Sign in to use this feature.

Years

Between: -

Subjects

remove_circle_outline
remove_circle_outline
remove_circle_outline
remove_circle_outline
remove_circle_outline
remove_circle_outline
remove_circle_outline

Journals

Article Types

Countries / Regions

Search Results (29)

Search Parameters:
Keywords = dynamic wrench

Order results
Result details
Results per page
Select all
Export citation of selected articles as:
27 pages, 4377 KB  
Article
Modeling of an Impact Wrench for Use in Reducing Hand–Arm Vibrations
by Tashari ter Braack and Donald L. Margolis
Machines 2026, 14(2), 213; https://doi.org/10.3390/machines14020213 - 12 Feb 2026
Viewed by 403
Abstract
Impact wrenches are widely used in construction and automotive industries, yet they generate harmful vibrations that pose health risks to operators and reduce tool usability. This paper develops a practical, low-order bond-graph model of impact-wrench dynamics that captures interactions among the motor, hammer, [...] Read more.
Impact wrenches are widely used in construction and automotive industries, yet they generate harmful vibrations that pose health risks to operators and reduce tool usability. This paper develops a practical, low-order bond-graph model of impact-wrench dynamics that captures interactions among the motor, hammer, anvil, and hand/arm constraints, and validates it against measurements during bolt tightening into a steel plate. Predictions match measured RMS accelerations and spectral modes up to 200 Hz with a maximum relative RMS error of 11%. The analysis attributes dominant vibration sources to rotational and translational impacts between the hammer and anvil; notably, the translational (z-axis) impact contributes substantially to felt vibration while not being required for bolt tightening. The model provides physical insight into vibration origins and supports actionable design decisions, such as reducing the linear (z-axis) impact and adding rotational damping or control, consistent with standardized testing practice. Full article
(This article belongs to the Section Machine Design and Theory)
Show Figures

Figure 1

23 pages, 2898 KB  
Article
Flybbit: Design and Control of a Novel Rabbit-like Flying Robot
by Chenyang Sun, Runjie Shen, Yifan Liu, Junrui Zhang, Fenghe Guo and Quanxi Zhan
Drones 2025, 9(9), 609; https://doi.org/10.3390/drones9090609 - 29 Aug 2025
Cited by 1 | Viewed by 1165
Abstract
In this paper, we present the design and control of a novel aerial vehicle inspired by the biomechanics of a rabbit named “Flybbit”. Flybbit consists of two main components, namely a movable “Ears” part and a rigid “Body” part, forming a composite flying [...] Read more.
In this paper, we present the design and control of a novel aerial vehicle inspired by the biomechanics of a rabbit named “Flybbit”. Flybbit consists of two main components, namely a movable “Ears” part and a rigid “Body” part, forming a composite flying system with five controllable degrees of freedom (DOFs). The “Ears” part is equipped with two tiltable motors paired with optional-sized propellers, enabling additional thrust generation and flight stability maintenance, and the “Body” part incorporates four fixed motors, analogous to a rabbit’s limbs, to provide the primary propulsion. To fully exploit the actuation capability, we derive the system dynamics and introduce a dynamic control allocation method with an adaptive strategy to mitigate actuator saturation during complex combined maneuvers. Furthermore, we analyze the differential flatness property and develop a nonlinear inverse dynamics controller enhanced with hybrid external wrench estimation, enabling accurate trajectory tracking in five DOFs. Flybbit supports both manual operation via RC and autonomous flight via onboard computation. Comprehensive simulations and real-world experiments validate the proposed design and control framework. Full article
(This article belongs to the Section Drone Design and Development)
Show Figures

