Numerical Study on the Characteristics of Hydrogen Leakage, Diffusion and Ventilation in Ships
Abstract
1. Introduction
2. CFD Theoretical Fundamentals
2.1. Governing Equations
2.2. Turbulence Model
3. Numerical Models and Grid Validation
3.1. Physical Model
3.2. Boundary Conditions
- The internal temperature of the hydrogen tank storage room was set at 298 K, with an ambient pressure of 101.325 kPa. To account for gravitational and buoyancy effects on hydrogen leak diffusion, gravitational acceleration was defined as −9.81 m/s2 along the negative y-axis.
- The hydrogen tank and storage room walls were designated as no-slip walls, with a turbulence intensity of 5%. The time step was set to 0.001 s, residual target to 10−5, and total simulation time to 600 s.
- Two ventilation systems were implemented: one with a natural air inlet and natural exhaust and another with a natural air inlet and forced exhaust. For the natural air inlet, a gauge pressure of 0 Pa was used, allowing backflow. Forced ventilation velocities corresponding to flow rates of 1800, 3600, 5400, 7200, and 9000 m3/h were established to evaluate ventilation effectiveness, with backflow excluded.
3.3. Verfication and Validation of CFD Model
4. Results and Analysis
4.1. Effect of Ceiling Apex Angle on Hydrogen Stratification
4.2. Effect of Leakage Rate on Hydrogen Diffusion
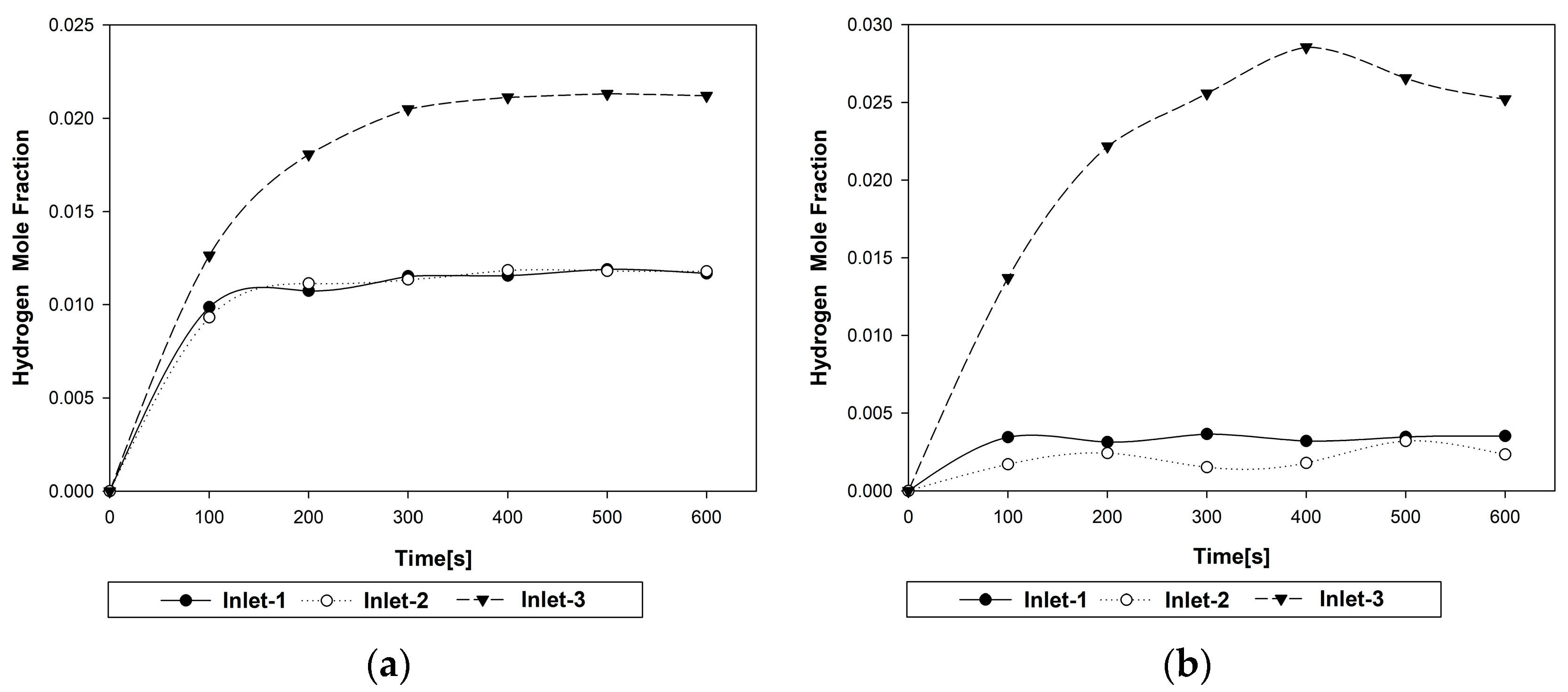
4.3. Effect of Air Inlet and Ventilation Hole Locations on Ventilation Efficiency
4.4. Effect of Ventilation Velocity on Ventilation Efficiency
5. Conclusions
- (1)
- In enclosed areas such as ship interiors, hydrogen tank storage rooms typically have ceilings with specific apex angles. When hydrogen leaks in these confined spaces, it swiftly ascends to the ceiling owing to buoyancy, then gradually disperses and stratifies from ceiling to floor. A ceiling apex angle (A) of 177.7°, resembling a flat surface, produced thicker and more concentrated layers than a 120° angle. When A = 120°, thinner hydrogen concentration layers were generated than at 177.7°, even under natural ventilation conditions. The result suggests that the ceiling apex angle significantly affects ventilation efficacy and should be a key consideration in designing efficient ventilation systems.
