Sign in to use this feature.

Years

Between: -

Subjects

remove_circle_outline
remove_circle_outline
remove_circle_outline
remove_circle_outline
remove_circle_outline
remove_circle_outline
remove_circle_outline
remove_circle_outline
remove_circle_outline

Journals

Article Types

Countries / Regions

Search Results (131)

Search Parameters:
Keywords = dynamic traffic assignment

Order results
Result details
Results per page
Select all
Export citation of selected articles as:
21 pages, 6017 KB  
Article
A New Ship Trajectory Clustering Method Based on PSO-DBSCAN
by Zhengchuan Qin and Tian Chai
J. Mar. Sci. Eng. 2026, 14(2), 214; https://doi.org/10.3390/jmse14020214 - 20 Jan 2026
Viewed by 67
Abstract
With the rapid growth of vessel traffic and the widespread adoption of the Automatic Identification System (AIS) in recent years, analyzing maritime traffic flow characteristics has become an essential component of modern maritime supervision. Clustering analysis is one of the primary data-mining approaches [...] Read more.
With the rapid growth of vessel traffic and the widespread adoption of the Automatic Identification System (AIS) in recent years, analyzing maritime traffic flow characteristics has become an essential component of modern maritime supervision. Clustering analysis is one of the primary data-mining approaches used to extract traffic patterns from AIS data. Addressing the challenge of assigning appropriate weights to the multidimensional features in AIS trajectories, namely latitude and longitude, speed over ground (SOG), and course over ground (COG). This study introduces an adaptive parameter optimization mechanism based on evolutionary algorithms. Specifically, Particle Swarm Optimization (PSO), a representative swarm intelligence algorithm, is employed to automatically search for the optimal feature-distance weights and the core parameters of Density-Based Spatial Clustering of Applications with Noise (DBSCAN), enabling dynamic adjustment of clustering thresholds and global optimization of model performance. By designing a comprehensive clustering evaluation index as the objective function, the proposed method achieves optimal parameter allocation in a multidimensional similarity space, thereby uncovering maritime traffic clusters that may be overlooked when relying on single-dimensional features. The method is validated using AIS trajectory data from the Xiamen Port area, where 15 traffic clusters were successfully identified. Comparative experiments with two other clustering algorithms demonstrate the superior performance of the proposed approach in trajectory pattern analysis, providing valuable reference for maritime regulatory and traffic management applications. Full article
(This article belongs to the Section Ocean Engineering)
Show Figures

Figure 1

19 pages, 1760 KB  
Article
Adaptive Rolling-Horizon Optimization for Low-Carbon Operation of Coupled Transportation–Power Systems
by Zhe Zhang, Shiyan Luan, Yingli Wei, Fan Tang, Haosen Li, Pengkun Sun and Chao Yang
Energies 2026, 19(1), 227; https://doi.org/10.3390/en19010227 - 31 Dec 2025
Viewed by 319
Abstract
The rapid growth of electric vehicles (EVs) has created new challenges for the coordinated low-carbon operation of transportation and power systems. To address this issue, this paper proposes an adaptive rolling-horizon dynamic user equilibrium (DUE) optimization framework for the low-carbon operation of coupled [...] Read more.
The rapid growth of electric vehicles (EVs) has created new challenges for the coordinated low-carbon operation of transportation and power systems. To address this issue, this paper proposes an adaptive rolling-horizon dynamic user equilibrium (DUE) optimization framework for the low-carbon operation of coupled transportation–power systems. The framework integrates transportation, power, and environmental dimensions into a unified objective. On the transportation side, a DUE-based traffic assignment formulation captures both road travel times and station-level queuing dynamics, providing a realistic representation of EV user behavior. This DUE-based traffic assignment model is coupled with an optimal AC power flow formulation to ensure grid feasibility and quantify network losses. To internalize environmental costs, a carbon emission flow module propagates generator-specific carbon intensities to charging stations, aligning charging decisions with their true emission sources. These components are coordinated within a rolling-horizon method in which the prediction window adapts its length to the variability of demand and renewable forecasts. The proposed method allows longer horizons to improve foresight in stable conditions and shorter ones to maintain robustness under volatility. Numerical case studies demonstrate the effectiveness and robustness of the proposed framework and its potential to support low-carbon, high-efficiency operation of coupled transportation–power systems. Full article
Show Figures

