Sign in to use this feature.

Years

Between: -

Subjects

remove_circle_outline
remove_circle_outline
remove_circle_outline
remove_circle_outline
remove_circle_outline
remove_circle_outline
remove_circle_outline
remove_circle_outline
remove_circle_outline

Journals

Article Types

Countries / Regions

Search Results (22)

Search Parameters:
Keywords = electrocoagulation cell

Order results
Result details
Results per page
Select all
Export citation of selected articles as:
15 pages, 1540 KB  
Article
Efficient Oily Wastewater Treatment via Electrocoagulation: Process Optimization and Sludge Analysis
by Qusay Al-Obaidi, Ammar W. Saeed, Mohammed K. Al Mesfer, Mohd Danish, Mumtaj Shah and Khursheed B. Ansari
Water 2025, 17(24), 3529; https://doi.org/10.3390/w17243529 - 13 Dec 2025
Viewed by 560
Abstract
Oily wastewater treatment is crucial for protecting the environment and ensuring sustainable water use. The current study examines the effectiveness of electrocoagulation in treating oily wastewater by conducting several batch experiments designed to determine the best operating conditions. Various factors affecting the performance [...] Read more.
Oily wastewater treatment is crucial for protecting the environment and ensuring sustainable water use. The current study examines the effectiveness of electrocoagulation in treating oily wastewater by conducting several batch experiments designed to determine the best operating conditions. Various factors affecting the performance of electrocoagulation, such as applied current density, electrode type, and pH, were studied. The results indicate that, under ideal conditions, electrocoagulation worked very well. The best results were obtained by involving an applied current density of 6 mA/cm2, a mild steel anode, and a pH of 6.7. Under these conditions, the process removed 94% of the chemical oxygen demand (COD) from the oily wastewater. Scanning electron microscopy (SEM) and energy-dispersive X-ray spectrometry (EDAX) were used to characterize the residual sludge left in the reactor. The characterization results show that the oily pollutants were successfully removed through electroflotation. Additionally, oil precipitate particles were easily coated during the electrocoagulation operation. The findings show that electrocoagulation is an effective method for treating oil-contaminated wastewater. Full article
(This article belongs to the Special Issue Application of Electrochemical Technologies in Wastewater Treatment)
Show Figures

Figure 1

22 pages, 2419 KB  
Article
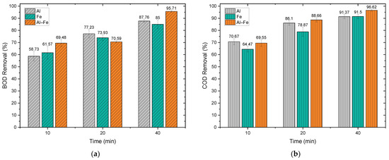
Favourable Conditions for the Removal of BOD and COD in Municipal Wastewater by Electrocoagulation
by Karito Liseth Terrones-Díaz, Senaida Soledad Segura-Vera and Germán Luis Huerta-Chombo
Sustainability 2025, 17(17), 7803; https://doi.org/10.3390/su17177803 - 29 Aug 2025
Cited by 1 | Viewed by 1900
Abstract
The objective of this study was to evaluate the influence of electrocoagulation conditions on the removal of biochemical oxygen demand (BOD) and chemical oxygen demand (COD) in municipal wastewater from the district of Cascas, in line with Sustainable Development Goal 6: Clean Water [...] Read more.
The objective of this study was to evaluate the influence of electrocoagulation conditions on the removal of biochemical oxygen demand (BOD) and chemical oxygen demand (COD) in municipal wastewater from the district of Cascas, in line with Sustainable Development Goal 6: Clean Water and Sanitation. A quantitative applied approach was adopted, using an experimental factorial design. Wastewater samples were collected from key points in the sewerage system and treated in electrochemical cells using aluminium (Al), iron (Fe) and combined Fe-Al electrodes. Three voltage levels (10.3 V, 20.2 V and 30.1 V) and three times (10, 20 and 40 min) were evaluated. The highest removal efficiencies were achieved with the Al-Fe electrode at 30.1 V and 40 min, reaching 96% BOD and 97% COD removal. The results demonstrate that electrode type, voltage and treatment time significantly affect contaminant removal. Thus, electrocoagulation is confirmed as a highly effective and low-cost technology for municipal wastewater treatment, with a strong potential for implementation in areas lacking adequate sanitary infrastructure. Full article
Show Figures

