Sign in to use this feature.

Years

Between: -

Subjects

remove_circle_outline
remove_circle_outline
remove_circle_outline
remove_circle_outline
remove_circle_outline
remove_circle_outline
remove_circle_outline
remove_circle_outline
remove_circle_outline

Journals

remove_circle_outline
remove_circle_outline
remove_circle_outline
remove_circle_outline
remove_circle_outline
remove_circle_outline
remove_circle_outline
remove_circle_outline
remove_circle_outline
remove_circle_outline
remove_circle_outline
remove_circle_outline
remove_circle_outline
remove_circle_outline
remove_circle_outline
remove_circle_outline
remove_circle_outline
remove_circle_outline

Article Types

Countries / Regions

remove_circle_outline
remove_circle_outline
remove_circle_outline
remove_circle_outline
remove_circle_outline

Search Results (1,630)

Search Parameters:
Keywords = electron dispersal X-ray spectroscopy (EDX)

Order results
Result details
Results per page
Select all
Export citation of selected articles as:
25 pages, 18096 KB  
Article
Evaluation of the Drug–Polymer Compatibility and Dissolution Behaviour of Fenbendazole–Soluplus® Solid Dispersions Prepared by Hot-Melt Extrusion
by Amirhossein Karimi, Gilberto S. N. Bezerra, Clement L. Higginbotham and John G. Lyons
Polymers 2026, 18(3), 333; https://doi.org/10.3390/polym18030333 (registering DOI) - 26 Jan 2026
Abstract
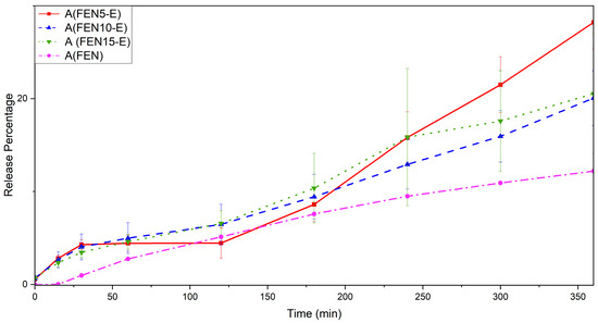
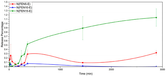
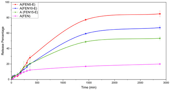
Fenbendazole is an important anti-parasitic medicine widely used in the veterinary field and has recently been considered as a possible anti-cancer agent in humans by some researchers. Fenbendazole encounters challenges in its usage due to its limited aqueous solubility, which consequently impacts its [...] Read more.
Fenbendazole is an important anti-parasitic medicine widely used in the veterinary field and has recently been considered as a possible anti-cancer agent in humans by some researchers. Fenbendazole encounters challenges in its usage due to its limited aqueous solubility, which consequently impacts its therapeutic efficacy. In this work, an in vitro mechanistic investigation was conducted to evaluate the compatibility, amorphization behaviour and dissolution profile of fenbendazole dispersed in Soluplus® using the solid dispersion approach via hot-melt extrusion. Three different fenbendazole/Soluplus® ratios were formulated and characterised through systematic experimentation. Powder X-Ray Diffraction (PXRD), Differential Scanning Calorimetry (DSC), Scanning Electron Microscopy (SEM), Energy Dispersive X-Ray (EDX) and Fourier Transform Infrared Spectroscopy (FTIR) were employed for thermal, physical, chemical and morphological analyses. The solubility of the drug formulation during a dissolution test was investigated using Ultraviolet–Visible (UV–Vis) spectrophotometric measurements. In vitro dissolution testing in acidic and neutral media was employed as a controlled environment to compare dissolution behaviour among different loadings. The extrudates demonstrated markedly enhanced apparent solubility compared to neat fenbendazole, with the 5% formulation showing the highest dissolution rate (approximately 85% after 48 h). This improvement can be attributed to better wetting properties and drug dispersion within the Soluplus® matrix. This innovative strategy holds promise in surmounting fenbendazole’s solubility limitations, presenting a comprehensive solution to enhance its therapeutic effectiveness. Full article
(This article belongs to the Section Smart and Functional Polymers)
Show Figures

