Sign in to use this feature.

Years

Between: -

Subjects

remove_circle_outline
remove_circle_outline
remove_circle_outline
remove_circle_outline
remove_circle_outline
remove_circle_outline
remove_circle_outline
remove_circle_outline
remove_circle_outline

Journals

remove_circle_outline
remove_circle_outline
remove_circle_outline
remove_circle_outline
remove_circle_outline

Article Types

Countries / Regions

remove_circle_outline
remove_circle_outline
remove_circle_outline
remove_circle_outline
remove_circle_outline

Search Results (485)

Search Parameters:
Keywords = dynamic moisture measurement

Order results
Result details
Results per page
Select all
Export citation of selected articles as:
18 pages, 9127 KB  
Article
Frost Heave Characteristics of Lined Canals with Sand-Gravel Replacement in Seasonally Frozen Regions
by Xinjian Fan, Fei Ye, Li Qin, Yupei Yan, Lirong Wang and Jiafang Wei
Sustainability 2025, 17(21), 9432; https://doi.org/10.3390/su17219432 - 23 Oct 2025
Viewed by 207
Abstract
To address the frost heave damage issue of the trapezoidal lined canals in seasonally frozen regions and further ensure the stable operation of canals while reducing operation and maintenance costs, this study conducted a gradient sand-gravel cushion replacement experiment on the main canal [...] Read more.
To address the frost heave damage issue of the trapezoidal lined canals in seasonally frozen regions and further ensure the stable operation of canals while reducing operation and maintenance costs, this study conducted a gradient sand-gravel cushion replacement experiment on the main canal of the Jingdian Irrigation District, China. For the experiment, east–west and north–south-oriented canal sections were selected, with frost heave meters and soil temperature-humidity meters installed. Dynamic changes in canal ground temperature, moisture content, and frost heave were monitored over two full freeze–thaw cycles. The results indicate the following: (1) The variation of ground temperature lags behind air temperature by 2–3 days; the ground temperature change on the canal slope is more pronounced than that at the canal bottom; and for the east–west-oriented canal, the ground temperature on the sunny slope is higher than that on the shady slope, while the ground temperatures on the two slopes of the north–south-oriented canal are similar. (2) The moisture content of the east–west-oriented canal changes drastically during the freezing period, showing a decreasing trend in the early freezing stage and a significant increasing trend in the thawing stage, whereas the moisture content of the north–south-oriented canal fluctuates slightly. (3) Canals with different orientations exhibit spatial differences in frost heave due to variations in solar radiation distribution. (4) The frost heave is negatively correlated with ground temperature, and its variation lags behind ground temperature by 1–2 days. (5) Increasing the replacement thickness of sand-gravel can significantly reduce the frost heave, with a reduction rate exceeding 50%. Under the action of freeze–thaw cycles, canals with gradient sand-gravel exhibit remarkable anti-frost effects. Thus, for trapezoidal lined canals in seasonally frozen regions, a gradient replacement scheme is recommended: For east–west canals, the replacement thickness is 40–100 cm for shady slopes and 30–70 cm for sunny slopes; for north–south canals, the replacement thickness is 30–70 cm for both slopes. In conclusion, gradient sand-gravel replacement is an effective anti-frost heave measure, providing a theoretical basis for the design of sand-gravel replacement for lined canals in seasonally frozen regions. Full article
(This article belongs to the Section Green Building)
Show Figures

Figure 1

23 pages, 72366 KB  
Article
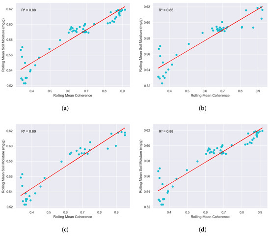
InSAR Coherence Linked to Soil Moisture, Water Level and Precipitation on a Blanket Peatland in Scotland
by Rachel Z. Walker, Doreen S. Boyd, Roxane Andersen and David J. Large
Remote Sens. 2025, 17(21), 3507; https://doi.org/10.3390/rs17213507 - 22 Oct 2025
Viewed by 225
Abstract
Hydrological changes in peatland are directly related to peat condition. Restoration projects typically aim to raise the water table to enhance peat development, support ecology and increase carbon storage. Remote monitoring of peatland hydrology is challenging but advantageous for assessing condition and restoration [...] Read more.
Hydrological changes in peatland are directly related to peat condition. Restoration projects typically aim to raise the water table to enhance peat development, support ecology and increase carbon storage. Remote monitoring of peatland hydrology is challenging but advantageous for assessing condition and restoration effectiveness. This study explores how temporal Sentinel-1-derived InSAR coherence relates to ground-based measurements of soil moisture, water level and local precipitation at two sites, near-natural (Munsary) and degraded (Knockfin Heights), in the Flow Country, Scotland, alongside regional Wick weather station precipitation data (2015–2024). Stronger seasonal linear relationships were observed between soil moisture and InSAR coherence in spring/summer (R2 reaching 0.83 at Munsary subsite C, p < 0.001), with in-phase cross correlation throughout the year. In contrast, the relationship between water level and InSAR coherence was more complex with an out-of-phase relationship for much of the year and a weaker linear correlation. These relationships varied with peatland condition, strongest at the more intact bog (Munsary). InSAR coherence and precipitation were in-phase, but not linearly correlated, and land use/cover had no significant effect. Outcomes suggest that InSAR coherence could, when combined with other data, assist in mapping soil moisture/water level dynamics in blanket peatlands, and identify the timing of precipitation events in areas with non-frontal rainfall. Full article
(This article belongs to the Special Issue Remote Sensing for the Study of the Changes in Wetlands)
Show Figures