Figure 1

26 pages, 4898 KB  
Article
A Framework for Optimal Parameter Selection in Electrocoagulation Wastewater Treatment Using Integrated Physics-Based and Machine Learning Models
by Kyu Taek Cho, Adam Cotton and Tomoyuki Shibata
Sustainability 2025, 17(10), 4604; https://doi.org/10.3390/su17104604 - 17 May 2025
Viewed by 1574
Abstract
Electrocoagulation (EC) systems are regaining attention as a promising wastewater treatment technology due to their numerous advantages, including low system and operational costs and environmental friendliness. However, the widespread adoption and further development of EC systems have been hindered by a lack of [...] Read more.
Electrocoagulation (EC) systems are regaining attention as a promising wastewater treatment technology due to their numerous advantages, including low system and operational costs and environmental friendliness. However, the widespread adoption and further development of EC systems have been hindered by a lack of fundamental understanding, necessitating systematic research to provide essential insights for system developers. In this study, a continuous EC system with a realistic setup is analyzed using an unsteady, two-dimensional physics-based model that incorporates multiphysics. The model captures key mechanisms, such as arsenic adsorption onto flocs, electrochemical reactions at the electrodes, chemical reactions in the bulk solution, and ionic species transport via diffusion and convection. Additionally, it accounts for bulk wastewater flow circulating between the EC cell and an external storage tank. This comprehensive modeling approach enables a fundamental analysis of how operating conditions influence arsenic removal efficiency, providing crucial insights for optimizing system utilization. Furthermore, the developed model is used to generate data under various operating conditions. Seven machine learning models are trained on this data after hyperparameter optimization. These high-accuracy models are then employed to develop processing maps that identify the conditions necessary to achieve acceptable removal efficiency. This study is the first to generate processing maps by synergistically integrating physics-based and data-driven models. These maps provide clear design and operational guidelines, helping researchers and engineers optimize EC systems. This research establishes a framework for combining physics-based and data-driven modeling approaches to generate processing maps that serve as essential guidelines for wastewater treatment applications. Full article
(This article belongs to the Section Energy Sustainability)
Show Figures

Figure 1

13 pages, 3696 KB  
Article
Coupling Electro-Fenton and Electrocoagulation of Aluminum–Air Batteries for Enhanced Tetracycline Degradation: Improving Hydrogen Peroxide and Power Generation
by Zhenghan Zhou, Wei Wei, Houfan Wu, Haoyang Gong, Kai Zhou, Qiyuan Zheng, Shaogen Liu, Ling Gui, Zhongqi Jiang and Shuguang Zhu
Molecules 2024, 29(16), 3781; https://doi.org/10.3390/molecules29163781 - 9 Aug 2024
Cited by 1 | Viewed by 2003
Abstract
Electro-Fenton (EF) technology has shown great potential in environmental remediation. However, developing efficient heterogeneous EF catalysts and understanding the relevant reaction mechanisms for pollutant degradation remain challenging. We propose a new system that combines aluminum–air battery electrocoagulation (EC) with EF. The system utilizes [...] Read more.
Electro-Fenton (EF) technology has shown great potential in environmental remediation. However, developing efficient heterogeneous EF catalysts and understanding the relevant reaction mechanisms for pollutant degradation remain challenging. We propose a new system that combines aluminum–air battery electrocoagulation (EC) with EF. The system utilizes dual electron reduction of O2 to generate H2O2 in situ on the air cathodes of aluminum–air batteries and the formation of primary cells to produce electricity. Tetracycline (TC) is degraded by ·OH produced by the Fenton reaction. Under optimal conditions, the system exhibits excellent TC degradation efficiency and higher H2O2 production. The TC removal rate by the reaction system using a graphite cathode reached nearly 100% within 4 h, whereas the H2O2 yield reached 127.07 mg/L within 24 h. The experimental results show that the novel EF and EC composite system of aluminum–air batteries, through the electroflocculation mechanism and ·OH and EF reactions, with EC as the main factor, generates multiple •OH radicals that interact to efficiently remove TC. This work provides novel and important insights into EF technology, as well as new strategies for TC removal. Full article
Show Figures

