Application of Comprehensive Geophysical Methods in the Exploration of Fire Area No. 1 in the Miaoergou Coal Field, Xinjiang
Abstract
1. Introduction
2. Regional Geological and Geophysical Characteristics
2.1. Regional Geological Features
2.2. Petrophysical Properties of Rocks in the Study Area and Their Integration into Magnetic/Electrical Anomaly Analysis
2.2.1. Integration of Magnetic Parameters into Anomaly Analysis
2.2.2. Integration of Electrical Parameters into Anomaly Analysis
3. Methods
3.1. Sampling Design
3.2. Magnetometry
3.3. Self-Potential
3.4. TEM
4. Results
4.1. Magnetic Anomalies
4.1.1. Contour Map of Magnetic Survey
4.1.2. Contour Maps of Magnetic Anomaly After Upward Continuation
4.1.3. Quantitative Magnetic Inversion
4.2. Self-Potential Anomalies
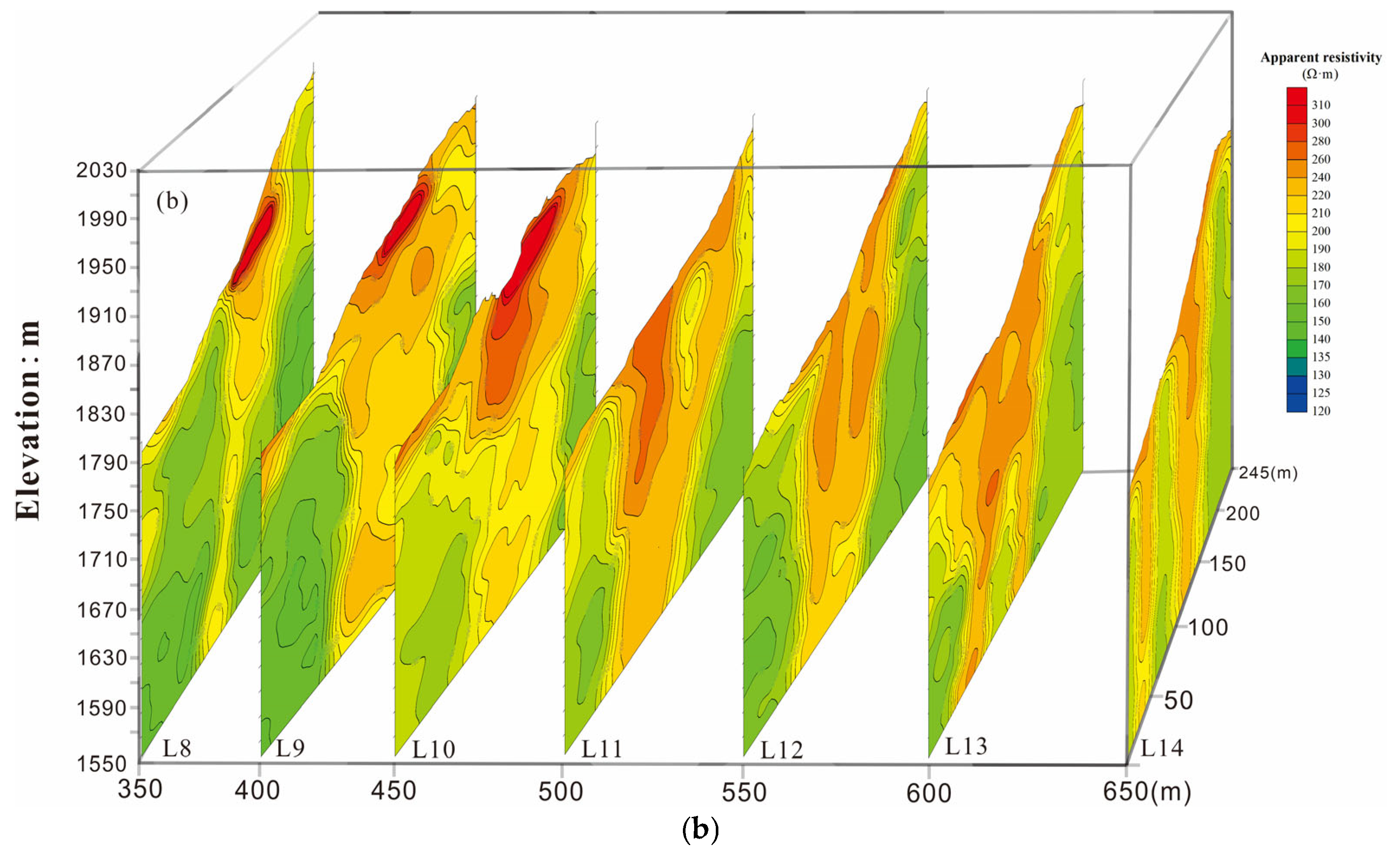
4.3. Resistivity (TEM) Anomalies
4.3.1. Survey Line 1 Integrated Geophysical Cross-Section (Miaoergou No. 1 Fire Zone): Evidence for No Active Coal Combustion and Latent Fire Risk from Dry Goaf Cavities
4.3.2. Integrated Geophysical Cross-Section of Survey Line 10: Characterizing Intense Active Coal Combustion in M4–M6 Seams and Imminent Propagation Risk Zones
4.3.3. TEM Inversion Cross-Section
4.4. Integrated Interpretation
5. Discussion
5.1. Conclusions
5.2. International Comparative Discussion
5.3. Limitations of the Integrated Geophysical Method
Supplementary Materials
Author Contributions
Funding
Institutional Review Board Statement
Informed Consent Statement
Data Availability Statement
Acknowledgments
Conflicts of Interest
Abbreviations
| SP | Self-potential |
| TEM | Transient electromagnetic |
References
- Thomas, G.; Fariborz, G. Effect of geological processes on coal quality and utilization potential: Review with examples from western Canada. J. Hazard Mater. 2000, 74, 109–124. [Google Scholar] [CrossRef] [PubMed]
- Finkelman, R.B. Potential health impacts of burning coal beds and waste banks. Int. J. Coal Geol. 2004, 59, 19–24. [Google Scholar] [CrossRef]
- Zhao, Y.; Zhang, J.; Chou, C.L.; Li, Y.; Wang, Z.; Ge, Y.; Zheng, C. Trace element emissions from spontaneous combustion of gob piles in coal mines, Shanxi, China. Int. J. Coal Geol. 2008, 73, 52–62. [Google Scholar] [CrossRef]
- Van Dijk, P.M.; Kuenzer, C.; Zhang, J.; Wolf, K.H.; Wang, J. Fossil Fuel Deposit Fires, Occurrence Inventory, Design and Assessment of Instrumental Options; Report 500102021; Netherlands Environmental Assessment Agency: Bilthoven, The Netherlands, 2009; p. 134. [Google Scholar]
- Dijk, P.V.; Zhang, J.Z.; Wang, J.; Kuenzer, C.; Wolf, K.H. Assessment of the contribution of in-situ combustion of coal to greenhouse gas emission; based on a comparison of Chinese mining information to previous remote sensing estimates. Int. J. Coal Geol. 2011, 86, 108–119. [Google Scholar] [CrossRef]