Figure 1

21 pages, 4686 KB  
Article
Network-Wide Deployment of Connected and Autonomous Vehicle Dedicated Lanes Through Integrated Modeling of Endogenous Demand and Dynamic Capacity
by Yuxin Wang, Lili Lu and Xiaoying Wu
Sustainability 2026, 18(1), 292; https://doi.org/10.3390/su18010292 - 27 Dec 2025
Viewed by 341
Abstract
Integrating connected and autonomous vehicle dedicated lanes (CAVDLs) into existing road networks under mixed traffic conditions presents a complex challenge, often requiring a balance of multiple conflicting objectives. This study develops a dynamic multi-objective optimization framework, formulated as a mixed-integer nonlinear programming problem, [...] Read more.
Integrating connected and autonomous vehicle dedicated lanes (CAVDLs) into existing road networks under mixed traffic conditions presents a complex challenge, often requiring a balance of multiple conflicting objectives. This study develops a dynamic multi-objective optimization framework, formulated as a mixed-integer nonlinear programming problem, to determine the optimal network-wide deployment of CAVDLs. The framework integrates three core components: an endogenous demand model capturing connected and autonomous vehicle (CAV)/human-driven vehicle (HDV) mode choice, a multi-class dynamic traffic assignment model that adjusts lane capacity based on CAV-HDV interactions, and an NSGA-III algorithm that minimizes total system travel time, total emissions, and construction costs. Results of a case study indicate the following: (i) sensitivity analysis confirms that user value of time is the most critical factor affecting CAV adoption; the model’s endogenous consideration of this variable ensures alignment between CAVDL layouts and actual demand; (ii) the proposed Pareto-optimal solution reduces total travel time and emissions by approximately 31% compared to a no-CAVDL scenario, while cutting construction costs by 23.5% against a single-objective optimization; (iii) CAVDLs alleviate congestion by reducing bottleneck duration and peak density by 36.4% and 16.3%, respectively. The developed framework provides a novel and practical decision-support tool that explicitly quantifies the trade-offs among traffic efficiency, environmental impact, and infrastructure cost for sustainable transportation planning. Full article
(This article belongs to the Section Sustainable Transportation)
Show Figures

Figure 1

30 pages, 7486 KB  
Article
Path Planning and Tracking for Overtaking Maneuvers of Autonomous Vehicles in Analogy to Supersonic Compressible Fluid Flow
by Kasra Amini and Sina Milani
Future Transp. 2025, 5(4), 194; https://doi.org/10.3390/futuretransp5040194 - 11 Dec 2025
Viewed by 275
Abstract
Given the undoubtable similarities between the dynamic behavior of the vehicular traffic flow in terms of its response to boundary condition alterations dictated in the form of obstacles, and the specific case of supersonic compressible fluid flow fields, the current manuscript addresses developing [...] Read more.
Given the undoubtable similarities between the dynamic behavior of the vehicular traffic flow in terms of its response to boundary condition alterations dictated in the form of obstacles, and the specific case of supersonic compressible fluid flow fields, the current manuscript addresses developing a target trajectory for the overtaking maneuver of autonomous vehicles. The path-planning is pursued in analogy to the governing principles of the supersonic compressible fluid flow fields, with the specific definition of a physically meaningful dimensionless group, namely the Traffic Mach number (MT), which grants the initial access point to the said set of fundamental equations. This practical application is a follow-up to the primarily established proof-of-concept level introduction and analysis of the more general case of collision avoidance for autonomously driven vehicles in accordance with the supersonic compressible fluid flow field, where the Traffic Mach number was first introduced. The proposed trajectory is then taken to the next block of the investigation, namely the tracking and control aspects of the maneuvering vehicle’s dynamics. The path tracking controller is designed based on sliding mode control technique and the algorithm is applied on a 7-DOF simulation model, used for validation and discussion of results. The proposed method is shown to be suitable for overtaking maneuvers of autonomous vehicles, whilst meeting the criteria for a relative velocity from the constant-velocity vehicle ahead of the road in the supersonic regime based on the defined Traffic Mach number. The results are then presented, first, in the scope of the aerodynamics field configuration and their verifications, followed by the vehicle dynamics remarks showing the practicality of the proposed method in terms of vehicle motion. It is observed that the distance corresponding to the delayed maneuver maximizes at highest velocities of the ego vehicle, consistent with the highest MT values, yet in all simulated cases, the control system of the vehicle model was capable of performing the maneuver based on the assigned trajectories through the present model. Full article
Show Figures