Figure 1

19 pages, 6076 KB  
Article
Continuous Electrocoagulation for a Sustainable Water Treatment: Effects of Electrode Configuration, Electrical Connection Mode, and Polarity Reversal on Fluoride Removal
by Sirin Dhifallah, Anis Attour, Christophe Vial, Fethi Zagrouba and Fabrice Audonnet
Sustainability 2024, 16(13), 5765; https://doi.org/10.3390/su16135765 - 6 Jul 2024
Cited by 3 | Viewed by 3071
Abstract
Water pollution in southern Tunisia, particularly in the mining basin of Gafsa, is primarily due to elevated levels of fluoride ions. This study focuses on removing fluoride from Metlaoui’s tap water through a continuous electrocoagulation (EC) treatment. With a fluoride concentration of 3.5 [...] Read more.
Water pollution in southern Tunisia, particularly in the mining basin of Gafsa, is primarily due to elevated levels of fluoride ions. This study focuses on removing fluoride from Metlaoui’s tap water through a continuous electrocoagulation (EC) treatment. With a fluoride concentration of 3.5 mg·L−1, this water exhibits the highest fluoride levels in Gafsa’s mining basin. The study investigates the impact of electrode configuration on fluoride removal from tap water through continuous electrocoagulation treatment. Configuring the electrodes perpendicular to the water flow improves the aluminum dissolution by electrocoagulation and the fluoride removal efficiency. Additionally, the study explores the effect of electrical connection modes on electrode performance, showing consistent fluoride removal yield under identical current densities and electrochemical cell numbers. Furthermore, the study examines cathodic deposit removal through polarity reversal, demonstrating its effectiveness in eliminating deposits and achieving high fluoride removal yields, especially with polarity reversal every minute. This method proves to be an efficient approach for a more sustainable fluorinated water treatment, eliminating cathodic deposits without the need for chemical or mechanical interventions, and without producing additional effluents or waste. The optimization of these parameters not only enhances fluoride removal efficiency, but also reduces energy consumption and operational costs, thereby promoting the sustainable management of energy and water resources. Full article
Show Figures

Figure 1

17 pages, 1360 KB  
Article
Extensive Study of Electrocoagulation-Based Adsorption Process of Real Groundwater Treatment: Isotherm Modeling, Adsorption Kinetics, and Thermodynamics
by Forat Yasir AlJaberi
Water 2024, 16(4), 619; https://doi.org/10.3390/w16040619 - 19 Feb 2024
Cited by 16 | Viewed by 3019
Abstract
In this study, several adsorption models were studied to predict the adsorption kinetics of turbidity on an electro-generated adsorbent throughout the electrocoagulation remediation of real groundwater. A new design for an electrocoagulation reactor consisting of a finned anode positioned concentrically in a tube-shaped [...] Read more.
In this study, several adsorption models were studied to predict the adsorption kinetics of turbidity on an electro-generated adsorbent throughout the electrocoagulation remediation of real groundwater. A new design for an electrocoagulation reactor consisting of a finned anode positioned concentrically in a tube-shaped cathode was fabricated, providing a significant active area compared to its immersed volume. This work completed a previous electrochemical study through a deep investigation of adsorption technology that proceeded throughout the electrocoagulation reactor under optimal operating conditions, namely a treatment period of 2–30 min, a 2.3-Ampere current, and a stirring speed of 50 rpm. The one-, two-, and three-parameter adsorption models investigated in this study possess significant regression coefficients: Henry (R2 = 1.000), Langmuir (R2 = 0.9991), Freundlich (R2 = 0.9979), Temkin (R2 = 0.9990), Kiselev (R2 = 0.8029), Harkins–Jura (R2 = 0.9943), Halsey (R2 = 0.9979), Elovich (R2 = 0.9997), Jovanovic (R2 = 0.9998), Hill–de Boer (R2 = 0.8346), Fowler–Guggenheim (R2 = 0.8834), Dubinin–Radushkevich (R2 = 0.9907), Sips (R2 = 0.9834), Toth (R2 = 0.9962), Jossens (R2 = 0.9998), Redlich–Peterson (R2 = 0.9991), Koble–Carrigan (R2 = 0.9929), and Radke–Prausnitz (R2 = 0.9965). The current behavior of the adsorption–electrocoagulation system follows pseudo-first-order kinetics (R2 = 0.8824) and the Bangham and Burt mass transfer model (R2 = 0.9735). The core findings proved that an adsorption-method-based electrochemical cell has significant outcomes, and all the adsorption models could be taken into consideration, along with other kinetic and thermodynamics investigations as well. Full article
(This article belongs to the Section Wastewater Treatment and Reuse)
Show Figures

