adaptive Comfort |
| IMAC-R | Indian Model for Adaptive Comfort-Residential |
| IoT | Internet of Things |
| IR | Infrared |
| ISEER | Indian Seasonal Energy Efficiency Ratio |
| JST | Japan Solderless Terminal |
| MEPS | Minimum Efficiency Performance Standards |
| MMB | Mixed-Mode Building |
| NBC | National Building Code |
| NV | naturally-ventilated |
| PF | Power Factor |
| PHP | Hypertext Preprocessor |
| RAC | Room Air-Conditioner |
| RCC | Reinforced Cement Concrete |
| RPM | rotations per minute |
| RTC | Real Time Clock |
| S&L | Standards and Labelling |
| TMY | Typical Meteorological Year |
| TSI | Tropical Summer Index |
| UPVC | Unplasticised Polyvinyl Chloride |
| USNBS | United States National Bureau of Standards |
| WWR | Window-to-Wall (area) Ratio |
Nomenclature
| Symbol | Description | Unit |
| cooling degree days with set-point temperature as base temperature according to 10-year average weather data | - | |
| cooling degree days with set-point temperature as base temperature during the study period | - | |
| cubic meter per minute | ||
| difference between total energy consumption at various fan speed settings and fan speed setting 1 | ||
| measured RAC energy consumption | ||
| weather normalised RAC energy consumption | ||
| F | frequency | |
| I | current | |
| power factor | - | |
| P | power | |
| difference between instantaneous mean relative humidity when the RACs were turned on and off | % | |
| relative humidity | % | |
| difference between mean indoor air temperature at various fan speed settings and fan speed setting 1 | ||
| globe temperature | ||
| indoor air temperature | ||
| mean radiant temperature | ||
| neutral operative temperature | ||
| difference between instantaneous mean air temperature when the RACs were turned on and off | ||
| indoor operative temperature | ||
| outdoor air temperature | ||
| set-point temperature | ||
| V | voltage | |
| internal surface heat transfer coefficient | ||
| indoor air velocity | ||
| U-value | thermal transmittance |
Appendix A. Instrumentation
Appendix A.1. Instrument Sensors and Components
| Module | Make of the Sensor or Component | Library | Measurement/Description | Unit | Accuracy |
|---|---|---|---|---|---|
| Comfort module | Wemos SHT30 (Sensirion SHT30 sensor) | [36] | Indoor air temperature () | C | ±3 |
| Relative humidity () | % | ±0.3 | |||
| Maxim Integrated DS18B20 | [52] | Globe temperature () | C | ±0.5 | |
| Generic SD card + RTC module | [53,54] | SD card for data logging and RTC to record the timestamp | |||
| Energy module | PZEM–004T 3.0 TTL Modbus–RTU by peacefair | [55] | Voltage (V) | V | ±0.5% |
| Current (I) | Amp | ±0.5% | |||
| Power (P) | W | ±0.5% | |||
| Power factor (PF) | - | ±0.5% | |||
| Frequency (F) | Hz | ±0.5% | |||
| Generic SD card + RTC module | [53,54] | SD card for data logging and RTC to record the timestamp | |||
| IR emitter module | Grove–Infrared Emitter (VISHAY TSAL6200 IR LED) | [56] | IR emitter LED | ||
| Generic RTC module | [53] | RTC module to keep time | |||
| Ceiling fan remote control | USHA IR remote controller | Speed controller for ceiling fan | |||
| Hot wire anemometer | Trotec TA 300 | Indoor air velocity () | m/s | ±5% | |
| Clamp on multimeter | KAIWEETS HT206B Current Clamp Meter | Voltage (V) | V | ±(1%+3) | |
| Current (I) | Amp | ±(2.5%+5) |
Appendix A.2. Custom-Built Modules Used in the Study
Appendix A.2.1. Base Data-Logger Unit

Appendix A.2.2. Comfort Module

Appendix A.2.3. IR Modules

Appendix A.2.4. Energy Module

Appendix A.3. IoT Communication
Appendix B. Representative Pictures of the Samples




Supplementary Figures

References
- IEA. Cooling. Available online: https://www.iea.org/energy-system/buildings/space-cooling (accessed on 28 August 2023).
