Evaluation of the Drug–Polymer Compatibility and Dissolution Behaviour of Fenbendazole–Soluplus® Solid Dispersions Prepared by Hot-Melt Extrusion
Abstract
1. Introduction
2. Materials and Methods
2.1. Materials
2.2. Sample Preparation Method
2.2.1. Physical Mixture (PM)
2.2.2. Continuous Manufacturing Using Hot-Melt Extrusion (HME)
2.3. Characterisation Method
2.3.1. Scanning Electron Microscopy and Energy Dispersive X-Ray Spectroscopy
2.3.2. Powder X-Ray Diffraction Spectroscopy (PXRD)
2.3.3. Differential Scanning Calorimetry (DSC)
2.3.4. Fourier Transform Infrared Spectroscopy (FTIR)
2.3.5. In Vitro Dissolution Analysis
3. Results
3.1. Scanning Electron Microscopy (SEM)
3.2. X-Ray Diffraction (XRD)
3.3. Differential Scanning Calorimetry (DSC)
3.4. Fourier Transform Infrared Spectroscopy (FTIR)
3.5. Energy Dispersive X-Ray Spectroscopy
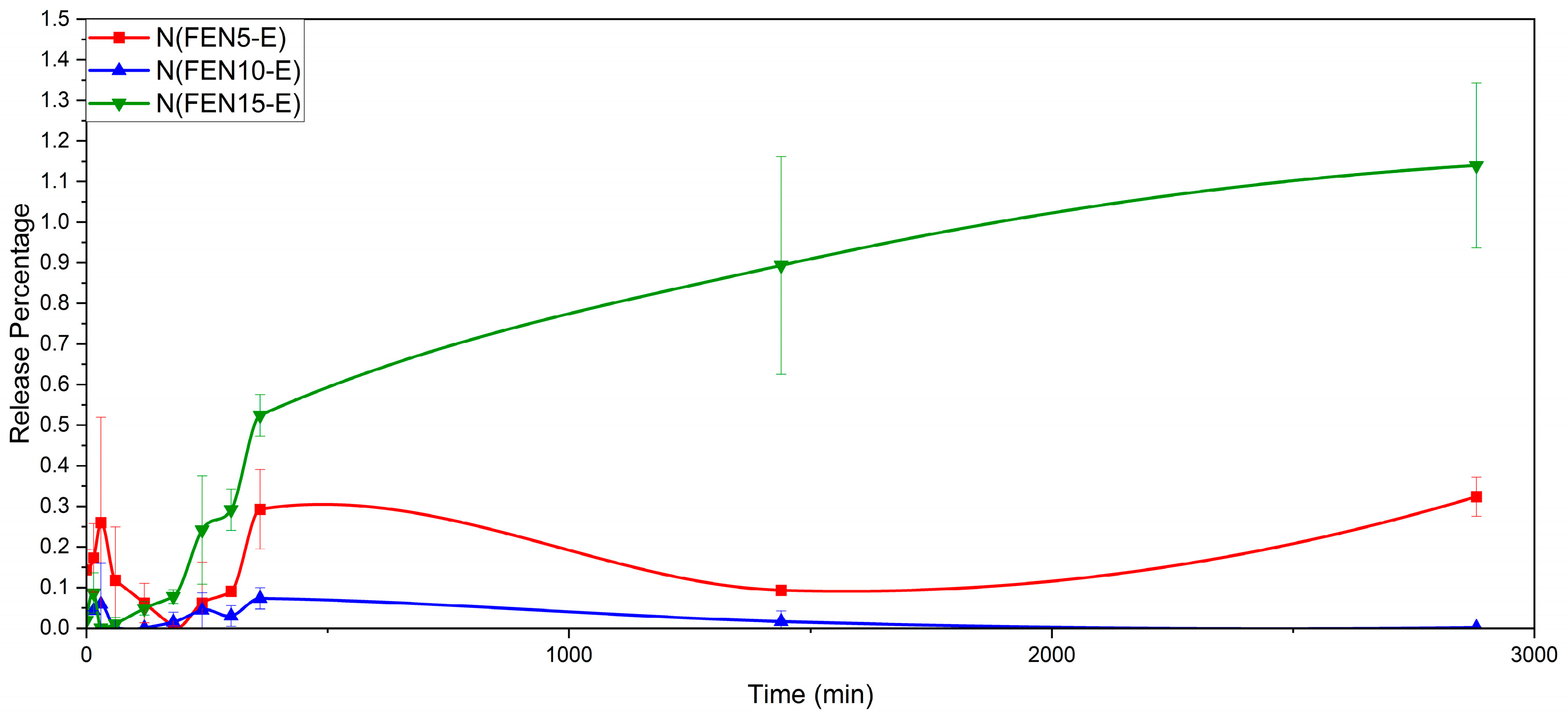
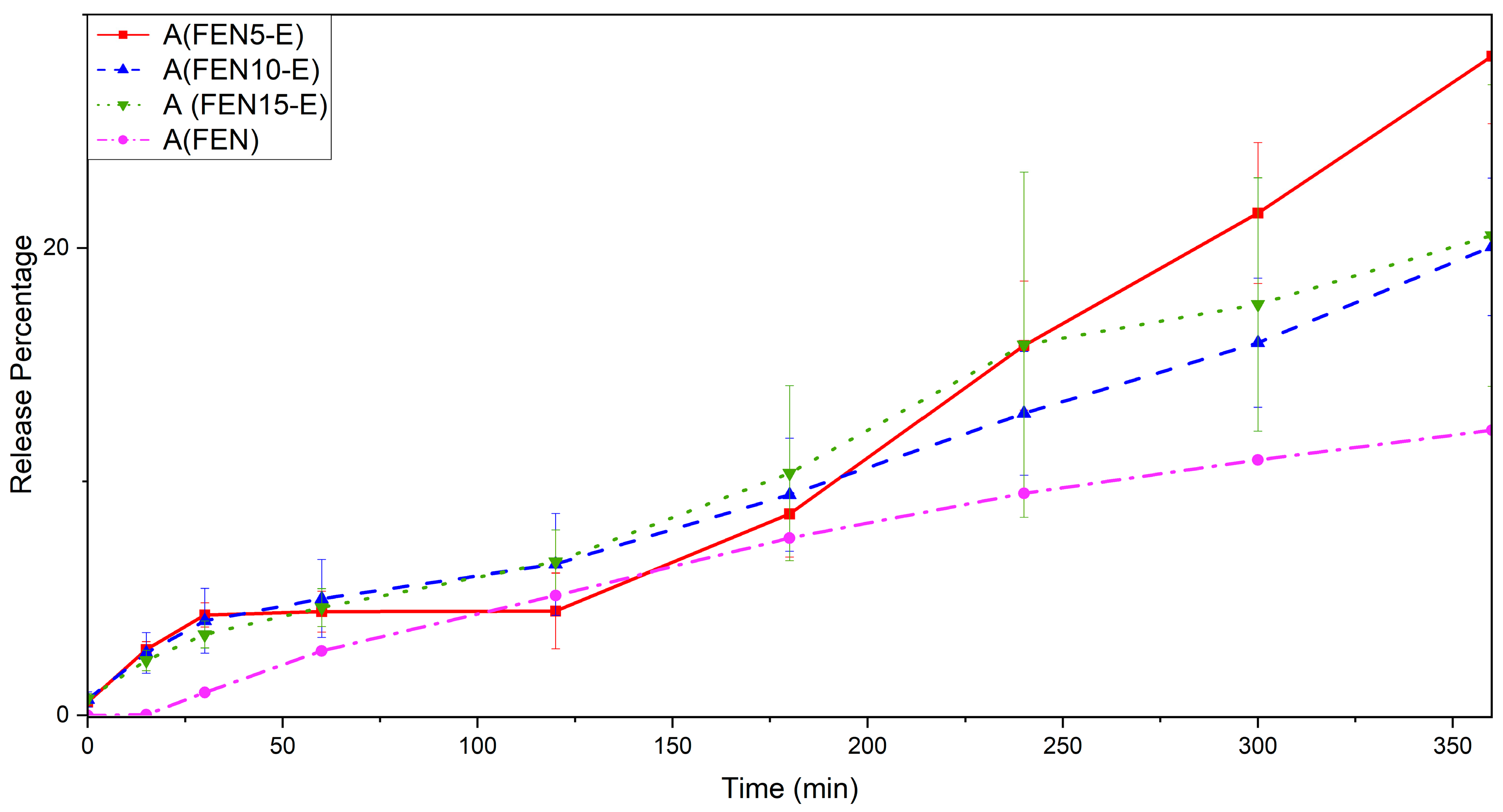
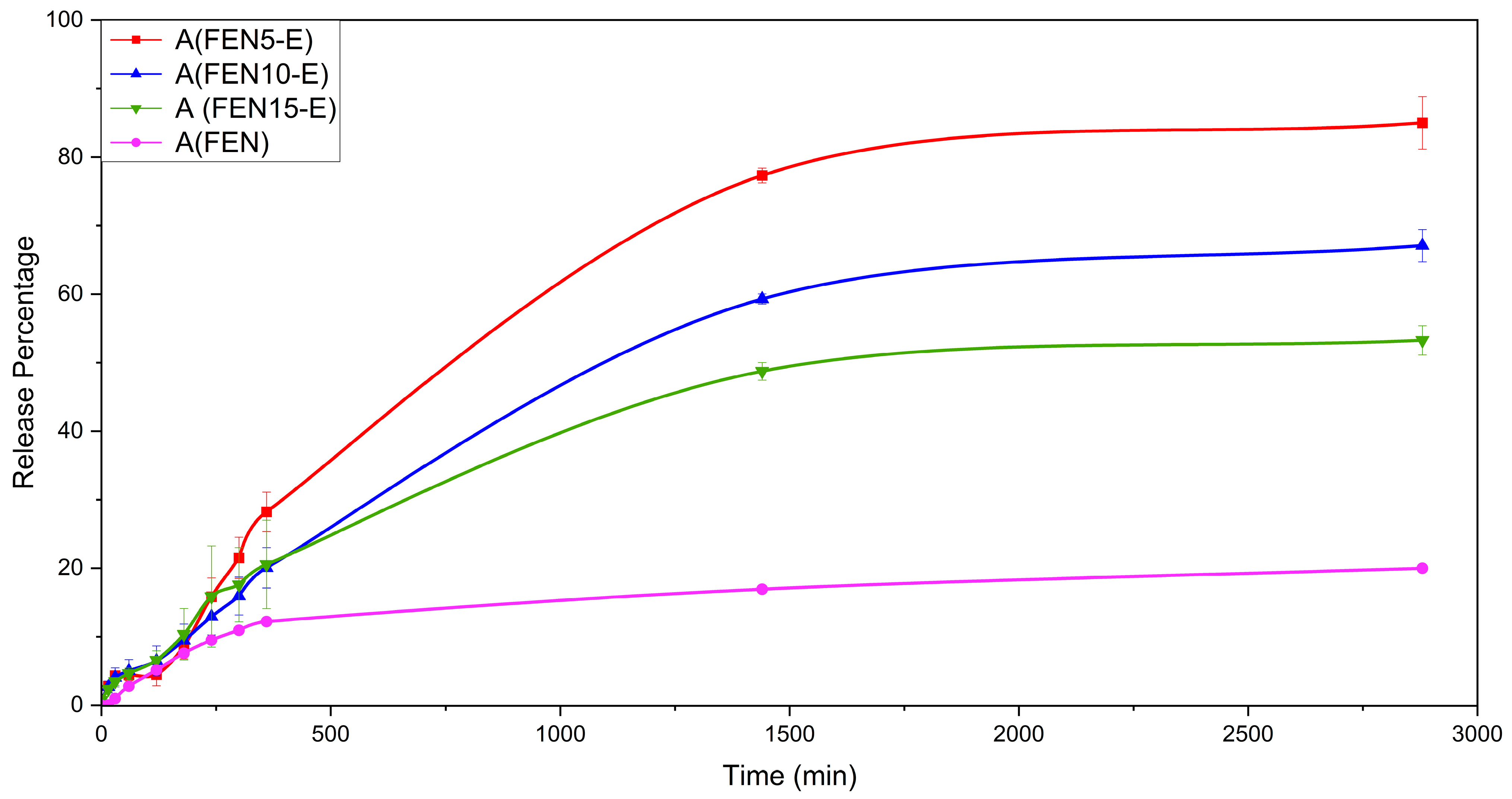
3.6. In Vitro Dissolution Behaviour
4. Discussion
4.1. Effective Factors on Drug Dissolution Rate
4.2. Dissolution Mechanism
4.3. Comparison with Previous Studies
5. Conclusions
Author Contributions
Funding
Institutional Review Board Statement
Informed Consent Statement
Data Availability Statement
Acknowledgments
Conflicts of Interest
References