Figure 1

29 pages, 3870 KB  
Review
Examining Current and Future Applications of Electrocoagulation in Wastewater Treatment
by Yi Mao, Yaqian Zhao and Sarah Cotterill
Water 2023, 15(8), 1455; https://doi.org/10.3390/w15081455 - 7 Apr 2023
Cited by 105 | Viewed by 29643
Abstract
Electrocoagulation (EC) has gained increasing attention as an effective and environmentally friendly technique for purifying water and wastewater. This review provides a comprehensive analysis of the recent literature on EC and identifies new trends and potentials for further research. Initially, the nature of [...] Read more.
Electrocoagulation (EC) has gained increasing attention as an effective and environmentally friendly technique for purifying water and wastewater. This review provides a comprehensive analysis of the recent literature on EC and identifies new trends and potentials for further research. Initially, the nature of EC and its operating parameters are discussed, while the research trends are analyzed using the Scopus database and VOSviewer software. From 1977 to 2022, 2691 research articles and review papers on EC for water/wastewater treatment were published, with the number of publications increasing from 2 in 1977 to 293 in 2022. In the past five years, most studies focused on treatment performance and the mechanism of EC systems. However, recent emphasis has been placed on combining EC with other treatment processes and addressing emerging pollutants. The innovative applications of EC are highlighted, including the removal of microplastics and per/polyfluoroalkyl substances, the power supply of EC via microbial fuel cells (MFCs) and electro-wetlands (EWs), and the application of power management systems in EC. The review concludes with suggestions for further research to enhance the technology and expand its scope of applications. Full article
(This article belongs to the Section Wastewater Treatment and Reuse)
Show Figures

Figure 1

13 pages, 5215 KB  
Article
Simultaneous Phosphate Removal and Power Generation by the Aluminum–Air Fuel Cell for Energy Self-Sufficient Electrocoagulation
by Xiaoyu Han, Hanlin Qi, Youpeng Qu, Yujie Feng and Xin Zhao
Appl. Sci. 2023, 13(7), 4628; https://doi.org/10.3390/app13074628 - 6 Apr 2023
Cited by 8 | Viewed by 2823
Abstract
A self-powered electrocoagulation system with a single-chamber aluminum–air fuel cell was employed for phosphate removal in this study. Electricity production and aluminum hydroxides in solution were also investigated. When the NaCl concentration increased from 2 mmol/L to 10 mmol/L, the phosphate removal increased [...] Read more.
A self-powered electrocoagulation system with a single-chamber aluminum–air fuel cell was employed for phosphate removal in this study. Electricity production and aluminum hydroxides in solution were also investigated. When the NaCl concentration increased from 2 mmol/L to 10 mmol/L, the phosphate removal increased from 86.9% to 97.8% in 60 min. An electrolyte composed of 10 mmol/L of NaCl was shown to obtain a maximum power density generation of 265.7 mW/m2. When the initial solution pH ranged from 5.0 to 9.0, 98.5% phosphate removal and a maximum power density of 338.1 mW/m2 were obtained at pH 6.0. Phosphate was mainly removed by aluminum hydroxide adsorption. These results demonstrate that the aluminum–air fuel cell can be applied as electricity-producing electrocoagulation equipment. Aluminum–air fuel cells provide an alternative method to meet the goal of carbon neutrality in wastewater treatment compared with traditional energy-consuming electrocoagulation systems. Full article
(This article belongs to the Special Issue Low Carbon Water Treatment and Energy Recovery)
Show Figures

