Sign in to use this feature.

Years

Between: -

Subjects

remove_circle_outline
remove_circle_outline
remove_circle_outline
remove_circle_outline
remove_circle_outline
remove_circle_outline
remove_circle_outline

Journals

Article Types

Countries / Regions

Search Results (13)

Search Parameters:
Keywords = drunk identification

Order results
Result details
Results per page
Select all
Export citation of selected articles as:
16 pages, 3311 KB  
Article
Geographical Origin Authentication of Edible Chrysanthemum morifolium Ramat. (Hangbaiju) Using Stable Isotopes
by Hanyi Mei, Jing Nie, Shu Wang, Yongzhi Zhang, Chunlin Li, Shengzhi Shao, Shanshan Shao, Karyne M. Rogers and Yuwei Yuan
Separations 2023, 10(5), 287; https://doi.org/10.3390/separations10050287 - 3 May 2023
Cited by 9 | Viewed by 2379
Abstract
Chrysanthemum morifolium Ramat., known as Hangbaiju (HBJ), is a high-value edible, medicinal product where the flowers are infused in hot water and drunk as tea. Its quality and efficacy are closely related to its geographical origin. Consequently, it is vulnerable to fraudulent substitution [...] Read more.
Chrysanthemum morifolium Ramat., known as Hangbaiju (HBJ), is a high-value edible, medicinal product where the flowers are infused in hot water and drunk as tea. Its quality and efficacy are closely related to its geographical origin. Consequently, it is vulnerable to fraudulent substitution by other lower-value Chrysanthemum products. In this study, cultivation (variety and different growth stages) and isotopic fractionation between the flower, stem, and leaf were studied. Samples from four different HBJ varieties were characterized using stable isotopes (δ13C, δ15N, δ2H, δ18O, %C, and %N) across three producing regions in Zhejiang province, China. The results showed that there were no significant differences in stable isotopic compositions for different HBJ varieties, but there were significant differences for different plant tissues (flower, stem, leaf, etc.). Furthermore, the stable isotopic composition altered dramatically at different growth stages. The δ15N (r = 0.6809) and δ2H (r = 0.6102) correlations between stems and leaves (SL) and flowers (F) of HBJ were relatively good, the δ13C correlation (r = 0.2636) between SL and F was weak, but δ18O correlation (r = 0.01) had almost no correlation. A supervised multivariate statistical model (partial least squares discriminant analysis, PLS-DA) was used to discriminate three different producing regions with high accuracy (66.7%, 66.7%, and 100%, respectively). Our findings show that stable isotopes combined with multivariate statistical analysis provide an effective method for the geographical identification of HBJ. Full article
Show Figures