Figure 1

31 pages, 2920 KB  
Article
Model Predictive Impedance Control and Gait Optimization for High-Speed Quadrupedal Running
by Deok Ha Kim, Jaeuk Cho and Jong Hyeon Park
Appl. Sci. 2025, 15(16), 8861; https://doi.org/10.3390/app15168861 - 11 Aug 2025
Cited by 3 | Viewed by 2458
Abstract
Controlling legged robots to run at high speeds or to traverse complex terrains remains challenging due to the difficulty of handling the interaction between the robot and the ground. Impedance control and model predictive control are widely used to account for ground reaction [...] Read more.
Controlling legged robots to run at high speeds or to traverse complex terrains remains challenging due to the difficulty of handling the interaction between the robot and the ground. Impedance control and model predictive control are widely used to account for ground reaction forces (GRFs) during dynamic locomotion. This paper introduces a model predictive impedance control (MPIC) method that combines the advantages of both strategies and applies it to a quadruped robot. The proposed approach reformulates MPIC within the single rigid body model (SRBM) framework and derives linear inequality constraints for the equivalent wrench, allowing explicit consideration of GRF limits while retaining compliant behavior against ground impacts and external disturbances. Furthermore, a novel optimized gait pattern based on a simplified dynamic model is introduced to minimize the effect of GRFs on the robot. The resulting gait improves stability compared to conventional gait patterns while maintaining a similar level of energy efficiency. The proposed method is validated through various simulations under diverse conditions. The results demonstrate that it enables the quadruped robot to run at a speed of 12 m/s while maintaining stability against repeated lateral disturbances. Full article
(This article belongs to the Section Robotics and Automation)
Show Figures

Figure 1

21 pages, 9514 KB  
Article
Choked Flow in Calibrated Orifices for Hydraulic Fluid Power Applications
by Massimo Rundo, Paola Fresia, Carmine Conte and Paolo Casoli
Fluids 2025, 10(4), 97; https://doi.org/10.3390/fluids10040097 - 6 Apr 2025
Viewed by 2452
Abstract
The flow rate through hydraulic resistance increases with the pressure drop across it, but this correlation is no longer valid under cavitation conditions. This study investigates choked flow in calibrated screw-in orifices, widely used for control and damping in fluid power components. An [...] Read more.
The flow rate through hydraulic resistance increases with the pressure drop across it, but this correlation is no longer valid under cavitation conditions. This study investigates choked flow in calibrated screw-in orifices, widely used for control and damping in fluid power components. An experimental campaign was conducted on orifices with diameters ranging from 1 to 0.4 mm at various upstream pressures using hydraulic oil. A computational fluid dynamics (CFD) model was developed and validated against experiments, then used to analyze the effects of geometric parameters such as edge chamfers, hex wrench sockets, and length-to-diameter ratio. From CFD results, an analytical correlation between flow rate and pressure drop was derived, incorporating flow saturation effects. The study revealed that under saturation conditions, flow rate is largely unaffected by geometry, except for the ideal case of a perfectly sharp-edged orifice, which is rarely encountered. Even minimal chamfers of a few hundredths of a millimeter make the restrictor non-ideal. The derived correlation can be integrated into lumped parameter models of fluid power components to account for choked flow. Full article
(This article belongs to the Special Issue Multiphase Flow and Fluid Machinery)
Show Figures

Figure 1

15 pages, 1079 KB  
Article
An Improved Hierarchical Optimization Framework for Walking Control of Underactuated Humanoid Robots Using Model Predictive Control and Whole Body Planner and Controller
by Yuanji Liu, Haiming Mou, Hao Jiang, Qingdu Li and Jianwei Zhang
Mathematics 2025, 13(1), 154; https://doi.org/10.3390/math13010154 - 3 Jan 2025
Cited by 3 | Viewed by 4427
Abstract
This paper addresses the fundamental challenge of achieving stable and efficient walking in a lightweight, underactuated humanoid robot that lacks an ankle roll degree of freedom. To tackle this relevant critical problem, we present a hierarchical optimization framework that combines model predictive control [...] Read more.
This paper addresses the fundamental challenge of achieving stable and efficient walking in a lightweight, underactuated humanoid robot that lacks an ankle roll degree of freedom. To tackle this relevant critical problem, we present a hierarchical optimization framework that combines model predictive control (MPC) with a tailored whole body planner and controller (WBPC). At the high level, we employ a matrix exponential (ME)-based discretization of the MPC, ensuring numerical stability across a wide range of step sizes (5 to 100 ms), thereby reducing computational complexity without sacrificing control quality. At the low level, the WBPC is specifically designed to handle the unique kinematic constraints imposed by the missing ankle roll DOF, generating feasible joint trajectories for the swing foot phase. Meanwhile, a whole body control (WBC) strategy refines ground reaction forces and joint trajectories under full-body dynamics and contact wrench cone (CWC) constraints, guaranteeing physically realizable interactions with the environment. Finally, a position–velocity–torque (PVT) controller integrates feedforward torque commands with the desired trajectories for robust execution. Validated through walking experiments on the MuJoCo simulation platform using our custom-designed lightweight robot X02, this approach not only improves the numerical stability of MPC solutions, but also provides a scientifically sound and effective method for underactuated humanoid locomotion control. Full article
Show Figures

