Sign in to use this feature.

Years

Between: -

Subjects

remove_circle_outline
remove_circle_outline
remove_circle_outline
remove_circle_outline
remove_circle_outline
remove_circle_outline
remove_circle_outline
remove_circle_outline
remove_circle_outline

Journals

Article Types

Countries / Regions

Search Results (155)

Search Parameters:
Keywords = echo-state networks

Order results
Result details
Results per page
Select all
Export citation of selected articles as:
17 pages, 2138 KB  
Article
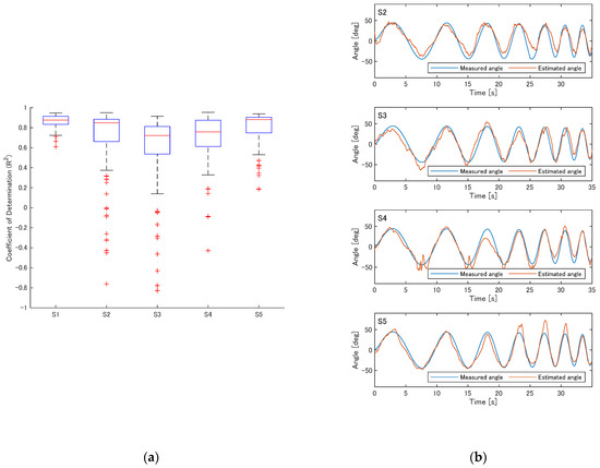
Surface Electromyography-Based Wrist Angle Estimation and Robotic Arm Control with Echo State Networks
by Toshihiro Kawase and Hiroki Ikeda
Actuators 2025, 14(11), 548; https://doi.org/10.3390/act14110548 - 9 Nov 2025
Viewed by 197
Abstract
Continuous estimation of joint angles based on surface electromyography (sEMG) signals is a promising method for naturally controlling prosthetic limbs and assistive devices. However, conventional methods based on neural networks have limitations such as long training times and calibration burdens. This study investigates [...] Read more.
Continuous estimation of joint angles based on surface electromyography (sEMG) signals is a promising method for naturally controlling prosthetic limbs and assistive devices. However, conventional methods based on neural networks have limitations such as long training times and calibration burdens. This study investigates the use of an echo state network (ESN), which enables fast training, to estimate wrist joint angles from sEMG. Five participants mimicked the motion of a 1-degree-of-freedom robotic arm by flexing and extending their wrist, while sEMG signals from the wrist flexor and extensor muscles and the robotic arm’s angle were recorded. The ESN was trained to take two sEMG channels as input and the robotic joint angle as output. High-accuracy estimation with a median coefficient of determination R2 = 0.835 was achieved for representative ESN parameters. Additionally, the effects of the reservoir size, spectral radius, and time constant on estimation accuracy were evaluated using data from a single participant. Furthermore, online estimation of joint angles based on sEMG signals enabled successful control of the robotic arm. These results suggest that sEMG-based ESN estimation offers fast, accurate joint control and could be useful for prosthetics and fundamental studies on body perception. Full article
Show Figures