Figure 1

15 pages, 3071 KB  
Article
Green-Synthesized TiO2 Nanoparticles Improve Mechanical Performance of Glass Ionomer Cements
by Nevra Karamüftüoğlu, Süha Kuşçu, İpek Kuşçu and Nesrin Korkmaz
Polymers 2026, 18(2), 295; https://doi.org/10.3390/polym18020295 - 22 Jan 2026
Viewed by 51
Abstract
Glass ionomer cements (GICs) are widely used in restorative and luting dentistry due to their fluoride release and chemical adhesion to dental tissues; however, their limited mechanical strength necessitates reinforcement strategies. The objective of this study was to investigate the effects of hemp-derived, [...] Read more.
Glass ionomer cements (GICs) are widely used in restorative and luting dentistry due to their fluoride release and chemical adhesion to dental tissues; however, their limited mechanical strength necessitates reinforcement strategies. The objective of this study was to investigate the effects of hemp-derived, green-synthesized titanium dioxide (TiO2) nanoparticles on the surface and mechanical properties of two commercially available GICs with different clinical indications. TiO2 nanoparticles were synthesized using Cannabis sativa leaf extract via a biogenic reduction method and characterized by X-ray diffraction (XRD), scanning electron microscopy (SEM), and energy-dispersive X-ray spectroscopy (EDX), confirming anatase-phase crystallinity, spherical morphology, and nanoscale particle size (28–49 nm). The nanoparticles were incorporated into Ketac™ Molar Easymix (restorative) and Ketac™ Cem Radiopaque (luting) GICs at 1%, 3%, and 5% (w/w), with nanoparticle-free formulations serving as controls (n = 10). Surface roughness, Vickers microhardness, and flexural strength were evaluated. Surface roughness increased in a concentration-dependent manner in both materials, with the highest values observed at 5% TiO2 incorporation. In Ketac™ Molar Easymix, 1% and 3% TiO2 significantly enhanced flexural strength and microhardness, whereas 5% resulted in reduced performance, consistent with SEM-observed nanoparticle agglomeration. In contrast, Ketac™ Cem Radiopaque exhibited no significant changes in flexural strength, although maximum microhardness values were recorded at 1% TiO2 concentration. These findings demonstrate that low concentrations of hemp-derived TiO2 nanoparticles can effectively reinforce restorative GICs and highlight the potential of green nanotechnology as a sustainable approach for improving dental biomaterials. Full article
(This article belongs to the Section Polymer Applications)
Show Figures

Graphical abstract

21 pages, 4373 KB  
Article
Functionalization of BaTiO3 Nanoparticles to Optimize the Dielectric Performance of Electroactive Polymer Nanocomposites Based on PDMS Matrix
by Nico Zamperlin, Alain Sylvestre, Alessandro Pegoretti, Marco Fontana and Sandra Dirè
J. Compos. Sci. 2026, 10(1), 58; https://doi.org/10.3390/jcs10010058 - 21 Jan 2026
Viewed by 92
Abstract
The growing demand for portable and wireless electronic devices, along with the necessity to reduce reliance on non-renewable energy sources, has driven the need for energy harvesting materials. Nanocomposites, combining a polymeric matrix and a high-performance dielectric ceramic phase, are a promising solution. [...] Read more.
The growing demand for portable and wireless electronic devices, along with the necessity to reduce reliance on non-renewable energy sources, has driven the need for energy harvesting materials. Nanocomposites, combining a polymeric matrix and a high-performance dielectric ceramic phase, are a promising solution. In such systems, the design of a hybrid matrix–filler interface is critical for achieving desired properties. Here, nanocomposites (NCs) were prepared by adding various amounts of hydrothermally synthesized BaTiO3 (BT) nanoparticles (NPs) to polydimethysiloxane (PDMS). To investigate hybrid interfaces, NPs were used either bare or surface-functionalized with two silanes, 3-glycidyloxypropyltrimethoxysilane (GPTMS) or 2-[acetoxy(polyethyleneoxy)propyl]triethoxysilane (APEOPTES). NC films (80–100 μm thick) were characterized by scanning electron microscopy (SEM), energy-dispersive X-ray spectroscopy (EDXS), and thermogravimetric analysis (TGA). Dielectric properties and breakdown strength (EBD) were measured, and the theoretical volumetric energy density was calculated as a function of the filler loading and functionalization. The results demonstrate that hybrid interface design is pivotal for enhancing dielectric performance in NCs. APEOPTES-functionalized NPs significantly improved the dielectric response at a low filler loading (3.5%vol.), increasing permittivity from 2.8 to 7.5, EBD from 33.8 to 42.1 kV/mm and energy density from 30 to >100 mJ/cm3. These findings underscore that designing hybrid interfaces through NP functionalization provides an effective strategy to achieve superior dielectric performance in PDMS-based NCs, retaining the advantages of the elastomeric matrix by reducing the amount of ceramic fillers. Full article
(This article belongs to the Special Issue Feature Papers in Journal of Composites Science in 2025)
Show Figures