- Song, Z.; Kuenzer, C. Coal fires in China over the last decade: A comprehensive review. Int. J. Coal Geol. 2014, 133, 72–99. [Google Scholar] [CrossRef]
- Bekteshia, S.; Kabashia, S.; Ahmetaja, S.; Xhafab, B.; Hodollic, G.; Kadiric, S.; Alijaja, F.; Abdullahu, B. Radon concentrations and exposure levels in the Trepça underground mine: A comparative study. J. Clean. Prod. 2017, 155, 198–203. [Google Scholar] [CrossRef]
- Chen, X.Y.; Huang, J.L.; Yang, Q.; Nielsen, C.P.; Shi, D.B.; Mcelroy, M.B. Changing carbon content of Chinese coal and implications for emissions of CO2. J. Clean. Prod. 2018, 194, 150–157. [Google Scholar] [CrossRef]
- Guo, J.; Wen, H.; Zheng, X.Z.; Liu, Y.; Cheng, X.J. A method for evaluating the spontaneous combustion of coal by monitoring various gases. Process Saf. Environ. Prot. 2019, 126, 223–231. [Google Scholar] [CrossRef]
- Oliveira, M.L.; Pinto, D.; Tutikian, B.F.; da Boit, K.; Saikia, B.K.; Silva, L.F. Pollution from uncontrolled coal fires: Continuous gaseous emissions and nanoparticles from coal mines. J. Clean. Prod. 2019, 215, 1140–1148. [Google Scholar] [CrossRef]
- Zhang, L.Y.; Shen, Q.; Wang, M.Q.; Sun, N.N.; Wei, W.; Lei, Y.; Wang, Y.J. Driving factors and predictions of CO2 emission in China’s coal chemical industry. J. Clean. Prod. 2019, 210, 1131–1140. [Google Scholar] [CrossRef]
- Ren, S.J.; Wang, C.P.; Deng, J.; Tian, Y.; Song, J.J.; Cheng, X.J.; Sun, G.F. Thermal properties of coal during low temperature oxidation using a grey correlation method. Fuel 2020, 260, 116287. [Google Scholar] [CrossRef]
- Che, Y.; Huang, W.H.; Zhang, A.Y. Coal fires in China. J. Coal Sci. Eng. 2004, 10, 36–40. [Google Scholar]
- Zhang, J.M. Underground Coal Fires in China: Origin, Detection, Firefighting, and Prevention; China Coal Industry Publishing House: Beijing, China, 2008. [Google Scholar]
- Bao, X.D. Analysis on results of the fifth coalfield fire area survey in Xinjiang. China Energy Environ. Prot. 2021, 43, 1–4. [Google Scholar] [CrossRef]
- Zeng, Q.; Li, G.S.; Dong, J.X.; Pu, Y. Typical Ecological and Environmental Issues and Countermeasures in Coal Mining in Xinjiang Region. Min. Saf. Environ. Prot. 2017, 44, 106–110. [Google Scholar]
- Zhang, X.S. Magnetic method detecting coal fires. Coal Geol. Explor. 1980, 6, 43–48. [Google Scholar]
- Shao, Z.L.; Wang, D.M.; Wang, Y.M. Research progress of coalfield fire detection method. Saf. Coal Mines 2012, 43, 189–192. [Google Scholar] [CrossRef]
- Zhang, X.S. Probe into Xinjiang coalfield underground combustion area features and features and fire-fighting problems. Coal Geol. China 2004, 16, 18–21. [Google Scholar]
- Xiong, S.Q. Remote Sensing and Geophysical Detection Technology of Underground Coal Spontaneous Combustion; Geological Publishing House: Beijing, China, 2006. [Google Scholar]
