Model Predictive Control of Energy Storage System for Suppressing Bus Voltage Fluctuation in PV–Storage DC Microgrid
Abstract
1. Introduction
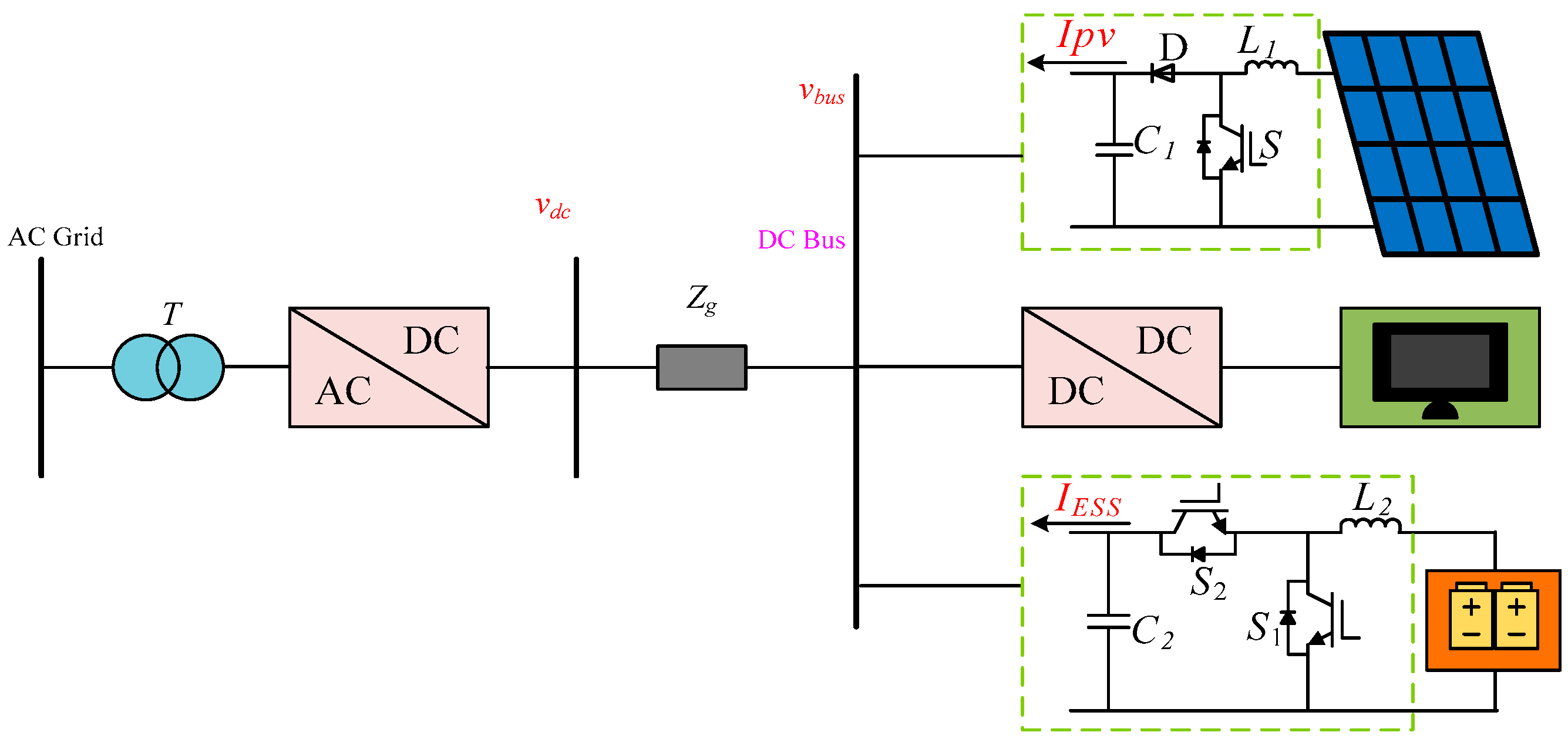
2. System Description and Modeling
3. Model Predictive Control Strategy for ESS
3.1. Establishing the Prediction Model
3.2. Calculation of Control Input Commands
3.3. Model Parameter Correction
3.4. Control Constraints
4. Simulation Verification
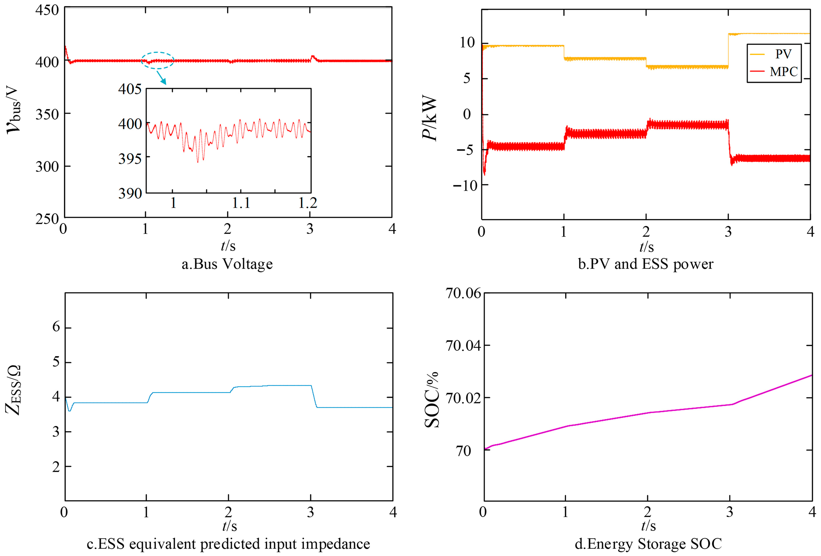
4.1. PV Output Power Fluctuation Test
4.2. Weight Coefficient Adjustment Test
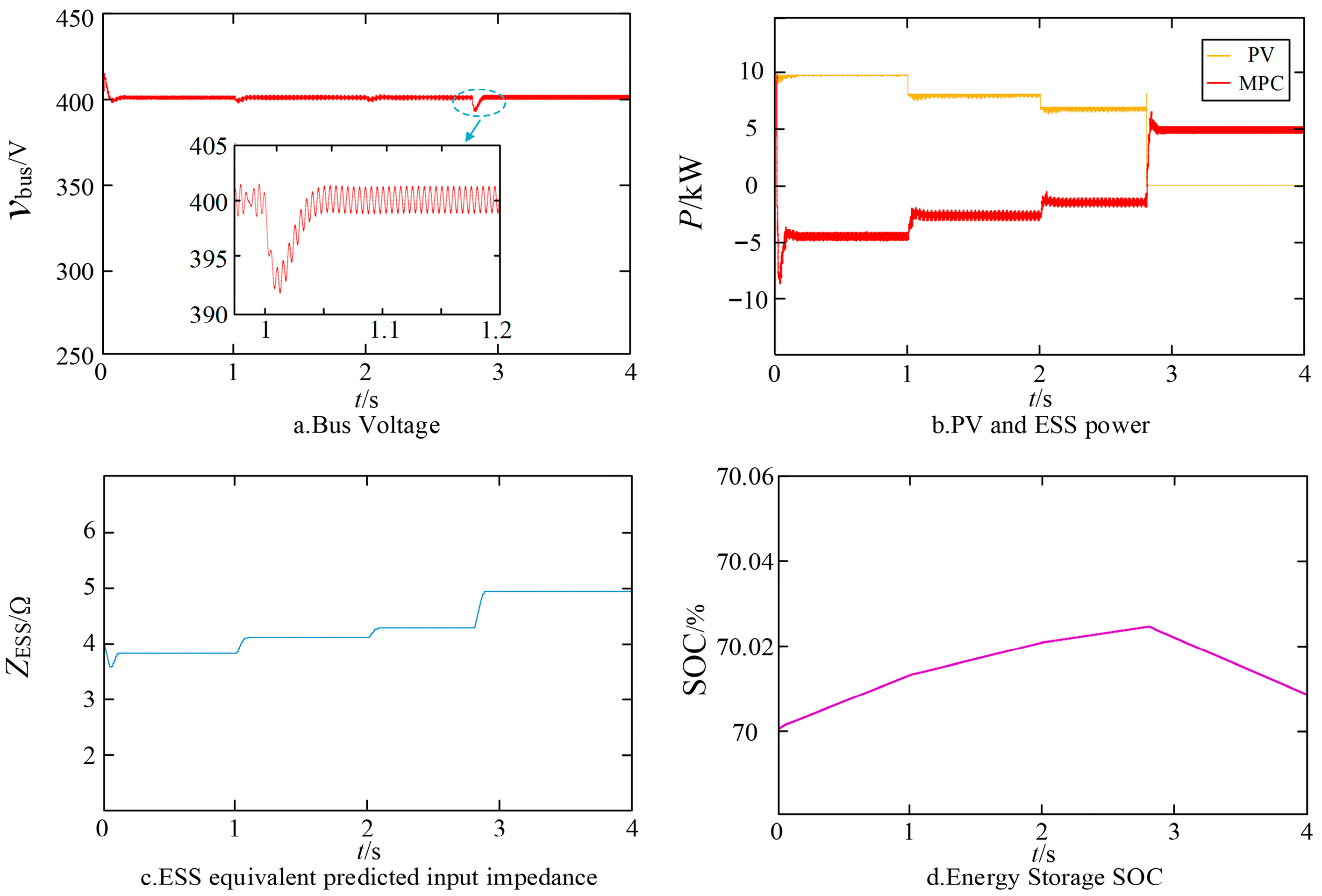
4.3. PV Sudden Power-Off Test
5. Experimental Verification
6. Conclusions
Author Contributions
Funding
Institutional Review Board Statement
Informed Consent Statement
Data Availability Statement
Conflicts of Interest
References
- Hassan, Q.; Viktor, P.; Al-Musawi, T.J.; Ali, B.M.; Algburi, S.; Alzoubi, H.M.; Al-Jiboory, A.K.; Sameen, A.Z.; Salman, H.M.; Jaszczur, M. The renewable energy role in the global energy Transformations. Renew. Energy Focus 2024, 48, 100545. [Google Scholar] [CrossRef]
- Ismaila, Z.; Falode, O.A.; Diji, C.J.; Ikumapayi, O.M.; Awonusi, A.A.; Afolalu, S.A.; Akinlabi, E.T. A global overview of renewable energy strategies. AIMS Energy 2022, 10, 718–775. [Google Scholar] [CrossRef]
- Breyer, C.; Khalili, S.; Bogdanov, D.; Ram, M.; Oyewo, A.S.; Aghahosseini, A.; Gulagi, A.; Solomon, A.A.; Keiner, D.; Lopez, G.; et al. On the history and future of 100% renewable energy systems research. IEEE Access 2022, 10, 78176–78218. [Google Scholar] [CrossRef]
- Qiu, T.; Wang, L.; Lu, Y.; Zhang, M.; Qin, W.; Wang, S.; Wang, L. Potential assessment of photovoltaic power generation in China. Renew. Sustain. Energy Rev. 2022, 154, 111900. [Google Scholar] [CrossRef]
- Hasan, K.; Yousuf, S.B.; Tushar, M.S.H.K.; Das, B.K.; Das, P.; Islam, S. Effects of different environmental and operational factors on the PV performance: A comprehensive review. Energy Sci. Eng. 2022, 10, 656–675. [Google Scholar] [CrossRef]