Figure 1

20 pages, 5021 KB  
Article
Bio-Inspired Reduced TiO2 Nanotube Photocatalyst Modified with Polydopamine and Silk Fibroin Quantum Dots for Enhanced UV and Visible-Light Photocatalysis
by Cristina Dumitriu, Simona Popescu, Roberta Miftode, Angela Gabriela Păun, Andreea Mădălina Pandele, Andrei Kuncser and Mihaela Mîndroiu
Materials 2026, 19(2), 358; https://doi.org/10.3390/ma19020358 - 16 Jan 2026
Viewed by 227
Abstract
Y-branched TiO2 nanotubes (NTs) were produced by anodizing titanium plates derived from aerospace production leftovers and subsequently engineered to develop an enhanced TiO2-based photocatalytic system. The NTs were electrochemically reduced to obtain reduced TiO2 nanotubes (rTN) with a narrowed [...] Read more.
Y-branched TiO2 nanotubes (NTs) were produced by anodizing titanium plates derived from aerospace production leftovers and subsequently engineered to develop an enhanced TiO2-based photocatalytic system. The NTs were electrochemically reduced to obtain reduced TiO2 nanotubes (rTN) with a narrowed bandgap, followed by surface modification with polydopamine (PD) and silk fibroin-derived quantum dots (QDs) to promote enhanced UV and visible-light photocatalysis for wastewater treatment. The QDs were hydrothermally synthesized from Bombyx mori silk fibroin. Scanning Electron Microscopy (SEM) revealed spherical QD agglomerates encapsulated within the PD layer, while Energy Dispersive X-ray Spectroscopy (EDX) confirmed the presence of carbon and nitrogen originating from both PD and QD. The resulting rNT/PD/QD photocatalyst exhibited a significantly reduced bandgap (1.03 eV), increased Urbach energy (1.35 eV), and moderate hydrophilicity. A high double-layer capacitance (Cdl) indicated an enlarged electrochemically active surface due to the combination of treatments. Electrochemical characterization demonstrated reduced electrical resistance, higher charge density, and lower electron–hole recombination, leading to improved interfacial charge transfer efficiency and electrochemical stability during multi-cycle cyclic voltammetry measurements. Preliminary photocatalytic tests show that the rNT/PD/QD photocatalyst achieved a degradation efficiency of 79.26% for methyl orange (MO) and 35% for tetracycline (TC). Full article
Show Figures

Graphical abstract

39 pages, 10403 KB  
Article
High-Temperature Degradation of Hastelloy C276 in Methane and 99% Cracked Ammonia Combustion: Surface Analysis and Mechanical Property Evolution at 4 Bar
by Mustafa Alnaeli, Burak Goktepe, Steven Morris and Agustin Valera-Medina
Processes 2026, 14(2), 235; https://doi.org/10.3390/pr14020235 - 9 Jan 2026
Viewed by 240
Abstract
This study examines the high-temperature degradation of Hastelloy C276, a corrosion-resistant nickel-based alloy, during exposure to combustion products generated by methane and 99% cracked ammonia. Using a high-pressure optical combustor (HPOC) at 4 bar and exhaust temperatures of 815–860 °C, standard tensile specimens [...] Read more.
This study examines the high-temperature degradation of Hastelloy C276, a corrosion-resistant nickel-based alloy, during exposure to combustion products generated by methane and 99% cracked ammonia. Using a high-pressure optical combustor (HPOC) at 4 bar and exhaust temperatures of 815–860 °C, standard tensile specimens were exposed for five hours to fully developed post-flame exhaust gases, simulating real industrial turbine or burner conditions. The surfaces and subsurface regions of the samples were analysed using scanning electron microscopy (SEM; Zeiss Sigma HD FEG-SEM, Carl Zeiss, Oberkochen, Germany) and energy-dispersive X-ray spectroscopy (EDX; Oxford Instruments X-MaxN detectors, Oxford Instruments, Abingdon, United Kingdom), while mechanical properties were evaluated by tensile testing, and the gas-phase compositions were tracked in detail for each fuel blend. Results show that exposure to methane causes moderate oxidation and some grain boundary carburisation, with localised carbon enrichment detected by high-resolution EDX mapping. In contrast, 99% cracked ammonia resulted in much more aggressive selective oxidation, as evidenced by extensive surface roughening, significant chromium depletion, and higher oxygen incorporation, correlating with increased NOx in the exhaust gas. Tensile testing reveals that methane exposure causes severe embrittlement (yield strength +41%, elongation −53%) through grain boundary carbide precipitation, while cracked ammonia exposure results in moderate degradation (yield strength +4%, elongation −24%) with fully preserved ultimate tensile strength (870 MPa), despite more aggressive surface oxidation. These counterintuitive findings demonstrate that grain boundary integrity is more critical than surface condition for mechanical reliability. These findings underscore the importance of evaluating material compatibility in low-carbon and hydrogen/ammonia-fuelled combustion systems and establish critical microstructural benchmarks for the anticipated mechanical testing in future work. Full article
(This article belongs to the Special Issue Experiments and Diagnostics in Reacting Flows)
Show Figures

Figure 1

19 pages, 5717 KB  
Article
Microstructure Evolution Control and Performance Degradation of SA-178 Grade C Boiler Tubes Driven by Pearlite Spheroidization
by Adimas Aprilio Hardinanto, Anne Zulfia Syahrial, Amin Suhadi, Eka Febriyanti, Gilang Cempaka Kusuma, Hamdani, Ridwan, Andon Insani, Muhammad Refai Muslih, Bharoto, Sairun and Suryadi
Materials 2026, 19(2), 270; https://doi.org/10.3390/ma19020270 - 9 Jan 2026
Viewed by 181
Abstract
SA 178 grade C carbon steel is a material commonly used in boiler tubes. Boilers are crucial in the energy industry; however, their service life degrades over time. If a boiler malfunctions, processing operations must be halted, resulting in financial losses for the [...] Read more.
SA 178 grade C carbon steel is a material commonly used in boiler tubes. Boilers are crucial in the energy industry; however, their service life degrades over time. If a boiler malfunctions, processing operations must be halted, resulting in financial losses for the company. The aim of this study is to examine the effect of microstructural evolution, especially the transformation of lamellar pearlite into spheroidized pearlite, on the service life degradation of boiler tubes. Understanding these changes is essential for preventing catastrophic system failures. The methodology involves the use of Small-Angle X-ray Scattering (SAXS) supported by metallographic analysis, Scanning Electron Microscopy (SEM), Energy-Dispersive X-ray (EDX) Spectroscopy, and mechanical testing. The SAXS results indicate that the microstructure of SA 178, which initially consisted of ferrite and lamellar pearlite, gradually transforms into spheroidized pearlite. These microstructural changes lead to reductions in tensile strength from 523 MPa for 0% spheroidization to 335 MPa for 100% spheroidization, as well as a reduction in hardness from 175 HV to 89 HV, ultimately decreasing the service life of the boiler tube. Full article
Show Figures