- Dogra, N.; Kumar, A.; Mukhopadhyay, T. Fenbendazole Acts as a Moderate Microtubule Destabilizing Agent and Causes Cancer Cell Death by Modulating Multiple Cellular Pathways. Sci. Rep. 2018, 8, 11926. [Google Scholar] [CrossRef] [PubMed]
- Park, D.; Lee, J.-H.; Yoon, S.-P. Anti-Cancer Effects of Fenbendazole on 5-Fluorouracil-Resistant Colorectal Cancer Cells. Korean J. Physiol. Pharmacol. 2022, 26, 377–387. [Google Scholar] [CrossRef] [PubMed]
- Pushpakom, S.; Iorio, F.; Eyers, P.A.; Escott, K.J.; Hopper, S.; Wells, A.; Doig, A.; Guilliams, T.; Latimer, J.; McNamee, C.; et al. Drug Repurposing: Progress, Challenges and Recommendations. Nat. Rev. Drug Discov. 2019, 18, 41–58. [Google Scholar] [CrossRef] [PubMed]
- Esfahani, M.K.M.; Alavi, S.E.; Cabot, P.J.; Islam, N.; Izake, E.L. β-Lactoglobulin-Modified Mesoporous Silica Nanoparticles: A Promising Carrier for the Targeted Delivery of Fenbendazole into Prostate Cancer Cells. Pharmaceutics 2022, 14, 884. [Google Scholar] [CrossRef]
- Melian, M.E.; Paredes, A.; Munguía, B.; Colobbio, M.; Ramos, J.C.; Teixeira, R.; Manta, E.; Palma, S.; Faccio, R.; Domínguez, L. Nanocrystals of Novel Valerolactam-Fenbendazole Hybrid with Improved in Vitro Dissolution Performance. AAPS PharmSciTech 2020, 21, 237. [Google Scholar] [CrossRef]
- Esfahani, M.K.M.; Alavi, S.E.; Cabot, P.J.; Islam, N.; Izake, E.L. PEGylated Mesoporous Silica Nanoparticles (MCM-41): A Promising Carrier for the Targeted Delivery of Fenbendazole into Prostrate Cancer Cells. Pharmaceutics 2021, 13, 1605. [Google Scholar] [CrossRef]