- (2)
- Increased leak rates resulted in sustained hydrogen concentration growth within the storage room, and the diffusion characteristics exhibited similar trends. Upon leakage, hydrogen rises to the ceiling, flows along its surface, gradually stratifies, partially exhausts, and the remaining portion mixes with inlet air to circulate throughout the storage room. The upper vertical section of the side wall with the air inlet developed higher hydrogen concentration layers compared to the side wall with the ventilation hole. Based on these flow dynamics, hydrogen leak detectors should be installed on the upper section of the side wall directly opposite the ventilation hole, on the upper part of the side wall with the air inlet, and above the hydrogen tank.
- (3)
- To rapidly exhaust leaked hydrogen, careful consideration of air inlet and ventilation hole positions is essential. Ventilation holes located on the ceiling directly above the leak source demonstrated superior ventilation performance compared to side-wall installations. Air inlets positioned on the side-wall floor or at mid-wall height exhibited enhanced ventilation effects compared to locations near the ceiling.
- (4)
- Escalating ventilation velocity led to increased air inlet velocity. The dynamic transport effect of the air inlet disrupted hydrogen stratification at the ceiling level, resulting in expanded diffusion of the air–hydrogen mixture. Optimal ventilation effects were generally observed at 1.82 m/s, equivalent to 20 air changes per hour. However, increasing ventilation velocity does not necessarily improve ventilation effectiveness. Therefore, the configuration of air inlets and ventilation holes must be optimized simultaneously. Otherwise, it may result in accelerated hydrogen diffusion owing to the increased ventilation velocity.