Graphical abstract

23 pages, 3596 KB  
Article
Developing New Water-Based Drilling Fluid Additives for Mitigating Filtration Loss at High Pressure and High Temperature
by Sachitha Sulakshana, Foad Faraji, Hossein Habibi, David J. Hughes, Mardin Abdalqadir and Jagar A. Ali
Processes 2026, 14(2), 208; https://doi.org/10.3390/pr14020208 - 7 Jan 2026
Viewed by 292
Abstract
Sustainable oil and gas development demands eco-friendly and cost-effective drilling fluids. Water-based drilling fluids (WBDFs) are preferred over oil-based alternatives for their lower environmental impact, but they often suffer from excessive fluid loss in permeable formations, leading to thick filter cakes, reduced mud [...] Read more.
Sustainable oil and gas development demands eco-friendly and cost-effective drilling fluids. Water-based drilling fluids (WBDFs) are preferred over oil-based alternatives for their lower environmental impact, but they often suffer from excessive fluid loss in permeable formations, leading to thick filter cakes, reduced mud weight, and operational delays. Conventional chemical additives mitigate this issue but pose environmental and health risks due to their toxicity and non-biodegradability. This study explores the use of biodegradable additives extracted from avocado seed (AS), rambutan shell (RS), tamarind shell (TS) and banana trunk (BT) biomass in four particle sizes of 300, 150, 75 and 32 μm to improve filtration control in WBDFs. All four materials were crushed by ball milling and characterized by Fourier Transform Infrared Spectroscopy (FTIR), Scanning Electron Microscopy (SEM) and Energy-dispersive X-ray (EDX). In accordance with API Spec 13A recommendations, several water-based drilling fluids (WBDFs), including reference fluid and modified fluids formulated with biodegradable additives at a fixed percentage of 3 wt% and varied particle sizes, were prepared. The rheological and filtration properties of the formulated drilling fluids were investigated by conducting industry-standard rheology and filtration tests under LPLT conditions (100 psi, 25 °C) and HPHT conditions (1500 psi, 75 °C). The results show that 32 μm tamarind shell powder delivered the strongest performance, reducing fluid loss by 82.4% under HPHT conditions and producing the thinnest mud cake (0.33 mm); it also reduced fluid loss by 72.8% under LPLT conditions, outperforming the other biodegradable materials. Full article
Show Figures

Figure 1

25 pages, 3428 KB  
Article
Biosynthesis of Silver Nanoparticles from Paullinia cupana Kunth Leaf: Effect of Seasonality and Preparation Method of Aqueous Extracts
by Alan Kelbis Oliveira Lima, Tainá Pereira da Silva Oliveira, Isadora Florêncio, Alberto Gomes Tavares Junior, Victor Hugo Sousa Araújo, Arthur Abinader Vasconcelos, Marlus Chorilli, Hugo de Campos Braga, Dayane Batista Tada, Gerson Nakazato, Sônia Nair Báo, Paulo Sérgio Taube, José Antônio de Aquino Ribeiro, Clenilson Martins Rodrigues and Mônica Pereira Garcia
Pharmaceuticals 2026, 19(1), 72; https://doi.org/10.3390/ph19010072 - 30 Dec 2025
Viewed by 324
Abstract
Background/Objectives: The biogenic synthesis of silver nanoparticles (AgNPs) is a promising alternative method, driven by the presence of metabolites in plant matrices capable of acting as reducing and stabilizing agents. Seasonality is a key factor that influences the phytochemical composition of plants [...] Read more.
Background/Objectives: The biogenic synthesis of silver nanoparticles (AgNPs) is a promising alternative method, driven by the presence of metabolites in plant matrices capable of acting as reducing and stabilizing agents. Seasonality is a key factor that influences the phytochemical composition of plants and can directly impact the yield, physicochemical characteristics, stability, and bioactivities of the obtained AgNPs. This study aimed to synthesize AgNPs using aqueous extracts from Paullinia cupana leaves collected during dry and rainy seasons, prepared by two different methods (agitation or infusion), to evaluate the impact of these variables on the biosynthesis and properties of the nanostructures. Methods: The extracts were characterized by UHPLC-HRMS/MS, and their total phenolic compound (TPC) content and antioxidant potential against DPPH and ABTS radicals were determined. The AgNPs were characterized by UV/Vis spectrophotometry, dynamic light scattering (DLS), zeta potential (ZP), nano-particle tracking analysis (NTA), transmission electron microscopy (TEM), and energy-dispersive X-ray spectroscopy (EDX). Results: The metabolic profile results showed a predominance of alkaloids and flavonoids in all extracts, with greater phytochemical diversity in samples prepared by infusion. TPC indicated superior phenolic extraction in extracts prepared by infusion during the rainy season, correlating with greater antioxidant potential via the elimination of free radicals. The evolution of AgNP synthesis was accompanied by a gradual change in the color of the suspensions and the formation of plasmon bands between 410 and 430 nm, characteristic of spherical AgNPs. The nanostructures presented hydrodynamic diameters between 37.49 and 145.5 nm, PdI between 0.222 and 0.755, and Zeta potential between −11.3 and −39.9 mV, suggesting satisfactory colloidal stability. Morphological analyses revealed predominantly spherical particles with average diameters ranging from 33.61 to 48.86 nm and uniform distribution, while EDX spectra confirmed the presence of silver. Conclusions: Thus, our results demonstrate that both seasonality and the method of extract preparation influence the phytochemical composition and, consequently, the morphology, stability, and optical properties of AgNPs, with subtle emphasis on collections made during the rainy season and extracts prepared by infusion. Such knowledge contributes to the advancement of more reproducible and purpose-oriented syntheses in the field of green nanotechnology, enabling applications in various sectors. Full article
Show Figures