- Agrawal, Y.; Patel, V. Nanosuspension: An Approach to Enhance Solubility of Drugs. J. Adv. Pharm. Technol. Res. 2011, 2, 81. [Google Scholar] [CrossRef]
- Li, X.; Gu, L.; Xu, Y.; Wang, Y. Preparation of Fenofibrate Nanosuspension and Study of Its Pharmacokinetic Behavior in Rats. Drug Dev. Ind. Pharm. 2009, 35, 827–833. [Google Scholar] [CrossRef]
- Ravichandran, R. Preparation and Characterization of Albendazole Nanosuspensions for Oral Delivery. Int. J. Green Nanotechnol. Biomed. 2010, 2, B1–B24. [Google Scholar]
- Yang, Z.; Shao, D.; Zhou, G. Analysis of Solubility Parameters of Fenbendazole in Pure and Mixed Solvents and Evaluation of Thermodynamic Model. J. Chem. Thermodyn. 2020, 140, 105876. [Google Scholar] [CrossRef]
- Mohsin, K. Design of Lipid-Based Formulations for Oral Administration of Poorly Water-Soluble Drug Fenofibrate: Effects of Digestion. AAPS PharmSciTech 2012, 13, 637–646. [Google Scholar] [CrossRef]
- Niederquell, A.; Dujovny, G.; Probst, S.E.; Kuentz, M. A Relative Permittivity Approach for Fast Drug Solubility Screening of Solvents and Excipients in Lipid-Based Delivery. J. Pharm. Sci. 2019, 108, 3457–3460. [Google Scholar] [CrossRef] [PubMed]
- Karimi, A.; Barea, P.; Benito-Román, Ó.; Blanco, B.; Sanz, M.T.; Higginbotham, C.L.; Lyons, J.G. Investigation of Fenbendazole Solubility Using Particle Size Reduction Methods in the Presence of Soluplus®. Pharmaceutics 2025, 17, 1163. [Google Scholar] [CrossRef]
