Sign in to use this feature.

Years

Between: -

Subjects

remove_circle_outline
remove_circle_outline
remove_circle_outline
remove_circle_outline
remove_circle_outline
remove_circle_outline
remove_circle_outline

Journals

Article Types

Countries / Regions

Search Results (55)

Search Parameters:
Keywords = eigen-solutions

Order results
Result details
Results per page
Select all
Export citation of selected articles as:
17 pages, 32699 KB  
Article
Evaluation of a Soviet-Era Gravimetric Survey Using Absolute Gravity Measurements and Global Gravity Models: Toward the First National Geoid of Kazakhstan
by Daniya Shoganbekova, Asset Urazaliyev, Roman Sermiagin, Serik Nurakynov, Magzhan Kozhakhmetov, Nailya Zhaksygul and Anel Islyamova
Geosciences 2025, 15(10), 404; https://doi.org/10.3390/geosciences15100404 - 17 Oct 2025
Viewed by 306
Abstract
Determining a high-precision national geoid is a fundamental step in modernizing Kazakhstan’s vertical reference system. However, the country’s vast territory, complex topography, and limited coverage of modern terrestrial and airborne gravimetric surveys present significant challenges. In this context, Soviet-era gravimetric maps at a [...] Read more.
Determining a high-precision national geoid is a fundamental step in modernizing Kazakhstan’s vertical reference system. However, the country’s vast territory, complex topography, and limited coverage of modern terrestrial and airborne gravimetric surveys present significant challenges. In this context, Soviet-era gravimetric maps at a 1:200,000 scale remain the only consistent nationwide data source, yet their reliability has not previously been rigorously assessed within modern gravity standards. This study presents the first comprehensive validation of Soviet-era gravimetric surveys using two independent approaches. The first approach is about the comparison of gravity anomalies with the global geopotential models EGM2008, EIGEN-6C4 and XGM2019e_2159. The second approach is about the direct evaluation against absolute gravity measurements from the newly established Qazaqstan Gravity Reference Frame (QazGRF). The analysis demonstrates that, after applying systematic corrections, the Soviet-era gravimetric survey retains high information content. The mean discrepancy with QazGRF measurements is 0.7 mGal with a standard deviation of 2.5 mGal, and more than 90% of the evaluated points deviate by less than ±5 mGal. Larger inconsistencies, up to 20 mGal, are confined to mountainous and geophysically complex regions. In addition, several artifacts inherent to the global models were identified, suggesting that the integration of validated regional gravimetric data can also support future improvements of global gravity models. A key finding was the detection of an artifact in the global models on sheet M43. Its presence was confirmed by comparison with terrestrial gravimetric data and inter-model differences. It was established that the anomaly is caused by inaccuracies in the terrestrial “fill-in” component of the EGM2008 model, which subsequently inherited by later global solutions. The results confirm that Soviet gravimetric maps, once critically re-evaluated and tied to absolute observations, can be effectively integrated with global models. This integration delivers reliable, high-resolution inputs for regional gravity-field modeling. It establishes a robust scientific and practical foundation for constructing the first national geoid of Kazakhstan and for implementing a unified state coordinate and height system. It also helps enhance the accuracy of global geopotential models. Full article
Show Figures