Author Contributions
Funding
Data Availability Statement
Conflicts of Interest
References
- Ishaq, H.; Dincer, I.; Crawford, C. A review on hydrogen production and utilization: Challenges and opportunities. Int. J. Hydrogen Energy 2022, 47, 26238–26264. [Google Scholar] [CrossRef]
- Kanna, V.; Roseline, S.; Balalmurugan, K.; Jeeva, S.; Santhiyagu, I.A. The Effects of Greenhouse Gas Emissions on Global Warming, Encyclopedia of Renewable Energy. Sustain. Environ. 2024, 1, 143–154. [Google Scholar]
- United Nations (UN). The key outcomes of COP28. In Proceedings of the UN Climate Change Conference, Dubai, United Arab Emirates, 30 November–12 December 2023. [Google Scholar]
- Wang, Z.; Zhao, F.; Dong, B.; Wang, D.; Ji, Y.; Cai, W.; Han, F. Life cycle framework construction and quantitative assessment for the hydrogen fuelled ships: A case study. Ocean. Eng. 2023, 281, 114740. [Google Scholar] [CrossRef]
- IMO. Annex 9. Resolution MEPC.213(63). Adopted on 2 March 2012. 2012 Guidelines for the Development of a Ship Energy Efficiency Management Plan. Available online: https://wwwcdn.imo.org/localresources/en/KnowledgeCentre/IndexofIMOResolutions/MEPCDocuments/MEPC.213(63).pdf (accessed on 14 June 2024).
- IMO. Fourth IMO GHG Study 2020. Available online: https://www.imo.org/en/ourwork/Environment/Pages/Fourth-IMO-Greenhouse-Gas-Study-2020.aspx (accessed on 17 June 2024).
- IMO. 2023 IMO Strategy on Reduction of GHG Emissions from Ships MEPC.377(80). Available online: https://www.imo.org/en/OurWork/Environment/Pages/2023-IMO-Strategy-on-Reduction-of-GHG-Emissions-from-Ships.aspx (accessed on 19 June 2024).
- Wang, Y.; Cao, Q.; Liu, L.; Wu, Y.; Liu, H.; Gu, Z.; Zhu, C. A review of low and zero carbon fuel technologies: Achieving ship carbon reduction targets. Sustain. Energy Technol. Assess. 2022, 54, 102762. [Google Scholar] [CrossRef]
- American Bureau of Shipping (ABS). Setting the Course to Low Carbon Shipping. Available online: https://ww2.eagle.org/content/dam/eagle/advisories-and-debriefs/low-carbon-shipping-outlook-2019.pdf (accessed on 20 June 2024).
- DNV GL. Assessment of Selected Alternative Fuels and Technologies. Available online: https://www.dnv.com/maritime/publications/alternative-fuel-assessment-download/ (accessed on 22 June 2024).
- DNV GL. Maritime Forecast to 2050. Energy Transition Outlook 2019. Available online: https://sustainableworldports.org/wp-content/uploads/DNV-GL_2019_Maritime-forecast-to-2050-Energy-transition-Outlook-2019-report.pdf (accessed on 22 June 2024).
- Ampah, J.D.; Yusuf, A.A.; Afrane, S.; Jin, C.; Liu, H. Reviewing two decades of cleaner alternative marine fuels: Towards IMO’s decarbonization of the maritime transport sector. J. Clean. Prod. 2021, 320, 128871. [Google Scholar] [CrossRef]
- Mukherjee, A.; Bruijnincx, P.; Junginger, M. Techno-economic competitiveness of renewable fuel alternatives in the marine sector. Renew. Sustain. Energy Rev. 2023, 174, 113127. [Google Scholar] [CrossRef]