Figure 1

18 pages, 2407 KB  
Article
Combined Electrodialysis and Electrocoagulation as Treatment for Industrial Wastewater Containing Arsenic and Copper
by Henrik K. Hansen, Claudia Gutiérrez, Jorge Leiva Gonzalez, Andrea Lazo, Marcela E. Hansen, Pamela Lazo, Lisbeth M. Ottosen and Rodrigo Ortiz
Membranes 2023, 13(3), 264; https://doi.org/10.3390/membranes13030264 - 23 Feb 2023
Cited by 21 | Viewed by 4663
Abstract
In copper smelting processes, acidic effluents are generated that contain inorganic contaminants such as arsenic and copper. Nowadays, the treatment of wastewater is done by physicochemical methods without copper recovery. Electrodialysis is an alternative process that can recover copper. Moreover, when electrocoagulation is [...] Read more.
In copper smelting processes, acidic effluents are generated that contain inorganic contaminants such as arsenic and copper. Nowadays, the treatment of wastewater is done by physicochemical methods without copper recovery. Electrodialysis is an alternative process that can recover copper. Moreover, when electrocoagulation is applied to remove arsenic from wastewater, a more stable final sludge of less volume is obtained. The present research studies the application of a combined electrodialysis and electrocoagulation process to (1) recover Cu and (2) precipitate and remove arsenic simultaneously in the same batch reactor, using synthetic wastewater that simulates wastewater from a copper smelter. Copper and arsenic could be removed and separated by the electrodialysis part, and the electrocoagulation of arsenic was verified. With electrodialysis, the arsenic and copper removals were 67% and 100%, respectively, while 82% of the arsenic arriving at the electrocoagulation part of the cell could be precipitated and removed by this process. Initial concentrations were around 815 mg L−1 Cu and 7700 mg L−1 As. The optimal current was found to be 1.36 A due to the shorter treatment times necessary to get removal percentages, recovery percentages and energy/removed copper mass ratios in the same ranges as the values achieved with a current of 1.02 A. In summary, the combined process is a promising tool for simultaneous copper recovery and arsenic removal. Full article
Show Figures

Figure 1

33 pages, 6449 KB  
Review
A Review of the Use of Electrolytic Cells for Energy and Environmental Applications
by Ana P. R. A. Ferreira, Raisa C. P. Oliveira, Maria Margarida Mateus and Diogo M. F. Santos
Energies 2023, 16(4), 1593; https://doi.org/10.3390/en16041593 - 5 Feb 2023
Cited by 26 | Viewed by 8032
Abstract
There is a significant push to reduce carbon dioxide (CO2) emissions and develop low-cost fuels from renewable sources to replace fossil fuels in applications such as energy production. As a result, CO2 conversion has gained widespread attention as it can [...] Read more.
There is a significant push to reduce carbon dioxide (CO2) emissions and develop low-cost fuels from renewable sources to replace fossil fuels in applications such as energy production. As a result, CO2 conversion has gained widespread attention as it can reduce the accumulation of CO2 in the atmosphere and produce fuels and valuable industrial chemicals, including carbon monoxide, alcohols, and hydrocarbons. At the same time, finding ways to store energy in batteries or energy carriers such as hydrogen (H2) is essential. Water electrolysis is a powerful technology for producing high-purity H2, with negligible emission of greenhouse gases, and compatibility with renewable energy sources. Additionally, the electrolysis of organic compounds, such as lignin, is a promising method for localised H2 production, as it requires lower cell voltages than conventional water electrolysis. Industrial wastewater can be employed in those organic electrolysis systems due to their high organic content, decreasing industrial pollution through wastewater disposal. Electrocoagulation, indirect electrochemical oxidation, anodic oxidation, and electro-Fenton are effective electrochemical methods for treating industrial wastewater. Furthermore, bioenergy technology possesses a remarkable potential for producing H2 and other value-added chemicals (e.g., methane, formic acid, hydrogen peroxide), along with wastewater treatment. This paper comprehensively reviews these approaches by analysing the literature in the period 2012–2022, pointing out the high potential of using electrolytic cells for energy and environmental applications. Full article
(This article belongs to the Special Issue Advances in Hydrogen Energy Production and Storage)
Show Figures