Figure 1

28 pages, 6624 KB  
Article
YoloMal-XAI: Interpretable Android Malware Classification Using RGB Images and YOLO11
by Chaymae El Youssofi and Khalid Chougdali
J. Cybersecur. Priv. 2025, 5(3), 52; https://doi.org/10.3390/jcp5030052 - 1 Aug 2025
Viewed by 1303
Abstract
As Android malware grows increasingly sophisticated, traditional detection methods struggle to keep pace, creating an urgent need for robust, interpretable, and real-time solutions to safeguard mobile ecosystems. This study introduces YoloMal-XAI, a novel deep learning framework that transforms Android application files into RGB [...] Read more.
As Android malware grows increasingly sophisticated, traditional detection methods struggle to keep pace, creating an urgent need for robust, interpretable, and real-time solutions to safeguard mobile ecosystems. This study introduces YoloMal-XAI, a novel deep learning framework that transforms Android application files into RGB image representations by mapping DEX (Dalvik Executable), Manifest.xml, and Resources.arsc files to distinct color channels. Evaluated on the CICMalDroid2020 dataset using YOLO11 pretrained classification models, YoloMal-XAI achieves 99.87% accuracy in binary classification and 99.56% in multi-class classification (Adware, Banking, Riskware, SMS, and Benign). Compared to ResNet-50, GoogLeNet, and MobileNetV2, YOLO11 offers competitive accuracy with at least 7× faster training over 100 epochs. Against YOLOv8, YOLO11 achieves comparable or superior accuracy while reducing training time by up to 3.5×. Cross-corpus validation using Drebin and CICAndMal2017 further confirms the model’s generalization capability on previously unseen malware. An ablation study highlights the value of integrating DEX, Manifest, and Resources components, with the full RGB configuration consistently delivering the best performance. Explainable AI (XAI) techniques—Grad-CAM, Grad-CAM++, Eigen-CAM, and HiRes-CAM—are employed to interpret model decisions, revealing the DEX segment as the most influential component. These results establish YoloMal-XAI as a scalable, efficient, and interpretable framework for Android malware detection, with strong potential for future deployment on resource-constrained mobile devices. Full article
Show Figures

Figure 1

22 pages, 6496 KB  
Article
Real-Time Search and Rescue with Drones: A Deep Learning Approach for Small-Object Detection Based on YOLO
by Francesco Ciccone and Alessandro Ceruti
Drones 2025, 9(8), 514; https://doi.org/10.3390/drones9080514 - 22 Jul 2025
Cited by 1 | Viewed by 3392
Abstract
Unmanned aerial vehicles are increasingly used in civil Search and Rescue operations due to their rapid deployment and wide-area coverage capabilities. However, detecting missing persons from aerial imagery remains challenging due to small object sizes, cluttered backgrounds, and limited onboard computational resources, especially [...] Read more.
Unmanned aerial vehicles are increasingly used in civil Search and Rescue operations due to their rapid deployment and wide-area coverage capabilities. However, detecting missing persons from aerial imagery remains challenging due to small object sizes, cluttered backgrounds, and limited onboard computational resources, especially when managed by civil agencies. In this work, we present a comprehensive methodology for optimizing YOLO-based object detection models for real-time Search and Rescue scenarios. A two-stage transfer learning strategy was employed using VisDrone for general aerial object detection and Heridal for Search and Rescue-specific fine-tuning. We explored various architectural modifications, including enhanced feature fusion (FPN, BiFPN, PB-FPN), additional detection heads (P2), and modules such as CBAM, Transformers, and deconvolution, analyzing their impact on performance and computational efficiency. The best-performing configuration (YOLOv5s-PBfpn-Deconv) achieved a mAP@50 of 0.802 on the Heridal dataset while maintaining real-time inference on embedded hardware (Jetson Nano). Further tests at different flight altitudes and explainability analyses using EigenCAM confirmed the robustness and interpretability of the model in real-world conditions. The proposed solution offers a viable framework for deploying lightweight, interpretable AI systems for UAV-based Search and Rescue operations managed by civil protection authorities. Limitations and future directions include the integration of multimodal sensors and adaptation to broader environmental conditions. Full article
Show Figures