- Indraganti, M. Thermal adaption and impediments: Findings from a field study in Hyderabad, India. In Proceedings of the Adapting to Change: New Thinking on Comfort Cumberland Lodge, Windsor, UK, 9–11 April 2010. [Google Scholar]
- Honnekeri, A.; Brager, G.; Dhaka, S.; Mathur, J. Comfort and adaptation in mixed-mode buildings in a hot-dry climate. In Proceedings of the 8th Windsor Conference, Windsor, UK, 10–13 April 2014. [Google Scholar]
- Indraganti, M.; Ooka, R.; Rijal, H.B.; Brager, G.S. Drivers and barriers to occupant adaptation in offices in India. Archit. Sci. Rev. 2015, 58, 77–86. [Google Scholar] [CrossRef]
- Yawale, S.K.; Hanaoka, T.; Kapshe, M. Development of energy balance table for rural and urban households and evaluation of energy consumption in Indian states. Renew. Sustain. Energy Rev. 2021, 136, 110392. [Google Scholar] [CrossRef]
- BEE. Bureau of Energy Efficiency (Particulars and Manner of their Display on Labels of Room Air Conditioners) Regulations. 2017. Available online: https://beestarlabel.com/Content/Files/IAC_Notification.pdf (accessed on 15 October 2022).
- Rawal, R.; Shukla, Y.; Vardhan, V.; Asrani, S.; Schweiker, M.; de Dear, R.; Garg, V.; Mathur, J.; Prakash, S.; Diddi, S.; et al. Adaptive thermal comfort model based on field studies in five climate zones across India. Build. Environ. 2022, 219, 109187. [Google Scholar] [CrossRef]
- ANSI/ASHRAE 55-2020; Thermal Environmental Conditions for Human Occupancy. American National Standards Institute ASHRAE: Washington, DC, USA, 2020.
- Givoni, B. Man, Climate and Architecture; Elsevier: Amsterdam, The Netherlands, 1969. [Google Scholar]
- Epstein, Y.; Moran, D.S. Thermal comfort and the heat stress indices. Ind. Health 2006, 44, 388–398. [Google Scholar] [CrossRef]
- Luo, M.; Zhang, H.; Wang, Z.; Arens, E.; Chen, W.; Bauman, F.S.; Raftery, P. Ceiling-fan-integrated air-conditioning: Thermal comfort evaluations. Build. Cities 2021, 2, 928–951. [Google Scholar] [CrossRef]
- Rohles, F.H.; Konz, S.A.; Jones, B.W. Enhancing Thermal Comfort with Ceiling Fans. In Proceedings of the Human Factors Society Annual Meeting; SAGE Publications: Los Angeles, CA, USA, 1982. [Google Scholar] [CrossRef]
- Zhai, Y.; Zhang, Y.; Zhang, H.; Pasut, W.; Arens, E.; Meng, Q. Human comfort and perceived air quality in warm and humid environments with ceiling fans. Build. Environ. 2015, 90, 178–185. [Google Scholar] [CrossRef]
- He, Y.; Chen, W.; Wang, Z.; Zhang, H. Review of fan-use rates in field studies and their effects on thermal comfort, energy conservation, and human productivity. Energy Build. 2019, 194, 140–162. [Google Scholar] [CrossRef]
- Sharma, M.R.; Ali, S. Tropical summer index—A study of thermal comfort of Indian subjects. Build. Environ. 1986, 21, 11–24. [Google Scholar] [CrossRef]
- Manu, S.; Shukla, Y.; Rawal, R.; Thomas, L.E.; Dear, R.; Dave, M.; Vakharia, M. Assessment of Air Velocity Preferences and Satisfaction for Naturally Ventilated Office Buildings in India. In Proceedings of the Passive and Low Energy Architecture (PLEA) Annual International Conference, Ahmedabad, India, 16–18 December 2014. p. 8.