Figure 1

41 pages, 12462 KB  
Article
Real-Time Efficient Approximation of Nonlinear Fractional-Order PDE Systems via Selective Heterogeneous Ensemble Learning
by Biao Ma and Shimin Dong
Fractal Fract. 2025, 9(10), 660; https://doi.org/10.3390/fractalfract9100660 - 13 Oct 2025
Viewed by 360
Abstract
Rod-pumping systems represent complex nonlinear systems. Traditional soft-sensing methods used for efficiency prediction in such systems typically rely on complicated fractional-order partial differential equations, severely limiting the real-time capability of efficiency estimation. To address this limitation, we propose an approximate efficiency prediction model [...] Read more.
Rod-pumping systems represent complex nonlinear systems. Traditional soft-sensing methods used for efficiency prediction in such systems typically rely on complicated fractional-order partial differential equations, severely limiting the real-time capability of efficiency estimation. To address this limitation, we propose an approximate efficiency prediction model for nonlinear fractional-order differential systems based on selective heterogeneous ensemble learning. This method integrates electrical power time-series data with fundamental operational parameters to enhance real-time predictive capability. Initially, we extract critical parameters influencing system efficiency using statistical principles. These primary influencing factors are identified through Pearson correlation coefficients and validated using p-value significance analysis. Subsequently, we introduce three foundational approximate system efficiency models: Convolutional Neural Network-Echo State Network-Bidirectional Long Short-Term Memory (CNN-ESN-BiLSTM), Bidirectional Long Short-Term Memory-Bidirectional Gated Recurrent Unit-Transformer (BiLSTM-BiGRU-Transformer), and Convolutional Neural Network-Echo State Network-Bidirectional Gated Recurrent Unit (CNN-ESN-BiGRU). Finally, to balance diversity among basic approximation models and predictive accuracy, we develop a selective heterogeneous ensemble-based approximate efficiency model for nonlinear fractional-order differential systems. Experimental validation utilizing actual oil-well parameters demonstrates that the proposed approach effectively and accurately predicts the efficiency of rod-pumping systems. Full article
Show Figures

Figure 1

14 pages, 3611 KB  
Article
Performance Comparison of LSTM and ESN Models in Time-Series Prediction of Solar Power Generation
by Yehan Joo, Dogyoon Kim, Youngmin Noh, Jaewon Choi and Jonghwan Lee
Sustainability 2025, 17(19), 8538; https://doi.org/10.3390/su17198538 - 23 Sep 2025
Viewed by 652
Abstract
Improving the prediction accuracy of solar power generation is a critical challenge in promoting sustainable energy solutions. While machine learning models like long short-term memory (LSTM) have gained attention, they face practical limitations such as their complex structure, long training time, and susceptibility [...] Read more.
Improving the prediction accuracy of solar power generation is a critical challenge in promoting sustainable energy solutions. While machine learning models like long short-term memory (LSTM) have gained attention, they face practical limitations such as their complex structure, long training time, and susceptibility to overfitting. Echo state networks (ESNs) have attracted attention for their small number of trainable parameters and fast training speed, but their sensitivity to hyperparameter settings makes performance improvement difficult. In this study, the key hyperparameters of an ESN (spectral radius, input noise, and leakage rate) were optimized to maximize performance. The ESN achieved a Root Mean Square Error (RMSE) of 0.0069 for power prediction, demonstrating a significant improvement in accuracy over a tuned LSTM model. ESNs are also well-suited for real-time prediction and large-scale data processing, owing to their low computational cost and fast training speed. By providing a more accurate and efficient forecasting tool, this study supports grid operators in managing the intermittency of renewable energy, thereby fostering a more stable and reliable sustainable energy infrastructure. Full article
Show Figures

Figure 1

34 pages, 6708 KB  
Article
Unmanned Aerial Vehicle Tactical Maneuver Trajectory Prediction Based on Hierarchical Strategy in Air-to-Air Confrontation Scenarios
by Yuequn Luo, Zhenglei Wei, Dali Ding, Fumin Wang, Hang An, Mulai Tan and Junjun Ma
Aerospace 2025, 12(8), 731; https://doi.org/10.3390/aerospace12080731 - 18 Aug 2025
Viewed by 853
Abstract
The prediction of the tactical maneuver trajectory of target aircraft is an important component of unmanned aerial vehicle (UAV) autonomous air-to-air confrontation. In view of the shortcomings of low accuracy and poor real-time performance in the existing maneuver trajectory prediction methods, this paper [...] Read more.
The prediction of the tactical maneuver trajectory of target aircraft is an important component of unmanned aerial vehicle (UAV) autonomous air-to-air confrontation. In view of the shortcomings of low accuracy and poor real-time performance in the existing maneuver trajectory prediction methods, this paper establishes a hierarchical tactical maneuver trajectory prediction model to achieve maneuver trajectory prediction based on the prediction of target tactical maneuver intentions. First, extract the maneuver trajectory features and situation features from the above data to establish the classification rules of maneuver units. Second, a tactical maneuver unit prediction model is established using the deep echo-state network based on the auto-encoder with attention mechanism (DeepESN-AE-AM) to predict 21 basic maneuver units. Then, for the above-mentioned 21 basic maneuver units, establish a maneuver trajectory prediction model using the gate recurrent unit based on triangle search optimization with attention mechanism (TSO-GRU-AM). Finally, by integrating the above two prediction models, a hierarchical strategy is adopted to establish a tactical maneuver trajectory prediction model. A section of the confrontation trajectory is selected from the air-to-air confrontation simulation data for prediction, and the results show that the trajectory prediction error of the combination of DeepESN-AE-AM and TSO-GRU-AM is small and meets the accuracy requirements. The simulation results of three air-to-air confrontation scenarios show that the proposed trajectory prediction method helps to assist UAV in accurately judging the confrontational situation and selecting high-quality maneuver strategies. Full article
Show Figures