Figure 1

16 pages, 389 KB  
Article
Taste Preference-Related Genetic Polymorphisms Modify Alcohol Consumption Behavior of the Hungarian General and Roma Populations
by Ali Abbas Mohammad Kurshed, Ferenc Vincze, Péter Pikó, Zsigmond Kósa, János Sándor, Róza Ádány and Judit Diószegi
Genes 2023, 14(3), 666; https://doi.org/10.3390/genes14030666 - 7 Mar 2023
Cited by 4 | Viewed by 3014
Abstract
Harmful alcohol consumption has been considered a major public health issue globally, with the amounts of alcohol drunk being highest in the WHO European Region including Hungary. Alcohol consumption behaviors are complex human traits influenced by environmental factors and numerous genes. Beyond alcohol [...] Read more.
Harmful alcohol consumption has been considered a major public health issue globally, with the amounts of alcohol drunk being highest in the WHO European Region including Hungary. Alcohol consumption behaviors are complex human traits influenced by environmental factors and numerous genes. Beyond alcohol metabolization and neurotransmitter gene polymorphisms, taste preference-related genetic variants may also mediate alcohol consumption behaviors. Applying the Alcohol Use Disorders Identification Test (AUDIT) we aimed to elucidate the underlying genetic determinants of alcohol consumption patterns considering taste preference gene polymorphisms (TAS1R3 rs307355, TAS2R38 rs713598, TAS2R19 rs10772420 and CA6 rs2274333) in the Hungarian general (HG) and Roma (HR) populations. Alcohol consumption assessment was available for 410 HG and 387 HR individuals with 405 HG and 364 HR DNA samples being obtained for genotyping. No significant associations were found between TAS1R3 rs307355, TAS2R19 rs10772420, and CA6 rs2274333 polymorphisms and alcohol consumption phenotypes. Significant associations were identified between TAS2R38 rs713598 and the number of standard drinks consumed in the HG sample (genotype GG negatively correlated with the number of standard drinks; coef: −0.136, p = 0.028) and the prevalence of having six or more drinks among Roma (a negative correlation was identified in the recessive model; genotype GG, coef: −0.170, p = 0.049), although, none of these findings passed the Bonferroni-corrected probability criterion (p > 0.05). Nevertheless, our findings may suggest that alcohol consumption is partially driven by genetically determined taste preferences in our study populations. Further studies are required to strengthen the findings and to understand the drivers of alcohol consumption behavior in more depth. Full article
(This article belongs to the Special Issue Advances in Genetics of Psychiatric Disorder)
13 pages, 3747 KB  
Article
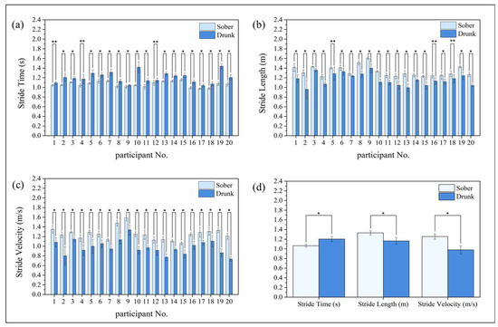
A Deep-Learning Approach for Identifying a Drunk Person Using Gait Recognition
by Suah Park, Byunghoon Bae, Kyungmin Kang, Hyunjee Kim, Mi Song Nam, Jumyung Um and Yun Jung Heo
Appl. Sci. 2023, 13(3), 1390; https://doi.org/10.3390/app13031390 - 20 Jan 2023
Cited by 8 | Viewed by 7568
Abstract
Various accidents caused by alcohol consumption have recently increased in prevalence and have become a huge social problem. There have been efforts to identify drunk individuals using mobile devices; however, it is difficult to apply this method to a large number of people. [...] Read more.
Various accidents caused by alcohol consumption have recently increased in prevalence and have become a huge social problem. There have been efforts to identify drunk individuals using mobile devices; however, it is difficult to apply this method to a large number of people. A promising approach that does not involve wearing any sensors or subject cooperation is a markerless, vision-based method that only requires a camera to classify a drunk gait. Herein, we first propose a markerless, vision-based method to determine whether a human is drunk or not based on his or her gait pattern. We employed a convolutional neural network to analyze gait patterns with image augmentation depending on gait energy images. Gait images captured through a camera allow a complex neural network to detect the human body shape accurately. It is necessary for removing the background behind human shape in the gait image because it disrupts the detection algorithm. A process of conversion into gait energy images and augmenting image data is then applied to the dataset of the gait images. A total of 20 participants participated in the experiment. They were required to walk along a line both with and without wearing the Drunk Busters Goggles, which were intended to collect sober and drunk gait images. Validation accuracy for the recognition of a drunk state in 20 persons was approximately 74.94% under optimal conditions. If the present approach fulfills its promise, we can prevent safety accidents due to alcohol, thus decreasing its burden on industries and society. Full article
Show Figures