Figure 1

23 pages, 4351 KB  
Article
Upscaling of Soil Moisture over Highly Heterogeneous Surfaces and Validation of SMAP Product
by Jiakai Qin, Zhongli Zhu, Qingxia Wu, Julong Ma, Shaomin Liu, Linna Chai and Ziwei Xu
Land 2025, 14(10), 2098; https://doi.org/10.3390/land14102098 - 21 Oct 2025
Viewed by 237
Abstract
Soil moisture (SM) is a critical component of the global water cycle, profoundly influencing carbon fluxes and energy exchanges between the land surface and the atmosphere. NASA’s Soil Moisture Active/Passive (SMAP) mission provides soil moisture products at the global scale; however, validation of [...] Read more.
Soil moisture (SM) is a critical component of the global water cycle, profoundly influencing carbon fluxes and energy exchanges between the land surface and the atmosphere. NASA’s Soil Moisture Active/Passive (SMAP) mission provides soil moisture products at the global scale; however, validation of SMAP faces significant challenges due to scale mismatches between in situ measurements and satellite pixels, particularly in highly heterogeneous regions such as the Qinghai–Tibet Plateau. This study leverages high-spatiotemporal-resolution Harmonized Landsat–Sentinel-2 (HLS v2.0) data and the QLB-NET observation network, employing multiple machine learning models to generate pixel-scale ground-truth soil moisture from in situ measurements. The results indicate that XGBoost performs best (R = 0.941, RMSE = 0.047 m3/m3), and SHAP analysis identifies elevation and DOY as the primary drivers of the spatial patterns and dynamics of soil moisture. The XGBoost-upscaled soil moisture was employed as a validation benchmark to assess the accuracy of the SMAP 9 km and 36 km products, with the following key findings: (1) the proposed upscaling method effectively bridges the scale gap, yielding a correlation of 0.858 between the 36 km SMAP product and the pixel-scale soil moisture reference derived from XGBoost, surpassing the 0.818 correlation obtained using the traditional in situ averaging approach; (2) descending-orbit data generally outperform ascending-orbit data. In the 9 km SMAP product, 15 descending-orbit grids meet the scientific standard, compared to 10 ascending-orbit grids. For the 36 km product, only descending orbits satisfy the scientific standard. Full article
Show Figures

Figure 1

21 pages, 3274 KB  
Article
Enhanced SWAP Model for Simulating Evapotranspiration and Cotton Growth Under Mulched Drip Irrigation in the Manas River Basin
by Shuo Zhang, Tian Gao, Rui Sun, Muhammad Arsalan Farid, Chunxia Wang, Ping Gong, Yongli Gao, Xinlin He, Fadong Li, Yi Li, Lianqing Xue and Guang Yang
Agriculture 2025, 15(20), 2178; https://doi.org/10.3390/agriculture15202178 - 21 Oct 2025
Viewed by 191
Abstract
Model-based simulation of farmland evapotranspiration and crop growth facilitates precise monitoring of crop and farmland dynamics with high efficiency, real-time responsiveness, and continuity. However, there are still significant limitations in using crop models to simulate the dynamic process of evapotranspiration and cotton growth [...] Read more.
Model-based simulation of farmland evapotranspiration and crop growth facilitates precise monitoring of crop and farmland dynamics with high efficiency, real-time responsiveness, and continuity. However, there are still significant limitations in using crop models to simulate the dynamic process of evapotranspiration and cotton growth in mulched drip-irrigated cotton fields under different irrigation gradients. The SWAP crop growth model effectively simulates crop growth. However, the original SWAP model lacks a dedicated module to consider the impact of mulching on cotton field evapotranspiration and cotton dry matter mass. Therefore, in this study, the source codes of the soil moisture, evapotranspiration, and crop growth modules of the SWAP model were improved. The evapotranspiration and cotton growth data of the mulched drip-irrigated cotton fields under three irrigation treatments (W1 = 3360 m3·hm−2, W2 = 4200 m3·hm−2, and W3 = 5040 m3·hm−2) in 2023 and 2024 at the Xinjiang Modern Water-saving Irrigation Key Experimental Station of the Corps were used to verify the simulation accuracy of the improved SWAP model. Research shows the following: (1) The average relative errors of the simulated evapotranspiration, leaf area index, and dry matter weight of cotton in the improved SWAP crop growth model are all <20% compared with the measured values. The root means square errors of the three treatments (W1, W2, and W3) ranged from 0.85 to 1.38 mm, from 0.03 to 0.18 kg·hm−2, and 55.01 to 69 kg·hm−2, respectively. The accuracy of the improved model in simulating evapotranspiration and cotton growth in the mulched cotton field increased by 37.49% and 68.25%, respectively. (2) The evapotranspiration rate of cotton fields is positively correlated with the irrigation water volume and is most influenced by meteorological factors such as temperature and solar radiation. During the flowering stage, evapotranspiration accounted for 62.83%, 62.09%, 61.21%, 26.46%, 40.01%, and 38.8% of the total evapotranspiration. Therefore, the improved SWAP model can effectively simulate the evaporation and transpiration of the mulched drip-irrigated cotton fields in the Manas River Basin. This study provides a scientific basis for the digital simulation of mulched farmland in the arid regions of Northwest China. Full article
Show Figures

