Sign in to use this feature.

Years

Between: -

Subjects

remove_circle_outline
remove_circle_outline
remove_circle_outline
remove_circle_outline
remove_circle_outline
remove_circle_outline
remove_circle_outline
remove_circle_outline
remove_circle_outline

Journals

remove_circle_outline
remove_circle_outline
remove_circle_outline
remove_circle_outline
remove_circle_outline

Article Types

Countries / Regions

remove_circle_outline
remove_circle_outline
remove_circle_outline
remove_circle_outline

Search Results (1,431)

Search Parameters:
Keywords = dynamic battery model

Order results
Result details
Results per page
Select all
Export citation of selected articles as:
24 pages, 942 KB  
Article
Enhanced Wind Energy Integration and Grid Stability via Adaptive Nonlinear Control with Advanced Energy Management
by Nabil ElAadouli, Adil Mansouri, Abdelmounime El Magri, Rachid Lajouad, Ilyass El Myasse and Karim El Mezdi
Energies 2026, 19(8), 1941; https://doi.org/10.3390/en19081941 - 17 Apr 2026
Abstract
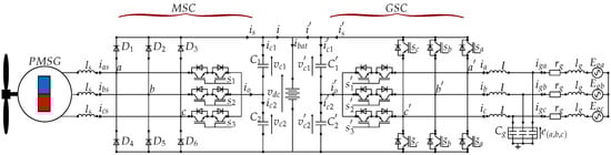
This paper proposes an advanced wind energy conversion and management framework for improving grid integration and mitigating frequency and power fluctuations caused by wind intermittency. The studied system combines a permanent magnet synchronous generator (PMSG), a unidirectional Vienna rectifier on the machine side, [...] Read more.
This paper proposes an advanced wind energy conversion and management framework for improving grid integration and mitigating frequency and power fluctuations caused by wind intermittency. The studied system combines a permanent magnet synchronous generator (PMSG), a unidirectional Vienna rectifier on the machine side, a Li-ion battery energy storage system, and a bidirectional Vienna rectifier on the grid side. The main scientific challenge addressed in this work is to ensure efficient wind power extraction, secure battery charging/discharging operation, and stable power exchange with the grid under variable operating conditions. To this end, a comprehensive nonlinear state-space model of the overall system is first established. Then, nonlinear controllers based on integral sliding mode principles are developed to guarantee rotor-speed tracking, DC-bus voltage regulation, battery charging current limitation, and active/reactive power control. In addition, an adaptive observer is designed to estimate the battery open-circuit voltage and support the supervision of the state of charge. An energy management strategy is further proposed to coordinate the operating modes according to grid conditions and battery constraints. Simulation results demonstrate that the proposed approach effectively smooths wind power fluctuations, improves grid support capability, and enhances the overall dynamic performance of the wind energy conversion system. Full article
Show Figures