- Wang, Z.; Dong, B.; Yin, J.; Li, M.; Ji, Y.; Han, F. Towards a marine green power system architecture: Integrating hydrogen and ammonia as zero-carbon fuels for sustainable shipping. Int. J. Hydrogen Energy 2024, 50, 1069–1087. [Google Scholar] [CrossRef]
- Wu, Y.; Chen, A.; Xiao, H.; Jano-lto, M.; Alnaeli, M.; Alnajideen, M.; Mashruk, S.; Valera-Medina, A. Emission reduction and cost-benefit analysis of the use of ammonia and green hydrogen as fuel for marine applications. Green. Energy Resour. 2023, 1, 100046. [Google Scholar] [CrossRef]
- Machaj, K.; Kupecki, J.; Malecha, Z.; Morawski, A.W.; Skrzypkiewicz, M.; Stanclik, M.; Chorowski, M. Ammonia as a potential marine fuel: A review. Energy Strategy Rev. 2024, 55, 101504. [Google Scholar] [CrossRef]
- Jang, H.; Mujeeb-Ahmed, M.P.; Wang, H.; Park, C.; Hwang, I.; Jeong, B.; Zhou, P.; Mickeviciene, R. Regulatory gap analysis for risk assessment of ammonia-fuelled ships. Ocean. Eng. 2023, 287, 115751. [Google Scholar] [CrossRef]
- Inal, O.B.; Zincir, B.; Deniz, C. Investigation on the decarbonization of shipping: An approach to hydrogen and ammonia. Int. J. Hydrogen Energy 2022, 47, 19888–19900. [Google Scholar] [CrossRef]
- Morlanés, N.; Katikaneni, S.P.; Paglieri, S.N.; Harale, A.; Solami, B.; Sarathy, S.M.; Gascon, J. A technological roadmap to the ammonia energy economy: Current state and missing technologies. Chem. Eng. J. 2021, 408, 127310. [Google Scholar] [CrossRef]
- Zincir, B. Environmental and economic evaluation of ammonia as a fuel for short-sea shipping: A case study. Int. J. Hydrogen Energy 2022, 47, 18148–18168. [Google Scholar] [CrossRef]
- Xing, H.; Stuart, C.; Spence, S.; Chen, H. Alternative fuel options for low carbon maritime transportation: Pathways to 2050. J. Clean. Prod. 2021, 297, 126651. [Google Scholar] [CrossRef]
- Erdemir, D.; Dincer, I. A perspective on the use of ammonia as a clean fuel: Challenges and solutions. Int. J. Energy Res. 2020, 45, 4827–4834. [Google Scholar] [CrossRef]
- Yang, F.; Wang, T.; Deng, X.; Dang, J.; Huang, Z.; Hu, S.; Li, Y.; Ouyang, M. Review on hydrogen safety issues: Incident statistics, hydrogen diffusion, and detonation process. Int. J. Hydrogen Energy 2021, 46, 31467–31488. [Google Scholar] [CrossRef]
- Yang, Z.; Hao, D.; Wang, F.; Qin, C.; Chen, X.; Tian, Y. Quantitative analysis of hydrogen leakage and diffusion processes based on real-time concentration measurement at different spatial positions in a customized chamber. Int. J. Hydrogen Energy 2024, 66, 231–241. [Google Scholar] [CrossRef]
- Li, H.; Cao, X.; Shao, Y.; Nan, Z.; Teng, L.; Peng, W.; Bian, J. Safety of hydrogen storage and transportation: An overview on mechanisms, techniques, and challenges. Energy Rep. 2022, 8, 6258–6269. [Google Scholar] [CrossRef]
- Saffers, J.B.; Molkov, V.V. Hydrogen safety engineering framework and elementary design safety tools. Int. J. Hydrogen Energy 2014, 39, 6268–6285. [Google Scholar] [CrossRef]
- Abohamzeh, E.; Salehi, F.; Sheikholeslami, M.; Abbassi, R.; Khan, F. Review of hydrogen safety during storage, transmission, and applications processes. J. Loss Prev. Process Ind. 2021, 72, 104569. [Google Scholar] [CrossRef]