Graphical abstract

15 pages, 4191 KB  
Article
Assessment of Optical Light Microscopy for Classification of Real Coal Mine Dust Samples
by Nestor Santa, Lizeth Jaramillo and Emily Sarver
Minerals 2026, 16(1), 15; https://doi.org/10.3390/min16010015 - 23 Dec 2025
Viewed by 330
Abstract
Occupational exposure to respirable coal mine dust remains a significant health risk, especially for underground workers. Rapid dust monitoring methods are sought to support timely identification of hazards and corrective actions. Recent research has investigated how optical light microscopy (OLM) with automated image [...] Read more.
Occupational exposure to respirable coal mine dust remains a significant health risk, especially for underground workers. Rapid dust monitoring methods are sought to support timely identification of hazards and corrective actions. Recent research has investigated how optical light microscopy (OLM) with automated image processing might meet this need. In laboratory studies, this approach has been demonstrated to classify particles into three primary classes—coal, silicates and carbonates. If the same is achievable in the field, results could support both hazard monitoring and dust source apportionment. The objective of the current study is to evaluate the performance of OLM with image processing to classify real coal mine dust particles, employing scanning electron microscopy with energy-dispersive X-ray spectroscopy (SEM-EDX) as a reference method. The results highlight two possible challenges for field implementation. First, particle agglomeration can effectively yield mixed particles that are difficult to classify, so integration of a dispersion method into the dust collection or sample preparation should be considered. Second, optical differences can exist between dust particles used for classification model development (i.e., typically generated in the lab from high-purity materials) versus real mine dust, so our results demonstrate the necessity of site-specific model calibration. Full article
Show Figures

Graphical abstract

17 pages, 8204 KB  
Article
Advanced Microstructural Investigation of the Endodontic Sealing Ability of Three Different Obturation Techniques
by Mihaela Păstrav, Radu Marcel Chisnoiu, Marioara Moldovan, Lucian Barbu Tudoran, Ioan Petean, Andrea Maria Chisnoiu and Ovidiu Păstrav
Dent. J. 2026, 14(1), 9; https://doi.org/10.3390/dj14010009 - 23 Dec 2025
Viewed by 326
Abstract
Objectives: This study evaluated and compared the sealing ability and elemental composition of a resin-based endodontic sealer (AH Plus) used with three root canal obturation techniques: single cone (SC), lateral compaction (LC), and warm vertical condensation (WVC). The investigation focused on microstructural characteristics, [...] Read more.
Objectives: This study evaluated and compared the sealing ability and elemental composition of a resin-based endodontic sealer (AH Plus) used with three root canal obturation techniques: single cone (SC), lateral compaction (LC), and warm vertical condensation (WVC). The investigation focused on microstructural characteristics, interfacial integrity, and elemental distribution within filled root canals. Material and Methods: Sixty extracted single-root teeth were instrumented using the ProTaper Gold system and randomly assigned to three groups (n = 20) according to the obturation technique. The AH Plus Jet sealer was applied in all cases. Following obturation, samples were subjected to radiographic investigation and analyzed using optical microscopy and scanning electron microscopy (SEM) coupled with energy-dispersive X-ray spectroscopy (EDX) to assess the sealing performance and chemical composition. Results: Radiographic and microscopic assessments indicated that the SC method showed strong gutta-percha adhesion to dentin with a thin cement layer, whereas WVC provided excellent adaptation and penetration of gutta-percha. The LC technique demonstrated good adhesion but displayed occasional structural irregularities. SC has the thicker adhesion layer with uneven distribution regarding coronal, median, and apical, regions ranging from 45 to 80 μm, while WVC ensures a thin and uniform sealing layer of about 35 μm in all regions. SEM and EDX analyses detailed the interfacial microstructure and confirmed the presence of carbon (C), oxygen (O), calcium (Ca), zinc (Zn), barium (Ba), and sulfur (S) across all groups. Conclusions: All three obturation techniques (SC, WVC, LC) achieved effective sealing when combined with the AH Plus sealer. The main difference between the methods consists of the sealer layer thickness and its even distribution regarding gutta-percha cones. Full article
(This article belongs to the Special Issue Present Status and Future Directions in Endodontics)
Show Figures