Figure 1

14 pages, 2934 KB  
Article
Thermal Biometric Features for Drunk Person Identification Using Multi-Frame Imagery
by Georgia Koukiou
Electronics 2022, 11(23), 3924; https://doi.org/10.3390/electronics11233924 - 27 Nov 2022
Cited by 5 | Viewed by 3753
Abstract
In this work, multi-frame thermal imagery of the face of a person is employed for drunk identification. Regions with almost constant temperature on the face of sober and drunk persons are thoroughly examined for their capability to discriminate intoxication. Novel image processing approaches [...] Read more.
In this work, multi-frame thermal imagery of the face of a person is employed for drunk identification. Regions with almost constant temperature on the face of sober and drunk persons are thoroughly examined for their capability to discriminate intoxication. Novel image processing approaches as well as feature extraction techniques are developed to support the drunk identification procedure. These techniques constitute novel ideas in the theory of image analysis and algorithm development. Nonlinear anisotropic diffusion is employed for a light smoothing on the images before feature extraction. Feature vector extraction is based on morphological operations performed on the isothermal regions on the face. The classifier chosen to verify the drunk person discrimination capabilities of the procedure is a Support Vector Machine (SVM). Obviously, the isothermal regions on the face change their shape and size with alcohol consumption. Consequently, intoxication identification can be carried out based only on the thermal signatures of the drunk person, while the signature of the corresponding sober person is not needed. A sample of 41 participants who drank in a controlled alcohol consumption procedure was employed for creating the database, which contains 4100 thermal images. The proposed method for intoxication identification achieves a success rate of over 86% and constitutes a fast non-invasive test that can replace existing breathalyzer check up. Full article
Show Figures

Figure 1

13 pages, 1556 KB  
Article
An Intelligent Online Drunk Driving Detection System Based on Multi-Sensor Fusion Technology
by Juan Liu, Yang Luo, Liang Ge, Wen Zeng, Ziyang Rao and Xiaoting Xiao
Sensors 2022, 22(21), 8460; https://doi.org/10.3390/s22218460 - 3 Nov 2022
Cited by 12 | Viewed by 9322
Abstract
Since drunk driving poses a significant threat to road traffic safety, there is an increasing demand for the performance and dependability of online drunk driving detection devices for automobiles. However, the majority of current detection devices only contain a single sensor, resulting in [...] Read more.
Since drunk driving poses a significant threat to road traffic safety, there is an increasing demand for the performance and dependability of online drunk driving detection devices for automobiles. However, the majority of current detection devices only contain a single sensor, resulting in a low degree of detection accuracy, erroneous judgments, and car locking. In order to solve the problem, this study firstly designed a sensor array based on the gas diffusion model and the characteristics of a car steering wheel. Secondly, the data fusion algorithm is proposed according to the data characteristics of the sensor array on the steering wheel. The support matrix is used to improve the data consistency of the single sensor data, and then the adaptive weighted fusion algorithm is used for multiple sensors. Finally, in order to verify the reliability of the system, an online intelligent detection device for drunk driving based on multi-sensor fusion was developed, and three people using different combinations of drunk driving simulation experiments were conducted. According to the test results, a drunk person in the passenger seat will not cause the system to make a drunk driving determination. When more than 50 mL of alcohol is consumed and the driver is seated in the driver’s seat, the online intelligent detection of drunk driving can accurately identify drunk driving, and the car will lock itself as soon as a real-time online voice prompt is heard. This study enhances and complements theories relating to data fusion for online automobile drunk driving detection, allowing for the online identification of drivers who have been drinking and the locking of their vehicles to prevent drunk driving. It provides technical support for enhancing the accuracy of online systems that detect drunk driving in automobiles. Full article
(This article belongs to the Special Issue Chemical Sensors for Measurement Systems)
Show Figures