- Luo, L.; Abdulkareem, S.S.; Rezvani, A.; Miveh, M.R.; Samad, S.; Aljojo, N.; Pazhoohesh, M. Optimal scheduling of a renewable based microgrid considering photovoltaic system and battery energy storage under uncertainty. J. Energy Storage 2020, 28, 101306. [Google Scholar] [CrossRef]
- Wang, P.; Zhang, S.; Pu, Y.; Cao, S.; Zhang, Y. Estimation of photovoltaic power generation potential in 2020 and 2030 using land resource changes: An empirical study from China. Energy 2021, 219, 119611. [Google Scholar] [CrossRef]
- Al-Ismail, F.S. DC microgrid planning, operation, and control: A comprehensive review. IEEE Access 2021, 9, 36154–36172. [Google Scholar] [CrossRef]
- Jabr, R.A. Mixed-integer convex optimization for DC microgrid droop control. IEEE Trans. Power Syst. 2021, 36, 5901–5908. [Google Scholar] [CrossRef]
- Peng, J.; Fan, B.; Liu, W. Voltage-based distributed optimal control for generation cost minimization and bounded bus voltage regulation in DC microgrids. IEEE Trans. Smart Grid 2020, 12, 106–116. [Google Scholar] [CrossRef]
- Liu, X.K.; Wang, Y.W.; Lin, P.; Wang, P. Distributed supervisory secondary control for a DC microgrid. IEEE Trans. Energy Convers. 2020, 35, 1736–1746. [Google Scholar] [CrossRef]
- Kazerani, M.; Tehrani, K. Grid of hybrid AC/DC microgrids: A new paradigm for smart city of tomorrow. In Proceedings of the 2020 IEEE 15th International Conference of System of Systems Engineering (SoSE); IEEE: New York, NY, USA, 2020; pp. 175–180. [Google Scholar]
- Shen, L.; Cheng, Q.; Cheng, Y.; Wei, L.; Wang, Y. Hierarchical control of DC micro-grid for photovoltaic EV charging station based on flywheel and battery energy storage system. Electr. Power Syst. Res. 2020, 179, 106079. [Google Scholar] [CrossRef]
- Vettuparambil, A.; Chatterjee, K.; Fernandes, B.G. A multiport converter interfacing solar photovoltaic modules and energy storage with DC microgrid. IEEE Trans. Ind. Electron. 2020, 68, 3113–3123. [Google Scholar] [CrossRef]
- Sinha, S.; Bajpai, P. Power management of hybrid energy storage system in a standalone DC microgrid. J. Energy Storage 2020, 30, 101523. [Google Scholar] [CrossRef]