Figure 1

19 pages, 2327 KB  
Article
Analytical Investigation of Dynamic Response in Cracked Structure Subjected to Moving Load
by Shuirong Gui, Hongwei Zeng, Zhisheng Gui, Mingjun Tan, Zhongzhao Guo, Kai Zhong, Yongming Xiong and Wangwang Fang
Buildings 2025, 15(12), 2119; https://doi.org/10.3390/buildings15122119 - 18 Jun 2025
Viewed by 487
Abstract
Under cyclic moving load action, tensile-dominant structures are prone to crack initiation due to cumulative damage effects. The presence of cracks leads to structural stiffness degradation and nonlinear redistribution of dynamic characteristics, thereby compromising str18uctural integrity and service performance. The current research on [...] Read more.
Under cyclic moving load action, tensile-dominant structures are prone to crack initiation due to cumulative damage effects. The presence of cracks leads to structural stiffness degradation and nonlinear redistribution of dynamic characteristics, thereby compromising str18uctural integrity and service performance. The current research on the dynamic behavior of cracked structures predominantly focuses on transient analysis through high-fidelity finite element models. However, the existing methodologies encounter two critical limitations: computational inefficiency and a trade-off between model fidelity and practicality. Thus, this study presents an innovative analytical framework to investigate the dynamic response of cracked simply supported beams subjected to moving loads. The proposed methodology conceptualizes the cracked beam as a system composed of multiple interconnected sub-beams, each governed by the Euler–Bernoulli beam theory. At crack locations, massless rotational springs are employed to accurately capture the local flexibility induced by these defects. The transfer matrix method is utilized to derive explicit eigenfunctions for the cracked beam system, thereby facilitating the formulation of coupled vehicle–bridge vibration equations through modal superposition. Subsequently, dynamic response analysis is conducted using the Runge–Kutta numerical integration scheme. Extensive numerical simulations reveal the influence of critical parameters—particularly crack depth and location—on the coupled dynamic behavior of the structure subjected to moving loads. The results indicate that at a constant speed, neither crack depth nor position alters the shape of the beam’s vibration curve. The maximum deflection of beams with a 30% crack in the middle span increases by 14.96% compared to those without cracks. Furthermore, crack migration toward the mid-span results in increased mid-span displacement without changing vibration curve topology. For a constant crack depth ratio (γi = 0.3), the progressive migration of the crack position from 0.05 L to 0.5 L leads to a 26.4% increase in the mid-span displacement (from 5.3 mm to 6.7 mm). These findings highlight the efficacy of the proposed method in capturing the complex interactions between moving loads and cracked concrete structures, offering valuable insights for structural health monitoring and assessment. Full article
(This article belongs to the Section Building Structures)
Show Figures

Figure 1

7 pages, 833 KB  
Communication
Nonlinear Waves of a Surface Charge at the Boundary of a Semi-Infinite Cold Plasma in a Constant Magnetic Field
by Oleg M. Gradov
Physics 2025, 7(2), 16; https://doi.org/10.3390/physics7020016 - 14 May 2025
Viewed by 644
Abstract
In this paper, an equation describing nonlinear wave phenomena on the surface of magnetically active plasma in the approximation of the complete homogeneity of processes along the direction of the constant magnetic field is obtained. One of its solutions, in the form of [...] Read more.
In this paper, an equation describing nonlinear wave phenomena on the surface of magnetically active plasma in the approximation of the complete homogeneity of processes along the direction of the constant magnetic field is obtained. One of its solutions, in the form of a pulse having the shape of rapidly decaying oscillations with a changing period, is found to essentially depend on the magnitude of the magnetic field and shown to be approximately described by a specially selected analytical function. A detailed analytical analysis of the properties of another solitary wave formation existing under conditions of resonant coincidence of its carrier frequency with the corresponding value of its eigen surface oscillations in the considered cold semi-infinite plasma, in which a constant magnetic field is directed along its boundary, is also carried out. The conditions for the excitation of wave disturbances are determined, and analytical expressions that adequately describe the space–time structure of nonlinear waves are proposed. Full article
(This article belongs to the Section Statistical Physics and Nonlinear Phenomena)
Show Figures

Figure 1

26 pages, 5898 KB  
Article
Thermophysical Properties and Expectation Values for Pöschl–Teller-like Pseudo-Harmonic Oscillator
by Haifa I. Alrebdi, Uduakobong S. Okorie, Ridha Horchani, Gaotsiwe J. Rampho and Akpan N. Ikot
Mathematics 2025, 13(9), 1524; https://doi.org/10.3390/math13091524 - 6 May 2025
Viewed by 872
Abstract
The Nikiforov–Uvarov functional analysis (NUFA) formalism is employed to study approximately the eigensolutions of the Schrodinger equation with the Pöschl–Teller-like pseudo-harmonic oscillator (PTPO). The variations in the energy spectra and the wave functions as a function of the screening parameters for different quantum [...] Read more.
The Nikiforov–Uvarov functional analysis (NUFA) formalism is employed to study approximately the eigensolutions of the Schrodinger equation with the Pöschl–Teller-like pseudo-harmonic oscillator (PTPO). The variations in the energy spectra and the wave functions as a function of the screening parameters for different quantum states were investigated. With the energy expression of PTPO, the partition function and other thermodynamic function were obtained as a function of temperature for different values of the screening parameters using the Euler–Maclaurin formula. Using the Hellmann–Feynman theorem (HFT), we evaluate the expectation values of PTPO numerically and graphically for various values of the screening parameters and quantum states. It is observed that the eigensolutions, thermodynamic functions and expectation values of PTPO system are influenced by quantum states, screening parameters and temperature. Full article
Show Figures