Figure 1

47 pages, 10205 KB  
Article
Graph-Based Task Allocation for Multi-Agent Fleet Management: A Genetic Algorithm Approach with LLM Integration
by Beril Yalcinkaya, Micael S. Couceiro, Salviano Soares and António Valente
Appl. Sci. 2026, 16(8), 3851; https://doi.org/10.3390/app16083851 - 15 Apr 2026
Abstract
Efficient task allocation and coordination are critical for heterogeneous multi-agent systems operating in dynamic field environments. This paper presents a closed-loop framework that integrates Large Language Models (LLMs) with graph-based optimisation to enable end-to-end task decomposition, allocation, and adaptive execution. High-level task scripts [...] Read more.
Efficient task allocation and coordination are critical for heterogeneous multi-agent systems operating in dynamic field environments. This paper presents a closed-loop framework that integrates Large Language Models (LLMs) with graph-based optimisation to enable end-to-end task decomposition, allocation, and adaptive execution. High-level task scripts are initially parsed by an LLM into structured execution flows, which are transformed into Directed Acyclic Graphs (DAGs) capturing action-level dependencies. A Genetic Algorithm (GA) then optimises agent-to-task assignments by minimising makespan under capability and battery constraints. To ensure robustness, the framework incorporates an LLM-driven recovery module that enables localised replanning under execution failures without interrupting unaffected agents. System-level experiments in a high-fidelity agroforestry simulation demonstrate a 37% increase (p<0.001) in harvesting productivity and a 19% reduction in human idle time compared to manual baselines. Under mid-execution failures, the system maintains significantly higher performance, with replanning latencies averaging 24 s. The framework scales to large fleets (up to 1000 agents) and effectively enhances human–robot collaboration through structured, dependency-aware coordination. Full article
15 pages, 3318 KB  
Article
Model Predictive Control of Energy Storage System for Suppressing Bus Voltage Fluctuation in PV–Storage DC Microgrid
by Ming Chen, Shui Liu, Zhaoxu Luo and Kang Yu
Sustainability 2026, 18(8), 3903; https://doi.org/10.3390/su18083903 - 15 Apr 2026
Abstract
Ensuring DC bus voltage stability is a key enabler for the sustainable development of photovoltaic-storage DC microgrids (PV–storage DC MGs), which are regarded as critical infrastructure for high-penetration renewable energy utilization. However, the inherent randomness of PV power generation seriously threatens this stability. [...] Read more.
Ensuring DC bus voltage stability is a key enabler for the sustainable development of photovoltaic-storage DC microgrids (PV–storage DC MGs), which are regarded as critical infrastructure for high-penetration renewable energy utilization. However, the inherent randomness of PV power generation seriously threatens this stability. This paper proposes a novel model predictive control (MPC) scheme for the energy storage system (ESS) to mitigate voltage fluctuations and enhance system stability. To improve the model precision, a forgetting-factor-augmented recursive least squares (RLS) algorithm is employed for online identification and correction of the estimated equivalent impedance between the ESS and the DC bus. Rigorous Lyapunov stability analysis is performed to obtain the sufficient stability conditions and quantitative tuning rules for the weighting coefficients, which transforms the qualitative parameter selection into a theoretical constrained optimization. The state of charge (SOC) of the ESS is set as a security constraint to avoid excessive charge/discharge and extend battery service life. A distinguished advantage of the proposed strategy is that it generates ESS power commands solely based on local measurements, eliminating the dependence on external communication and improving system reliability. Simulation results on MATLAB R2021b/Simulink and hardware-in-the-loop experiments based on RT-Lab and DSP demonstrate that the proposed MPC method significantly reduces the DC bus voltage deviation, accelerates the dynamic recovery process, and maintains stable ESS operation under both normal PV fluctuations and sudden PV outage conditions. Full article
(This article belongs to the Special Issue Advance in Renewable Energy and Power Generation Technology)
Show Figures