Figure 1

20 pages, 9290 KB  
Article
Kinetostatics of a Snake Robot with Redundant Degrees of Freedom
by Dong-Jie Zhao, Han-Lin Sun, Zhao-Cai Du, Yan-Bin Yao and Jing-Shan Zhao
Machines 2024, 12(8), 526; https://doi.org/10.3390/machines12080526 - 1 Aug 2024
Cited by 1 | Viewed by 2045
Abstract
This paper proposes a kinetostatic approach for analyzing the joint torques of a redundant snake robot. The method is suitable for weightless space environments. With the high degree of freedom and flexible cable actuation, the redundant snake robot is well-suited for utilization in [...] Read more.
This paper proposes a kinetostatic approach for analyzing the joint torques of a redundant snake robot. The method is suitable for weightless space environments. With the high degree of freedom and flexible cable actuation, the redundant snake robot is well-suited for utilization in space-weightless environments. This method reduces computational cost by using the multiplication of matrices and vectors instead of inverse matrices. Taking advantage of the velocity screw (twist) and force screw (wrench), this strategy provides an idea for redundant serial robots to achieve the calculation of joint torques. This methodology is straightforward for programming and has good computational efficiency. The instantaneous work performed by the actuation is expressed with the force screw. According to the principle of virtual work, the kinetostatic equation of the robot can be obtained and the torque required for each joint can be determined. Meanwhile, to solve the inertia force generated by joint acceleration, D’Alembert’s principle is adopted to transform the dynamic problem into a static problem. Through kinetostatic analysis of a redundant snake robot, this paper shows the approach of establishing the kinetostatic model to calculate the torque in screw form. At the same time, the actuation distribution of the redundant snake robot is also cracked effectively for practical purposes. Due to the difficulty of achieving weightless space environments, this paper validates the method by using ADAMS simulation without gravity in the simulation. Full article
(This article belongs to the Section Automation and Control Systems)
Show Figures

Figure 1

16 pages, 12036 KB  
Article
Tilt-X: Development of a Pitch-Axis Tiltrotor Quadcopter for Maximizing Horizontal Pulling Force and Yaw Moment
by Xiaodi Tao and Seong Young Ko
Appl. Sci. 2024, 14(14), 6181; https://doi.org/10.3390/app14146181 - 16 Jul 2024
Cited by 3 | Viewed by 4240
Abstract
In recent years, there has been a significant amount of research on tiltrotor multicopter unmanned aerial vehicles (TM-UAVs) in aerial robotics. Despite the varying frame types of TM-UAVs, they all still aim to decouple the propeller from the body, which means that the [...] Read more.
In recent years, there has been a significant amount of research on tiltrotor multicopter unmanned aerial vehicles (TM-UAVs) in aerial robotics. Despite the varying frame types of TM-UAVs, they all still aim to decouple the propeller from the body, which means that the propeller’s attitude control is independent of the body’s attitude control. On the one hand, this solves the issue of multicopter unmanned aerial vehicles (M-UAVs) being limited by small roll and pitch angles, thereby improving flight performance. On the other hand, it addresses the drawbacks of M-UAVs as typical underactuated systems. However, the fact still remains that it cannot significantly change thrust direction, thus providing the necessary wrench direction for aerial manipulation. This paper presents a pitch-axis tiltrotor quadcopter unmanned aerial vehicle (UAV) design named Tilt-X, which can maximize horizontal pulling force and yaw moment when used as an aerial manipulator. This design contributes to tasks such as pushing, pulling, and twisting. The reliability of the design has been demonstrated through dynamic modeling and experimental validation. Full article
(This article belongs to the Special Issue Advances in Unmanned Aerial Vehicle (UAV) System)
Show Figures