- Yang, B.; Cui, Y.A.; Xie, J.; Zhang, L.J.; Chen, X.L.; Liu, J.X. Inversion of self-potential data by using particle filter. Prog. Geophys. 2020, 35, 2407–2415. (In Chinese) [Google Scholar]
- Li, H.; Fan, Y.R.; Hu, Y.Y.; Deng, S.G.; Sun, Q.T. Joint inversion of HDIL and SP with a five-parameter model for estimation of connate water resistivity. Chin. J. Geophys. 2013, 56, 688–695. (In Chinese) [Google Scholar]
- Guo, F.S.; Lin, Z.Y.; Li, G.R.; Deng, J.Z.; Xie, C.F.; Yang, H.Y.; Wu, Z.C.; Zhou, W.P.; Jiang, Y.B.; Li, H.X.; et al. Study on the geological structure of Xiangshan uranium-bearing volcanic basin: Evidences from magnetotelluric sounding and GOCAD modeling. Chin. J. Geophys. 2017, 60, 1491–1510. (In Chinese) [Google Scholar] [CrossRef]
- Guo, F.S.; Yang, H.Y.; Hou, Z.Q.; Wu, Z.C.; Lin, Z.Y.; Wang, G.C.; Xue, L.F.; Guan, Y.; Zhou, W.P. Structural setting of the Zoujiashan-Julong’an region, Xiangshan volcanic basin, China, interpreted from modern CSAMT data. Ore Geol. Rev. 2022, 150, 105180. [Google Scholar] [CrossRef]
- Shao, Z.L. Magnetic and Electrical Signature of CoalFires and Comprehensive Detection Methodology; China University of Mining &Technology: Xuzhou, China, 2017; pp. 1–129. [Google Scholar]
- Li, M.F. Joint Inversion Interpretation of Surface and Surface-to-Underground Electromagnetic Method; China University of Mining &Technology: Xuzhou, China, 2021; pp. 1–147. [Google Scholar]
- Li, R.H. 3D Numerical Modeling and Inversion for Transient Electromagnetic Field Excited by Source Loop Based on Vector Finite Element Method; China University of Geosciences: Beijing, China, 2018; pp. 1–146. [Google Scholar]
- Kumar, R.; Bera, A.; Srivastava, S.; Pal, S.K. Integrating physiographical and geophysical analyses for the remediation of a water-filled abandoned coal mining site in Chasnala Colliery, Jharkhand, India. J. Earth Syst. Sci. 2024, 133, 161. [Google Scholar] [CrossRef]
- Gu, Y.; Li, H.; Dou, L.; Wu, M.; Guo, H.; Huang, W.S.; Gu, J.P.; Saeideh, B.; Jiang, L.L.; Feng, L.L. Advance in Detection and Management for Underground Coal Fires: A Global Technological Overview. Combust. Sci. Technol. 2024, 6, 1–38. [Google Scholar] [CrossRef]
- Li, K.T.; Yan, J.B.; Li, F.; Yu, Y.P.; Li, Y.L.; Zhang, L.; Wang, P.; Li, Z.Y.; Yang, Y.C.; Wang, J.W. Non-invasive geophysical methods for monitoring the shallow aquifer based on time-lapse electrical resistivity tomography, magnetic resonance sounding, and spontaneous potential methods. Sci. Rep. 2024, 14, 7320. [Google Scholar] [CrossRef] [PubMed]
- Zhang, T.; Yang, Y.L. Occurrence characteristics and treatment technologies of mine goaf in China: A comprehensive review. Environ. Earth. Sci. 2024, 83, 441. [Google Scholar] [CrossRef]
- Pal, S.K.; Kumar, S.; Srivastava, S. Integrated geophysical approach for Coal mine fire in Jharia coalfield, India. Res. Sq. 2021, 3, 1–34. [Google Scholar] [CrossRef]