Figure 1

25 pages, 3666 KB  
Article
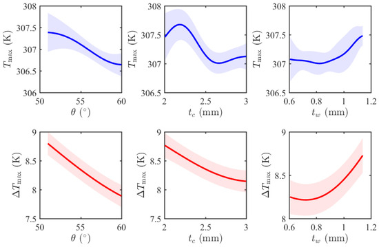
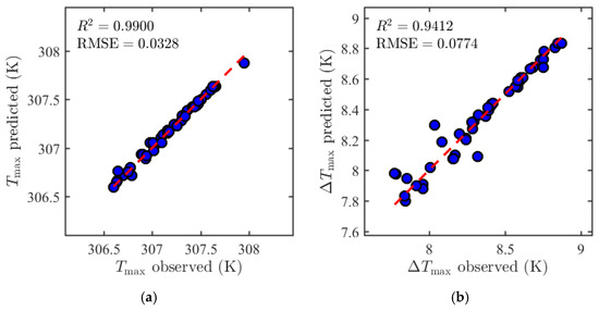
Toward Safe and Reliable Batteries: Multi-Objective Optimization of a Serpentine Cooling Channel for Battery Thermal Management Using GPR and NSGA-II
by Nguyen Minh Chau, Le Van Quynh, Nguyen Manh Quang, Nguyen Thi Hong Ngoc, Nguyen Thanh Cong and Nguyen Trong Hieu
Batteries 2026, 12(4), 138; https://doi.org/10.3390/batteries12040138 - 14 Apr 2026
Viewed by 177
Abstract
Thermal management plays a critical role in maintaining the safety and reliability of lithium-ion batteries by limiting excessive temperature rise and reducing non-uniform temperature distribution within battery packs. This study proposes a geometry-driven multi-objective optimization framework for a serpentine liquid-cooling channel to enhance [...] Read more.
Thermal management plays a critical role in maintaining the safety and reliability of lithium-ion batteries by limiting excessive temperature rise and reducing non-uniform temperature distribution within battery packs. This study proposes a geometry-driven multi-objective optimization framework for a serpentine liquid-cooling channel to enhance the thermal behavior of a battery module under fixed operating conditions. A three-dimensional computational fluid dynamics (CFD) model was developed for a 40-cell battery module, and Latin hypercube sampling was employed to generate training data for Gaussian Process Regression (GPR) surrogate models. Three geometric design variables, namely, channel thickness (tc), wall thickness (tw), and contact surface angle (θ), were considered, while the maximum battery temperature (Tmax) and the maximum temperature difference within the battery pack (ΔTmax) were selected as optimization objectives. Sensitivity analysis showed that wall thickness was the dominant parameter, contributing 65.41% and 64.77% to the variations in Tmax and ΔTmax, respectively, followed by channel thickness, whereas the influence of the contact surface angle was comparatively limited. The trained GPR models were then coupled with the non-dominated sorting genetic algorithm (NSGA-II) to identify the optimal channel geometry. The optimal design was obtained at tc = 2.95 mm, tw = 0.949 mm, and θ = 60°. CFD validation confirmed that the optimized design reduced Tmax from 307.639 K to 306.653 K, corresponding to a temperature drop of 0.986 K, while ΔTmax decreased from 8.752 K to 7.887 K, representing a reduction of 9.88%. Although the reduction in Tmax is modest, the improvement in temperature uniformity is meaningful, which benefits cell consistency and long-term reliability. These results demonstrate that geometric optimization of cooling channels can provide an effective and energy-efficient approach to improving thermal uniformity in lithium-ion battery systems. Full article
Show Figures

Graphical abstract

27 pages, 19529 KB  
Article
A Physics-Informed Recurrent Neural Network with Fractional-Order Kinetics for Robust Lithium-Ion Battery State of Charge Estimation
by Le Ke and Lujuan Dang
Symmetry 2026, 18(4), 652; https://doi.org/10.3390/sym18040652 - 14 Apr 2026
Viewed by 214
Abstract
Accurate State of Charge (SOC) estimation is critical for the safety and efficiency of Battery Management Systems (BMS). While data-driven methods have shown promise, they often exhibit limited generalization capability due to the lack of physical constraints. Incorporating symmetry in the battery, such [...] Read more.
Accurate State of Charge (SOC) estimation is critical for the safety and efficiency of Battery Management Systems (BMS). While data-driven methods have shown promise, they often exhibit limited generalization capability due to the lack of physical constraints. Incorporating symmetry in the battery, such as through the use of Physics-Informed Neural Networks (PINNs), can mitigate this issue. However, PINNs typically rely on integer-order equivalent circuit model differential equations, which fail to accurately describe the complex electrochemical relaxation processes. To bridge this gap, we propose a novel Fractional Differential Physics-Informed Neural Network (FDE-PINN) framework. Unlike traditional approaches, this method embeds a Fractional-Order Equivalent Circuit Model (FO-ECM) into the Gated Recurrent Unit (GRU) architecture to explicitly capture the anomalous diffusion and long-memory effects inherent in battery polarization. Specifically, the network is trained by minimizing a composite loss function that integrates the data fitting error with residuals from fractional-order governing equations, including Coulomb counting and fractional voltage dynamics. Extensive experiments on the Panasonic 18650PF dataset and CALCE A123 dataset verify the method’s superiority. Results demonstrate that the proposed FDE-GRU model achieves an average MSE of 14.29×104 (with an MAE of 2.43% and RMSE of 3.23%) on the NCA chemistry and 26.24×104 (with an MAE of 3.75% and RMSE of 5.09%) on the LiFePO4 chemistry, significantly outperforming traditional methods by reducing the estimation error by 35.6% and 26.2% compared to the standard GRU, respectively. Full article
(This article belongs to the Special Issue Symmetry or Asymmetry in Artificial Intelligence)
Show Figures