Figure 1

18 pages, 9017 KB  
Article
Research on the Influence of Groundwater Level Dynamic Rising Process on Buildings Based on Numerical Simulation
by Hongzhao Li, Mingxu Gu, Ming Zhang, Baiheng Ma, Xiaolong Zhu, Liangyu Gu, Jiaoyang Tai and Lili Chen
Water 2025, 17(20), 3014; https://doi.org/10.3390/w17203014 - 20 Oct 2025
Viewed by 180
Abstract
In the North China region, measures such as restricting groundwater extraction and promoting cross-basin water diversion have effectively alleviated the problem of excessive groundwater exploitation. Nevertheless, the continuous rise in groundwater levels may alter the mechanical properties of foundation soil layers, potentially leading [...] Read more.
In the North China region, measures such as restricting groundwater extraction and promoting cross-basin water diversion have effectively alleviated the problem of excessive groundwater exploitation. Nevertheless, the continuous rise in groundwater levels may alter the mechanical properties of foundation soil layers, potentially leading to geotechnical hazards such as foundation instability and the uneven settlement of structures. This study employs FLAC3D software to simulate the displacement, deformation, and stress–strain behavior of buildings and their surrounding strata during the dynamic recovery of groundwater levels, aiming to assess the impact of this process on structural integrity. Research findings indicate that the maximum building settlement within the study area reaches 54.8 mm, with a maximum inter-column differential settlement of 8.9 mm and a peak settlement rate of 0.16 mm/day. In regions where differential settlement aligns with the interface between the floor slab and walls, tensile stress concentrations are observed. The maximum tensile stress in these zones increases progressively from 1.8 MPa to 2.19 MPa, suggesting a potential risk of tensile cracking in the concrete structures. The influence of groundwater level recovery on buildings exhibits distinct phase characteristics, and the response mechanisms of different lithological strata vary significantly. Therefore, particular attention should be given to the physical properties and mechanical behavior of strata that are highly sensitive to variations in moisture content. These findings hold significant reference value for the sustainable development and utilization of underground space in the North China region. Full article
(This article belongs to the Special Issue Soil and Groundwater Quality and Resources Assessment, 2nd Edition)
Show Figures