Figure 1

25 pages, 7707 KB  
Article
A Multi-Tier Vehicular Edge–Fog Framework for Real-Time Traffic Management in Smart Cities
by Syed Rizwan Hassan and Asif Mehmood
Mathematics 2025, 13(24), 3947; https://doi.org/10.3390/math13243947 - 11 Dec 2025
Viewed by 317
Abstract
The factors restricting the large-scale deployment of smart vehicular networks include application service placement/migration, mobility management, network congestion, and latency. Current vehicular networks are striving to optimize network performance through decentralized framework deployments. Specifically, the urban-level execution of current network deployments often fails [...] Read more.
The factors restricting the large-scale deployment of smart vehicular networks include application service placement/migration, mobility management, network congestion, and latency. Current vehicular networks are striving to optimize network performance through decentralized framework deployments. Specifically, the urban-level execution of current network deployments often fails to achieve the quality of service required by smart cities. To address these issues, we have proposed a vehicular edge–fog computing (VEFC)-enabled adaptive area-based traffic management (AABTM) architecture. Our design divides the urban area into multiple microzones for distributed control. These microzones are equipped with roadside units for real-time collection of vehicular information. We also propose (1) a vehicle mobility management (VMM) scheme to facilitate seamless service migration during vehicular movement; (2) a dynamic vehicular clustering (DVC) approach for the dynamic clustering of distributed network nodes to enhance service delivery; and (3) a dynamic microservice assignment (DMA) algorithm to ensure efficient resource-aware microservice placement/migration. We have evaluated the proposed schemes on different scales. The proposed schemes provide a significant improvement in vital network parameters. AABTM achieves reductions of 86.4% in latency, 53.3% in network consumption, 6.2% in energy usage, and 48.3% in execution cost, while DMA-clustering reduces network consumption by 59.2%, energy usage by 5%, and execution cost by 38.4% compared to traditional cloud-based urban traffic management frameworks. This research highlights the potential of utilizing distributed frameworks for real-time traffic management in next-generation smart vehicular networks. Full article
Show Figures