Figure 1

13 pages, 3943 KB  
Proceeding Paper
Emergent Behavior and Computational Capabilities in Nonlinear Systems: Advancing Applications in Time Series Forecasting and Predictive Modeling
by Kárel García-Medina, Daniel Estevez-Moya, Ernesto Estevez-Rams and Reinhard B. Neder
Comput. Sci. Math. Forum 2025, 11(1), 17; https://doi.org/10.3390/cmsf2025011017 - 11 Aug 2025
Viewed by 371
Abstract
Natural dynamical systems can often display various long-term behaviours, ranging from entirely predictable decaying states to unpredictable, chaotic regimes or, more interestingly, highly correlated and intricate states featuring emergent phenomena. That, of course, imposes a level of generality on the models we use [...] Read more.
Natural dynamical systems can often display various long-term behaviours, ranging from entirely predictable decaying states to unpredictable, chaotic regimes or, more interestingly, highly correlated and intricate states featuring emergent phenomena. That, of course, imposes a level of generality on the models we use to study them. Among those models, coupled oscillators and cellular automata (CA) present a unique opportunity to advance the understanding of complex temporal behaviours because of their conceptual simplicity but very rich dynamics. In this contribution, we review the work completed by our research team over the last few years in the development and application of an alternative information-based characterization scheme to study the emergent behaviour and information handling of nonlinear systems, specifically Adler-type oscillators under different types of coupling: local phase-dependent (LAP) coupling and Kuramoto-like local (LAK) coupling. We thoroughly studied the long-term dynamics of these systems, identifying several distinct dynamic regimes, ranging from periodic to chaotic and complex. The systems were analysed qualitatively and quantitatively, drawing on entropic measures and information theory. Measures such as entropy density (Shannon entropy rate), effective complexity measure, and Lempel–Ziv complexity/information distance were employed. Our analysis revealed similar patterns and behaviours between these systems and CA, which are computationally capable systems, for some specific rules and regimes. These findings further reinforce the argument around computational capabilities in dynamical systems, as understood by information transmission, storage, and generation measures. Furthermore, the edge of chaos hypothesis (EOC) was verified in coupled oscillators systems for specific regions of parameter space, where a sudden increase in effective complexity measure was observed, indicating enhanced information processing capabilities. Given the potential for exploiting this non-anthropocentric computational power, we propose this alternative information-based characterization scheme as a general framework to identify a dynamical system’s proximity to computationally enhanced states. Furthermore, this study advances the understanding of emergent behaviour in nonlinear systems. It explores the potential for leveraging the features of dynamical systems operating at the edge of chaos by coupling them with computationally capable settings within machine learning frameworks, specifically by using them as reservoirs in Echo State Networks (ESNs) for time series forecasting and predictive modeling. This approach aims to enhance the predictive capacity, particularly that of chaotic systems, by utilising EOC systems’ complex, sensitive dynamics as the ESN reservoir. Full article
(This article belongs to the Proceedings of The 11th International Conference on Time Series and Forecasting)
Show Figures