- Kumar, S.; Mathur, J.; Mathur, S.; Singh, M.K.; Loftness, V. An adaptive approach to define thermal comfort zones on psychrometric chart for naturally ventilated buildings in composite climate of India. Build. Environ. 2016, 109, 135–153. [Google Scholar] [CrossRef]
- Sansaniwal, S.K.; Tewari, P.; Kumar, S.; Mathur, S.; Mathur, a.J. Impact assessment of air velocity on thermal comfort in composite climate of India. Sci. Technol. Built Environ. 2020, 26, 1301–1320. [Google Scholar] [CrossRef]
- BIS. National Building Code; Bureau of Indian Standards: New Delhi, India, 2016; Volume 2.
- Malik, A.; Bongers, C.; McBain, B.; Rey-Lescure, O.; Dear, R.d.; Capon, A.; Lenzen, M.; Jay, O. The potential for indoor fans to change air conditioning use while maintaining human thermal comfort during hot weather: An analysis of energy demand and associated greenhouse gas emissions. Lancet Planet. Health 2022, 6, e301–e309. [Google Scholar] [CrossRef] [PubMed]
- Amoabeng, K.O.; Opoku, R.; Boahen, S.; Obeng, G.Y. Analysis of indoor set-point temperature of split-type ACs on thermal comfort and energy savings for office buildings in hot-humid climates. Energy Built Environ. 2023, 4, 368–376. [Google Scholar] [CrossRef]
- Angelopoulos, C.; Cook, M.J.; Spentzou, E.; Shukla, Y. Energy Saving Potential of Different Setpoint Control Algorithms in Mixed-Mode Buildings. In Proceedings of the BSO 2018, Cambridge, UK, 11–12 September 2018; p. 8. [Google Scholar]
- Bienvenido-Huertas, D.; Sánchez-García, D.; Pérez-Fargallo, A.; Rubio-Bellido, C. Optimization of energy saving with adaptive setpoint temperatures by calculating the prevailing mean outdoor air temperature. Build. Environ. 2020, 170, 106612. [Google Scholar] [CrossRef]
- Lamsal, P.; Bajracharya, S.B.; Rijal, H.B. A Review on Adaptive Thermal Comfort of Office Building for Energy-Saving Building Design. Energies 2023, 16, 1524. [Google Scholar] [CrossRef]
- DSM Cell, Tata Power, Mumbai. Demand Side Management. In Proceedings of the 14th Annual General Body Meeting of FOIR. Available online: https://www.tatapower.com/investor-relations/tata-power-2022/pdf/boards-Report.pdf (accessed on 10 August 2023).
- Prayas (Energy Group). Residential Electricity Consumption in India: What Do We Know? Available online: https://energy.prayaspune.org/our-work/research-report/residential-electricity-consumption-in-india-what-do-we-know#:~:text=The%20residential%20electricity%20consumption%20(REC,household%20incomes%2C%20and%20technology%20development (accessed on 30 August 2022).
- Electric Utility Load Research and DSM Programme Design Utility CEO Forum on Demand Side Management. Available online: https://shaktifoundation.in/wp-content/uploads/2017/06/background-paper_third-meeting_final.pdf (accessed on 29 August 2022).