- Li, X.; Hao, Y.; Wu, F.; Xing, Z.; Zhuang, S.; Wang, X. Numerical simulation of leakage jet flame hazard of high-pressure hydrogen storage bottle in open space. Int. J. Hydrogen Energy 2024, 62, 706–721. [Google Scholar] [CrossRef]
- Lyu, S.; Huang, X.; Peng, S.; Sun, M.; Qi, Q.; Aimaieraili, D. A novel method for analyzing the leakage and diffusion of hydrogen: First arrival time distribution. Renew. Sustain. Energy Rev. 2024, 198, 114451. [Google Scholar] [CrossRef]
- Xin, J.; Duan, Q.; Jin, K.; Sun, J. A reduced-scale experimental study of dispersion characteristics of hydrogen leakage in an underground parking garage. Int. J. Hydrogen Energy 2023, 48, 16936–16948. [Google Scholar] [CrossRef]
- Shu, Z.; Liang, W.; Zheng, X.; Lei, G.; Cao, P.; Dai, W.; Qian, H. Dispersion characteristics of hydrogen leakage: Comparing the prediction model with the experiment. Energy 2021, 236, 12420. [Google Scholar] [CrossRef]
- Hussein, H.; Brennan, S.; Molkov, V. Dispersion of hydrogen release in a naturally ventilated covered car park. Int. J. Hydrogen Energy 2020, 45, 23882–23897. [Google Scholar] [CrossRef]
- Schiavetti, M.; Carcassi, M.N. Experimental tests of inhomogeneous hydrogen deflagrations in the presence of obstacles. Int. J. Hydrogen Energy 2021, 46, 12455–12463. [Google Scholar] [CrossRef]
- Kuznetsov, M.; Friedrich, A.; Stern, G.; Kotchourko, N.; Jallais, S.; L'Hostis, B. Medium-scale experiments on vented hydrogen deflagration. J. Loss Prev. Process Ind. 2015, 36, 416–428. [Google Scholar] [CrossRef]
- Li, Y.; Zhao, Z.; Qi, W.; Yao, Z.; Wang, J.; Ding, Z.; Lv, H. Accuracy analysis of hydrogen leakage scale modeling based on similarity theory. Int. J. Hydrogen Energy 2024, 68, 537–544. [Google Scholar] [CrossRef]
- Zhang, W.; Liu, M.; Xiao, Y.; Wu, Q.; Wang, J.; Wang, T.; Zhang, Y. Numerical study of hydrogen leakage dispersion and explosion of a 2 × 120 kW PEM fuel cell integrated power station. Int. J. Hydrogen Energy 2024. [Google Scholar] [CrossRef]
- Tian, Y.; Qin, C.; Yang, Z.; Hao, D. Numerical simulation study on the leakage and diffusion characteristics of high-pressure hydrogen gas in different spatial scenes. Int. J. Hydrogen Energy 2024, 50, 1335–1349. [Google Scholar] [CrossRef]
- Lv, H.; Shen, Y.; Zheng, T.; Zhou, W.; Ming, P.; Zhang, C. Numerical study of hydrogen leakage, diffusion, and combustion in an outdoor parking space under different parking configurations. Renew. Sustain. Energy Rev. 2023, 173, 113039. [Google Scholar] [CrossRef]
- Abbas, M.A.H.; Kheradmand, S.; Sadoughipour, H. Numerical study of the effect of hydrogen leakage position and direction on hydrogen distribution in a closed enclosure. Int. J. Hydrogen Energy 2020, 45, 23872–23881. [Google Scholar] [CrossRef]
- Qian, J.Y.; Li, X.J.; Gao, Z.X.; Jin, Z.J. A numerical study of hydrogen leakage and diffusion in a hydrogen refueling station. Int. J. Hydrogen Energy 2020, 45, 14428–14439. [Google Scholar] [CrossRef]
- Li, F.; Yuan, Y.; Yan, X.; Malekian, R.; Li, Z. A study on a numerical simulation of the leakage and diffusion of hydrogen in a fuel cell ship. Renew. Sustain. Energy Rev. 2018, 97, 177–185. [Google Scholar] [CrossRef]