Figure 1

17 pages, 2496 KB  
Article
Fair Spectral Clustering Based on Coordinate Descent
by Ruixin Feng, Caiming Zhong and Tiejun Pan
Symmetry 2025, 17(1), 12; https://doi.org/10.3390/sym17010012 - 25 Dec 2024
Cited by 1 | Viewed by 906
Abstract
Research on the fairness of spectral clustering has gradually increased attention. Normally, existing methods of fair spectral clustering add a fairness constraint to the original objective function so that fairness is guaranteed. However, similar to the solver of traditional spectral clustering, that of [...] Read more.
Research on the fairness of spectral clustering has gradually increased attention. Normally, existing methods of fair spectral clustering add a fairness constraint to the original objective function so that fairness is guaranteed. However, similar to the solver of traditional spectral clustering, that of fairness spectral clustering has to relax a discrete value condition into an arbitrary one, which leads to the deterioration of both fairness and clustering quality. Moreover, the eigen-problem is inevitable in the solver, which takes O(n3) time complexity and is not available for large-scale data. In this paper, we propose a fair spectral clustering algorithm by employing the coordinate descent method to find the solution. As the relaxation of the discreteness condition is discarded, the fairness is improved. Furthermore, we refine the process of coordinate descent by avoiding redundant calculations, and as a result, the time complexity is reduced from O(n3) to O(n2). Additionally, the importance of clustering quality and fairness is symmetric; hence, we achieve a trade-off between them by adjusting the parameters. The experimental findings, obtained from both real-world and synthetic datasets, clearly illustrate that our proposal delivers superior fairness and clustering quality with the best BAL compared to other fair clustering methods. In addition, our method is more efficient than existing fair spectral clustering algorithms. Full article
(This article belongs to the Section Mathematics)
Show Figures

Figure 1

33 pages, 11780 KB  
Article
Accurate Closed-Form Solutions for the Free Vibration and Supersonic Flutter of Laminated Circular Cylindrical Shells
by Dezhuang Pan and Yufeng Xing
J. Compos. Sci. 2024, 8(12), 493; https://doi.org/10.3390/jcs8120493 - 25 Nov 2024
Cited by 1 | Viewed by 1099
Abstract
According to the Donnell–Mushtari shell theory, this work presents a closed-form solution procedure for free vibration of open laminated circular cylindrical shells with arbitrary homogeneous boundary conditions (BCs). The governing differential equations of free vibration are derived from the Rayleigh quotient and solved [...] Read more.
According to the Donnell–Mushtari shell theory, this work presents a closed-form solution procedure for free vibration of open laminated circular cylindrical shells with arbitrary homogeneous boundary conditions (BCs). The governing differential equations of free vibration are derived from the Rayleigh quotient and solved by the iterative separation-of-variable (iSOV) method. In addition, considering axial aerodynamic pressure, simulated by the linear piston theory, the exact eigensolutions for the flutter of open laminated cylindrical shells with simply supported circumferential edges and closed laminated cylindrical shells are also achieved. The governing differential equations of cylindrical shell flutter are derived from the Hamilton variational principle and solved by the separation-of-variable (SOV) method. The influence of circumferential dimension on flutter speed is investigated for open cylindrical shells, which reveals that the number of circumferential waves in critical flutter mode increases with circumferential length, and there exists an infimum for flutter speed that is an invariant independent of circumferential length. The present results agree well with those obtained by the Galerkin method, the finite element method, and other analytical methods. Full article
(This article belongs to the Section Composites Modelling and Characterization)
Show Figures