Figure 1

12 pages, 2276 KB  
Article
Operando Impedance Signatures of Lithium-Ion Battery Solid Electrolyte Interphase Formation
by Duncan Tyree, Haofeng Su, Ningyue Mao and Xuan Zhou
Energies 2026, 19(8), 1895; https://doi.org/10.3390/en19081895 - 14 Apr 2026
Viewed by 193
Abstract
The formation of lithium-ion batteries (LIBs) directly affects the properties of the solid electrolyte interphase (SEI) layer, which in turn affects cell performance, lifetime, and safety. Therefore, measurement of SEI properties during formation is a topic of great interest for LIB manufacturing. EIS [...] Read more.
The formation of lithium-ion batteries (LIBs) directly affects the properties of the solid electrolyte interphase (SEI) layer, which in turn affects cell performance, lifetime, and safety. Therefore, measurement of SEI properties during formation is a topic of great interest for LIB manufacturing. EIS has previously been applied to half-cell and three-electrode configurations for this purpose; however, these results have been questioned due to the potential non-linearity of the EIS measurement. Additionally, the limited application of the method to half cells and three-electrode cells limits the application of this method to production lines, where only two-electrode full cells are manufactured. In this work, we compare dynamic and steady-state EIS measurements during the formation cycling of NMC532/graphite coin cells. DRT analysis is used to distinguish the time constants of the two electrodes for equivalent circuit modeling. The main findings of this work are that dynamic EIS (DEIS) measurements only significantly affect the frequency response below ~30 Hz. Additionally, time constants and effective capacitance are unaffected by DEIS. We conclude that DEIS remains a promising technique for studying SEI formation in a two-electrode configuration and may be applicable on production lines for rapid diagnostics or even tracking SEI growth in real time. Full article
Show Figures

Figure 1

21 pages, 11025 KB  
Article
A Multi-Step RUL Prediction Method for Lithium-Ion Batteries Based on Multi-Scale Temporal Features and Frequency-Domain Spectral Interaction
by Ye Tu, Shixiong Xu, Jie Wang and Mengting Jin
Batteries 2026, 12(4), 137; https://doi.org/10.3390/batteries12040137 - 14 Apr 2026
Viewed by 194
Abstract
With the rapid development of new energy vehicles and energy storage systems, accurate prediction of the remaining useful life (RUL) of lithium-ion batteries is of great importance for predictive maintenance and operational safety. However, battery degradation during cycling usually exhibits multi-scale characteristics, including [...] Read more.
With the rapid development of new energy vehicles and energy storage systems, accurate prediction of the remaining useful life (RUL) of lithium-ion batteries is of great importance for predictive maintenance and operational safety. However, battery degradation during cycling usually exhibits multi-scale characteristics, including long-term degradation trends, stage-wise drifts, and stochastic disturbances, which makes existing methods still face significant challenges in multi-step forecasting and cross-domain generalization. To address this issue, this paper proposes a time–frequency fusion model for multi-step RUL prediction, termed TF-RULNet (Time-Frequency RUL Network). The model takes cycle-level feature sequences as input and consists of three components: a multi-scale temporal convolution encoder (MSTC) for parallel extraction of degradation cues at different temporal scales; a multi-head spectral interaction module (MHSI), which performs 1D-FFT along the temporal dimension for each head and further applies adaptive band-wise mask refinement to capture local spectral structures and hierarchical band patterns with a computational complexity of O(LlogL); and a cross-gated fusion module (CGF), which generates gating signals from the summary of one domain to modulate the features of the other domain, thereby enabling dynamic balancing and complementary enhancement of time–frequency information. Experiments are conducted on the NASA dataset (B005/B007) for in-domain evaluation, and further cross-dataset tests from NASA to the Maryland dataset (CS-35/CS-37) are carried out to verify the robustness of the proposed model under distribution shifts. The results show that, compared with the strongest baseline PatchTST, TF-RULNet reduces RMSE and MAE by more than 38.23% and 50.51%, respectively, in cross-dataset generalization, while achieving an additional RMSE reduction of about 24% in in-domain prediction. In summary, TF-RULNet can effectively characterize the multi-scale time–frequency degradation patterns of batteries and improve cross-domain generalization, providing a high-accuracy and scalable modeling solution for practical battery health management and life prognostics. Full article
Show Figures