Figure 1

20 pages, 4253 KB  
Article
Data-Driven Structural Health Monitoring Through Echo State Network Regression
by Xiaoou Li, Yingqin Zhu and Wen Yu
Information 2025, 16(8), 678; https://doi.org/10.3390/info16080678 - 8 Aug 2025
Viewed by 720
Abstract
This paper presents a novel data-driven approach to structural health monitoring (SHM) that uses Echo State Network (ESN) regression for continuous damage assessment. In contrast to traditional classification methods that demand extensive labeled data on damaged states, our approach utilizes an ESN, a [...] Read more.
This paper presents a novel data-driven approach to structural health monitoring (SHM) that uses Echo State Network (ESN) regression for continuous damage assessment. In contrast to traditional classification methods that demand extensive labeled data on damaged states, our approach utilizes an ESN, a powerful recurrent neural network, to directly predict a continuous damage metric from sensor data. This regression-based methodology offers two key advantages relevant to data science applications in SHM: (1) Reduced Training Data Dependency: The ESN achieves high accuracy even with limited data on damaged structures, significantly alleviating the data acquisition burden compared to classification-based AI/ML techniques. (2) Enhanced Noise Resilience: The inherent reservoir computing property of ESNs, characterized by a fixed, high-dimensional recurrent layer, makes them more tolerant of sensor noise and environmental variations compared to classification methods, leading to more reliable and robust SHM predictions from noisy data. A comprehensive evaluation demonstrates the effectiveness of the proposed ESN in identifying structural damage, highlighting its potential for practical application in data-driven SHM systems. Full article
Show Figures

Figure 1

43 pages, 2466 KB  
Article
Adaptive Ensemble Learning for Financial Time-Series Forecasting: A Hypernetwork-Enhanced Reservoir Computing Framework with Multi-Scale Temporal Modeling
by Yinuo Sun, Zhaoen Qu, Tingwei Zhang and Xiangyu Li
Axioms 2025, 14(8), 597; https://doi.org/10.3390/axioms14080597 - 1 Aug 2025
Viewed by 2597
Abstract
Financial market forecasting remains challenging due to complex nonlinear dynamics and regime-dependent behaviors that traditional models struggle to capture effectively. This research introduces the Adaptive Financial Reservoir Network with Hypernetwork Flow (AFRN–HyperFlow) framework, a novel ensemble architecture integrating Echo State Networks, temporal convolutional [...] Read more.
Financial market forecasting remains challenging due to complex nonlinear dynamics and regime-dependent behaviors that traditional models struggle to capture effectively. This research introduces the Adaptive Financial Reservoir Network with Hypernetwork Flow (AFRN–HyperFlow) framework, a novel ensemble architecture integrating Echo State Networks, temporal convolutional networks, mixture density networks, adaptive Hypernetworks, and deep state-space models for enhanced financial time-series prediction. Through comprehensive feature engineering incorporating technical indicators, spectral decomposition, reservoir-based representations, and flow dynamics characteristics, the framework achieves superior forecasting performance across diverse market conditions. Experimental validation on 26,817 balanced samples demonstrates exceptional results with an F1-score of 0.8947, representing a 12.3% improvement over State-of-the-Art baseline methods, while maintaining robust performance across asset classes from equities to cryptocurrencies. The adaptive Hypernetwork mechanism enables real-time regime-change detection with 2.3 days average lag and 95% accuracy, while systematic SHAP analysis provides comprehensive interpretability essential for regulatory compliance. Ablation studies reveal Echo State Networks contribute 9.47% performance improvement, validating the architectural design. The AFRN–HyperFlow framework addresses critical limitations in uncertainty quantification, regime adaptability, and interpretability, offering promising directions for next-generation financial forecasting systems incorporating quantum computing and federated learning approaches. Full article
(This article belongs to the Special Issue Financial Mathematics and Econophysics)
Show Figures