Graphical abstract

12 pages, 2664 KB  
Article
Differential Modulation of the Excitatory and Inhibitory Synaptic Circuits of Retinal Ganglion Cells via Asiatic Acid in a Chronic Glaucoma Rat Model
by Yinglei Zhang, Chunyan Hu, Cong Niu, Jiaxu Hong and Xujiao Zhou
J. Clin. Med. 2023, 12(3), 1056; https://doi.org/10.3390/jcm12031056 - 29 Jan 2023
Cited by 3 | Viewed by 2147
Abstract
Purpose: To investigate whether asiatic acid (AA) can improve the quantity and function of retinal ganglion cells (RGCs), as well as how AA regulates synaptic pathways in rat models with chronic glaucoma. Methods: In our study, a rat model of chronic glaucoma was [...] Read more.
Purpose: To investigate whether asiatic acid (AA) can improve the quantity and function of retinal ganglion cells (RGCs), as well as how AA regulates synaptic pathways in rat models with chronic glaucoma. Methods: In our study, a rat model of chronic glaucoma was prepared via the electrocoagulation of the episcleral veins. The numbers of surviving RGCs were counted via retrograde Fluorogold labeling, and a whole-cell patch clamp was used to clamp RGCs in normal retinal sections and in retinal sections 4 weeks after glaucoma induction. Results: Retrograde-Fluorogold-labeled RGC loss caused by persistent glaucoma was decreased by AA. Additionally, AA reduced the postsynaptic current produced by N-methyl-D-aspartate (NMDA) and diminished miniature glutamatergic excitatory neurotransmission to RGCs. On the other hand, AA increased miniature gamma-aminobutyric acid (GABA)-ergic inhibitory neurotransmission to RGCs and enhanced the GABA-induced postsynaptic current. The excitability of the RGC itself was also decreased by AA. RGCs in glaucomatous slices were less excitable because AA decreased their spontaneous action potential frequency and membrane potential, which led to a hyperpolarized condition. Conclusions: AA directly protected RGCs in a chronic glaucoma rat model by lowering their hyperexcitability. To enhance RGCs’ survival and function in glaucoma, AA may be a viable therapeutic drug. Full article
(This article belongs to the Section Ophthalmology)
Show Figures