Figure 1

26 pages, 1967 KB  
Article
EV Dynamic Charging and Discharging Strategy Considering Integrated Energy Station Congestion and Electricity Trading
by Xiang Liao, Haiwei Wang, Yujie Cheng and Dianling Zhan
Energies 2026, 19(8), 1879; https://doi.org/10.3390/en19081879 - 12 Apr 2026
Viewed by 272
Abstract
As the electrification of transportation systems accelerates, incentivizing electric vehicle (EV) participation in vehicle-to-grid (V2G) operations is becoming increasingly crucial. This paper introduces a dynamic EV charging and discharging strategy that incorporates integrated energy station (IES) congestion and electricity purchase and sale scenarios. [...] Read more.
As the electrification of transportation systems accelerates, incentivizing electric vehicle (EV) participation in vehicle-to-grid (V2G) operations is becoming increasingly crucial. This paper introduces a dynamic EV charging and discharging strategy that incorporates integrated energy station (IES) congestion and electricity purchase and sale scenarios. The proposed strategy seeks to facilitate orderly EV charging and discharging within a real-time simulation framework that integrates the transportation network (TN), IES, and the external grid (EG). First, we develop a real-time collaborative simulation framework that combines microscopic traffic flow (MTL) and IES–grid energy interaction models to account for mutual feedback among these components. Second, we propose an EV IES selection strategy aimed at maximizing discharge revenue, which takes into account various factors, including driving distance, time costs, battery degradation, discharge benefits, and government subsidies. Finally, we design a dynamic discharge pricing model based on real-time vehicle arrival patterns at the IES and the status of electricity purchases and sales. Simulation results show that the EV IES selection strategy, optimized for discharge revenue, reduces average user waiting time by 5.36%, decreases network time loss by 3.86%, and increases EV discharge revenue by 6.79%. Furthermore, the introduction of dynamic pricing leads to additional reductions in waiting time and network time loss by 3.46% and 4.80%, respectively. The proposed mechanism and pricing strategy effectively mitigate traffic congestion, enhance user discharge revenue, and provide flexible scheduling options for IES operations. Full article
(This article belongs to the Section E: Electric Vehicles)
33 pages, 1688 KB  
Article
Differential Game Research on Power Battery Second-Life Supply Chain Channels Considering Altruistic Preferences
by Qiyou Liu and Ziteng Li
Sustainability 2026, 18(8), 3802; https://doi.org/10.3390/su18083802 - 11 Apr 2026
Viewed by 165
Abstract
To promote the sustainable development of power battery recycling, this study investigates the strategic interplay between altruistic preferences and channel structure. Addressing divergent interests and the dynamic evolution of recycling scale and brand reputation, a differential game model with two state variables is [...] Read more.
To promote the sustainable development of power battery recycling, this study investigates the strategic interplay between altruistic preferences and channel structure. Addressing divergent interests and the dynamic evolution of recycling scale and brand reputation, a differential game model with two state variables is constructed to analyze four decision modes: resale/agency under selfish/altruistic scenarios. The results reveal that altruistic preferences induce Pareto improvements, reconciling the recycler’s utility with the partner’s profit growth. Notably, altruism acts as a moderating mechanism that reshapes channel advantages, enabling the Resale–Altruistic (RA) mode to surpass the agency mode as the system-wide optimal state. Furthermore, a substitutive compensation effect between altruistic preference and revenue-sharing contracts is identified. This research provides a quantitative framework for optimizing behavioral contract design and governance in battery recycling ecosystems. Full article
21 pages, 2258 KB  
Article
Energy Management for a Fuel Cell Hybrid-Powered Unmanned Aerial Vehicle Based on Optimal Path Planning
by Yunpeng Ji, Xingpeng Ling, Xiaojuan Wu and Jiangping Hu
Energies 2026, 19(8), 1854; https://doi.org/10.3390/en19081854 - 9 Apr 2026
Viewed by 232
Abstract
Unmanned Aerial Vehicles (UAVs) present a promising solution for urban logistics, where an effective energy management strategy guided by optimal path planning is crucial for reducing operational costs and extending system lifespan. This study begins by analyzing the wind field distribution in a [...] Read more.
Unmanned Aerial Vehicles (UAVs) present a promising solution for urban logistics, where an effective energy management strategy guided by optimal path planning is crucial for reducing operational costs and extending system lifespan. This study begins by analyzing the wind field distribution in a specific urban area of Chengdu using Computational Fluid Dynamics, and establishes a data-driven power prediction model to evaluate UAV energy consumption. A hybrid wind-field-aware A* with Ant Colony Optimization algorithm is subsequently proposed to compute the optimal flight path that balances energy consumption and distance, generating corresponding power demand profiles for the ensuing energy management strategy. Finally, a Deep Q-Learning (DQN)-based energy management strategy is implemented to regulate power distribution between the fuel cell and the battery, aiming to minimize hydrogen consumption and stabilize the power output of the primary source. Experimental results demonstrate that the proposed path planning method can effectively reduce energy consumption across different scenarios while causing only a marginal increase in travel distance. In addition, the DQN-based strategy significantly suppresses fuel cell power fluctuations at the cost of only a slight increase in hydrogen consumption, thereby demonstrating the effectiveness of the path-planning-informed energy management strategy. Full article
Show Figures