Figure 1

12 pages, 1900 KB  
Article
Time Series Prediction of Aerodynamic Noise Based on Variational Mode Decomposition and Echo State Network
by Zhoufanxing Lei, Haiyang Meng, Jing Yang, Bin Liang and Jianchun Cheng
Appl. Sci. 2025, 15(14), 7896; https://doi.org/10.3390/app15147896 - 15 Jul 2025
Viewed by 457
Abstract
Time series prediction of aerodynamic noise is critical for oscillatory instabilities analyses in fluid systems. Due to the significant dynamical and non-stationary characteristics of aerodynamic noise, it is challenging to precisely predict its temporal behavior. Here, we propose a method combining variational mode [...] Read more.
Time series prediction of aerodynamic noise is critical for oscillatory instabilities analyses in fluid systems. Due to the significant dynamical and non-stationary characteristics of aerodynamic noise, it is challenging to precisely predict its temporal behavior. Here, we propose a method combining variational mode decomposition (VMD) and echo state network (ESN) to accurately predict the time series of aerodynamic noise induced by flow around a cylinder. VMD adaptively decomposes the noise signal into multiple modes through a constrained variational optimization framework, effectively separating distinct frequency-scale features between vortex shedding and turbulent fluctuations. ESN then employs a randomly initialized reservoir to map each mode into a high-dimensional dynamical system, and learns their temporal evolution by leveraging the reservoir’s memory of past states to predict their future values. Aerodynamic noise data from cylinder flow at a Reynolds number of 90,000 is generated by numerical simulation and used for model validation. With a rolling prediction strategy, this VMD-ESN method achieves accurate prediction within 150 time steps with a root-mean-square-error of only 3.32 Pa, substantially reducing computational costs compared to conventional approaches. This work enables effective aerodynamic noise prediction and is valuable in fluid dynamics, aeroacoustics, and related areas. Full article
(This article belongs to the Section Acoustics and Vibrations)
Show Figures

Figure 1

10 pages, 1717 KB  
Communication
Sensitivity Enhancement of Fault Detection Utilizing Feedback Compensation for Time-Delay Signature of Chaotic Laser
by Haoran Guo, Hui Liu, Min Zhang, Xiaomin Guo, Yuanyuan Guo, Hong Han and Tong Zhao
Photonics 2025, 12(7), 641; https://doi.org/10.3390/photonics12070641 - 24 Jun 2025
Viewed by 396
Abstract
Fiber fault detection based on the time-delay signature of an optical feedback semiconductor laser has the advantages of high sensitivity, precise location, and a simple structure, which make it widely applicable. The sensitivity of this method is determined by the feedback strength inducing [...] Read more.
Fiber fault detection based on the time-delay signature of an optical feedback semiconductor laser has the advantages of high sensitivity, precise location, and a simple structure, which make it widely applicable. The sensitivity of this method is determined by the feedback strength inducing the nonlinear state of the laser. This paper proposes a feedback compensation method to reduce the requirement of the fault echo intensity for the laser to enter the nonlinear state, significantly enhancing detection sensitivity. Numerical simulations analyze the impact of feedback compensation parameters on fault detection sensitivity and evaluate the performance of the laser operating at different pump currents. The results show that this method achieves a 9.33 dB improvement in sensitivity compared to the original approach, effectively addressing the challenges of detecting faults with high insertion losses in optical networks. Full article
Show Figures