Figure 1

17 pages, 2924 KB  
Article
Balance and Walking Control for Biped Robot Based on Divergent Component of Motion and Contact Force Optimization
by Shuai Heng, Xizhe Zang, Chao Song, Boyang Chen, Yue Zhang, Yanhe Zhu and Jie Zhao
Mathematics 2024, 12(14), 2188; https://doi.org/10.3390/math12142188 - 12 Jul 2024
Cited by 3 | Viewed by 4248
Abstract
This paper presents a complete planner and controller scheme to achieve balance and walking for a biped robot, which does not need to distinguish the robot’s dynamic model parameters. The high-level planner utilizes model predictive control to optimize both the foothold location and [...] Read more.
This paper presents a complete planner and controller scheme to achieve balance and walking for a biped robot, which does not need to distinguish the robot’s dynamic model parameters. The high-level planner utilizes model predictive control to optimize both the foothold location and step duration based on the Divergent Component of Motion (DCM) model to enhance the robustness of generated gaits. For low-level control, we use quadratic programming (QP) to optimize the contact force distribution under the contact constraints to achieve the virtual wrench exerted on the base of the robot. Then, the joint torques sent to the robot are derived from three parts: first, the torques mapped from the contact force; second, the swing leg tracking; and third, the stance foot stabilization. The simulation and experiment on BRUCE, a miniature bipedal robot from Westwood Robotics (Los Angeles, CA, USA), testify to the performance of the control scheme, including push recovery, Center of Mass (CoM) tracking, and omnidirectional walking. Full article
(This article belongs to the Special Issue Dynamics and Control of Complex Systems and Robots)
Show Figures

Figure 1

22 pages, 414 KB  
Article
Using Lie Derivatives with Dual Quaternions for Parallel Robots
by Stephen Montgomery-Smith and Cecil Shy
Machines 2023, 11(12), 1056; https://doi.org/10.3390/machines11121056 - 28 Nov 2023
Cited by 6 | Viewed by 2385 | Correction
Abstract
We introduce the notion of the Lie derivative in the context of dual quaternions that represent rigid motions and twists. First we define the wrench in terms of dual quaternions. Then we show how the Lie derivative helps understand how actuators affect an [...] Read more.
We introduce the notion of the Lie derivative in the context of dual quaternions that represent rigid motions and twists. First we define the wrench in terms of dual quaternions. Then we show how the Lie derivative helps understand how actuators affect an end effector in parallel robots, and make it explicit in the two cases case of Stewart Platforms, and cable-driven parallel robots. We also show how to use Lie derivatives with the Newton-Raphson Method to solve the forward kinematic problem for over constrained parallel actuators. Finally, we derive the equations of motion of the end effector in dual quaternion form, which include the effect of inertia from the actuators. Full article
(This article belongs to the Special Issue Advances in Parallel Robots and Mechanisms)
Show Figures