- Zhao, H.L.; Sun, H.F.; Zhang, Y.Y.; Liu, R.; Chen, L.; Liu, S.B. Assessing goaf in steep coal seam over complex topography using semi-airborne transient electromagnetic method: A case study in Xinjiang China. Bull. Eng. Geol. Environ. 2025, 84, 342. [Google Scholar] [CrossRef]
- Anghelescu, L.; Diaconu, B.M. Advances in Detection and Monitoring of Coal Spontaneous Combustion: Techniques, Challenges, and Future Directions. Fire 2024, 7, 354. [Google Scholar] [CrossRef]
- Deng, J.; Wang, J.R.; Ren, S.J.; Wang, C.P.; Qu, G.Y.; Ma, L. Identification and detection technology for high-temperature spontaneous combustion points in goaf areas. J. China Coal Soc. 2024, 49, 885–901. [Google Scholar] [CrossRef]
- Ma, Z.J.; Qin, B.T.; Shi, Q.L.; Zhu, T.G.; Chen, X.M.; Liu, H. The location analysis and efficient control of hidden coal spontaneous combustion disaster in coal mine goaf: A case study. Process Saf. Environ. Prot. 2024, 184, 66–78. [Google Scholar] [CrossRef]
- Liu, Y.; Wen, H.; Chen, C.M.; Guo, J.; Jin, Y.F.; Zheng, X.Z.; Cheng, X.J.; Li, D.L. Research Status and Development Trend of Coal Spontaneous Combustion Fire and Prevention Technology in China: A Review. ACS Omega 2024, 20, 21727–21750. [Google Scholar] [CrossRef]
- Liu, Y.; Qi, X.Y.; Luo, D.Y.; Zhang, Y.Q.; Qin, J.T. Detection and management of coal seam outcrop fire in China: A case study. Sci. Rep. 2024, 14, 4609. [Google Scholar] [CrossRef] [PubMed]
- Zhu, X.Y.; Yu, C.C.; Xiong, S.Q.; Chen, B. The application of the magnetic method to the detection of underground coal fires. Geophys. Geochem. Explor. 2007, 31, 115–119. [Google Scholar]
- Bao, N.L.; Liu, H.F.; Yu, C.T.; Li, Y.L. The detection of mined-out area of shallow iron ore by nanometer transient eleetromagnelic method. Prog. Geophys. 2013, 28, 952–957. (In Chinese) [Google Scholar] [CrossRef]
- Li, M.F.; Liu, S.C.; Jiang, Z.H.; Su, B.Y.; Chen, S.S. Detecting floor geological information bymine DC perspective and 3D inversion. J. China Coal Soc. 2022, 47, 2708–2721. [Google Scholar] [CrossRef]
- Xie, J. Numerical Modeling and Inversion Imaging of Self-Potential by Natural Element Method; Central South University: Changsha, China, 2023; pp. 1–147. [Google Scholar]
- Zhang, B.F.; Xiao, F.; Jin, W.B. Burnt coal field detection via magnetic exploration. Environ. Earth Sci. 2023, 82, 160. [Google Scholar] [CrossRef]
- Wang, T.; Wang, H.Y.; Fang, X.Y.; Wang, G.D.; Chen, Y.Q.; Xu, Z.Y.; Qi, Q.J. Research progress and visualization of underground coal fire detection methods. Environ. Sci. Pollut. Res. 2023, 30, 74671–74690. [Google Scholar] [CrossRef]
- Meng, Q.F.; Ma, G.Q.; Li, L.L.; Li, J.Y. An Optimized Detection Approach to Subsurface Coalfield Spontaneous Combustion Areas Using Airborne Magnetic Data. Remote Sens. 2025, 17, 1185. [Google Scholar] [CrossRef]