- Zhang, J.; Huang, C.; Chen, J.; Xu, R. Equilibrium Solubility Determination and Modeling of Fenbendazole in Cosolvent Mixtures at (283.15–328.15) K. J. Chem. Eng. Data 2019, 64, 4095–4102. [Google Scholar] [CrossRef]
- Bezerra, G.S.N.; de Lima, T.A.D.M.; Colbert, D.M.; Geever, J.; Geever, L. Formulation and Evaluation of Fenbendazole Extended-Release Extrudes Processed by Hot-Melt Extrusion. Polymers 2022, 14, 4188. [Google Scholar] [CrossRef]
- Zhang, Y.; Wischke, C.; Mittal, S.; Mitra, A.; Schwendeman, S.P. Design of Controlled Release PLGA Microspheres for Hydrophobic Fenretinide. Mol. Pharm. 2016, 13, 2622–2630. [Google Scholar] [CrossRef] [PubMed]
- Mankar, S.; Rach, P.R. Solubility Enhancement of Poor Water Soluble Drugs by Solid Dispersion: A Review. J. Drug Deliv. Ther. 2018, 8, 44–49. [Google Scholar] [CrossRef][Green Version]
- Bezerra, G.S.N.; Colbert, D.M.; O’Donnell, C.; Cao, Z.; Geever, J.; Geever, L. Compatibility Study Between Fenbendazole and Poly(Ethylene Oxide) with Application in Solid Dispersion Formulations Using Hot-Melt Extrusion. J. Pharm. Innov. 2022, 18, 262–274. [Google Scholar] [CrossRef]
- Chew, S.A.; Arriaga, M.A.; Hinojosa, V.A. Effects of Surface Area to Volume Ratio of PLGA Scaffolds with Different Architectures on Scaffold Degradation Characteristics and Drug Release Kinetics. J. Biomed. Mater. Res. Part A 2016, 104, 1202–1211. [Google Scholar] [CrossRef]