Figure 1

27 pages, 4018 KB  
Article
Developing a Simulation-Based Traffic Model for King Abdulaziz University Hospital, Saudi Arabia
by Mohaimin Azmain, Alok Tiwari, Jamal Abdulmohsen Eid Abdulaal and Abdulrhman M. Gbban
Sustainability 2025, 17(24), 10985; https://doi.org/10.3390/su172410985 - 8 Dec 2025
Viewed by 648
Abstract
Transportation management within university campuses presents distinct challenges due to highly fluctuating traffic patterns. King Abdulaziz University (KAU), which attracts over 350,000 trips daily, is experiencing substantial congestion-related issues. This study focuses specifically on King Abdulaziz University Hospital (KAUH), a major trip generator [...] Read more.
Transportation management within university campuses presents distinct challenges due to highly fluctuating traffic patterns. King Abdulaziz University (KAU), which attracts over 350,000 trips daily, is experiencing substantial congestion-related issues. This study focuses specifically on King Abdulaziz University Hospital (KAUH), a major trip generator on campus characterized by significant temporal variations in travel demand. The objective of this research is to develop a validated and operational traffic demand model using PTV VISUM 2025. A four-step framework was implemented, where campus gates were defined as trip production sources and 13 parking areas were designated as trip attractions. The morning peak-hour, identified as 7:15 AM to 8:15 AM, was selected for analysis due to the highest observed inflow of vehicles. Traffic surveys were conducted at seven bidirectional stations along key links to support Origin–Destination (O–D) matrix estimation and calibration. Both static and dynamic traffic assignment methods were applied to assess model performance. Model validity was evaluated using the R2 statistic, percentage deviations, and the GEH measure of fit. The results demonstrate that both the equilibrium static assignment and the dynamic stochastic assignment achieved strong levels of accuracy, with R2 = 0.98 and 86% of links exhibiting GEH values below 5, alongside average GEH scores of 3.2 and 2.7, respectively. This dual-model approach provides a robust analytical foundation for KAU, enabling long-term strategic planning through static assignment outputs and supporting short-term, peak-hour operational management through dynamic assignment results. Full article
Show Figures

Figure 1

34 pages, 3343 KB  
Article
A Simulation-Based Optimization Framework for Collaborative Scheduling of Autonomous and Human-Driven Trucks in Mixed-Traffic Container Terminal Environments
by Weili Wang, Fangying He, Jiahui Hu and Yu Wang
J. Mar. Sci. Eng. 2025, 13(12), 2299; https://doi.org/10.3390/jmse13122299 - 3 Dec 2025
Viewed by 447
Abstract
To address the efficiency and safety challenges arising from the mixed operation of autonomous and human-driven container trucks during the automation transformation of traditional container terminals, this study designed a simulation-based optimization framework for mixed vehicle scheduling. A spatio-temporal graph dynamic scheduling model [...] Read more.
To address the efficiency and safety challenges arising from the mixed operation of autonomous and human-driven container trucks during the automation transformation of traditional container terminals, this study designed a simulation-based optimization framework for mixed vehicle scheduling. A spatio-temporal graph dynamic scheduling model was constructed, incorporating node capacity, arc capacity, and path constraints, to establish a multi-objective optimization model aimed at minimizing the maximum completion time of internal trucks and the average waiting time of external trucks. An improved NSGA-II algorithm was employed to generate task assignment solutions, which were evaluated using discrete-event simulation, integrating a dynamic programming-based yard block selection strategy for external trucks and a congestion-aware path planning algorithm. Experimental results demonstrate that the dynamic priority strategy effectively adapts to different traffic flow scenarios: under low external truck flow, the autonomous internal truck priority strategy reduces task completion time by 18% to 25%, while under high flow, the external truck priority strategy significantly decreases the average waiting time. The optimal configuration ratio between internal and external trucks was identified as approximately 1:2. This research provides a theoretical basis and decision support for enhancing terminal operational efficiency and automation transformation. Full article
(This article belongs to the Section Coastal Engineering)
Show Figures