Figure 1

14 pages, 3959 KB  
Article
Evaluation of the Performance of the Electrocoagulation Process for the Removal of Water Hardness
by Juan Taumaturgo Medina-Collana, Gladis Enith Reyna-Mendoza, Jorge Alberto Montaño-Pisfil, Jimmy Aurelio Rosales-Huamani, Elmar Javier Franco-Gonzales and Xavier Córdova García
Sustainability 2023, 15(1), 590; https://doi.org/10.3390/su15010590 - 29 Dec 2022
Cited by 21 | Viewed by 7883
Abstract
One of the biggest problems of water with high concentrations of calcium is its susceptibility to causing scaling in industrial equipment (boilers, heat exchangers, pipes, reverse osmosis membranes, storage tanks, etc.). The purpose of this study was to evaluate a recently built filter [...] Read more.
One of the biggest problems of water with high concentrations of calcium is its susceptibility to causing scaling in industrial equipment (boilers, heat exchangers, pipes, reverse osmosis membranes, storage tanks, etc.). The purpose of this study was to evaluate a recently built filter press (EC) type electrocoagulation reactor and investigate the efficiency of water hardness removal. The electrocoagulation (EC) reactor has been evaluated in batch mode using electrodes of aluminum (Al) and connected to a direct current power supply in a monopolar way. To evaluate the performance of the reactor, a synthetic solution with a concentration similar to that of brackish water was used. A factorial design was applied to investigate the influence of the electrical potential applied to the electrocoagulation cell at the levels of 3, 5, 7, and 9 V, and initial calcium hardness of 540.2 and 914.60 mg/L CaCO3 at room temperature in 60 treatment minutes. The results revealed that the electrical potential applied to the electrocoagulation cell was the most significant factor in hardness removal, within the experimental ranges studied. The results showed that electrocoagulation at an electric potential applied at 9 volts and an initial concentration of 7400 mg/L allowed a higher hardness removal efficiency (25.83%). the pH of the solution increased throughout the process. The energy consumption ranged between 4.43 and 42 kW.h/m3 depending on the conditions of the factors. It has been shown that during the treatment process a layer of dense and compact calcium carbonate precipitate is formed on the surface of the cathode. Full article
Show Figures

Figure 1

15 pages, 2176 KB  
Article
Electrochemical Recovery to Overcome Direct Osmosis Concentrate-Bearing Lead: Optimization of Treatment Process via RSM-CCD
by Milaad Moosazade, Razieh Ashoori, Hamid Moghimi, Mohammad Ali Amani, Zacharias Frontistis and Ramezan Ali Taheri
Water 2021, 13(21), 3136; https://doi.org/10.3390/w13213136 - 8 Nov 2021
Cited by 9 | Viewed by 3535
Abstract
The use of electrochemistry is a promising approach for the treatment of direct osmosis concentrate that contains a high concentration of organic pollutants and has high osmotic pressure, to achieve the safe discharge of effluent. This work addresses, for the first time, this [...] Read more.
The use of electrochemistry is a promising approach for the treatment of direct osmosis concentrate that contains a high concentration of organic pollutants and has high osmotic pressure, to achieve the safe discharge of effluent. This work addresses, for the first time, this major environmental challenge using perforated aluminum electrodes mounted in an electrocoagulation–flotation cell (PA-ECF). The design of the experiments, the modeling, and the optimization of the PA-ECF conditions for the treatment of DO concentrate rich in Pb were explored using a central composite design (CCD) under response surface methodology (RSM). Therefore, the CCD-RSM was employed to optimize and study the effect of the independent variables, namely electrolysis time (5.85 min to 116.15 min) and current intensity (0.09 A to 2.91 A) on Pb removal. Optimal values of the process parameters were determined as an electrolysis time of 77.65 min and a current intensity of 0.9 A. In addition to Pb removal (97.8%), energy consumption, electrode mass-consumed material, and operating cost were estimated as 0.0025 kWh/m3, 0.217 kg Al/m3, and 0.423 USD/m3, respectively. In addition, it was found that DO concentrate obtained from metallurgical wastewater can be recovered through PA-ECF (almost 94% Pb removal). This work demonstrated that the PA-ECF technique could became a viable process applicable in the treatment of DO concentrate containing Pb-rich for reuse. Full article
(This article belongs to the Special Issue Application of Electrochemistry in Wastewater Treatment)
Show Figures