Graphical abstract

23 pages, 5241 KB  
Article
Zeolite Heulandite Modified with N,N′-bis(3-Triethoxysilylpropyl)thiourea—Adsorption of Ni(II) and Cu(II) Ions: A Quantum Chemical Insight into the Mechanism
by Elena G. Filatova, Arailym M. Nalibayeva, Oksana V. Lebedeva, Sergey A. Beznosyuk, Andrey V. Ryabykh, Elizaveta N. Oborina, Yerlan N. Abdikalykov, Mirgul Zh. Turmukhanova, Igor B. Rozentsveig and Sergey N. Adamovich
Molecules 2025, 30(24), 4811; https://doi.org/10.3390/molecules30244811 - 17 Dec 2025
Viewed by 421
Abstract
A new sorption material (GS) was obtained by the modification of heulandite zeolite (G) with N,N′-bis-(3-triethoxysilylpropyl)thiocarbamide (S). The composition, structure, and surface morphology of the GS material were confirmed using elemental analysis, IR-, NMR-spectroscopy, X-ray diffraction, scanning electron microscopy (SEM), energy dispersive X-ray [...] Read more.
A new sorption material (GS) was obtained by the modification of heulandite zeolite (G) with N,N′-bis-(3-triethoxysilylpropyl)thiocarbamide (S). The composition, structure, and surface morphology of the GS material were confirmed using elemental analysis, IR-, NMR-spectroscopy, X-ray diffraction, scanning electron microscopy (SEM), energy dispersive X-ray spectroscopy (EDX), elemental mapping, and nitrogen adsorption/desorption (BET). The potential of GS as a sorbent for the removal of Cu(II) and Ni(II) ions from concentrated solutions was demonstrated. The nature of the adsorption of Cu(II) and Ni(II) ions was investigated using the Langmuir, Freundlich, and Dubinin–Radushkevich models. The adsorption value of Cu(II) and Ni(II) ions by the GS sorbent was found to be 1.7 and 2.1 times higher than that of heulandite, amounting to 0.128 mmol/g (8.1 mg/g) and 0.214 mmol/g (12.6 mg/g), respectively. The free energy of adsorption E for the adsorption of Cu(II) and Ni(II) ions was determined to be 12.5 and 16.2 kJ/mol, respectively. Calculations of changes in Gibbs energy based on quantum chemical modeling results (ΔG2980 = −38.5 kJ/mol for Ni and ΔG2980 = −56.5 kJ/mol for Cu) confirmed that adsorption of heavy metal ions onto the GS sample occurs through the formation of metal ion coordination complexes with the sorbent’s functional groups (chemosorption). The proposed method of obtaining new sorption materials based on natural heulandite is straightforward and cost-effective, enabling the production of high-capacity sorption products. Full article
(This article belongs to the Section Materials Chemistry)
Show Figures

Graphical abstract

22 pages, 6429 KB  
Article
Multi-Scale Experiments and Mechanistic Insights into Hydro-Physical Properties of Saturated Deep-Sea Sediments in the South China Sea
by Yan Feng, Qiunan Chen, Guangping Liu, Xiaocheng Huang, Zengliang Wang, Wei Hu, Bingchu Chen, Shunkai Liu and Xiaodi Xu
Water 2025, 17(24), 3581; https://doi.org/10.3390/w17243581 - 17 Dec 2025
Viewed by 506
Abstract
Deep-sea-resource development and marine engineering represent cutting-edge global research priorities. As a typical deep-sea region in the Western Pacific, the physical–mechanical properties of the South China Sea’s deep-sea sediments have critical implications for regional and global deep-sea engineering design and the safety assessments [...] Read more.
Deep-sea-resource development and marine engineering represent cutting-edge global research priorities. As a typical deep-sea region in the Western Pacific, the physical–mechanical properties of the South China Sea’s deep-sea sediments have critical implications for regional and global deep-sea engineering design and the safety assessments of resource exploitation. However, due to extreme environmental conditions and sampling technology limitations, studies on the mechanical behavior and microstructural control mechanisms of sediments in complex marine environments exceeding 2000 m in depth remain insufficient worldwide, hindering precise engineering design and risk management. This study systematically investigates the physical–mechanical properties, microstructure, and mechanical behavior of intact sediments acquired at a depth of 2060 m in the South China Sea. Through physical property tests, scanning electron microscopy (SEM), energy-dispersive X-ray spectroscopy (EDX), X-ray diffraction (XRD), one-dimensional consolidation, and triaxial shear tests, combined with comparisons with nearshore soft soils and other deep-sea sediments, we acquired the following results: The sediments primarily consist of muscovite, quartz, and calcite. Triaxial shear tests revealed initial dilation followed by shear consolidation, reaching critical conditions with an effective cohesion of 19.58 kPa and an effective internal friction angle of 27.32°. One-dimensional consolidation tests indicated a short principal consolidation time, wherein the consolidation coefficient first decreased under loading before slowly increasing, while the secondary consolidation coefficient stabilized after vertical pressure exceeded 400 kPa. The research results not only provide a direct reference for designing deep-sea engineering projects in the South China Sea, calculating the penetration resistance of deep-sea drilling rigs, and predicting the foundation settlement of offshore wind power but also furnish typical cases and key data support for the study of the mechanical properties of global deep-sea high-organic-matter sediments and engineering applications. Full article
(This article belongs to the Special Issue Advances in Water Related Geotechnical Engineering)
Show Figures