- Hussain, M.; Xie, J.; Hou, Z.; Shezad, K.; Xu, J.; Wang, K.; Gao, Y.; Shen, L.; Zhu, J. Regulation of Drug Release by Tuning Surface Textures of Biodegradable Polymer Microparticles. ACS Appl. Mater. Interfaces 2017, 9, 14391–14400. [Google Scholar] [CrossRef]
- Pignatello, R.; Corsaro, R. Polymeric Nanomicelles of Soluplus® as a Strategy for Enhancing the Solubility, Bioavailability and Efficacy of Poorly Soluble Active Compounds. Curr. Nanomed. 2019, 9, 184–197. [Google Scholar] [CrossRef]
- Shi, N.-Q.; Lai, H.-W.; Zhang, Y.; Feng, B.; Xiao, X.; Zhang, H.-M.; Li, Z.-Q.; Qi, X.-R. On the Inherent Properties of Soluplus and Its Application in Ibuprofen Solid Dispersions Generated by Microwave-Quench Cooling Technology. Pharm. Dev. Technol. 2018, 23, 573–586. [Google Scholar] [CrossRef]
- Alvarez-Rivera, F.; Fernández-Villanueva, D.; Concheiro, A.; Alvarez-Lorenzo, C. α-Lipoic Acid in Soluplus ® Polymeric Nanomicelles for Ocular Treatment of Diabetes-Associated Corneal Diseases. J. Pharm. Sci. 2016, 105, 2855–2863. [Google Scholar] [CrossRef] [PubMed]
- IR Spectrum Table. Available online: https://www.sigmaaldrich.com/IE/en/technical-documents/technical-article/analytical-chemistry/photometry-and-reflectometry/ir-spectrum-table (accessed on 15 November 2023).