Figure 1

32 pages, 9776 KB  
Article
Application of Comprehensive Geophysical Methods in the Exploration of Fire Area No. 1 in the Miaoergou Coal Field, Xinjiang
by Xinzhong Zhan, Haiyan Yang, Bowen Zhang, Jinlong Liu, Yingying Zhang and Fuhao Li
Appl. Sci. 2025, 15(20), 11164; https://doi.org/10.3390/app152011164 - 17 Oct 2025
Viewed by 326
Abstract
Coal spontaneous combustion in arid regions poses severe threats to both ecological security and resource sustainability. Focusing on the detection challenges in Fire Zone No. 1 of the Miaoergou Coalfield, Xinjiang, this study proposes an Integrated Geophysical Collaborative Detection Framework that combines high-precision [...] Read more.
Coal spontaneous combustion in arid regions poses severe threats to both ecological security and resource sustainability. Focusing on the detection challenges in Fire Zone No. 1 of the Miaoergou Coalfield, Xinjiang, this study proposes an Integrated Geophysical Collaborative Detection Framework that combines high-precision magnetic surveys, spontaneous potential (SP) measurements, and transient electromagnetic (TEM) methods. This innovative framework effectively overcomes the limitations of traditional single-method detection approaches, enabling the precise delineation of fire zone boundaries and the accurate characterization of spatial dynamics of coal fires. The key findings of the study are as follows: (1) High-magnetic anomalies (with a maximum ΔT of 1886.3 nT) exhibit a strong correlation with magnetite-enriched burnt rocks and dense fracture networks (density > 15 fractures/m), with a correlation coefficient (R2) of 0.89; (2) Negative SP anomalies (with a minimum SP of −38.17 mV) can effectively reflect redox interfaces and water-saturated zones (moisture content > 18%), forming a “positive–negative–positive” annular spatial structure where the boundary gradient exceeds 3 mV/m; (3) TEM measurements identify high-resistivity anomalies (resistivity ρ = 260–320 Ω·m), which correspond to non-waterlogged goaf collapse areas. Spatial integration analysis of the three sets of geophysical data shows an anomaly overlap rate of over 85%, and this result is further validated by borehole data with an error margin of less than 10%. This study demonstrates that multi-parameter geophysical coupling can effectively characterize the thermo-hydro-chemical processes associated with coal fires, thereby providing critical technical support for the accurate identification of fire boundaries and the implementation of disaster mitigation measures in arid regions. Full article
Show Figures

Figure 1

24 pages, 10157 KB  
Article
Effect of Low- and High-Si/Al Synthetic Zeolites on the Performance of Renovation Plasters
by Joanna Styczeń and Jacek Majewski
Materials 2025, 18(20), 4710; https://doi.org/10.3390/ma18204710 - 14 Oct 2025
Viewed by 313
Abstract
The appropriate selection of renovation plaster properties is essential for ensuring the durability and effectiveness of conservation works. This study focused on the design and characterization of cement-based renovation mortars modified with synthetic zeolites with different Si/Al ratios. It was assumed that high-silica [...] Read more.
The appropriate selection of renovation plaster properties is essential for ensuring the durability and effectiveness of conservation works. This study focused on the design and characterization of cement-based renovation mortars modified with synthetic zeolites with different Si/Al ratios. It was assumed that high-silica zeolites would provide more favorable mechanical and hygric performance than low-silica types. Owing to their porous structure and pozzolanic reactivity, zeolites proved to be effective additives, enhancing both the microstructure and functionality of the mortars. The modified mixtures exhibited increased total porosity, higher capillary absorption, and improved moisture transport compared with the reference mortar based on CEM I 52.5R. Dynamic vapor sorption tests confirmed that the zeolite-containing mortars achieved Moisture Buffer Values (MBV) above 2.0 g/m2, which corresponds to the “excellent” moisture buffering class. Electrical resistivity measurements further demonstrated the relationship between denser microstructure and enhanced durability. At the frequency of 10 kHz, the electrical resistivity of the reference mortar reached 43,858 Ω·m, while mortars with 15% ZSM-5 and 15% Na-A achieved 62,110 Ω·m and 21,737 Ω·m. These results show that the addition of high-silica zeolite promotes the formation of a denser and more insulating matrix, highlighting the potential of this method for non-destructive quality assessment. The best overall performance was observed in mortars containing the high-silica zeolite ZSM-5. A 35% replacement of cement with ZSM-5 increased compressive strength by 10.5% compared with the reference mortar R (4.3 MPa). Frost resistance tests showed minimal mass loss (0.03% at 15% and 1.79% at 35% replacement), and ZSM-5 mortars also maintained integrity under salt crystallization. These improvements were attributed to the reaction of reactive SiO2 and Al2O3 from the zeolites with Ca(OH)2, leading to the formation of additional C-S-H. A higher Si/Al ratio promoted a denser, fibrous C-S-H morphology, as confirmed by SEM, which explains the improved strength and durability of mortars modified with ZSM-5. Full article
Show Figures