- Khosla, R.; Agarwal, A.; Sircar, N.; Chatterjee, D. The what, why, and how of changing cooling energy consumption in India’s urban households. Environ. Res. Lett. 2021, 16, 044035. [Google Scholar] [CrossRef]
- Gupta, R.; Antony, A.; Garg, V.; Mathur, J. Investigating the relationship between residential AC, indoor temperature and relative humidity in Indian dwellings. J. Physics Conf. Ser. 2021, 2069, 012103. [Google Scholar] [CrossRef]
- Indraganti, M.; Ooka, R.; Rijal, H.B. Thermal comfort in offices in India: Behavioral adaptation and the effect of age and gender. Energy Build. 2015, 103, 284–295. [Google Scholar] [CrossRef]
- Peeters, L.; Beausoleil-Morrison, I.; Novoselac, A. Internal convective heat transfer modeling: Critical review and discussion of experimentally derived correlations. Energy Build. 2011, 43, 2227–2239. [Google Scholar] [CrossRef]
- Gokarakonda, S.; van Treeck, C.; Rawal, R. Investigating Optimum Cooling Set Point Temperature and Air Velocity for Thermal Comfort and Energy Conservation in Mixed-Mode Buildings in India. Energies 2022, 15, 2259. [Google Scholar] [CrossRef]
- PIB. Frequently Asked Questions on BEE Recommendations on Temperature Setting of Air Conditioners; Press Information Bureau: New Delhi, India, 2018. Available online: https://pib.gov.in/newsite/PrintRelease.aspx?relid=180281 (accessed on 29 July 2022).
- Projecting National Energy Saving Estimate from the Adoption of Adoption of Adaptive Thermal Comfort Standards in 2030. Available online: http://www.aeee.in/wp-content/uploads/2018/09/Adoption-of-Adaptive-Thermal-Comfort-Standards-in-2030.pdf (accessed on 11 November 2018).
- James, P.W.; Sonne, J.K.; Vieira, R.K.; Parker, D.S.; Anello, M.T. Are Energy Savings Due to Ceiling Fans Just Hot Air? In 1996 Summer Study Conference ‘Profiting from Energy Efficiency’; ACEEEE Summer Study on Energy Efficiency in Buildings; Pacific Grove, CA, USA. 1996, p. 7. Available online: https://www.aceee.org/files/proceedings/1996/data/papers/SS96_Panel8_Paper10.pdf (accessed on 10 August 2023).
- Arduino Library for the WEMOS SHT30 Shiled. Available online: https://github.com/wemos/WEMOS_SHT3x_Arduino_Library (accessed on 15 December 2021).
- Chen, W.; Zhang, H.; Arens, E.; Luo, M.; Wang, Z.; Jin, L.; Liu, J.; Bauman, F.S.; Raftery, P. Ceiling-fan-integrated air conditioning: Airflow and temperature characteristics of a sidewall-supply jet interacting with a ceiling fan. Build. Environ. 2020, 171, 106660. [Google Scholar] [CrossRef]
- Suryono, W.; Prabowo, A.S.; Suhanto; Sazali, A.M. Monitoring and controlling electricity consumption using Wemos D1 Mini and smartphone. IOP Conf. Ser. Mater. Sci. Eng. 2020, 909, 012014. [Google Scholar] [CrossRef]
- de Dear, R. Ping-pong globe thermometers for mean radiant temperatures. H V Eng. 1988, 60, 10–11. [Google Scholar]
- Humphreys, M.A. The optimum diameter for a globe thermometer for use indoors. Ann. Occup. Hyg. 1977, 20, 135–140. [Google Scholar] [CrossRef] [PubMed]
- ISO 7726:1998; Ergonomics of the Thermal Environment—Instruments for Measuring Physical Quantities. ISO: Geneva, Switzerland, 1998.
- d’Ambrosio Alfano, F.R.; Ficco, G.; Frattolillo, A.; Palella, B.I.; Riccio, G. Mean Radiant Temperature Measurements through Small Black Globes under Forced Convection Conditions. Atmosphere 2021, 12, 621. [Google Scholar] [CrossRef]
- Teitelbaum, E.; Alsaad, H.; Aviv, D.; Kim, A.; Voelker, C.; Meggers, F.; Pantelic, J. Addressing a systematic error correcting for free and mixed convection when measuring mean radiant temperature with globe thermometers. Sci. Rep. 2022, 12, 6473. [Google Scholar] [CrossRef]
- Jain, A.; Upadhyay, R.R.; Chandra, S.; Saini, M.; Kale, S. Experimental Investigation of the Flow Field of a Ceiling Fan. In Proceedings of the Heat Transfer Summer Conference, Charlotte, NC, USA, 11–15 July 2004; pp. 93–99. [Google Scholar] [CrossRef]
- MySQL. Available online: https://www.mysql.com/ (accessed on 15 March 2022).