- Zhi, D.M.; Liu, M. The Sequence Structure, Coal Forming Environment and Coal Accumulating Regularities of Coal-Bearing Rock Series in Southern Margin of Junggar Basin. Xinjiang Pet. Geol. 2013, 34, 386–389. [Google Scholar]
- Zhang, H.; Liu, Q.P.; Li, X.M. Tectonic coal-controlling patterns and coal seam occurrence laws in the Zhunan Coalfield. J. China Coal Soc. 2013, 38, 2103–2110. [Google Scholar]
- Zeng, Q.; Wang, T.; Li, D.W. Formation Mechanism and Control Technology of Coal Fire Disasters in the Zhunnan Coalfield, Xinjiang, China. J. Coal Sci. Eng. 2017, 23, 512–523. [Google Scholar]
- Zhu, M.; Wang, X.; Xiao, L. Structural Characteristics and Evolution in the Southern Margin of Junggar Basin. Xinjiang Pet. Geol. 2020, 41, 9–17. [Google Scholar]
- Zeng, Q.; Wang, T.; Li, D.W. Formation mechanisms and prevention technologies of coal seam spontaneous combustion disasters in the Zhunan Coalfield. Coal Sci. Technol. 2017, 45, 1–8. [Google Scholar]
- Li, X.M.; Zhang, H.; Liu, Q.F. Tectonic Evolution and Its Control on Coal Accumulation in the Zhunnan Coalfield, Northwest China. Int. J. Coal Geol. 2014, 131, 172–185. [Google Scholar]
- Wang, T.; Li, D.W.; Zeng, Q. Characteristics of Fracture Networks and Their Role in Coal Fire Propagation: A Case Study from the Zhunnan Coalfield. Environ. Earth Sci. 2018, 77, 1–14. [Google Scholar]
- Jiao, G.H.; Zhang, W.P.; Xie, L.H.; Wang, J.; Zhou, J.K.; Wang, Y.H. Depositional systems and their controlling factors of the Lower Jurassic Sangonghe Formation in southern Junggar Basin. J. Palaeogeogr. 2023, 25, 628–647. [Google Scholar]
- Huang, T.; Wang, G.; Yang, S.G.; Dong, L.G. Analysis of Coalbed Methane Occurrence Conditions in the Southern Hutubi Block in Southern Margin of Junggar Basin. China Coalbed Methane 2020, 17, 9–12. [Google Scholar]
- Shan, Y.S.; Bi, C.Q.; Zhang, J.Q.; Tang, Y.; Yuan, Y.; Xu, Y.B.; Pan, W.H. Productive industrial gas flow obtained in Middle Jurassic low-rank coalbed methane seam in southern Junggar Basin. Geol. China 2018, 45, 1078–1079. [Google Scholar]
- Sang, S.X.; Li, R.M.; Liu, S.Q.; Zhou, X.Z.; Wei, B.; Han, S.J.; Zheng, S.J.; Huang, F.S.; Liu, T.; Wang, Y.J.; et al. Research progress and breakthrough directions of the key technical fields for large scale and efficient exploration and development of coalbed methane in Xinjiang. J. China Coal Soc. 2024, 49, 563–585. [Google Scholar] [CrossRef]
- Bi, C.Q.; Zhang, J.Q.; Shan, Y.S.; Hu, Z.F.; Wang, F.G.; Chi, H.P.; Tang, Y.; Yuan, Y.; Liu, Y.R. Geological characteristics and co-exploration and co-production methods of Upper Permian Longtan coal measure gas in Yangmeishu Syncline, Western Guizhou Province, China. Geol. China 2020, 14, 38–51. [Google Scholar] [CrossRef]