Graphical abstract

23 pages, 11972 KB  
Article
The Variability in the Thermophysical Properties of Soils for Sustainability of the Industrial-Affected Zone of the Siberian Arctic
by Tatiana V. Ponomareva, Kirill Yu. Litvintsev, Konstantin A. Finnikov, Nikita D. Yakimov, Georgii E. Ponomarev and Evgenii I. Ponomarev
Sustainability 2025, 17(19), 8892; https://doi.org/10.3390/su17198892 - 6 Oct 2025
Viewed by 560
Abstract
The sustainability of Arctic ecosystems that are extremely vulnerable is contingent upon the state of cryosoils. Understanding the principles of ecosystem stability in permafrost conditions, particularly under external natural or human-induced influences, necessitates an examination of the thermal and moisture regimes of the [...] Read more.
The sustainability of Arctic ecosystems that are extremely vulnerable is contingent upon the state of cryosoils. Understanding the principles of ecosystem stability in permafrost conditions, particularly under external natural or human-induced influences, necessitates an examination of the thermal and moisture regimes of the seasonally thawed soil layer. The study concentrated on the variability in the soil’s thermophysical properties in Central Siberia’s permafrost zone (the northern part of Krasnoyarsk Region, Taimyr, Russia). In the industrially affected area of interest, we evaluated and contrasted the differences in the thermophysical properties of soils between two opposing types of landscapes. On the one hand, these are soils that are characteristic of the natural landscape of flat shrub tundra, with a well-developed moss–lichen cover. An alternative is the soils in the landscape, which have exhibited significant degradation in the vegetation cover due to both natural and human-induced factors. The heat-insulating properties of background areas are controlled by the layer of moss and shrubs, while its disturbance determines the excessive heating of the soil at depth. In comparison to the background soil characteristics, degradation of on-ground vegetation causes the active layer depth of the soils to double and the temperature gradient to decrease. With respect to depth, we examine the changes in soil temperature and heat flow dynamics (q, W/m2). The ranges of thermal conductivity (λ, W/(m∙K)) were assessed using field-measured temperature profiles and heat flux values in the soil layers. The background soil was discovered to have lower thermal conductivity values, which are typical of organic matter, in comparison to the soil of the transformed landscape. Thermal diffusivity coefficients for soil layers were calculated using long-term temperature monitoring data. It is shown that it is possible to use an adjusted model of the thermal conductivity coefficient to reconstruct the dynamics of moisture content from temperature dynamics data. A satisfactory agreement is shown when the estimated (Wcalc, %) and observed (Wexp, %) moisture content values in the soil layer are compared. The findings will be employed to regulate the effects on landscapes in order to implement sustainable nature management in the region, thereby preventing the significant degradation of ecosystems and the concomitant risks to human well-being. Full article
(This article belongs to the Special Issue Land Use Strategies for Sustainable Development)
Show Figures

Figure 1

17 pages, 11456 KB  
Article
Analysis of Sprinkler Irrigation Uniformity via Multispectral Data from RPAs
by Lucas Santos Santana, Lucas Gabryel Maciel dos Santos, Josiane Maria da Silva, Luiz Alves Caldeira, Marcos David dos Santos Lopes, Hermes Soares da Rocha, Paulo Sérgio Cardoso Batista and Gabriel Araujo e Silva Ferraz
Eng 2025, 6(10), 268; https://doi.org/10.3390/eng6100268 - 6 Oct 2025
Viewed by 421
Abstract
Efficient irrigation management is crucial for optimizing crop development while minimizing resource use. This study aimed to assess the spatial variability of water distribution under conventional sprinkler irrigation, alongside soil moisture and infiltration dynamics, using multispectral sensors onboard Remotely Piloted Aircraft (RPAs). The [...] Read more.
Efficient irrigation management is crucial for optimizing crop development while minimizing resource use. This study aimed to assess the spatial variability of water distribution under conventional sprinkler irrigation, alongside soil moisture and infiltration dynamics, using multispectral sensors onboard Remotely Piloted Aircraft (RPAs). The experiment was conducted over a 466.2 m2 area equipped with 65 georeferenced collectors spaced at 3 m intervals. Soil data were collected through volumetric rings (0–5 cm), auger sampling (30–40 cm), and 65 measurements of penetration resistance down to 60 cm. Four RPA flights were performed at 20 min intervals post-irrigation to generate NDVI and NDWI indices. NDWI values decreased from 0.03 to −0.02, indicating surface moisture reduction due to infiltration and evaporation, corroborated by gravimetric moisture decline from 0.194 g/g to 0.191 g/g. Penetration resistance exceeded 2400 kPa at 30 cm depth, while bulk density ranged from 1.30 to 1.50 g/cm3. Geostatistical methods, including Inverse Distance Weighting and Ordinary Kriging, revealed non-uniform water distribution and subsurface compaction zones. The integration of spectral indices within situ measurements proved effective in characterizing irrigation system performance, offering a robust approach for calibration and precision water management. Full article
(This article belongs to the Special Issue Interdisciplinary Insights in Engineering Research)
Show Figures