Figure 1

32 pages, 5560 KB  
Article
MTEC-SOC: A Multi-Physics Aging-Aware Model for Smartphone Battery SOC Estimation Under Diverse User Behaviors
by Yuqi Zheng, Yao Li, Liang Song and Xiaomin Dai
Batteries 2026, 12(4), 130; https://doi.org/10.3390/batteries12040130 - 8 Apr 2026
Viewed by 257
Abstract
State-of-charge (SOC) estimation for lithium-ion batteries in smartphones is complicated by nonlinear load variation, electro-thermal coupling, aging effects, and heterogeneous user behaviors. This study proposes a multi-physics coupled SOC estimation framework, termed the Multi-Physics Thermo-Electrochemical Coupled SOC Model (MTEC-SOC), to characterize battery behavior [...] Read more.
State-of-charge (SOC) estimation for lithium-ion batteries in smartphones is complicated by nonlinear load variation, electro-thermal coupling, aging effects, and heterogeneous user behaviors. This study proposes a multi-physics coupled SOC estimation framework, termed the Multi-Physics Thermo-Electrochemical Coupled SOC Model (MTEC-SOC), to characterize battery behavior under representative user-load conditions within controlled ambient thermal boundaries. The model combines system-level power profiling, thermal evolution, voltage dynamics, and aging-related capacity correction within a unified framework. To support model development and validation, a dual-source dataset is established using laboratory battery characterization data and real-world smartphone behavioral data, from which users are classified into light, heavy, and mixed usage patterns. Comparative results against four benchmark models (M1–M4) show that MTEC-SOC achieves the highest overall accuracy, with average MAE, RMSE, and TTE error values of 0.0091, 0.0118, and 0.08 h, respectively. The results suggest distinct degradation tendencies across user types: calendar aging dominates under prolonged high-voltage dwell in light-use scenarios, whereas, within the tested thermal range, heavy-use scenarios exhibit stronger voltage sag, relative temperature rise, and polarization-related stress; mixed-use scenarios are characterized by transient responses induced by abrupt load switching. Sensitivity analysis further indicates that the predictive behavior of the model is strongly scenario-dependent, with higher-load operation within the calibrated range amplifying parameter perturbations. Overall, the proposed MTEC-SOC framework provides accurate SOC estimation and physically interpretable insight within the evaluated dataset and operating conditions, offering potential guidance for battery management and energy optimization in intelligent mobile terminals. Full article
Show Figures