Figure 1

15 pages, 3314 KB  
Article
Screw Dynamics of a Multibody System by a Schoenflies Manipulator
by Jing-Shan Zhao, Han-Lin Sun, Hao-Yang Li and Dong-Jie Zhao
Appl. Sci. 2023, 13(17), 9732; https://doi.org/10.3390/app13179732 - 28 Aug 2023
Cited by 9 | Viewed by 2614
Abstract
This paper presents a screw dynamics method for multi-rigid-body systems. It establishes the relationship between velocity screw (twist) and force screw (wrench) in the theorem of momentum screw. Then, the structure of a 2UPS + 2UPU parallel manipulator is introduced as an example [...] Read more.
This paper presents a screw dynamics method for multi-rigid-body systems. It establishes the relationship between velocity screw (twist) and force screw (wrench) in the theorem of momentum screw. Then, the structure of a 2UPS + 2UPU parallel manipulator is introduced as an example of application. By analyzing the constraint wrench of each limb and the twist of the moving platform in the theorem of momentum screw, the dynamics equation for solving the driving force makes the method very convenient for computer programming. The dynamics equation can be reorganized into a non-homogeneous linear equation and establishes the relationship between the constraint wrench of each limb and the twist of the moving platform in screw coordinate. The outstanding advantage of the algorithm proposed in this paper is that the average calculation time is only 83.21% of that of the Newton–Euler method for the 2UPS + 2UPU parallel manipulator on the same computer. This methodology provides a convenient canonical form for the dynamics analysis of multi-rigid-body systems. Full article
Show Figures

Figure 1

22 pages, 10163 KB  
Article
Closed-Chain Inverse Dynamics for the Biomechanical Analysis of Manual Material Handling Tasks through a Deep Learning Assisted Wearable Sensor Network
by Riccardo Bezzini, Luca Crosato, Massimo Teppati Losè, Carlo Alberto Avizzano, Massimo Bergamasco and Alessandro Filippeschi
Sensors 2023, 23(13), 5885; https://doi.org/10.3390/s23135885 - 25 Jun 2023
Cited by 4 | Viewed by 4612
Abstract
Despite the automatization of many industrial and logistics processes, human workers are still often involved in the manual handling of loads. These activities lead to many work-related disorders that reduce the quality of life and the productivity of aged workers. A biomechanical analysis [...] Read more.
Despite the automatization of many industrial and logistics processes, human workers are still often involved in the manual handling of loads. These activities lead to many work-related disorders that reduce the quality of life and the productivity of aged workers. A biomechanical analysis of such activities is the basis for a detailed estimation of the biomechanical overload, thus enabling focused prevention actions. Thanks to wearable sensor networks, it is now possible to analyze human biomechanics by an inverse dynamics approach in ecological conditions. The purposes of this study are the conceptualization, formulation, and implementation of a deep learning-assisted fully wearable sensor system for an online evaluation of the biomechanical effort that an operator exerts during a manual material handling task. In this paper, we show a novel, computationally efficient algorithm, implemented in ROS, to analyze the biomechanics of the human musculoskeletal systems by an inverse dynamics approach. We also propose a method for estimating the load and its distribution, relying on an egocentric camera and deep learning-based object recognition. This method is suitable for objects of known weight, as is often the case in logistics. Kinematic data, along with foot contact information, are provided by a fully wearable sensor network composed of inertial measurement units. The results show good accuracy and robustness of the system for object detection and grasp recognition, thus providing reliable load estimation for a high-impact field such as logistics. The outcome of the biomechanical analysis is consistent with the literature. However, improvements in gait segmentation are necessary to reduce discontinuities in the estimated lower limb articular wrenches. Full article
Show Figures