Figure 1

20 pages, 17386 KB  
Article
Spectral Water Wave Dissipation by Biomimetic Soft Structure
by Garance Marlier, Frédéric Bouchette, Samuel Meulé, Raphaël Certain and Jean-Yves Jouvenel
J. Mar. Sci. Eng. 2024, 12(11), 2004; https://doi.org/10.3390/jmse12112004 - 7 Nov 2024
Cited by 1 | Viewed by 1269
Abstract
Coastal protection solutions can be categorised as grey, hybrid or natural. Grey infrastructure includes artificial structures like dykes. Natural habitats like seagrasses are considered natural protection infrastructure. Hybrid solutions combine both natural and grey infrastructure. Evidence suggests that grey solutions can negatively impact [...] Read more.
Coastal protection solutions can be categorised as grey, hybrid or natural. Grey infrastructure includes artificial structures like dykes. Natural habitats like seagrasses are considered natural protection infrastructure. Hybrid solutions combine both natural and grey infrastructure. Evidence suggests that grey solutions can negatively impact the environment, while natural habitats prevent flooding without such adverse effects and provide many ecosystem services. New types of protective solutions, called biomimetic solutions, are inspired by natural habitats and reproduce their features using artificial materials. Few studies have been conducted on these new approaches. This study aims to quantify wave dissipation observed in situ above a biomimetic solution inspired by kelps, known for their wave-dampening properties. The solution was deployed in a full water column near Palavas-les-Flots in southern France. A one-month in situ experiment showed that the biomimetic solution dissipates around 10% of total wave energy on average, whatever the meteo-marine conditions. Wave energy dissipation is frequency-dependent: short waves are dissipated, while low-frequency energy increases. An anti-dissipative effect occurs for forcing conditions with frequencies close to the eigen mode linked to the biomimetic solution’s geometry, suggesting that resonance should be considered in designing future biomimetic protection solutions. Full article
(This article belongs to the Section Coastal Engineering)
Show Figures

Figure 1

17 pages, 456 KB  
Article
Elliptic Quaternion Matrices: Theory and Algorithms
by Hidayet Hüda Kösal, Emre Kişi, Mahmut Akyiğit and Beyza Çelik
Axioms 2024, 13(10), 656; https://doi.org/10.3390/axioms13100656 - 24 Sep 2024
Cited by 1 | Viewed by 1147
Abstract
In this study, we obtained results for the computation of eigen-pairs, singular value decomposition, pseudoinverse, and the least squares problem for elliptic quaternion matrices. Moreover, we established algorithms based on these results and provided illustrative numerical experiments to substantiate the accuracy of our [...] Read more.
In this study, we obtained results for the computation of eigen-pairs, singular value decomposition, pseudoinverse, and the least squares problem for elliptic quaternion matrices. Moreover, we established algorithms based on these results and provided illustrative numerical experiments to substantiate the accuracy of our conclusions. In the experiments, it was observed that the p-value in the algebra of elliptic quaternions directly affects the performance of the problem under consideration. Selecting the optimal p-value for problem-solving and the elliptic behavior of many physical systems make this number system advantageous in applied sciences. Full article
(This article belongs to the Special Issue Advances in Classical and Applied Mathematics)
Show Figures

Figure 1

17 pages, 2885 KB  
Article
A Non-Relativistic 2D Quantum System and Its Thermo-Magnetic Properties with a Generalized Pseudo-Harmonic Oscillator
by Haifa I. Alrebdi, Akpan N. Ikot, Ridha Horchani and Uduakobong S. Okorie
Mathematics 2024, 12(17), 2623; https://doi.org/10.3390/math12172623 - 24 Aug 2024
Cited by 2 | Viewed by 1358
Abstract
In this work, we examine the thermo-magnetic characteristics and energy spectra of a system exposed to both magnetic and Aharonov–Bohm (AB) fields with the existence of an interaction potential that is pseudo-harmonic. Explicit calculations of the eigen-solutions are performed with the expanded Nikiforov–Uvarov [...] Read more.
In this work, we examine the thermo-magnetic characteristics and energy spectra of a system exposed to both magnetic and Aharonov–Bohm (AB) fields with the existence of an interaction potential that is pseudo-harmonic. Explicit calculations of the eigen-solutions are performed with the expanded Nikiforov–Uvarov formalism. The confluent Heun function is used to represent the equivalent wave functions. If the AB and magnetic fields are gone, quasi-degeneracy in the system’s energy levels is shown by a numerical analysis of the energy spectrum. Additionally, we provided a visual representation of how the AB and magnetic fields affected the system’s thermo-magnetic characteristics. Our results show a strong dependence of thermo-magnetic properties on temperature, screening parameters, external magnetic fields, and AB fields. Full article
(This article belongs to the Section E4: Mathematical Physics)
Show Figures