Figure 1

24 pages, 4205 KB  
Article
Mechanism and Data-Driven Grain Condition Information Perception Method for Comprehensive Grain Storage Monitoring
by Yunshandan Wu, Ji Zhang, Xinze Li, Yaqiu Zhang, Wenfu Wu and Yan Xu
Foods 2025, 14(19), 3426; https://doi.org/10.3390/foods14193426 - 5 Oct 2025
Viewed by 419
Abstract
Conventional grain monitoring systems often rely on isolated data points (e.g., point-based temperature measurements), limiting holistic condition assessment. This study proposes a novel Mechanism and Data Driven (MDD) framework that integrates physical mechanisms with real-time sensor data. The framework quantitatively analyzes solar radiation [...] Read more.
Conventional grain monitoring systems often rely on isolated data points (e.g., point-based temperature measurements), limiting holistic condition assessment. This study proposes a novel Mechanism and Data Driven (MDD) framework that integrates physical mechanisms with real-time sensor data. The framework quantitatively analyzes solar radiation and external air temperature effects on silo boundaries and introduces a novel interpolation-optimized model parameter initialization technique to enable comprehensive grain condition perception. Rigorous multidimensional validation confirms the method’s accuracy: The novel initialization technique achieved high precision, demonstrating only 1.89% error in Day-2 low-temperature zone predictions (27.02 m2 measured vs. 26.52 m2 simulated). Temperature fields were accurately reconstructed (≤0.5 °C deviation in YOZ planes), capturing spatiotemporal dynamics with ≤0.45 m2 maximum low-temperature zone deviation. Cloud map comparisons showed superior simulation fidelity (SSIM > 0.97). Further analysis revealed a 22.97% reduction in total low-temperature zone area (XOZ plane), with Zone 1 (near south exterior wall) declining 27.64%, Zone 2 (center) 25.30%, and Zone 3 20.35%. For dynamic evolution patterns, high-temperature zones exhibit low moisture (<14%), while low-temperature zones retain elevated moisture (>14%). A strong positive correlation between temperature and relative humidity fields; temperature homogenization drives humidity uniformity. The framework enables holistic monitoring, providing actionable insights for smart ventilation control, condensation risk warnings, and mold prevention. It establishes a robust foundation for intelligent grain storage management, ultimately reducing post-harvest losses. Full article
Show Figures

Figure 1

17 pages, 1731 KB  
Article
Hygrothermal Performance of Thermal Plaster Used as Interior Insulation: Identification of the Most Impactful Design Conditions
by Eleonora Leonardi, Marco Larcher, Alexandra Troi, Anna Stefani, Gianni Nerobutto and Daniel Herrera-Avellanosa
Buildings 2025, 15(19), 3559; https://doi.org/10.3390/buildings15193559 - 2 Oct 2025
Viewed by 325
Abstract
Internal insulation plasters enable historic building renovation without altering the external appearance of the wall. However, the use of internal insulation must be verified case-by-case through dynamic hygrothermal simulation, and the influence of input parameters on the results is not always clear. This [...] Read more.
Internal insulation plasters enable historic building renovation without altering the external appearance of the wall. However, the use of internal insulation must be verified case-by-case through dynamic hygrothermal simulation, and the influence of input parameters on the results is not always clear. This paper aims to (i) characterize a new lime-based insulating plaster with expanded recycled glass and aerogel through laboratory measurements, (ii) assess the damage criteria of the plaster under different boundary conditions through dynamic simulations, and (iii) identify the most impactful design conditions on the relative humidity behind insulation. This innovative plaster combines highly insulating properties (thermal conductivity of 0.0463 W/mK) with good capillary activity while also integrating recycled components without compromising performance. The relative humidity behind insulation remains below 95% in most simulated scenarios, with cases above this threshold found only in cold climates, particularly under high internal moisture loads. The parametric study shows that (i) in the analyzed stones, the thermal conductivity variation of the existing wall has a greater effect on the relative humidity behind insulation than the variation of the vapor resistance factor, (ii) the effect of insulation thickness on the relative humidity behind insulation depends on the difference in thermal resistance of the insulation and existing masonry layers, and (iii) internal moisture load and external climate directly impact the relative humidity behind insulation. Full article
(This article belongs to the Section Building Materials, and Repair & Renovation)
Show Figures