Figure 1

13 pages, 2030 KB  
Article
Sequential Congo Red Elimination by UASB Reactor Coupled to Electrochemical Systems
by Itzel Celeste Romero-Soto, Celestino García-Gómez, Luis Humberto Álvarez-Valencia, Edna Rosalba Meza-Escalante, Luis Alonso Leyva-Soto, Maria Angeles Camacho-Ruiz, María Olga Concha-Guzmán, Ruth Gabriela Ulloa-Mercado, Lourdes Mariana Díaz-Tenorio and Pablo Gortáres-Moroyoqui
Water 2021, 13(21), 3087; https://doi.org/10.3390/w13213087 - 3 Nov 2021
Cited by 2 | Viewed by 2885
Abstract
Response surface methodology was investigated to determine the operational parameters on the degradation of Congo red dye (CR) and chemical oxygen demand (COD) in two electrochemical systems evaluated individually on effluent pretreated by an up-flow anaerobic sludge blanket (UASB) reactor. The UASB reactor [...] Read more.
Response surface methodology was investigated to determine the operational parameters on the degradation of Congo red dye (CR) and chemical oxygen demand (COD) in two electrochemical systems evaluated individually on effluent pretreated by an up-flow anaerobic sludge blanket (UASB) reactor. The UASB reactor was fed with 100 mg L−1 of CR and was operated for 12 weeks at different hydraulic residence times (HRTs) of 12 h, 10 h, and 8 h. Once stabilized at an HRT of 8 h, the effluent was collected, homogenized, and independently treated by electrooxidation (EO) and electrocoagulation (EC) cells. On both electrochemical systems, two electrode pairs were used; solid for EC (Fe and stainless-steel) and mesh electrodes for EO (Ti/PbO2 and Ti), and the effect of intensity (A), recirculation flow rate (mL min−1), and experimental time (min) was optimized on response variables. The maximum efficiencies of sequential systems for COD degradation and CR decolorization were 92.78% and 98.43% by EC and ≥99.84% and ≥99.71% by EO, respectively. Results indicate that the coupled systems can be used in textile industry wastewater treatment for the removal of dyes and the decolorized by-products. Full article
(This article belongs to the Special Issue Advanced Electrochemical Technologies for Water Treatment)
Show Figures

Figure 1

15 pages, 2479 KB  
Article
A New Process for the Recovery of Ammonia from Ammoniated High-Salinity Brine
by Ameera F. Mohammad, Ali H. Al-Marzouqi, Muftah H. El-Naas, Bart Van der Bruggen and Mohamed H. Al-Marzouqi
Sustainability 2021, 13(18), 10014; https://doi.org/10.3390/su131810014 - 7 Sep 2021
Cited by 16 | Viewed by 8545
Abstract
This paper describes a new method for the recovery of high-concentration ammonia from water in the form of ammonium chloride, ammonium hydroxide and ammonium carbonate. The method was applied to the Solvay process, in which sodium bicarbonate is produced through the reaction of [...] Read more.
This paper describes a new method for the recovery of high-concentration ammonia from water in the form of ammonium chloride, ammonium hydroxide and ammonium carbonate. The method was applied to the Solvay process, in which sodium bicarbonate is produced through the reaction of ammoniated brine and CO2 gas. The Solvay effluent contains ammonia in the form of soluble ammonium chloride. The proposed method is based on the recovery of ammonia using a high-alkalinity reactant, calcium oxide (CaO), in a closed electrocoagulation cell operating at a specific current density. The recovered ammonia is collected as a gas within a closed cell containing deionized (DI) water at room temperature. Afterwards, the collected solution (DI water–NH3 gas) is concentrated through a separate process, and is then reused in the Solvay process and other applications. The electrocoagulation process is applied to the treatment cell using aluminum electrodes and a current density of 5–15 mA/cm2. After 7 h of treatment using the electrocoagulation cell, a high reduction of the ammonia concentration—99%—was realized after ~9 h of the electrochemical treatment. The initial ammonia concentration in a Solvay effluent of 13,700 mg/L N was decreased to 190 mg/L N. Furthermore, an ammonia recovery of 77.1% in the form of ammonium hydroxide was achieved. Generally, this process, which starts at room temperature, can result in an energy reduction of 80%—from 7.8 to 2.3 kWh/kg NH3—compared to conventional processes, which entail heating the Solvay effluents to 160 °C. The proposed system and method were found to be suitable for the recovery of ammonia from ammoniated water, and can be utilized for the treatment of landfill leachate, and municipal and industrial wastewater. Full article
Show Figures

Figure 1

Back to TopTop