- ESP32/ESP8266 Insert Data into MySQL Database|Random Nerd Tutorials. Available online: https://randomnerdtutorials.com/esp32-esp8266-mysql-database-php/ (accessed on 2 December 2022).
- Pandas-Dev/Pandas: Pandas 1.0.3. Available online: https://zenodo.org/record/3715232 (accessed on 15 March 2022).
- Virtanen, P.; Gommers, R.; Oliphant, T.E.; Haberland, M.; Reddy, T.; Cournapeau, D.; Burovski, E.; Peterson, P.; Weckesser, W.; Bright, J.; et al. SciPy 1.0: Fundamental Algorithms for Scientific Computing in Python. Nat. Methods 2020, 17, 261–272. [Google Scholar] [CrossRef]
- Seabold, S.; Perktold, J. Statsmodels: Econometric and statistical modeling with python. In Proceedings of the 9th Python in Science Conference, Austin, TX, USA, 28 June–3 July 2010. [Google Scholar]
- Hunter, J.D. Matplotlib: A 2D graphics environment. Comput. Sci. Eng. 2007, 9, 90–95. [Google Scholar] [CrossRef]
- Mwaskom/Seaborn: v0.8.1 (September 2017). Available online: https://zenodo.org/record/883859 (accessed on 10 August 2023).
- DS18B20. Available online: https://github.com/matmunk/DS18B20 (accessed on 15 December 2021).
- Adafruit Industries. RTClib. Available online: https://github.com/adafruit/RTClib (accessed on 15 December 2021).
- Arduino Libraries. SD Library for Arduino. Available online: https://github.com/arduino-libraries/SD (accessed on 15 December 2021).
- PZEM-004T v3.0. Available online: https://github.com/mandulaj/PZEM-004T-v30 (accessed on 28 February 2022).
- Crankyoldgit/IRremoteESP8266. Available online: https://github.com/crankyoldgit/IRremoteESP8266 (accessed on 15 December 2021).
- D1 Mini Pro—WEMOS Documentation. Available online: https://www.wemos.cc/en/latest/d1/d1_mini_pro.html (accessed on 2 December 2022).
- LOLIN D1 Mini—WEMOS Documentation. Available online: https://www.wemos.cc/en/latest/d1/d1_mini.html (accessed on 2 December 2022).














| Sample ID (Age) | RAC Efficiency | RAC Cooling Capacity (100%/50%) (W) | RAC Rated Power (100%/50%) (W) | BEE Star Rating (Star Rating Label Period) | Floor Area (m2)/Height to the Ceiling (m) | WWR d | Furniture |
|---|---|---|---|---|---|---|---|
| V1 a (20) | 2.63 | 5275 | 1850 | - | 11.6/3 | 0.46 | Double bed with mattress, inbuilt cupboard and medium sized wooden storage box |
| V2 a (30) | 2.78 | 5275 | 1835 | - | 13.1/2.94 | 0.34 | Double bed and a single bed with mattresses, 42-inch CRT television, stainless-steel cupboard, wooden dressing table and cabinet |
| V3 a (2) | 4.51 b | 5200/2600 | 1445/538 c | 5 (2018–2019) | 27.8/2.66 | 0.32 | Hollow-iron-frame single cot, three plastic chairs, one heavy dining table with four chairs |
| V4 a (2) | 4.6 b | 5100/2550 | 1440 c | 5 (2018–2019) | 11.3/2.55 | 0.35 | Double bed with mattress, one dressing table, a small wooden stool and built-in cupboard |