- Yan, H.W.; Narang, A.; Tafti, H.D.; Farivar, G.G.; Ceballos, S.; Pou, J. Minimizing energy storage utilization in a stand-alone DC microgrid using photovoltaic flexible power control. IEEE Trans. Smart Grid 2021, 12, 3755–3764. [Google Scholar] [CrossRef]
- Li, Q.; Zhao, F.; Zhuang, L.; Wang, Q.; Wu, C. Research on the control strategy of DC microgrids with distributed energy storage. Sci. Rep. 2023, 13, 20622. [Google Scholar] [CrossRef] [PubMed]
- Shahzad, S.; Abbasi, M.A.; Chaudhry, M.A.; Hussain, M.M. Model predictive control strategies in microgrids: A concise revisit. IEEE Access 2022, 10, 122211–122225. [Google Scholar] [CrossRef]
- Ali, S.U.; Waqar, A.; Aamir, M.; Qaisar, S.M.; Iqbal, J. Model predictive control of consensus-based energy management system for DC microgrid. PLoS ONE 2023, 18, e0278110. [Google Scholar] [CrossRef]
- Nair, U.R.; Sandelic, M.; Sangwongwanich, A.; Dragicevic, T.; Costa-Castello, R.; Blaabjerg, F. An analysis of multi objective energy scheduling in PV-BESS system under prediction uncertainty. IEEE Trans. Energy Convers. 2021, 36, 2276–2286. [Google Scholar] [CrossRef]
- Akpolat, A.N.; Habibi, M.R.; Baghaee, H.R.; Dursun, E.; Kuzucuoglu, A.E.; Yang, Y.; Dragicevic, T.; Blaabjerg, F. Dynamic stabilization of DC microgrids using ANN-based model predictive control. IEEE Trans. Energy Convers. 2021, 37, 999–1010. [Google Scholar] [CrossRef]
- Chen, S.; Yang, Q.; Zhou, J.; Chen, X. A model predictive control method for hybrid energy storage systems. CSEE J. Power Energy Syst. 2021, 7, 329–338. [Google Scholar]
- Xiao, S.; Shadmand, M.B.; Balog, R.S. Model predictive control of multi-string PV systems with battery back-up in a community dc microgrid. In Proceedings of the 2017 IEEE Applied Power Electronics Conference and Exposition (APEC); IEEE: New York, NY, USA, 2017; pp. 1284–1290. [Google Scholar]
- Shan, Y.; Hu, J.; Chan, K.W.; Fu, Q.; Guerrero, J.M. Model predictive control of bidirectional DC-DC converters and AC/DC interlinking converters-A new control method for PV-wind-battery microgrids. IEEE Trans. Sustain. Energy 2018, 10, 1823–1833. [Google Scholar] [CrossRef]