Figure 1

18 pages, 2971 KB  
Article
Nonlinear Model Predictive Impedance Control of a Fully Actuated Hexarotor for Physical Interaction
by Ran Jiao, Jianfeng Li, Yongfeng Rong and Taogang Hou
Sensors 2023, 23(11), 5231; https://doi.org/10.3390/s23115231 - 31 May 2023
Cited by 5 | Viewed by 2691
Abstract
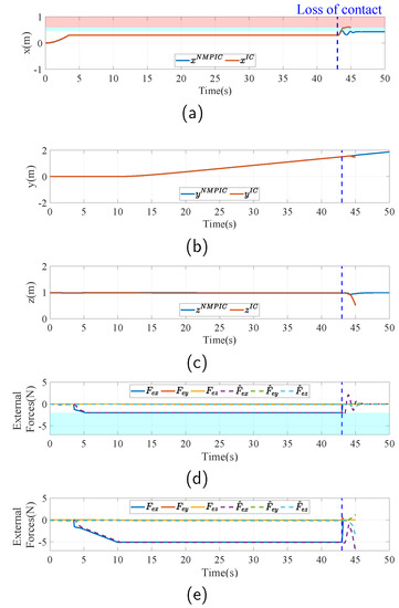
In this paper, the problem of a fully actuated hexarotor performing a physical interaction with the environment through a rigidly attached tool is considered. A nonlinear model predictive impedance control (NMPIC) method is proposed to achieve the goal in which the controller is [...] Read more.
In this paper, the problem of a fully actuated hexarotor performing a physical interaction with the environment through a rigidly attached tool is considered. A nonlinear model predictive impedance control (NMPIC) method is proposed to achieve the goal in which the controller is able to simultaneously handle the constraints and maintain the compliant behavior. The design of NMPIC is the combination of a nonlinear model predictive control and impedance control based on the dynamics of the system. A disturbance observer is exploited to estimate the external wrench and then provide compensation for the model which was employed in the controller. Moreover, a weight adaptive strategy is proposed to perform the online tuning of the weighting matrix of the cost function within the optimal problem of NMPIC to improve the performance and stability. The effectiveness and advantages of the proposed method are validated by several simulations in different scenarios compared with the general impedance controller. The results also indicate that the proposed method opens a novel way for interaction force regulation. Full article
(This article belongs to the Section Intelligent Sensors)
Show Figures

Figure 1

26 pages, 15679 KB  
Article
Robust Fastener Detection Based on Force and Vision Algorithms in Robotic (Un)Screwing Applications
by Paul Espinosa Peralta, Manuel Ferre and Miguel Ángel Sánchez-Urán
Sensors 2023, 23(9), 4527; https://doi.org/10.3390/s23094527 - 6 May 2023
Cited by 5 | Viewed by 5011
Abstract
This article addresses how to tackle one of the most demanding tasks in manufacturing and industrial maintenance sectors: using robots with a novel and robust solution to detect the fastener and its rotation in (un)screwing tasks over parallel surfaces with respect to the [...] Read more.
This article addresses how to tackle one of the most demanding tasks in manufacturing and industrial maintenance sectors: using robots with a novel and robust solution to detect the fastener and its rotation in (un)screwing tasks over parallel surfaces with respect to the tool. To this end, the vision system is based on an industrial camera with a dynamic exposure time, a tunable liquid crystal lens (TLCL), and active near-infrared reflectance (NIR) illumination. Its camera parameters, combined with a fixed value of working distance (WD) and variable or constant field of view (FOV), make it possible to work with a variety of fastener sizes under several lighting conditions. This development also uses a collaborative robot with an embedded force sensor to verify the success of the fastener localization in a real test. Robust algorithms based on segmentation neural networks (SNN) and vision were developed to find the center and rotation of the hexagon fastener in a flawless condition and worn, scratched, and rusty conditions. SNNs were tested using a graphics processing unit (GPU), central processing unit (CPU), and edge devices, such as Jetson Javier Nx (JJNX), Intel Neural Compute Stick 2 (INCS2), and M.2 Accelerator with Dual Edge TPU (DETPU), with optimization parameters, such as the unsigned integer (UINT) and float (FP), to understand their performance. A virtual program logic controller (PLC) was mounted on a personal computer (PC) as the main control to process the images and save the data. Moreover, a mathematical analysis based on the international standard organization (ISO) and patents of the manual socket wrench was performed to determine the maximum error allowed. In addition, the work was substantiated using exhaustive evaluation tests, validating the tolerance errors, robotic forces for successfully completed tasks, and algorithms implemented. As a result of this work, the translation tolerances increase with higher sizes of fasteners from 0.75 for M6 to 2.50 for M24; however, the rotation decreases with the size from 5.5° for M6 to 3.5° for M24. The proposed methodology is a robust solution to tackle outliers contours and fake vertices produced by distorted masks present in non-constant illumination; it can reach an average accuracy to detect the vertices of 99.86% and the center of 100%, also, the time consumed by the SNN and the proposed algorithms is 73.91 ms on an Intel Core I9 CPU. This work is an interesting contribution to industrial robotics and improves current applications. Full article
(This article belongs to the Section Sensors and Robotics)
Show Figures