- Liang, G.D. Physical Characteristics of Coal Measures and Coalbed Methane Enrichment Model of Middle Jurassic Xishanyao Formation in Southern Junggar Basin; Liaoning Technical University: Fuxin, China, 2022; pp. 1–104. [Google Scholar]
- Guan, Z.N. Geomagnetic Field and Magnetic Exploration; Geological Publishing House: Beijing, China, 2005. [Google Scholar]
- Sterberg, R.; Lippincott, C. Magnetic surveys over clinkers and coal seam fires in Western North Dakota. In Proceedings of the 2004 Denver Annual Meeting, Denver, CO, USA, 7–10 November 2004. [Google Scholar]
- Schaumann, G.; Siemon, B.; Yin, C.C. Geophysical Investigation of Wuda Coal Mining Area, Inner Mongolia: Electromagnetics and Magnetics for Coal Fire Detection. In Spontaneous Coal Seam Fires: Mitigating a Global Disaster International Research for Sustainable Control and Management; ERSEC Ecological Book Series; Tsinghua University Press: Beijing, China, 2008; Volume 4, pp. 336–350. [Google Scholar]
- Ide, T.S.; Crook, N.; Orr, F. Magnetometer measurements to characterize a subsurface coal fire. Int. J. Coal Geol. 2011, 87, 190–196. [Google Scholar] [CrossRef]
- Bandelow, F.K.; Gielisch, H. Modern exploration methods as key to fighting of uncontrolled coal fires in China. In Proceedings of the 2004 Denver Annual Meeting, Denver, CO, USA, 7–10 November 2004. [Google Scholar]
- Song, W.J.; Wang, Y.M.; Shao, Z.L. Numerical simulation of electrical resistance tomography method and magnetic method in detecting coal fires. J. China Coal Soc. 2016, 41, 899–908. [Google Scholar] [CrossRef]
- Revil, A.; Karaoulis, M.; Srivastava, S.; Byrdina, S. Thermoelectric self-potential and resistivity datalocalize the burning front of underground coal fires. Geophysics 2013, 78, B259–B273. [Google Scholar] [CrossRef]
- Li, X.C.; Li, X.P.; Xu, G.M. The anomaly investigation of self-potential method for coal fire area survey. Geophys. Geochem. Explor. 2012, 36, 382–385. [Google Scholar]
- King, A. Cindered coal detection using transient electromagnetic methods. Geoexploration 1987, 24, 367–379. [Google Scholar] [CrossRef]

















| Number | Lithology | Number of Specimen Blocks | Magnetic Susceptibility k (4π × 10−6 SI) | Remanence (×10−3 A/m) | ||
|---|---|---|---|---|---|---|
| Change Range | Average Value | Change Range | Average Value | |||
| 1 | Sandstone | 4 | −0.0026~93.04 | 15.86 | 0~78.94 | 28.25 |
| 2 | Siltstone | 8 | −0.0089~87.06 | 23.04 | 0~9.71 | 5.96 |
| 3 | carbonaceous mudstone | 4 | 0.0059~106.23 | 26.08 | 35.4~902 | 284.35 |
| 4 | Burnt rock | 10 | 1028~1396 | 1286.45 | 1345~1892 | 1578.68 |
| 5 | Coal seam | 10 | 0~201.36 | 89.06 | 28.5~607 | 232.26 |
| Number | Lithology | Number of Specimen Blocks | Resistivity (Ω·m) | |
|---|---|---|---|---|
| Change Range | Average Value | |||
| 1 | Sandstone | 10 | 260~630 | 500 |
| 2 | Siltstone | 13 | 250~620 | 480 |