Figure 1

17 pages, 1054 KB  
Article
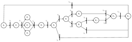
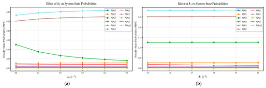
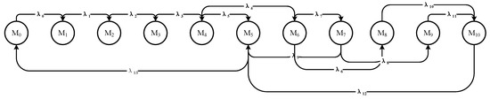
Process-Oriented Modeling and Performance Optimization of Intelligent Traffic Systems Using Stochastic Petri Nets
by Shumei Chai, Feng Ni, Jiang Liu, Rui Fu and Yubo Dou
Processes 2025, 13(11), 3685; https://doi.org/10.3390/pr13113685 - 14 Nov 2025
Viewed by 525
Abstract
To address the dynamic characteristics of data collection, risk assessment, and response execution in intelligent traffic warning systems, this study proposes a modeling and performance analysis framework based on Stochastic Petri Nets (SPN). An SPN model of the warning-information evolution process is constructed [...] Read more.
To address the dynamic characteristics of data collection, risk assessment, and response execution in intelligent traffic warning systems, this study proposes a modeling and performance analysis framework based on Stochastic Petri Nets (SPN). An SPN model of the warning-information evolution process is constructed and transformed into a continuous-time Markov chain (CTMC), for which the steady-state probability equations are derived to quantify system performance. The transition rates in the model are assigned according to national technical specifications and practical operational scenarios. A sensitivity analysis is conducted on several key rates (λ2, λ3, λ9, λ10, λ11, λ12) to examine their influence on the steady-state distribution. The simulation results indicate that increasing λ2 (data-cleaning rate) improves processing efficiency in the data-fusion stage, while insufficient values of λ10 or λ11 may lead to system congestion or delayed responses. To further evaluate system behavior, performance indicators such as the average number of tokens and transition utilization are introduced to assess resource occupancy and process activation frequency. These measures help identify potential bottlenecks and guide targeted optimization. The findings demonstrate that appropriate adjustment of critical transition rates can enhance operational efficiency and warning accuracy, providing theoretical support and practical insights for the modeling, optimization, and resource allocation of intelligent traffic systems. Full article
(This article belongs to the Section Process Control and Monitoring)
Show Figures

Figure 1

30 pages, 2960 KB  
Article
Dynamic Pricing for Wireless Charging Lane Management Based on Deep Reinforcement Learning
by Fan Liu, Zhen Tan and Hing Kai Chan
Sustainability 2025, 17(21), 9831; https://doi.org/10.3390/su17219831 - 4 Nov 2025
Viewed by 635
Abstract
We consider a dynamic pricing problem in a double-lane system consisting of one general purpose lane and one wireless charging lane (WCL). The electricity price is dynamically adjusted to affect the lane-choice behaviors of incoming electric vehicles (EVs), thereby regulating the traffic assignment [...] Read more.
We consider a dynamic pricing problem in a double-lane system consisting of one general purpose lane and one wireless charging lane (WCL). The electricity price is dynamically adjusted to affect the lane-choice behaviors of incoming electric vehicles (EVs), thereby regulating the traffic assignment between the two lanes with both traffic operation efficiency and charging service efficiency considered in the control objective. We first establish an agent-based dynamic double-lane traffic system model, whereby each EV acts as an agent with distinct behavioral and operational characteristics. Then, a deep Q-learning algorithm is proposed to derive the optimal pricing decisions. A regression tree (CART) algorithm is also designed for benchmarking. The simulation results reveal that the deep Q-learning algorithm demonstrates superior capability in optimizing dynamic pricing strategies compared to CART by more effectively leveraging system dynamics and future traffic demand information, and both outperform the static pricing strategy. This study serves as a pioneering work to explore dynamic pricing issues for WCLs. Full article
Show Figures