- Phillipson, K.; Hay, J.N.; Jenkins, M.J. Thermal Analysis FTIR Spectroscopy of Poly(ε-Caprolactone). Thermochim. Acta 2014, 595, 74–82. [Google Scholar] [CrossRef]
- Meaurio, E.; Martinez de Arenaza, I.; Lizundia, E.; Sarasua, J.R. Analysis of the C=O Stretching Band of the α-Crystal of Poly(L-Lactide). Macromolecules 2009, 42, 5717–5727. [Google Scholar] [CrossRef]
- Ramírez-Hernández, A.; Aguilar-Flores, C.; Aparicio-Saguilán, A. Fingerprint Analysis of FTIR Spectra of Polymers Containing Vinyl Acetate. Dyna 2019, 86, 198–205. [Google Scholar] [CrossRef]
- Matsuura, H.; Miyazawa, T.; Machida, K. Infrared Spectra of Poly(Ethylene Glycol) Dimethyl Ethers in the Crystalline State. Spectrochim. Acta Part A 1973, 29, 771–779. [Google Scholar] [CrossRef]
- Caccamo, M.T.; Magazù, S. Ethylene Glycol—Polyethylene Glycol (EG-PEG) Mixtures: Infrared Spectra Wavelet Cross-Correlation Analysis. Appl. Spectrosc. 2017, 71, 401–409. [Google Scholar] [CrossRef]
- Nejad, A.; Meyer, E.; Suhm, M.A. Glycolic Acid as a Vibrational Anharmonicity Benchmark. J. Phys. Chem. Lett. 2020, 11, 5228–5233. [Google Scholar] [CrossRef]
- Blume, A.; Huebner, W.; Messner, G. Fourier Transform Infrared Spectroscopy of 13C:O Labeled Phospholipids Hydrogen Bonding to Carbonyl Groups. Biochemistry 1988, 27, 8239–8249. [Google Scholar] [CrossRef]
- López, A.; Lis, M.J.; Bezerra, F.M.; Vilaseca, M.; Vallés, B.; Prieto, R.; Simó, M. Production and Evaluation of Antimicrobial Microcapsules with Essential Oils Using Complex Coacervation. J. Biomed. Sci. Eng. 2019, 12, 377–390. [Google Scholar] [CrossRef]
- Li, N.; Huang, C.; Luan, Y.; Song, A.; Song, Y.; Garg, S. Active Targeting Co-Delivery System Based on PH-Sensitive Methoxy-Poly(Ethylene Glycol)2K-Poly(ε-Caprolactone)4K-Poly(Glutamic Acid)1K for Enhanced Cancer Therapy. J. Colloid Interface Sci. 2016, 472, 90–98. [Google Scholar] [CrossRef]
- Zhang, Y.; Huo, M.; Zhou, J.; Zou, A.; Li, W.; Yao, C.; Xie, S. DDSolver: An Add-In Program for Modeling and Comparison of Drug Dissolution Profiles. AAPS J. 2010, 12, 263–271. [Google Scholar] [CrossRef] [PubMed]
- Siepmann, J.; Siepmann, F. Mathematical Modeling of Drug Delivery. Int. J. Pharm. 2008, 364, 328–343. [Google Scholar] [CrossRef] [PubMed]
- Wu, X.Y.; Zhou, Y. Finite Element Analysis of Diffusional Drug Release from Complex Matrix Systems. J. Control. Release 1998, 51, 57–71. [Google Scholar] [CrossRef]
- Schreiner, T.; Schaefer, U.F.; Loth, H. Immediate Drug Release from Solid Oral Dosage Forms. J. Pharm. Sci. 2005, 94, 120–133. [Google Scholar] [CrossRef] [PubMed]
- Upadhyay, P.; Chaudhary, P.; Upadhyay, S. A Review on Formulation and Evaluation Approaches for Fast Release Tablet. Mathews J. Pharm. Sci. 2023, 7, 15. [Google Scholar] [CrossRef]