Figure 1

20 pages, 8772 KB  
Article
An Assessment of the Applicability of ERA5 Reanalysis Boundary Layer Data Against Remote Sensing Observations in Mountainous Central China
by Jinyu Wang, Zhe Li, Yun Liang and Jiaying Ke
Atmosphere 2025, 16(10), 1152; https://doi.org/10.3390/atmos16101152 - 1 Oct 2025
Viewed by 479
Abstract
The precision of ERA5 reanalysis datasets and their applicability in the mountainous regions of central China are essential for weather forecasting and climate change research in the transitional zone between northern and southern China. This study employs three months of continuous measurements collected [...] Read more.
The precision of ERA5 reanalysis datasets and their applicability in the mountainous regions of central China are essential for weather forecasting and climate change research in the transitional zone between northern and southern China. This study employs three months of continuous measurements collected from a high-precision remote sensing platform located in a representative mountainous valley (Xinyang city) in central China, spanning December 2024 to February 2025. Our findings indicate that both horizontal and vertical wind speeds from the ERA5 dataset exhibit diminishing deviations as altitude increases. Significant biases are observed below 500 m, with horizontal mean wind speed deviations ranging from −4 to −3 m/s and vertical mean wind speed deviations falling between 0.1 and 0.2 m/s. Conversely, minimal biases are noted near the top of the boundary layer. Both ERA5 and observations reveal a dominance of northeasterly and southwesterly winds at near-surface levels, which aligns with the valley orientation. This underscores the substantial impact of heterogeneous mountainous terrain on the low-level dynamic field. At an altitude of 1000 m, both datasets present similar frequency patterns, with peak frequencies of approximately 15%; however, notable discrepancies in peak wind directions are evident (north–northeast for observations and north–northwest for ERA5). In contrast to dynamic variables, ERA5 temperature deviations are centered around 0 K within the lower layers (0–500 m) but show a slight increase, varying from around 0 K to 6.8 K, indicating an upward trend in deviation with altitude. Similarly, relative humidity (RH) demonstrates an increasing bias with altitude, although its representation of moisture variability remains insufficient. During a typical cold event, substantial deviations in multiple ERA5 variables highlight the needs for further improvements. The integration of machine learning techniques and mathematical correction algorithms is strongly recommended as a means to enhance the accuracy of ERA5 data under such extreme conditions. These findings contribute to a deeper understanding of the use of ERA5 datasets in the mountainous areas of central China and offer reliable scientific references for weather forecasting and climate modelings in these areas. Full article
(This article belongs to the Special Issue Data Analysis in Atmospheric Research)
Show Figures

Figure 1

29 pages, 3536 KB  
Article
Water Demand and Conservation in Arid Urban Environments: Numerical Analysis of Evapotranspiration in Arizona
by Jaden Lu and Zbigniew J. Kabala
Water 2025, 17(19), 2835; https://doi.org/10.3390/w17192835 - 27 Sep 2025
Viewed by 362
Abstract
Water management in arid regions, such as Arizona, is critical due to increasing demands from the urban, agricultural, and recreational sectors. In this study, Finite element analysis software COMSOL Multiphysics (COMSOL 6.3) is used to quantify water demands in Chandler, Arizona. Evapotranspiration from [...] Read more.
Water management in arid regions, such as Arizona, is critical due to increasing demands from the urban, agricultural, and recreational sectors. In this study, Finite element analysis software COMSOL Multiphysics (COMSOL 6.3) is used to quantify water demands in Chandler, Arizona. Evapotranspiration from vegetation and pools is studied. Factors are divided into environmental (temperature, humidity, wind speed) and soil-related properties (moisture content, hydraulic conductivity), which are modeled and used to estimate annual water losses. This study represents the first comprehensive investigation of the usage across several main categories at Arizona. Results indicate that pools contribute 61% of surface water evaporation. Annual water demand in Chandler for 2024 peaks at 425,000 m3 in June, with irrigation for vegetation dominating consumption. Validation against experimental data confirms model accuracy. This simulation work aims to provide scalable insights for water management in arid urban environments. Based on the simulation, various solutions were proposed to reduce water consumption and minimize water loss. Some active measures include the optimization of irrigation time and frequency based on dynamic and real-time environmental conditions. The proposed solution can help minimize the water consumption while maintaining the water demands for plant life sustenance. Other passive measures include the modification of localized environmental conditions to reduce water evaporation. In particular, it was found that fence installation can significantly change the water vapor flow and distribution close to the water surface and suppress the water evaporation by simply lowering the wind speed right above the water surface. A logical takeaway is that evaporation would also decrease when pools are built with deeper water surfaces. Full article
Show Figures