Figure 1

24 pages, 2920 KB  
Article
Opportunistic Interference Alignment in Cognitive Radio Networks with Space–Time Coding
by Yusuf Abdulkadir, Oluyomi Simpson and Yichuang Sun
J. Sens. Actuator Netw. 2024, 13(5), 46; https://doi.org/10.3390/jsan13050046 - 23 Aug 2024
Cited by 2 | Viewed by 1315
Abstract
For a multiuser multiple-input–multiple-output (MIMO) overlay cognitive radio (CR) network, an opportunistic interference alignment (IA) technique has been proposed that allows spectrum sharing between primary users (PUs) and secondary users (SUs) while ensuring zero interference to the PU. The CR system consists of [...] Read more.
For a multiuser multiple-input–multiple-output (MIMO) overlay cognitive radio (CR) network, an opportunistic interference alignment (IA) technique has been proposed that allows spectrum sharing between primary users (PUs) and secondary users (SUs) while ensuring zero interference to the PU. The CR system consists of one PU and K SUs where the PU uses space-time water-filling (ST-WF) algorithm to optimize its transmission and in the process, frees up unused eigenmodes that can be exploited by the SU. The SUs make use of an optimal power allocation algorithm to align their transmitted signals in such a way their interference impairs only the PUs unused eigenmodes. Since the SUs optimal power allocation algorithm turns out to be an optimal beamformer with multiple eigen-beams, this work initially proposes combining the diversity gain property of space-time block codes, the zero-forcing function of IA and beamforming to optimize the SUs transmission rates. This proposed solution requires availability of channel state information (CSI), and to eliminate the need for CSI, this work then combines Differential Space-Time Block Coding (DSTBC) scheme with optimal IA precoders (consisting of beamforming and zero-forcing) to maximize the SUs data rates. Simulation results confirm the accuracy of the proposed solution. Full article
Show Figures

Figure 1

20 pages, 630 KB  
Article
Progressive Archive in Adaptive jSO Algorithm
by Petr Bujok
Mathematics 2024, 12(16), 2534; https://doi.org/10.3390/math12162534 - 16 Aug 2024
Cited by 1 | Viewed by 1287
Abstract
The problem of optimisation methods is the stagnation of population P, which results in a local solution for the task. This problem can be solved by employing an archive for good historical solutions outperformed by the new better offspring. The archive A [...] Read more.
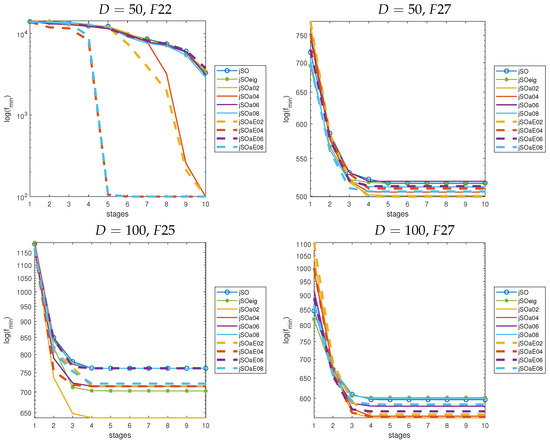
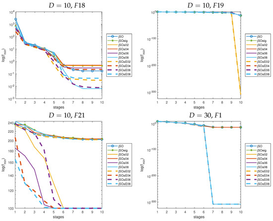
The problem of optimisation methods is the stagnation of population P, which results in a local solution for the task. This problem can be solved by employing an archive for good historical solutions outperformed by the new better offspring. The archive A was introduced with the variant of adaptive differential evolution (DE), and it was successfully applied in many adaptive DE variants including the efficient jSO algorithm. In the original jSO, the historical good individuals replace the random existing positions in A. It causes that outperformed historical solution from P with lower quality to replace the stored solution in A with better quality. In this paper, a new approach to replace individuals in archive A more progressively is proposed. Outperformed individuals from P replace solutions in the worse part of A based on the function value. The portion of A selected for replacement is controlled by the input parameter, and its setting is studied in this experiment. The proposed progressive archive is employed in the original jSO. Moreover, the Eigenvector transformation of the individuals for crossover is applied to increase the efficiency for the rotated optimisation problems. The efficiency of the proposed progressive archive and the Eigen crossover are evaluated using the set of 29 optimisation problems for CEC 2024 and various dimensionality. All the experiments were performed on a standard PC, and the results were compared using the standard statistical methods. The newly proposed algorithm with the progressive archive approach performs substantially better than the original jSO, especially when 20 or 40% of the worse individuals of A are set for replacement. The Eigen crossover increases the performance of the proposed jSO algorithm with the progressive archive approach. The estimated time complexity illustrates the low computational demands of the proposed archive approach. Full article
(This article belongs to the Section E: Applied Mathematics)
Show Figures