Figure 1

25 pages, 3395 KB  
Article
Moving Colorable Graphs: A Mobility-Aware Traffic Steering Framework for Congested Terrestrial–Sea–UAV Networks
by Anastasios Giannopoulos and Sotirios Spantideas
Appl. Sci. 2025, 15(21), 11560; https://doi.org/10.3390/app152111560 - 29 Oct 2025
Viewed by 462
Abstract
Efficient spectrum allocation and telecom traffic steering in densified heterogeneous maritime communication networks remains a critical challenge due to user mobility, dynamic interference, and congestion across terrestrial, aerial, and sea-based transmitters. This paper introduces the Moving Colorable Graph (MCG) framework, a dynamic graph-theoretical [...] Read more.
Efficient spectrum allocation and telecom traffic steering in densified heterogeneous maritime communication networks remains a critical challenge due to user mobility, dynamic interference, and congestion across terrestrial, aerial, and sea-based transmitters. This paper introduces the Moving Colorable Graph (MCG) framework, a dynamic graph-theoretical representation of interferences that extends conventional graph coloring to capture the spatiotemporal evolution of heterogeneous wireless links under varying channel and traffic conditions. The formulated spectrum allocation problem is inherently non-convex, as it involves discrete frequency assignments, mobility-induced dependencies, and interference coupling among multiple transmitters and users, thus requiring suboptimal yet computationally efficient solvers. The proposed approach models resource assignment as a time-dependent coloring problem, targeting to optimally support users’ diverse demands in dense port-area networks. Considering a realistic port-area network with coastal, sea and Unmanned Aerial Vehicle (UAV) radio coverage, we design and evaluate three MCG-based algorithm variants that dynamically update frequency assignments, highlighting their adaptability to fluctuating demands and heterogeneous coverage domains. Simulation results demonstrate that the selective reuse-enabled MCG scheme significantly decreases network outage and improves user demand satisfaction, compared with static, greedy and heuristic baselines. Overall, the MCG framework may act as a flexible scheme for mobility-aware and congestion-resilient resource management in densified and heterogeneous maritime networks. Full article
(This article belongs to the Section Computing and Artificial Intelligence)
Show Figures

Figure 1

29 pages, 2616 KB  
Article
Adaptive Real-Time Planning of Trailer Assignments in High-Throughput Cross-Docking Terminals
by Tamás Bányai and Sebastian Trojahn
Algorithms 2025, 18(11), 679; https://doi.org/10.3390/a18110679 - 24 Oct 2025
Viewed by 698
Abstract
Cross-docking has emerged as a critical logistics strategy to reduce lead times, lower inventory levels, and enhance supply chain responsiveness. However, in high-throughput terminals, efficient coordination of inbound and outbound trailers remains a complex task, especially under uncertain and dynamically changing conditions. We [...] Read more.
Cross-docking has emerged as a critical logistics strategy to reduce lead times, lower inventory levels, and enhance supply chain responsiveness. However, in high-throughput terminals, efficient coordination of inbound and outbound trailers remains a complex task, especially under uncertain and dynamically changing conditions. We propose a practical framework that helps logistics terminals assign trailers to docks in real time. It links live sensor data with a mathematical optimization model, so that the system can quickly adjust trailer plans when traffic or workload changes. Real-time data from IoT sensors, GPS, and operational records are preprocessed, enriched with predictive analytics, and used as input for a Mixed-Integer Linear Programming (MILP) model solved in rolling horizons. This enables the continuous reallocation of inbound and outbound trailers, ensuring synchronized flows and balanced dock utilization. Numerical experiments compare the adaptive approach with conventional first-come-first-served scheduling. Results show that average inbound dock utilization improves from 68% to 71%, while the share of periods with full utilization increases from 33.3% to 41.4%. Outbound utilization also rises from 57% to 62%. Moreover, trailer delays are significantly reduced, and the overall makespan shortens from 45 to 40 time slots. These findings confirm that adaptive, real-time trailer assignment can enhance efficiency, reliability, and resilience in cross-docking operations. The proposed framework thus bridges the gap between static optimization models and the operational requirements of modern, high-throughput logistics hubs. Full article
Show Figures