- Gao, Y.; Liu, H.; Hou, Y. Effects of leakage location and ventilation condition on hydrogen leakage during shipping of fuel cell vehicles. Int. J. Hydrogen Energy 2024, 54, 1532–1543. [Google Scholar] [CrossRef]
- Mao, X.; Ying, R.; Yuan, Y.; Li, F.; Shen, B. Simulation and analysis of hydrogen leakage and explosion behaviors in various compartments on a hydrogen fuel cell ship. Int. J. Hydrogen Energy 2021, 46, 6857–6872. [Google Scholar] [CrossRef]
- Xie, Y.; Liu, J.; Qin, J.; Xu, Z.; Zhu, J.; Liu, G.; Yuan, H. Numerical simulation of hydrogen leakage and diffusion in a ship engine room. Int. J. Hydrogen Energy 2024, 55, 42–54. [Google Scholar] [CrossRef]
- Kim, B.; Hwang, K. Effect of angular motion on accidental hydrogen fires in conceptional ship fuel preparation room with mechanical ventilation. Int. J. Hydrogen Energy 2024, 50, 1075–1090. [Google Scholar] [CrossRef]
- Kim, B.; Hwang, K. Experimental analysis of the effects of ship motion on hydrogen dispersion in an enclosed area. Int. J. Hydrogen Energy 2023, 48, 31779–31789. [Google Scholar] [CrossRef]
- Soto, V.; Baalisampang, T.; Arzaghi, E.; Garaniya, V. Numerical modelling of hydrogen release and dispersion in under-deck compressed hydrogen storage of marine ships. Int. J. Hydrogen Energy 2024, 59, 1244–1256. [Google Scholar] [CrossRef]
- ANSYS, Inc. ANSYS CFX Solver Theory Guide, 18th ed.; ANSYS, Inc.: Canonsburg, PA, USA, 2017. [Google Scholar]
- Li, H.; Cao, X.; Du, H.; Teng, L.; Shao, Y.; Bian, J. Numerical simulation of leakage and diffusion distribution of natural gas and hydrogen mixtures in a closed container. Int. J. Hydrogen Energy 2022, 47, 35928–35939. [Google Scholar] [CrossRef]
- Lacome, J.M.; Jamois, D.; Perrette, L.; Proust, C.H. Large-scale hydrogen release in an isothermal confined area. Int. J. Hydrogen Energy 2011, 36, 2302–2312. [Google Scholar] [CrossRef]
- Zhang, Z.; Delichatsios, M.A.; Venetsanos, A.G. Numerical studies of dispersion and flammable volume of hydrogen in enclosures. Int. J. Hydrogen Energy 2010, 35, 6431–6437. [Google Scholar] [CrossRef]
- Hajji, Y.; Bouteraa, M.; Cafsi, A.E.; Belghith, A.; Bournot, P.; Kallel, F. Dispersion and behavoir of hydrogen during a leak in a prismatic cavity. Int. J. Hydrogen Energy 2014, 39, 6111–6119. [Google Scholar] [CrossRef]
- Patel, P.; Baalisampang, T.; Arzaghi, E.; Garaniya, V.; Abbassi, R.; Salehi, F. Computational analysis of the hydrogen dispersion in semi-confined spaces. Process Saf. Environ. Prot. 2023, 176, 475–488. [Google Scholar] [CrossRef]
- Kang, Y.; Ma, S.; Song, B.; Xia, X.; Wu, Z.; Zhang, X.; Zhao, M. Simulation of hydrogen leakage diffusion behavior in confined space. Int. J. Hydrogen Energy 2024, 53, 75–85. [Google Scholar] [CrossRef]












| 1.44 | 1.93 | 0.09 | 1.0 | 1.3 |
| Item | Boundary Condition |
|---|---|
| Storage room temperature | 298 K |
| Leak rate | 2 g/s |
| Leak location | Top of the tank |
| Air inlet and exhaust positions | Inlet 1, Vent 2 |
| Exhaust flow rate | None (natural ventilation condition) |
| Time (s) | Leakage Rate | ||