Figure 1

19 pages, 856 KB  
Article
Unified Singularity Crossing of a 3-(rR)PS Metamorphic Parallel Mechanism through Dynamic Modeling
by Latifah Nurahmi, Dongming Gan and Wega Tama Adi Setya
Machines 2023, 11(3), 361; https://doi.org/10.3390/machines11030361 - 7 Mar 2023
Cited by 7 | Viewed by 2610
Abstract
Metamorphic parallel mechanisms can change into multiple configurations with different motion types and mobility, which consequently yield different solutions of inverse dynamics when crossing singularity. Thus, a unified solution of inverse dynamics to cross singularity becomes important. This solution relies on the consistency [...] Read more.
Metamorphic parallel mechanisms can change into multiple configurations with different motion types and mobility, which consequently yield different solutions of inverse dynamics when crossing singularity. Thus, a unified solution of inverse dynamics to cross singularity becomes important. This solution relies on the consistency condition, the first indeterminate form, and this paper proposes an additional condition by extending into the second indeterminate form. This paper presents unified dynamic models of a 3-(rR)PS metamorphic parallel mechanism to pass through singularities. The analysis is carried out on all three configurations of the 3-(rR)PS metamorphic parallel mechanism. The dynamic models are established using Lagrange formulation, and three conditions to cross singularities are employed. The first condition is based on the consistency condition where the uncontrollable motion should be reciprocal to the wrench matrix. The denominator of inverse Jacobian is its determinant whose value is zero at singularities. This singularity can be discarded by compensating the numerator to be zero. Both the numerator and denominator are null, and this indeterminate form becomes the second condition. Both conditions are sufficient for inverse dynamics of one configuration to pass through singularity, but not for other configurations. Therefore, the second indeterminate form is proposed to be the third condition to be fulfilled. Consequently, the 11th-degree polynomial is required for path planning. The results are presented and confirmed by ADAMS simulation. Full article
(This article belongs to the Special Issue Development and Applications of Parallel Robots)
Show Figures

Figure 1

22 pages, 6063 KB  
Article
Generalized Design, Modeling and Control Methodology for a Snake-like Aerial Robot
by Moju Zhao and Takuzumi Nishio
Sensors 2023, 23(4), 1882; https://doi.org/10.3390/s23041882 - 7 Feb 2023
Cited by 3 | Viewed by 3771
Abstract
Snake-like robots have been developing in recent decades, and various bio-inspired ideas are deployed in both the mechanical and locomotion aspects. In recent years, several studies have proposed state-of-the-art snake-like aerial robots, which are beyond bio-inspiration. The achievement of snake-like aerial robots benefits [...] Read more.
Snake-like robots have been developing in recent decades, and various bio-inspired ideas are deployed in both the mechanical and locomotion aspects. In recent years, several studies have proposed state-of-the-art snake-like aerial robots, which are beyond bio-inspiration. The achievement of snake-like aerial robots benefits both aerial maneuvering and manipulation, thereby having importance in various fields, such as industry surveillance and disaster rescue. In this work, we introduce our development of the modular aerial robot which can be considered a snake-like robot with high maneuverability in flight. To achieve such flight, we first proposed a unique thrust vectoring apparatus equipped with dual rotors to enable three-dimensional thrust force. Then, a generalized modeling method based on dynamics approximation is proposed to allocate the wrench in the center-of-gravity (CoG) frame to thrust forces and vectoring angles. We further developed a generalized control framework that can handle both under-actuated and fully actuated models. Finally, we show the experimental results with two different platforms to evaluate the flight stability of the proposed snake-like aerial robot. We believe that the proposed generalized methods can provide a solid foundation for the snake-like aerial robot and its applications regarding maneuvering and manipulation in midair. Full article
(This article belongs to the Special Issue Advances in Snake Robots of Bio-Inspired Robotics)
Show Figures

Figure 1

Back to TopTop