Figure 1

17 pages, 3073 KB  
Article
Forecast of Aging of PEMFCs Based on CEEMD-VMD and Triple Echo State Network
by Jie Sun, Shiyuan Pan, Qi Yang, Yiming Wang, Lei Qin, Wang Han, Ruixiang Wang, Lei Gong, Dongdong Zhao and Zhiguang Hua
Sensors 2025, 25(13), 3868; https://doi.org/10.3390/s25133868 - 21 Jun 2025
Viewed by 886
Abstract
Accurately forecasting the degradation trajectory of proton exchange membrane fuel cells (PEMFCs) across a spectrum of operational scenarios is indispensable for effective maintenance scheduling and robust health surveillance. However, this task is highly intricate due to the fluctuating nature of dynamic operating conditions [...] Read more.
Accurately forecasting the degradation trajectory of proton exchange membrane fuel cells (PEMFCs) across a spectrum of operational scenarios is indispensable for effective maintenance scheduling and robust health surveillance. However, this task is highly intricate due to the fluctuating nature of dynamic operating conditions and the limitations inherent in short-term forecasting techniques, which collectively pose significant challenges to achieving reliable predictions. To enhance the accuracy of PEMFC degradation forecasting, this research proposes an integrated approach that combines the complete ensemble empirical mode decomposition with the variational mode decomposition (CEEMD-VMD) and triple echo state network (TriESN) to predict the deterioration process precisely. Decomposition can filter out high-frequency noise and retain low-frequency degradation information effectively. Among data-driven methods, the echo state network (ESN) is capable of estimating the degradation performance of PEMFCs. To tackle the problem of low prediction accuracy, this study proposes a novel TriESN that builds upon the classical ESN. The proposed enhancement method seeks to refine the ESN architecture by reducing the impact of surrounding neurons and sub-reservoirs on active neurons, thus realizing partial decoupling of the ESN. On this basis of decoupling, the method takes into account the multi-timescale aging characteristics of PEMFCs to achieve precise prediction of remaining useful life. Overall, combining CEEMD-VMD with the TriESN strengthens feature depiction, fosters sparsity, diminishes the likelihood of overfitting, and augments the network’s capacity for generalization. It has been shown that the TriESN markedly improved the accuracy of long-term PEMFC degradation predictions in three different dynamic contexts. Full article
(This article belongs to the Section Fault Diagnosis & Sensors)
Show Figures

Figure 1

14 pages, 3884 KB  
Article
An Echo State Network Approach for Parameter Variation Robustness Enhancement in FCS-MPC for PMSM Drives
by Xiao Zeng, Jing Li, Pengcheng Yang, Hongda Cai, Yongzhi Zhou and Daren Li
Appl. Sci. 2025, 15(11), 6288; https://doi.org/10.3390/app15116288 - 3 Jun 2025
Cited by 1 | Viewed by 667
Abstract
Parameter mismatch in model predictive control (MPC) strategies presents significant challenge in permanent magnet synchronous motor (PMSM) control, often leading to reduced tracking accuracy and compromised system stability under dynamic operating conditions. To address above issue, this article proposes a modified parameter robust [...] Read more.
Parameter mismatch in model predictive control (MPC) strategies presents significant challenge in permanent magnet synchronous motor (PMSM) control, often leading to reduced tracking accuracy and compromised system stability under dynamic operating conditions. To address above issue, this article proposes a modified parameter robust FCS-MPC framework that integrates an online learning echo state network (ESN) for real-time compensation of parameter deviations. By leveraging the structural simplicity and application efficiency of ESNs during training, the proposed approach is well-suited to tackling complex parameter variation challenges via online learning. Initially, the ESN is trained offline using data derived from a PMSM-MPC control environment. Subsequently, the trained ESN replaces the predictive model of the MPC controller, enabling online learning under varying PMSM driving conditions. The incorporation of an online ESN allows the proposed controller to achieve real-time adjustments that mitigate the effects of parameter mismatch. Plenty of simulation studies are available and demonstrate that the proposed ESN-MPC controller exhibits enhanced robustness against parameter mismatch compared to the traditional FCS-MPC method. Full article
Show Figures

Figure 1

18 pages, 1902 KB  
Article
Fuzzy Echo State Network-Based Fault Diagnosis of Remote-Controlled Robotic Arms
by Shurong Peng, Zexiang Guo, Xiaoxu Liu, Tan Zhang and Yunhao Yang
Appl. Sci. 2025, 15(11), 5829; https://doi.org/10.3390/app15115829 - 22 May 2025
Viewed by 631
Abstract
This paper presents a novel fault diagnosis technique for remote-controlled robotic arm systems, utilizing deep fuzzy echo state networks (DFESNs) and applies the covariance matrix adaptation evolution strategy (CMA-ES) to optimize the hyperparameters of the DFESN model. The developed DFESN model, optimized via [...] Read more.
This paper presents a novel fault diagnosis technique for remote-controlled robotic arm systems, utilizing deep fuzzy echo state networks (DFESNs) and applies the covariance matrix adaptation evolution strategy (CMA-ES) to optimize the hyperparameters of the DFESN model. The developed DFESN model, optimized via CMA-ES, efficiently performs online fault classification through small datasets and training. The method is evaluated through experiments on a leader–follower robotic arm system, demonstrating high accuracy and efficiency. The faults under consideration include leader sensor fault, communication fault, actuator fault, and follower sensor fault. Only follower sensor data are utilized for fault diagnosis. The DFESN model achieves a mean accuracy of 99.5% with the shortest training and online diagnosis times compared to other methods, making it suitable for real-time fault diagnosis applications. Full article
(This article belongs to the Special Issue Intelligent Control of Robotic System)
Show Figures