| V5 a (2) | 3.64 | 5440 | 1495 | 5 (2014–2015) | 17.3/2.8 | 0.33 | Double bed with heavy mattress, two wooden tables, one steel cupboard and a working chair |
| V6 a (35) | 3.15 | 5000 | 1587 | 3 (2014–2015) | 11.5/2.85 | 0.45 | Double bed with mattress and one dressing table, built-in cupboard |
| V7 a (25) | 2.98 | 5300 | 1780 | 4 | 14.7/2.65 | 0.37 | Double bed with mattress and a steel cupboard |
| V8 a (40) | 3.86 b | 3450/1725 | 1100 c | 3 (2015–2017) | 11.4/2.75 | 0.58 | Hollow-iron-frame single cot, three plastic chairs, inbuilt cupboard without shutters with books and a small cabinet with books |
| H1 (4) | 4.2 b | 5100/2500 | 940.5 c | 4 (2018–2020) | 12.3/3 | 0.5 | Double bed with mattress and inbuilt cupboard |
| H2 (6) | 3.05 | 3450 | 1130 | 3 | 11.8/2.9 | 0.5 | Double bed with mattress and inbuilt cupboard |
| H3 (6) | 3.14 | 3351 | 1058 | 3 (2016–2017) | 8.9/2.8 | 0.21 | Double bed and a single cot with mattress and inbuilt cupboard |
| H4 (15) | 3.99 b | 5280/2640 | 1650 c | 3 (2018–2021) | 12.8/2.6 | 0.33 | Double bed mattress, inbuilt cupboard computer table and chair |
| H5 a (1) | 3.51b | 5300 | 1510 | 3 (2018) | 10.5/2.73 | 0.42 | Single cot with mattress, treadmill, two wooden stools and some storage |
| H6 (10) | - | 3400/1700 | 1240 c | 3 (2018–2019) | 9/2.9 | 0.42 | Double bed mattress, inbuilt cupboard computer table and chair |
| H7 (15) | 3.25 | 5200 | 1605 | 3 (2014–2015) | 16.8/2.9 | 0.31 | Double bed mattress, inbuilt cupboard computer table, chair and a punching bag |
| Date | Sample ID (Visakhapatnam) | Date | Sample ID (Hyderabad) | |||||||||||||
|---|---|---|---|---|---|---|---|---|---|---|---|---|---|---|---|---|
| V1 | V2 | V3 | V4 | V5 | V6 | V7 | V8 | H1 | H2 | H3 | H4 | H5 | H6 | H7 | ||
| 25–04 | 20 | 20 | 20 | 20 | 20 | 12–05 | 20 | 20 | ||||||||
| 26–04 | 22 | 22 | 22 | 22 | 20 | 20 | 20 | 13–05 | 22 | 22 | 20 | |||||
| 27–04 | 24 | 20 | 24 | 24 | 24 | 22 | 22 | 22 | 14–05 | 22 | 24 | 24 | 22 a | 20 | 20 a | |
| 28–04 | 26 a | 22 | 26 | 26 | 26 | 24 | 24 | 24 | 15–05 | 24 | 26 | 26 | 24 | 22 | 20 a | 22 a |
| 29–04 | 28 a | 24 | 28 | 28 | 28 | 26 | 26 | 26 | 16–05 | 26 | 28 | 28 | 26 | 24 | 22 | 24 a |
| 30–04 | 30 | 26 a | 30 | 30 | 30 | 28 | 28 | 28 | 17–05 | 28 | 30 | 30 | 28 | 26 | 24 | 26 |
| 01–05 | 20 a | 28 | 20 a | 20 a | 20 | 30 a | 26 a | 30 b | 18–05 | 30 | 28 | 20 | 30 | 28 | 26 | 28 |
| 02–05 | 22 a | 22 | 22 | 22 | 22 | 22 a | 20 a | 20 | 19–05 | 20 | 22 | 22 a | 20 | 30 | 28 | 30 |
| 03–05 | 24 | 24 | 24 | 24 | 24 | 24 | 22 | 22 | 20–05 | 22 | 24 a | 24 | 22 | 20 | 30 | 20 |
| 04–05 | 26 | 26 | 26 | 26 | 26 | 26 a | 24 | 24 | 21–05 | 24 | 20 | 26 | 24 | 22 | 20 | 22 |
| 05–05 | 28 | 28 | 28 | 28 | 28 | 28 | 26 | 26 | 22–05 | 26 | 22 | 28 | 26 | 24 | 22 | 24 |