- Quinten, T.; De Beer, T.; Almeida, A.; Vlassenbroeck, J.; Van Hoorebeke, L.; Remon, J.P.; Vervaet, C. Development and Evaluation of Injection-Molded Sustained-Release Tablets Containing Ethylcellulose and Polyethylene Oxide. Drug Dev. Ind. Pharm. 2011, 37, 149–159. [Google Scholar] [CrossRef]
- Jin, I.S.; Jo, M.J.; Park, C.-W.; Chung, Y.B.; Kim, J.-S.; Shin, D.H. Physicochemical, Pharmacokinetic, and Toxicity Evaluation of Soluplus® Polymeric Micelles Encapsulating Fenbendazole. Pharmaceutics 2020, 12, 1000. [Google Scholar] [CrossRef]
- Melian, M.E.; Nieva, C.A.B.; Domínguez, L.; Gonzo, E.E.; Palma, S.; Bermúdez, J.M. Dissolution Profiles of Fenbendazole from Binary Solid Dispersions: A Mathematical Approach. Ther. Deliv. 2021, 12, 597–610. [Google Scholar] [CrossRef]



















| Samples | FEN5 | FEN10 | FEN15 | FEN5-E | FEN10-E | FEN15-E | SOL-E | FEN | SOL | |
|---|---|---|---|---|---|---|---|---|---|---|
| Characteristics | ||||||||||
| Fenbendazole (gram) | 5 | 10 | 15 | 5 | 10 | 15 | 0 | 5 | 0 | |
| Soluplus® (gram) | 95 | 90 | 85 | 95 | 90 | 85 | 100 | 0 | 5 | |
| Preparation Method * | PM | PM | PM | HME | HME | HME | HME | Neat | Neat | |
| Sample | Tg (1st Heating Cycle) °C | Tg (1st Cooling Cycle) °C | Tg (2nd Heating Cycle) °C | Tm (2nd Heating Cycle) °C |
|---|---|---|---|---|
| FEN | - | - | - | 235 (in a range) |
| SOL | 65.1 | 65.2 | 65.1 | - |
| FEN5 | 60.7 | 46.9 | 46.9 | - |
| FEN5-E | 46.1 | 46.0 | 45.8 | - |
| FEN10 | 61.2 | 46.5 | 46.6 | - |
| FEN10-E | 46.8 | 45.8 | 46.0 | - |
| FEN15 | 59.8 | 55.7 | 55.3 | - |
| FEN15-E | 55.0 | 54.6 | 52.3 | - |
| Bonds, Wavelength Range cm−1 | C–S Thioether 700–750 | C–O–C (Ether) 1000–1100 | N–H Bending (Amide) 1540–1560 | C=C Aromatic Ring Stretching 1450–1600 | C=O Stretching (Carbomate) 1700–1720 | C=O (Ester) 1730–1740 | N–H –H Hydrogen Bond 3200–3600 | |
|---|---|---|---|---|---|---|---|---|
| Sample | ||||||||
| FEN | ☑ | – | ☑ | ☑ | ☑ | – | ☑ (Negligible) | |
| SOL | – | ☑ | ☑ | – | – | ☑ | – | |
| FEN5 | ☑ | ☑ | ☑ | ☑ | ☑ | ☑ | ☑ (Obvious) | |
| FEN5-E | ☑ | ☑ | ☑ | ☑ | ☑ | ☑ | ☑ (Broad) | |
| FEN10 | ☑ | ☑ | ☑ | ☑ | ☑ | ☑ | ☑ (Obvious) | |
| FEN10-E | ☑ | ☑ | ☑ | ☑ | ☑ | ☑ | ☑ (Broad) | |
| FEN15 | ☑ | ☑ | ☑ | ☑ | ☑ | ☑ | ☑ (Obvious) | |
| FEN15-E | ☑ | ☑ | ☑ | ☑ | ☑ | ☑ | ☑ (Broad) | |
| Elements% | Carbon | Oxygen | Sulphur | Expected Sulphur | Others | Total | |
|---|---|---|---|---|---|---|---|
| Samples | |||||||
| FEN | 59.37 | 12.90 | 9.29 | 9.29 | 18.44 | 100.00 | |
| SOL | 67.61 | 32.39 | - | - | - | 100.00 | |
| SOL-E | 70.80 | 29.12 | - | - | 0.08 | 100.00 | |
| FEN5-E | 64.34 | 35.29 | 0.09 | 0.5 | 0.27 | 100.00 | |
| FEN10-E | 69.50 | 29.95 | 0.55 | 1 | - | 100.00 | |