Figure 1

16 pages, 3888 KB  
Review
Bone–Ti-Alloy Interaction in Hip Arthroplasty of Patients with Diabetes, Dyslipidaemia, and Kidney Dysfunction: Three Case Reports and Brief Review
by Cosmin Constantin Baciu, Ana Maria Iordache, Teodoru Soare, Nicolae Catalin Zoita, Cristiana Eugenia Ana Grigorescu and Mircea Bogdan Maciuceanu Zarnescu
Medicina 2025, 61(12), 2228; https://doi.org/10.3390/medicina61122228 - 17 Dec 2025
Viewed by 279
Abstract
Background and Objectives: Organ dysfunctions affect the quality of bone and body fluids. This case report seeks links between the underlying conditions of three patients undergoing hip arthroplasty (HA) with uncemented implants, the quality of their bones, and their Ti-6Al-4V orthopaedic implants, [...] Read more.
Background and Objectives: Organ dysfunctions affect the quality of bone and body fluids. This case report seeks links between the underlying conditions of three patients undergoing hip arthroplasty (HA) with uncemented implants, the quality of their bones, and their Ti-6Al-4V orthopaedic implants, on different time spans. Femoral stems are investigated. A brief review supports our findings. Materials and Methods: Cases: two women (F1 35+, F2 80+), and one man (M 65+), all having diabetes, dyslipidaemia, and kidney dysfunction. Samples: a segment of a broken 7-year-old stem, bone with a metallic layer, soft tissue, segments of one spare stem, and synthetic plasma enriched with glucose and urea according to the biochemistry tests of the respective patients. Vast studies show that cholesterol influences bone quality only. The stem pieces were ultrasonicated for 7 h at 37 °C in synthetic plasma. Scanning electron microscopy (SEM), energy dispersive X-ray spectroscopy (EDX), and profilometry investigated the Ti-alloy samples, electrochemistry analysed the post-sonication plasma, and histopathology examination was performed on the soft tissue remnants on the broken stem. Results: EDX show that all stem samples are Ti-6Al-4V with minute additions of other elements and hydroxyapatite (HAp) coating. SEM and profilometry analysis are consistent for the roughness in the outer layers of the stems. Electrochemistry on the bone fragment shows migration of vanadium during the 6 months since fracture to revision for M. Conclusions: Stems in altered synthetic plasma are affected by glucose and urea. Metal migration from the prostheses can occur through the chemical interactions between body fluids with abnormal biochemistry and the orthopaedic prostheses, favoured by cracks and concurring with wear following friction during usual movements. Cholesterol influences on the bone quality. Full article
(This article belongs to the Special Issue Clinical Research in Orthopaedics and Trauma Surgery)
Show Figures