|---|---|---|---|
| Q1 (1 g/s) | Q2 (2 g/s) | Q3 (4 g/s) | |
| 10 | ![]() | ![]() | ![]() |
| 100 | ![]() | ![]() | ![]() |
| 300 | ![]() | ![]() | ![]() |
| 600 | ![]() | ![]() | ![]() |
![]() | |||
| Angle of Ceiling | Case | Leakage Rate (g/s) | Leakage Location | Inlet Position | Ventilation Position | Ventilation Velocity (m/s) | Temp (K) |
|---|---|---|---|---|---|---|---|
| 120° | a | 4 | (0, 2.9, 2.0) | Inlet 1 | Vent 1 | 2.73 | 298 |
| b | 4 | (0, 2.9, 2.0) | Inlet 1 | Vent 2 | 2.73 | 298 | |
| c | 4 | (0, 2.9, 2.0) | Inlet 2 | Vent 1 | 2.73 | 298 | |
| d | 4 | (0, 2.9, 2.0) | Inlet 2 | Vent 2 | 2.73 | 298 | |
| e | 4 | (0, 2.9, 2.0) | Inlet 3 | Vent 1 | 2.73 | 298 | |
| f | 4 | (0, 2.9, 2.0) | Inlet 3 | Vent 2 | 2.73 | 298 |
| Ventilation Quantity (m/s) | Case | |||
|---|---|---|---|---|
| Inlet 1, Vent 1 | Inlet 1, Vent 2 | Inlet 3, Vent 1 | Inlet 3, Vent 2 | |
| 0 | (a)![]() | (b)![]() | (c) ![]() | (d)![]() |
| 1.82 | (e) ![]() | (f)![]() | (g)![]() | (h)![]() |
| 2.73 | (i)![]() | (j)![]() | (k)![]() | (l)![]() |
| 3.64 | (m)![]() | (n)![]() | (o)![]() | (p)![]() |
| 4.55 | (q)![]() | (r)![]() | (s)![]() | (t)![]() |
| 5.46 | (u)![]() | (v)![]() | (w)![]() | (x)![]() |
| Ventilation Quantity (m/s) | Case | |||
|---|---|---|---|---|
| Case I | Case II | Case III | Case IV | |
| 0 | (a)![]() | (b)![]() | (c)![]() | (d)![]() |
| 1.82 | (e)![]() | (f)![]() | (g)![]() | (h)![]() |
| 2.73 | (i)![]() | (j)![]() | (k)![]() | (l)![]() |
| 3.64 | (m)![]() | (n)![]() | (o)![]() | (p)![]() |
| 4.55 | (q)![]() | (r)![]() | (s)![]() | (t)![]() |
| 5.46 | (u)![]() | (v)![]() | (w)![]() | (x)![]() |
![]() | ||||
Disclaimer/Publisher’s Note: The statements, opinions and data contained in all publications are solely those of the individual author(s) and contributor(s) and not of MDPI and/or the editor(s). MDPI and/or the editor(s) disclaim responsibility for any injury to people or property resulting from any ideas, methods, instructions or products referred to in the content. |
© 2025 by the authors. Licensee MDPI, Basel, Switzerland. This article is an open access article distributed under the terms and conditions of the Creative Commons Attribution (CC BY) license (https://creativecommons.org/licenses/by/4.0/).
Share and Cite
Lee, C.-Y.; Park, S.-K. Numerical Study on the Characteristics of Hydrogen Leakage, Diffusion and Ventilation in Ships. Energies 2025, 18, 448. https://doi.org/10.3390/en18020448
Lee C-Y, Park S-K. Numerical Study on the Characteristics of Hydrogen Leakage, Diffusion and Ventilation in Ships. Energies. 2025; 18(2):448. https://doi.org/10.3390/en18020448
Chicago/Turabian StyleLee, Chang-Yong, and Sang-Kyun Park. 2025. "Numerical Study on the Characteristics of Hydrogen Leakage, Diffusion and Ventilation in Ships" Energies 18, no. 2: 448. https://doi.org/10.3390/en18020448
APA StyleLee, C.-Y., & Park, S.-K. (2025). Numerical Study on the Characteristics of Hydrogen Leakage, Diffusion and Ventilation in Ships. Energies, 18(2), 448. https://doi.org/10.3390/en18020448































