Figure 1

54 pages, 5238 KB  
Article
Leveraging Sentinel-2 Data and Machine Learning for Drought Detection in India: The Process of Ground Truth Construction and a Case Study
by Shubham Subhankar Sharma, Jit Mukherjee and Fabio Dell’Acqua
Remote Sens. 2025, 17(18), 3159; https://doi.org/10.3390/rs17183159 - 11 Sep 2025
Viewed by 838
Abstract
Droughts significantly impact agriculture, water resources, and ecosystems. Their timely detection is essential for implementing effective mitigation strategies. This study explores the use of multispectral Sentinel-2 remote sensing indices and machine learning techniques to detect drought conditions in three distinct regions of India, [...] Read more.
Droughts significantly impact agriculture, water resources, and ecosystems. Their timely detection is essential for implementing effective mitigation strategies. This study explores the use of multispectral Sentinel-2 remote sensing indices and machine learning techniques to detect drought conditions in three distinct regions of India, such as Jodhpur, Amravati, and Thanjavur, during the Rabi season (October–April). Twelve remote sensing indices were studied to assess different aspects of vegetation health, soil moisture, and water stress, and their possible joint use and influence as indicators of regional drought events. Reference data used to define drought conditions in each region were primarily sourced from official government drought declarations and regional and national news publications, which provide seasonal maps of drought conditions across the country. Based on this information, a district vs. year (3 × 10) ground truth is created, indicating the presence or absence of drought (Drought/No Drought) for each region across the ten-year period. Using this ground truth table, we extended the remote sensing dataset by adding a binary drought label for each observation: 1 for “Drought” and 0 for “No Drought”. The dataset is organized by year (2016–2025) in a two-dimensional format, with indices as columns and observations as rows. Each observation represents a single measurement of the remote sensing indices. This enriched dataset serves as the foundation for training and evaluating machine learning models aimed at classifying drought conditions based on spectral information. The resultant remote sensing dataset was used to predict drought events through various machine learning models, including Random Forest, XGBoost, Bagging Classifier, and Gradient Boosting. Among the models, XGBoost achieved the highest accuracy (84.80%), followed closely by the Bagging Classifier (83.98%) and Random Forest (82.98%). In terms of precision, Bagging Classifier and Random Forest performed comparably (82.31% and 81.45%, respectively), while XGBoost achieved a precision of 81.28%. We applied a seasonal majority voting strategy, assigning a final drought label for each region and Rabi season based on the majority of predicted monthly labels. Using this method, XGBoost and Bagging Classifier achieved 96.67% accuracy, precision, and recall, while Random Forest and Gradient Boosting reached 90% and 83.33%, respectively, across all metrics. Shapley Additive Explanation (SHAP) analysis revealed that Normalized Multi-band Drought Index (NMDI) and Day of Season (DOS) consistently emerged as the most influential features in determining model predictions. This finding is supported by the Borda Count and Weighted Sum analysis, which ranked NMDI, and DOS as the top feature across all models. Additionally, Red-edge Chlorophyll Index (RECI), Normalized Difference Water Index (NDWI), Normalized Difference Moisture Index (NDMI), and Ratio Drought Index (RDI) were identified as important features contributing to model performance. These features help reveal the underlying spatiotemporal dynamics of drought indicators, offering interpretable insights into model decisions. To evaluate the impact of feature selection, we further conducted a feature ablation study. We trained each model using different combinations of top features: Top 1, Top 2, Top 3, Top 4, and Top 5. The performance of each model was assessed based on accuracy, precision, and recall. XGBoost demonstrated the best overall performance, especially when using the Top 5 features. Full article
Show Figures

Figure 1

28 pages, 4410 KB  
Article
Modeling Soil–Atmosphere Interactions to Support Sustainable Soil Management and Agricultural Resilience in Temperate Europe Using the SiSPAT Model
by Abdulaziz Alharbi and Mohamed Ghonimy
Sustainability 2025, 17(18), 8114; https://doi.org/10.3390/su17188114 - 9 Sep 2025
Viewed by 589
Abstract
This study aimed to evaluate the performance of the SiSPAT model in simulating surface energy balance components and soil hydrothermal dynamics under temperate oceanic climate conditions, focusing on sparsely vegetated bare soils commonly found in transitional agroecosystems. The model was validated using high-resolution [...] Read more.
This study aimed to evaluate the performance of the SiSPAT model in simulating surface energy balance components and soil hydrothermal dynamics under temperate oceanic climate conditions, focusing on sparsely vegetated bare soils commonly found in transitional agroecosystems. The model was validated using high-resolution field data from the United Kingdom, including measurements of net radiation, soil heat flux, latent and sensible heat fluxes, and soil temperature and moisture at multiple depths. Results indicated that SiSPAT effectively reproduced the magnitude and diurnal variations in net radiation, soil heat flux, and subsurface thermal and moisture conditions, with overall agreement exceeding 90% in most cases. Minor underestimations (~10%) were observed for midday latent and sensible heat fluxes, while slight overestimations occurred in topsoil moisture during dry periods—remaining within acceptable simulation limits. These outcomes demonstrate the model’s capability to simulate land–atmosphere interactions under variable surface conditions and moderate humidity. The novelty of this study lies in extending the application of SiSPAT to temperate oceanic regions with partially vegetated soils—an underrepresented context—emphasizing its potential as a decision support tool for sustainable soil management, irrigation planning, and climate-resilient land use strategies in temperate regions with climatic and soil conditions similar to those represented in this study. Full article
Show Figures

Figure 1

Back to TopTop