Figure 1

24 pages, 1450 KB  
Article
A New Wide-Area Backup Protection Algorithm Based on Confidence Weighting and Conflict Adaptation
by Zhen Liu, Wei Han, Baojiang Tian, Gaofeng Hao, Fengqing Cui, Xiaoyu Li, Shenglai Wang and Yikai Wang
Electronics 2025, 14(20), 4032; https://doi.org/10.3390/electronics14204032 - 14 Oct 2025
Viewed by 411
Abstract
To alleviate the communication burden of wide-area protection and enhance the fault tolerance of multi-source criteria, this paper introduces an improved wide-area backup protection method based on multi-source information fusion. Initially, the variation characteristics of bus sequence voltages after a fault are utilized [...] Read more.
To alleviate the communication burden of wide-area protection and enhance the fault tolerance of multi-source criteria, this paper introduces an improved wide-area backup protection method based on multi-source information fusion. Initially, the variation characteristics of bus sequence voltages after a fault are utilized to screen suspected fault lines, thereby reducing communication traffic. Subsequently, four basic probability assignment functions are constructed using the polarity of zero-sequence current charge, the polarity of phase-difference current charge, and the starting signals of Zone II/III distance protection from the local and adjacent lines. The confidence of each probability function is evaluated using normalized information entropy, while consistency is analyzed via Gaussian similarity, enabling dynamic allocation of fusion weights. Additionally, a conflict adaptation factor is designed to adjust the fusion strategy dynamically, improving fault tolerance in high-conflict scenarios and mitigating the impact of abnormal single criteria on decision results. Finally, the fused fault probability is used to identify the fault line. Simulation results based on the IEEE 39-bus model demonstrate that the proposed algorithm can accurately identify fault lines under different fault types and locations and remains robust under conditions such as information loss and protection maloperation or failure. Full article
(This article belongs to the Special Issue Advanced Online Monitoring and Fault Diagnosis of Power Equipment)
Show Figures

Figure 1

30 pages, 3650 KB  
Article
Navigational Risk Evaluation of One-Way Channels: Modeling and Application to the Suez Canal
by Jiaxuan Yang, Wenzhen Xie, Hongbin Xie, Yao Sun and Xinjian Wang
J. Mar. Sci. Eng. 2025, 13(10), 1864; https://doi.org/10.3390/jmse13101864 - 26 Sep 2025
Cited by 1 | Viewed by 937
Abstract
Navigating ships through one-way channels introduces significant uncertainties due to their unique navigational constraints, yet a comprehensive and tailored risk evaluation system for such channels remains notably underdeveloped. Recognizing its critical role as a global maritime artery, this study selects the Suez Canal [...] Read more.
Navigating ships through one-way channels introduces significant uncertainties due to their unique navigational constraints, yet a comprehensive and tailored risk evaluation system for such channels remains notably underdeveloped. Recognizing its critical role as a global maritime artery, this study selects the Suez Canal as the case study to address this gap. The study begins by analyzing the navigational characteristics of one-way channels, systematically identifying key risk factors such as channel width, traffic density, and environmental conditions. Building on this, a novel risk evaluation model is developed, integrating the entropy weight method to assign objective weights, fuzzy logic to handle uncertainty, and Evidential Reasoning (ER) to aggregate multi-criteria assessments. The Suez Canal is then utilized as a case study to demonstrate the model’s effectiveness and practical applicability. The results reveal that Channel C exhibits the highest risk utility value, consistent with its history of the most grounding incidents, including the notable “Ever Given” event during 2021–2023. These findings not only provide valuable insights for enhancing Suez Canal management strategies but also contribute to filling the existing void in risk evaluation frameworks for one-way channels, paving the way for future research into dynamic risk assessment methodologies. Full article
(This article belongs to the Section Ocean Engineering)
Show Figures