| 06–05 | 30 a | 30 | 30 | 30 | 30 | 30 a | 28 | 28 b | 23–05 | 28 | 24 | 30 | 28 | 26 | 24 | 26 |
| 07–05 | 20 a | 30 | 30 b | 24–05 | 30 | 26 | 30 | 28 | 26 | 28 | ||||||
| 08–05 | 20 | 25–05 | 28 | 30 | 28 | 30 | ||||||||||
| 26–05 | 30 | 30 | 20 | |||||||||||||
| 27–05 | 20 | 22 | ||||||||||||||
| 28–05 | 20 | |||||||||||||||
| Time | Ceiling Fan Speed Setting | |
|---|---|---|
| Visakhapatnam | Hyderabad | |
| 10:00:00–10:29:59 | 5 a | 5 |
| 10:30:00–10:59:59 | 5 | 4 |
| 11:00:00–11:29:59 | 4 | 3 |
| 11:30:00–11:59:59 | 3 | 2 |
| 12:00:00–12:29:59 | 2 | 1 |
| 12:30:00–12:59:59 | 1 | 2 |
| 13:00:00–13:29:59 | 2 | 3 |
| 13:30:00–13:59:59 | 3 | 4 |
| 14:00:00–14:29:59 | 4 | 5 |
| 14:30:00–14:59:59 | 5 | 5 a |
| Fan Speed Setting (FSS) | Fan Current According to Wall-Mounted Step Regulator (amp) | Fan Current According to USHA IR Remote Regulator (amp) | Average Fan Current According to USHA IR Remote Controller (amp) | |||
|---|---|---|---|---|---|---|
| Sample ID | Sample ID | |||||
| V1 | V5 | V1 | V4 | V5 | ||
| 1 | 0.106 | 0.129 | 0.197 | 0.256 | 0.251 | 0.234 |
| 2 | 0.182 | 0.166 | 0.234 | 0.315 | 0.292 | 0.280 |
| 3 | 0.210 | 0.231 | 0.253 | 0.35 | 0.318 | 0.307 |
| 4 | 0.259 | 0.340 | 0.259 | 0.368 | 0.331 | 0.319 |
| 5 | 0.345 | 0.259 | 0.378 | 0.345 | 0.327 | |
Disclaimer/Publisher’s Note: The statements, opinions and data contained in all publications are solely those of the individual author(s) and contributor(s) and not of MDPI and/or the editor(s). MDPI and/or the editor(s) disclaim responsibility for any injury to people or property resulting from any ideas, methods, instructions or products referred to in the content. |
© 2023 by the authors. Licensee MDPI, Basel, Switzerland. This article is an open access article distributed under the terms and conditions of the Creative Commons Attribution (CC BY) license (https://creativecommons.org/licenses/by/4.0/).
Share and Cite
Gokarakonda, S.; van Treeck, C.; Rawal, R.; Thomas, S. Energy Performance of Room Air-Conditioners and Ceiling Fans in Mixed-Mode Buildings. Energies 2023, 16, 6807. https://doi.org/10.3390/en16196807
Gokarakonda S, van Treeck C, Rawal R, Thomas S. Energy Performance of Room Air-Conditioners and Ceiling Fans in Mixed-Mode Buildings. Energies. 2023; 16(19):6807. https://doi.org/10.3390/en16196807
Chicago/Turabian StyleGokarakonda, Sriraj, Christoph van Treeck, Rajan Rawal, and Stefan Thomas. 2023. "Energy Performance of Room Air-Conditioners and Ceiling Fans in Mixed-Mode Buildings" Energies 16, no. 19: 6807. https://doi.org/10.3390/en16196807
APA StyleGokarakonda, S., van Treeck, C., Rawal, R., & Thomas, S. (2023). Energy Performance of Room Air-Conditioners and Ceiling Fans in Mixed-Mode Buildings. Energies, 16(19), 6807. https://doi.org/10.3390/en16196807