| Parameter | Symbol | Value |
|---|---|---|
| Rated voltage of DC bus/V | 400 | |
| Battery terminal voltage/V | 96 | |
| Rated capacity of battery/Ah | 100 | |
| Energy storage DC-side resistance/Ω | 0.01 | |
| DC-side capacitor for energy storage/F | 1000 | |
| DC-side inductance for energy storage/mH | 3.3 | |
| Initial value of SOC/% | SOC | 70 |
| Rated power of energy storage/kW | PESS-n | 10 |
| Rated power of photovoltaic system/kW | PPV-n | 15 |
| Local DC load power/kW | Pload | 5.5 |
Disclaimer/Publisher’s Note: The statements, opinions and data contained in all publications are solely those of the individual author(s) and contributor(s) and not of MDPI and/or the editor(s). MDPI and/or the editor(s) disclaim responsibility for any injury to people or property resulting from any ideas, methods, instructions or products referred to in the content. |
© 2026 by the authors. Licensee MDPI, Basel, Switzerland. This article is an open access article distributed under the terms and conditions of the Creative Commons Attribution (CC BY) license.
Share and Cite
Chen, M.; Liu, S.; Luo, Z.; Yu, K. Model Predictive Control of Energy Storage System for Suppressing Bus Voltage Fluctuation in PV–Storage DC Microgrid. Sustainability 2026, 18, 3903. https://doi.org/10.3390/su18083903
Chen M, Liu S, Luo Z, Yu K. Model Predictive Control of Energy Storage System for Suppressing Bus Voltage Fluctuation in PV–Storage DC Microgrid. Sustainability. 2026; 18(8):3903. https://doi.org/10.3390/su18083903
Chicago/Turabian StyleChen, Ming, Shui Liu, Zhaoxu Luo, and Kang Yu. 2026. "Model Predictive Control of Energy Storage System for Suppressing Bus Voltage Fluctuation in PV–Storage DC Microgrid" Sustainability 18, no. 8: 3903. https://doi.org/10.3390/su18083903
APA StyleChen, M., Liu, S., Luo, Z., & Yu, K. (2026). Model Predictive Control of Energy Storage System for Suppressing Bus Voltage Fluctuation in PV–Storage DC Microgrid. Sustainability, 18(8), 3903. https://doi.org/10.3390/su18083903