Figure 1

33 pages, 6829 KB  
Article
Optimizing Emergency Response Efficiency in Urban Road Networks: A Data-Driven Approach for Fire Station Placement and Resource Allocation
by Farhad Mohammadzadeh, Amirhossein Ahmadi, Reza Yeganeh Khaksar, Mohammad Gheibi, Andres Annuk and Reza Moezzi
Future Transp. 2025, 5(3), 123; https://doi.org/10.3390/futuretransp5030123 - 9 Sep 2025
Cited by 1 | Viewed by 2032
Abstract
As road transport continues to evolve with advancements in automation and intelligent traffic management, optimizing emergency response operations remains a critical challenge in urban mobility. This study presents an innovative data-driven framework for optimizing fire station placement in Birjand, Iran, integrating transportation efficiency [...] Read more.
As road transport continues to evolve with advancements in automation and intelligent traffic management, optimizing emergency response operations remains a critical challenge in urban mobility. This study presents an innovative data-driven framework for optimizing fire station placement in Birjand, Iran, integrating transportation efficiency with emergency service accessibility. A binary integer programming model was developed to minimize response time and transportation costs while incorporating real-world constraints. Using dynamic simulations in MATLAB 2019b, the study analyzed existing fire station coverage across seven urban regions, assessing travel efficiency based on an average vehicle speed of 52.5 km/h and a 5 min response threshold. Key findings highlight disparities in emergency service accessibility, with high-demand areas such as R4 and R5 lacking sufficient coverage, while low-demand regions like R6 remain underserved. To address this, a genetic algorithm (GA) with 100 individuals over 20 generations was implemented. Optimizing total penalized response time, calculated as the objective value of GA, is 25.89 min. This value represents the sum of penalized response times across all station-area assignments. A cost–benefit analysis revealed Station 2 as the most efficient investment, achieving a net benefit of 3163 million IRR at a 1% discount rate, outperforming Station 1 (2831 million IRR). Sensitivity analysis confirmed Station 2’s financial advantage across discount rates up to 10%. This research contributes to emerging transportation challenges by bridging emergency response optimization with urban mobility strategies. The proposed decision support system (DSS) integrates adaptive planning, data-driven analytics, and infrastructure investment to enhance resilience and response efficiency in dynamic urban environments. Full article
(This article belongs to the Special Issue Emerging Issues in Transport and Mobility)
Show Figures

Figure 1

23 pages, 2216 KB  
Article
An Adaptive Application-Aware Dynamic Load Balancing Framework for Open-Source SD-WAN
by Teodor Petrović, Aleksa Vidaković, Ilija Doknić, Mladen Veinović and Živko Bojović
Sensors 2025, 25(17), 5516; https://doi.org/10.3390/s25175516 - 4 Sep 2025
Cited by 1 | Viewed by 1772
Abstract
Traditional Software-Defined Wide Area Network (SD-WAN) solutions lack adaptive load-balancing mechanisms, leading to inefficient traffic distribution, increased latency, and performance degradation. This paper presents an Application-Aware Dynamic Load Balancing (AADLB) framework designed for open-source SD-WAN environments. The proposed solution enables dynamic traffic routing [...] Read more.
Traditional Software-Defined Wide Area Network (SD-WAN) solutions lack adaptive load-balancing mechanisms, leading to inefficient traffic distribution, increased latency, and performance degradation. This paper presents an Application-Aware Dynamic Load Balancing (AADLB) framework designed for open-source SD-WAN environments. The proposed solution enables dynamic traffic routing based on real-time network performance indicators, including CPU utilization, memory usage, connection delay, and packet loss, while considering application-specific requirements. Unlike conventional load-balancing methods, such as Weighted Round Robin (WRR), Weighted Fair Queuing (WFQ), Priority Queuing (PQ), and Deficit Round Robin (DRR), AADLB continuously updates traffic weights based on application requirements and network conditions, ensuring optimal resource allocation and improved Quality of Service (QoS). The AADLB framework leverages a heuristic-based dynamic weight assignment algorithm to redistribute traffic in a multi-cloud environment, mitigating congestion and enhancing system responsiveness. Experimental results demonstrate that compared to these traditional algorithms, the proposed AADLB framework improved CPU utilization by an average of 8.40%, enhanced CPU stability by 76.66%, increased RAM utilization stability by 6.97%, slightly reduced average latency by 2.58%, and significantly enhanced latency consistency by 16.74%. These improvements enhance SD-WAN scalability, optimize bandwidth usage, and reduce operational costs. Our findings highlight the potential of application-aware dynamic load balancing in SD-WAN, offering a cost-effective and scalable alternative to proprietary solutions. Full article
(This article belongs to the Section Sensor Networks)
Show Figures

Figure 1

Back to TopTop