| FEN15-E | 64.26 | 35.58 | 0.16 | 1.5 | - | 100.00 | |
| FEN5 | 67.65 | 31.72 | 0.63 | 0.5 | - | 100.00 | |
| FEN10 | 68.71 | 29.72 | 1.57 | 1 | - | 100.00 | |
| FEN15 | 71.71 | 24.84 | 3.45 | 1.5 | - | 100.00 | |
| Release Model | Equation | Parameter | FEN5-E | FEN10-E | FEN15-E |
|---|---|---|---|---|---|
| Zero-order | R2 adjusted | 0.83 | 0.84 | 0.71 | |
| AIC | 81.88 | 75.44 | 76.09 | ||
| MSC | 1.66 | 1.70 | 1.19 | ||
| First-order | R2 adjusted | 0.97 | 0.95 | 0.85 | |
| AIC | 59.63 | 59.58 | 67.75 | ||
| MSC | 3.68 | 3.15 | 1.95 | ||
| Higuchi | R2 adjusted | 0.90 | 0.92 | 0.93 | |
| AIC | 76.06 | 67.11 | 61.42 | ||
| MSC | 2.19 | 2.46 | 2.53 | ||
| Korsmeyer-Peppas | R2 adjusted | 0.93 | 0.95 | 0.94 | |
| AIC | 72.95 | 63.21 | 60.14 | ||
| MSC | 2.47 | 2.82 | 2.65 | ||
| N | 0.64 | 0.63 | 0.55 | ||
| Peppas-Sahlin | R2 adjusted | 0.95 | 0.96 | 0.97 | |
| AIC | 65.61 | 55.30 | 45.91 | ||
| MSC | 3.14 | 3.53 | 3.94 | ||
| M | 0.47 | 0.45 | 0.63 | ||
| k1 | −6.47 | −3.57 | −1.84 | ||
| k2 | 3.09 | 1.73 | 1.08 |
Disclaimer/Publisher’s Note: The statements, opinions and data contained in all publications are solely those of the individual author(s) and contributor(s) and not of MDPI and/or the editor(s). MDPI and/or the editor(s) disclaim responsibility for any injury to people or property resulting from any ideas, methods, instructions or products referred to in the content. |
© 2026 by the authors. Licensee MDPI, Basel, Switzerland. This article is an open access article distributed under the terms and conditions of the Creative Commons Attribution (CC BY) license.
Share and Cite
Karimi, A.; Bezerra, G.S.N.; Higginbotham, C.L.; Lyons, J.G. Evaluation of the Drug–Polymer Compatibility and Dissolution Behaviour of Fenbendazole–Soluplus® Solid Dispersions Prepared by Hot-Melt Extrusion. Polymers 2026, 18, 333. https://doi.org/10.3390/polym18030333
Karimi A, Bezerra GSN, Higginbotham CL, Lyons JG. Evaluation of the Drug–Polymer Compatibility and Dissolution Behaviour of Fenbendazole–Soluplus® Solid Dispersions Prepared by Hot-Melt Extrusion. Polymers. 2026; 18(3):333. https://doi.org/10.3390/polym18030333
Chicago/Turabian StyleKarimi, Amirhossein, Gilberto S. N. Bezerra, Clement L. Higginbotham, and John G. Lyons. 2026. "Evaluation of the Drug–Polymer Compatibility and Dissolution Behaviour of Fenbendazole–Soluplus® Solid Dispersions Prepared by Hot-Melt Extrusion" Polymers 18, no. 3: 333. https://doi.org/10.3390/polym18030333
APA StyleKarimi, A., Bezerra, G. S. N., Higginbotham, C. L., & Lyons, J. G. (2026). Evaluation of the Drug–Polymer Compatibility and Dissolution Behaviour of Fenbendazole–Soluplus® Solid Dispersions Prepared by Hot-Melt Extrusion. Polymers, 18(3), 333. https://doi.org/10.3390/polym18030333