Figure 1

29 pages, 8639 KB  
Article
Investigation of Two Folding Screens by Futurist Artist Giacomo Balla
by Rika Pause, Madeleine Bisschoff, Suzan de Groot, Margje Leeuwestein, Saskia Smulders, Elsemieke G. van Rietschoten and Inez D. van der Werf
Heritage 2025, 8(12), 518; https://doi.org/10.3390/heritage8120518 - 10 Dec 2025
Viewed by 365
Abstract
Two folding screens by futurist artist Giacomo Balla (1871–1958) in the collection of the Kröller-Müller Museum (the Netherlands) were investigated: Paravento con linea di velocità (1916–1917) and Paravento (1916/1917–1958). The screens are painted on both sides, the first on four canvases, stretched onto [...] Read more.
Two folding screens by futurist artist Giacomo Balla (1871–1958) in the collection of the Kröller-Müller Museum (the Netherlands) were investigated: Paravento con linea di velocità (1916–1917) and Paravento (1916/1917–1958). The screens are painted on both sides, the first on four canvases, stretched onto two wooden strainers and framed with painted wooden strips, and the second on wooden panels set into four painted stiles. In the past, damages on Paravento con linea di velocità were restored by conservators, while Paravento was probably first reworked by the artist himself and later restored by conservators. Yellowed varnish and discolored retouches on both screens led to a wish for treatment. The aim of this research was to gain insight into the painting techniques, layer buildup, pigments, binders, and varnishes of the two artworks. This information supported the decision making for treatment, and it broadens the knowledge on the materials used by Balla. Up to now, only a few published studies deal with the technical examination of paintings by this artist. Both folding screens were subjected to technical photography (UV, IR photography, and X-ray) and were examined with portable point X-ray fluorescence (pXRF) and Raman spectroscopy. Moreover, samples were taken. Cross-sections were studied with optical microscopy, scanning electron microscopy with energy-dispersive X-ray spectroscopy (SEM-EDX), attenuated total reflection Fourier-transform infrared (ATR-FTIR) imaging, and micro-Raman spectroscopy. Loose samples were examined with SEM-EDX, FTIR and micro-Raman spectroscopy, and pyrolysis gas chromatography mass spectrometry (Py-GC/MS). For Paravento con linea di velocità, all pigments and fillers of the painted canvases are compatible with the dating of the screen (1916–1917), but they differ from those on the frame. Here, rutile, in combination with various pigments, among which are blue copper phthalocyanine (PB15) and other synthetic organic pigments, was found. This indicates that the frame has been painted later, likely after the Second World War. The composition of the binders differs as well. Drying oil and pine resin have been used on the canvases, explaining the smooth and glossy appearance and solvent-sensitivity of the paint. On the frame, oil with some alkyd resin was identified. The provenance of the screen before 1972 is not clear, nor when the frame was made and painted and by whom. The results for Paravento indicate that the palettes of the two sides—painted in different styles—are comparable. Mainly inorganic pigments were found, except for the dark red areas, where toluidine red (PR3) is present. pXRF showed high amounts of zinc; cross-sections revealed that zinc white is present in the lower layers. These pigments are compatible with the dating of the screen (1916–1917). In many of the upper paint layers though, except for some green, dark red, and black areas, rutile has been identified. This indicates that these layers were applied later, likely after the Second World War. Since this folding screen was used by the artist and his family until his death in 1958, it seems likely that Balla himself reworked the screen. Full article
Show Figures

Figure 1

24 pages, 6350 KB  
Article
Composites Derived from Aluminium-Modified Biphasic Calcium-Phosphate for Bone Regeneration
by Raluca Lucacel-Ciceo, Roxana Dudric, Razvan Hirian, Iulia Lupan, Oana Koblicska, Roxana Strimbu, Radu George Hategan, Dorina Simedru and Zorita Diaconeasa
Biomimetics 2025, 10(12), 824; https://doi.org/10.3390/biomimetics10120824 - 9 Dec 2025
Viewed by 495
Abstract
In this research, aluminium-doped biphasic calcium phosphate (Al-BCP) was synthesized by co-precipitation and formulated with hydrolyzed collagen and acetylsalicylic acid (ASA) to yield composites designed as a new class of bone-regenerative biomaterials with enhanced biological performance. Undoped and Al-modified powders (5/10 wt% Al [...] Read more.
In this research, aluminium-doped biphasic calcium phosphate (Al-BCP) was synthesized by co-precipitation and formulated with hydrolyzed collagen and acetylsalicylic acid (ASA) to yield composites designed as a new class of bone-regenerative biomaterials with enhanced biological performance. Undoped and Al-modified powders (5/10 wt% Al precursor) were prepared at 40 °C (pH ~ 11) and calcined at 700 °C, and composites were produced at a 1:1:0.1 mass ratio (ceramic–collagen–ASA). Structure and chemistry were assessed by X-ray diffraction (XRD), Fourier-transform infrared (FTIR) and Raman spectroscopies, and X-ray photoelectron spectroscopy (XPS). Morphology and elemental distribution were examined by scanning electron microscopy/energy-dispersive X-ray spectroscopy (SEM/EDX). Biological performance was preliminarily evaluated using HaCaT (immortalized human keratinocytes) viability and antibacterial assays against Staphylococcus aureus and Escherichia coli. XRD confirmed a biphasic hydroxyapatite/β-tricalcium phosphate system and showed that Al incorporation shifted the phase balance toward hydroxyapatite (HAp fraction 54.8% in BCP vs. ~68.6–68.7% in Al-doped samples). FTIR/Raman preserved BCP vibrational signatures and revealed collagen/ASA bands in the composites. XPS/EDX verified the expected composition, including surface N 1s from organics and Al at ~2–5 at% for doped samples, with surface Ca/P ≈ 1.15–1.16. SEM revealed multigranular microstructures with homogeneous Al distribution. All composites were non-cytotoxic (≥70% viability); M_Al10_Col_ASA exceeded 90% viability at 12.5% dilution. Preliminary antibacterial assays against Gram-positive and Gram-negative strains showed modest, time-dependent reductions in CFU relative to controls. These results corroborate the compositional/structural profile and preliminary biological performance of Al-BCP–collagen–ASA composites as multifunctional bone tissue engineering materials that foster a bone-friendly microenvironment, warranting further evaluation for bone regeneration. Full article
(This article belongs to the Special Issue Advances in Bioceramics for Bone Regeneration: 2nd Edition)
Show Figures

Figure 1

Back to TopTop