Figure 1

23 pages, 22543 KB  
Article
Dynamic Error Estimation in Higher-Order Finite Elements
by Anna Karpik, Francesco Cosco and Domenico Mundo
Designs 2024, 8(4), 79; https://doi.org/10.3390/designs8040079 - 11 Aug 2024
Cited by 1 | Viewed by 1724
Abstract
The Finite Element Method (FEM) has emerged as a powerful tool for predicting the behavior of industrial products, including those with complex geometries or uncommon materials. Finite Element Analysis (FEA) is widely used to study structural vibration-related aspects such as stress, displacement, and [...] Read more.
The Finite Element Method (FEM) has emerged as a powerful tool for predicting the behavior of industrial products, including those with complex geometries or uncommon materials. Finite Element Analysis (FEA) is widely used to study structural vibration-related aspects such as stress, displacement, and velocity. Modal analysis, a standard technique for characterizing the vibrational behavior of structures, is essential for identifying resonance frequencies, optimizing component design, and assessing structural integrity. Finite Elements (FE) modal analysis enables engineers to evaluate numerically the modal parameters, whereas model order reduction (MOR) schemes are exploited to achieve a balance between computational efficiency and accuracy, enabling a more efficient solution for computing transient dynamic analysis. Assessing the accuracy and reliability of FE solutions is a crucial aspect of the design cycle, and model-updating procedures are commonly employed to maximize the correlation between measured and predicted dynamic behavior. This study investigated the accuracy and computational efficiency of linear, quadratic, and cubic hexahedral FE formulations for modal analysis and transient dynamic solutions. More specifically, the documented results demonstrate the profitable use of the eigenenergy norm obtained in eigen solutions as a valid predictor of the accuracy reported using either the time response assurance criterion (TRAC) or the frequency response assurance criterion (FRAC), measured in transient dynamic cases. Moreover, our results also highlight the superior computational efficiency of higher-order formulations for both the eigen and transient dynamic solutions. Full article
Show Figures

Figure 1

16 pages, 1173 KB  
Article
Fisher Information for a System Composed of a Combination of Similar Potential Models
by Clement Atachegbe Onate, Ituen B. Okon, Edwin Samson Eyube, Ekwevugbe Omugbe, Kizito O. Emeje, Michael C. Onyeaju, Olumide O. Ajani and Jacob A. Akinpelu
Quantum Rep. 2024, 6(2), 184-199; https://doi.org/10.3390/quantum6020015 - 13 May 2024
Cited by 5 | Viewed by 1666
Abstract
The solutions to the radial Schrödinger equation for a pseudoharmonic potential and Kratzer potential have been studied separately in the past. Despite different reports on the Kratzer potential, the fundamental theoretical quantities such as Fisher information have not been reported. In this study, [...] Read more.
The solutions to the radial Schrödinger equation for a pseudoharmonic potential and Kratzer potential have been studied separately in the past. Despite different reports on the Kratzer potential, the fundamental theoretical quantities such as Fisher information have not been reported. In this study, we obtain the solution to the radial Schrödinger equation for the combination of the pseudoharmonic and Kratzer potentials in the presence of a constant-dependent potential, utilizing the concepts and formalism of the supersymmetric and shape invariance approach. The position expectation value and momentum expectation value are calculated employing the Hellmann–Feynman Theory. These expectation values are then used to calculate the Fisher information for both position and momentum spaces in both the absence and presence of the constant-dependent potential. The results obtained revealed that the presence of the constant-dependent potential leads to an increase in the energy eigenvalue, as well as in the position and momentum expectation values. Additionally, the constant-dependent potential increases the Fisher information for both position and momentum spaces. Furthermore, the product of the position expectation value and the momentum expectation value, along with the product of the Fisher information, satisfies both Fisher’s inequality and Cramer–Rao’s inequality. Full article
Show Figures

Figure 1

Back to TopTop