Figure 1

19 pages, 7761 KB  
Article
A Microchannel Liquid Cold Plate for Cooling Prismatic Lithium-Ion Batteries with High Discharging Rate: Full Numerical Model and Thermal Flows
by Chuang Liu, Deng-Wei Yang, Cheng-Peng Ma, Shang-Xian Zhao, Yu-Xuan Zhou and Fu-Yun Zhao
World Electr. Veh. J. 2026, 17(4), 196; https://doi.org/10.3390/wevj17040196 - 8 Apr 2026
Viewed by 235
Abstract
The thermal safety and longevity of lithium-ion batteries are critically constrained by excessive temperature rise and spatial thermal non-uniformity, particularly during high-rate discharges. Most existing numerical investigations rely on simplified heat generation models that fail to capture the spatiotemporal heterogeneity of electrochemical heat [...] Read more.
The thermal safety and longevity of lithium-ion batteries are critically constrained by excessive temperature rise and spatial thermal non-uniformity, particularly during high-rate discharges. Most existing numerical investigations rely on simplified heat generation models that fail to capture the spatiotemporal heterogeneity of electrochemical heat sources, leading to compromised predictive accuracy. To address this deficiency, this study develops a comprehensive three-dimensional electrochemical–thermal coupled framework, integrating the Newman pseudo-two-dimensional (P2D) electrochemical model with conjugate heat transfer and laminar flow dynamics. The predictive robustness of this framework is rigorously validated against experimental data across multiple discharge rates (3 C and 5 C). The validated model is then deployed to evaluate a water-cooled microchannel cold plate designed for prismatic LiMn2O4/graphite cells under a demanding 5 C discharge. A systematic parametric investigation is conducted to quantify the effects of ambient temperature (293–343 K), microchannel number (2–6), and coolant inlet velocity (0.1–0.6 m/s) on the maximum battery temperature (Tmax) and temperature difference (ΔT). Results demonstrate that the proposed system exhibits exceptional environmental robustness: over a 50 K ambient temperature span, Tmax increases by merely 2.0 K, remaining safely below the 323 K industry limit. Densifying the channel count from 2 to 6 further reduces Tmax by 1.55 K and narrows ΔT to 4.25 K, successfully satisfying the strict 5 K temperature uniformity standard. Furthermore, the thermal benefit of elevating inlet velocity exhibits a pronounced diminishing-return trend governed by the asymptotic reduction in bulk coolant temperature rise, dictating a critical trade-off against the quadratically escalating pumping power. Ultimately, these findings provide robust theoretical guidelines for the rational design of safe and energy-efficient battery thermal management systems. Full article
(This article belongs to the Section Storage Systems)
Show Figures

Figure 1

21 pages, 2743 KB  
Article
SOC and SOH Joint Estimation of Lithium-Ion Batteries Under Dynamic Current Rates Based on Machine Learning
by Mingyu Zhang, Xiaoqiang Dai, Qingjun Zeng, Ye Tian and Xiaohui Xu
Symmetry 2026, 18(4), 623; https://doi.org/10.3390/sym18040623 - 8 Apr 2026
Viewed by 274
Abstract
It is critical to accurately estimate the state of charge (SOC) and state of health (SOH) of lithium-ion batteries to ensure the safety and reliability of marine power systems, where the inherent symmetry of lithium-ion battery charge–discharge dynamics is often disrupted. However, the [...] Read more.
It is critical to accurately estimate the state of charge (SOC) and state of health (SOH) of lithium-ion batteries to ensure the safety and reliability of marine power systems, where the inherent symmetry of lithium-ion battery charge–discharge dynamics is often disrupted. However, the accuracy of conventional methods significantly deteriorates under dynamic current rates induced by fluctuating electrical loads, leading to unreliable SOC and SOH estimates. This article proposes a novel SOC and SOH joint estimation method based on a long short-term memory network with a rate awareness attention mechanism (RAAM-LSTM) and support vector regression optimized by greylag goose algorithm (GGO-SVR). RAAM-LSTM improves SOC estimation accuracy by adaptively weighting enhanced rate-related features. For SOH estimation, the GGO-SVR model incorporates the SOC as a coupling feature and applies physical constraints to ensure consistency with irreversible battery degradation. The comparative experimental results show that the error of the SOC is less than 1.6%, and that of the SOH is less than 0.5%, which are much smaller compared with those of conventional methods. Full article
(This article belongs to the Section Computer)
Show Figures