Figure 1

28 pages, 81257 KB  
Article
The Drosophila Connectome as a Computational Reservoir for Time-Series Prediction
by Leone Costi, Alexander Hadjiivanov, Dominik Dold, Zachary F. Hale and Dario Izzo
Biomimetics 2025, 10(5), 341; https://doi.org/10.3390/biomimetics10050341 - 21 May 2025
Viewed by 1461
Abstract
In this work, we explore the possibility of using the topology and weight distribution of the connectome of a Drosophila, or fruit fly, as a reservoir for multivariate chaotic time-series prediction. Based on the information taken from the recently released full connectome, [...] Read more.
In this work, we explore the possibility of using the topology and weight distribution of the connectome of a Drosophila, or fruit fly, as a reservoir for multivariate chaotic time-series prediction. Based on the information taken from the recently released full connectome, we create the connectivity matrix of an Echo State Network. Then, we use only the most connected neurons and implement two possible selection criteria, either preserving or breaking the relative proportion of different neuron classes which are also included in the documented connectome, to obtain a computationally convenient reservoir. We then investigate the performance of such architectures and compare them to state-of-the-art reservoirs. The results show that the connectome-based architecture is significantly more resilient to overfitting compared to the standard implementation, particularly in cases already prone to overfitting. To further isolate the role of topology and synaptic weights, hybrid reservoirs with the connectome topology but random synaptic weights and the connectome weights but random topologies are included in the study, demonstrating that both factors play a role in the increased overfitting resilience. Finally, we perform an experiment where the entire connectome is used as a reservoir. Despite the much higher number of trained parameters, the reservoir remains resilient to overfitting and has a lower normalized error, under 2%, at lower regularisation, compared to all other reservoirs trained with higher regularisation. Full article
(This article belongs to the Special Issue Advances in Biomimetics: Patents from Nature)
Show Figures

Graphical abstract

31 pages, 6177 KB  
Article
Transforming Neural Networks into Quantum-Cognitive Models: A Research Tutorial with Novel Applications
by Milan Maksimovic and Ivan S. Maksymov
Technologies 2025, 13(5), 183; https://doi.org/10.3390/technologies13050183 - 4 May 2025
Cited by 1 | Viewed by 2990
Abstract
Quantum technologies are increasingly pervasive, underpinning the operation of numerous electronic, optical and medical devices. Today, we are also witnessing rapid advancements in quantum computing and communication. However, access to quantum technologies in computation remains largely limited to professionals in research organisations and [...] Read more.
Quantum technologies are increasingly pervasive, underpinning the operation of numerous electronic, optical and medical devices. Today, we are also witnessing rapid advancements in quantum computing and communication. However, access to quantum technologies in computation remains largely limited to professionals in research organisations and high-tech industries. This paper demonstrates how traditional neural networks can be transformed into neuromorphic quantum models, enabling anyone with a basic understanding of undergraduate-level machine learning to create quantum-inspired models that mimic the functioning of the human brain—all using a standard laptop. We present several examples of these quantum machine learning transformations and explore their potential applications, aiming to make quantum technology more accessible and practical for broader use. The examples discussed in this paper include quantum-inspired analogues of feedforward neural networks, recurrent neural networks, Echo State Network reservoir computing, and Bayesian neural networks, demonstrating that a quantum approach can both optimise the training process and equip the models with certain human-like cognitive characteristics. Full article
(This article belongs to the Topic Quantum Information and Quantum Computing, 2nd Volume)
Show Figures

Figure 1

Back to TopTop