| 3 | carbonaceous mudstone | 9 | 130~630 | 430 |
| 4 | Burnt rock | 16 | 120~580 | 410 |
| 5 | Coal seam | 10 | 320~1300 | 800 |
| Region | Representative Study | Integrated Methods | Key Limitations | Innovation of This Study |
|---|---|---|---|---|
| Jharia Coalfield, India [59] | Guan et al. (2005) [59] | Magnetic + DC Resistivity | Poor shallow resolution (error > 20% for <30 m depth); no redox interface mapping. | 1. Added SP method to resolve shallow redox fronts (resolution < 3 m); 2. RTP processing reduced magnetic anomaly alignment error to <10%. |
| Hunter Valley, Australia [67] | King (1987) [67] | TEM + Remote Sensing | Could not distinguish water-saturated goaf from fire zones; anomaly overlap < 60%. | 1. Combined SP to identify water-saturated zones (moisture content > 18%); 2. Multi-parameter coupling achieved > 85% anomaly overlap. |
| Powder River Basin, USA [65] | Revil et al. (2013) [65] | SP + Magnetic | No deep structural characterization; unable to map goaf distribution. | 1. Added TEM to resolve deep goaf (up to 350 m); 2. Established quantitative correlation (R2 = 0.89) between anomalies and boreholes. |
Disclaimer/Publisher’s Note: The statements, opinions and data contained in all publications are solely those of the individual author(s) and contributor(s) and not of MDPI and/or the editor(s). MDPI and/or the editor(s) disclaim responsibility for any injury to people or property resulting from any ideas, methods, instructions or products referred to in the content. |
© 2025 by the authors. Licensee MDPI, Basel, Switzerland. This article is an open access article distributed under the terms and conditions of the Creative Commons Attribution (CC BY) license (https://creativecommons.org/licenses/by/4.0/).
Share and Cite
Zhan, X.; Yang, H.; Zhang, B.; Liu, J.; Zhang, Y.; Li, F. Application of Comprehensive Geophysical Methods in the Exploration of Fire Area No. 1 in the Miaoergou Coal Field, Xinjiang. Appl. Sci. 2025, 15, 11164. https://doi.org/10.3390/app152011164
Zhan X, Yang H, Zhang B, Liu J, Zhang Y, Li F. Application of Comprehensive Geophysical Methods in the Exploration of Fire Area No. 1 in the Miaoergou Coal Field, Xinjiang. Applied Sciences. 2025; 15(20):11164. https://doi.org/10.3390/app152011164
Chicago/Turabian StyleZhan, Xinzhong, Haiyan Yang, Bowen Zhang, Jinlong Liu, Yingying Zhang, and Fuhao Li. 2025. "Application of Comprehensive Geophysical Methods in the Exploration of Fire Area No. 1 in the Miaoergou Coal Field, Xinjiang" Applied Sciences 15, no. 20: 11164. https://doi.org/10.3390/app152011164
APA StyleZhan, X., Yang, H., Zhang, B., Liu, J., Zhang, Y., & Li, F. (2025). Application of Comprehensive Geophysical Methods in the Exploration of Fire Area No. 1 in the Miaoergou Coal Field, Xinjiang. Applied Sciences, 15(20), 11164. https://doi.org/10.3390/app152011164