Figure 1

23 pages, 7010 KB  
Article
Effects of UMP, Choline, and Fish Oil on Synaptic Integrity and Motor Coordination in an Alzheimer’s Disease Mouse Model
by Elif Nedret Keskinoz, Ghazal Footohi, Musa Celik, Dilan Acar, Gokcen Ozgun, Merve Acikel Elmas, İlayda Yavuz, Ece Ada, Efe Sari, Beril Ay, Mehmet Can Unal, İsmail Hakki Ulus, Serap Arbak, Guldal Suyen and Devrim Oz-Arslan
Int. J. Mol. Sci. 2026, 27(8), 3342; https://doi.org/10.3390/ijms27083342 - 8 Apr 2026
Viewed by 435
Abstract
Alzheimer’s disease (AD) is an age-related neurodegenerative disorder characterized by progressive synaptic dysfunction, axonal pathology, and cognitive decline, with the hippocampal circuits showing particular vulnerability during disease progression. However, early-life nutritional interventions may influence long-term synaptic resilience. In this study, we investigated the [...] Read more.
Alzheimer’s disease (AD) is an age-related neurodegenerative disorder characterized by progressive synaptic dysfunction, axonal pathology, and cognitive decline, with the hippocampal circuits showing particular vulnerability during disease progression. However, early-life nutritional interventions may influence long-term synaptic resilience. In this study, we investigated the long-term effects of prenatal and lactational supplementation with choline, UMP, and fish oil in the 5XFAD mouse model. To this end, hippocampal synaptic and axonal pathology was assessed at 3, 6, and 9 months using Western blotting and immunofluorescence to measure synaptophysin, PSD-95, and neurofilament medium chain (NF-M), alongside a multidimensional behavioral battery that evaluated cognitive, affective, motor, and sensory outcomes. Results showed that early-life supplementation did not significantly improve the learning performance decline, increase nociception, or reverse changes in anxiety behavior in transgenic mice. However, it attenuated synaptic decline in transgenic animals by partially preserving synaptophysin and PSD-95 levels and reducing NF-M elevations. These molecular effects were accompanied by selective behavioral modulation, including preserved learning dynamics, altered anxiety-like behavior, and delayed nociceptive hypersensitivity, while late-stage motor impairments remained largely unaffected. Overall, prenatal and lactational supplementation produced modest, age-dependent effects on synaptic markers and partially prevented neurodegenerative progression in the 5XFAD model. Full article
(This article belongs to the Special Issue Molecular Mechanisms of Alzheimer’s Disease)
Show Figures

Figure 1

24 pages, 3818 KB  
Article
A Method for Estimating the State of Health of Aviation Lithium-Ion Batteries Based on an IPSO-ELM Model
by Zhaoyang Zeng, Qingyu Zhu, Changqi Qu, Yan Chen, Zhaoyan Fang, Haochen Wang and Long Xu
Energies 2026, 19(7), 1797; https://doi.org/10.3390/en19071797 - 7 Apr 2026
Viewed by 265
Abstract
Accurate assessment of the State of Health (SOH) is critical for battery management systems in aviation. As a step towards this goal, this study presents a proof-of-concept for a novel SOH estimation method based on an Improved Particle Swarm Optimization-Extreme Learning Machine (IPSO-ELM) [...] Read more.
Accurate assessment of the State of Health (SOH) is critical for battery management systems in aviation. As a step towards this goal, this study presents a proof-of-concept for a novel SOH estimation method based on an Improved Particle Swarm Optimization-Extreme Learning Machine (IPSO-ELM) model, validated under controlled laboratory cycling conditions. Although traditional Extreme Learning Machines (ELM) are widely used due to their fast computation and good generalization, their random parameter initialization often leads to unstable convergence and limited accuracy. To address these limitations, this paper proposes a novel SOH estimation method based on an Improved Particle Swarm Optimization (IPSO) algorithm to optimize the key parameters of ELM. Three health indicators (HI)—constant-current charging time, equal-voltage-drop discharge time, and average discharge voltage—were extracted from charge–discharge curves as model inputs. The IPSO algorithm dynamically adjusts the inertia weight, introduces a constriction factor and a termination counter to enhance global search capability and avoid local optima. Experimental results on open-source datasets (B005, B007, B0018) and laboratory datasets (A001, A002) demonstrate that the proposed IPSO-ELM model achieves a Root-Mean-Square Error (RMSE) below 0.7% and a Mean Absolute Percentage Error (MAPE) below 0.5%. Compared with standard ELM and PSO-ELM models, it significantly outperforms them in accuracy (e.g., for B0018, RMSE is reduced to 0.21% and MAPE to 0.14%), convergence speed, and robustness, establishing a foundation for future development of aviation-ready SOH estimators. Full article
Show Figures

Figure 1

Back to TopTop