Figure 1

24 pages, 7407 KB  
Article
Drunkard Adaptive Walking Chaos Wolf Pack Algorithm in Parameter Identification of Photovoltaic Module Model
by Husheng Wu, Qiang Peng, Meimei Shi, Lining Xing and Shi Cheng
Energies 2022, 15(17), 6340; https://doi.org/10.3390/en15176340 - 30 Aug 2022
Cited by 3 | Viewed by 2079
Abstract
The rapid and accurate identification of photovoltaic (PV) model parameters is of great significance in solving practical engineering problems such as PV power prediction, maximum power point tracking and battery failure model recognition. Aiming at the shortcomings of low accuracy and poor reliability [...] Read more.
The rapid and accurate identification of photovoltaic (PV) model parameters is of great significance in solving practical engineering problems such as PV power prediction, maximum power point tracking and battery failure model recognition. Aiming at the shortcomings of low accuracy and poor reliability and being easy to fall into local optimization when standard intelligent optimization algorithms identify PV model parameters, a novel drunken adaptive walking chaotic wolf swarm algorithm is proposed, which is named DCWPA for short. The DCWPA uses the chaotic map sequence to initialize the population, thus to improve the diversity of the initial population. It adopts the walking direction mechanism based on the drunk walking model and the adaptive walking step size to increase the randomness of walking, enhance the individual’s ability to explore and develop and improve the ability of algorithm optimization. It also designs the judgment conditions for half siege in order to accelerate the convergence of the algorithm and improve the speed of the algorithm. In the iterative process, according to the change of the optimal solution, the Hamming Distance is used to judge the similarity of individuals in the population, and the individuals in the population are constantly updated to avoid the algorithm from stopping evolution prematurely due to falling into local optimization. This paper firstly analyzes the time complexity of the algorithm, and then selects eight standard test functions (Benchmark) with different characteristics to verify the performance of the DCWPA algorithm for continuous optimization, and finally the improved algorithm is applied for parameter identification of PV models. The experiments show that the DCWPA has higher identification accuracy than other algorithms, and the results are more consistent with the measured data. Thus, the effectiveness and superiority of the improved algorithm in identifying solar cell parameters are verified, and the identification effect of the improved algorithm on solar cell parameters under different illumination is shown. This research provides a new idea and method for parameter identification of a PV module model. Full article
(This article belongs to the Section F: Electrical Engineering)
Show Figures

Figure 1

21 pages, 379 KB  
Article
Participation in Bullying and Associated Health Characteristics, Risk Factors and Leisure Activities: A Profile of School-Age Children in Serbia
by Milena Santric-Milicevic, Aleksandar Stevanovic, Nevena Popovac, Filip Milanovic, Suncica Dedovic, Marija Zdravkovic, Nenad Bjelica, Ratko Tomasevic, Jovana Todorovic, Zorica Terzic-Supic, Biljana Obradovic-Tomasevic, Vladimir Milovanovic, Natasa Radosavljevic and Dejan Nikolic
Int. J. Environ. Res. Public Health 2022, 19(15), 9159; https://doi.org/10.3390/ijerph19159159 - 27 Jul 2022
Cited by 6 | Viewed by 2675
Abstract
The aim of this study was to examine the prevalence and association of school-age children’s participation in bullying, focusing on their health characteristics, risk factors, and leisure activities. We performed a secondary analysis of the original data of the 2017 HBSC study to [...] Read more.
The aim of this study was to examine the prevalence and association of school-age children’s participation in bullying, focusing on their health characteristics, risk factors, and leisure activities. We performed a secondary analysis of the original data of the 2017 HBSC study to examine participation in bullying once and multiple times among school-age children in Serbia. For this purpose, a nationally representative sample of 3267 children from 64 primary and high schools in the Republic of Serbia was evaluated. The outcome variable of interest in our study was participation in bullying. Further groups of individual variables such as health characteristics, risk factors, and leisure activities were assessed. Multivariate regression analysis indicated that children who felt everyday stomach pain, irritability or bad mood, and nervousness were more likely to participate in bullying at least once compared with those who rarely or never had such symptoms by 1.46, 1.58, and 1.58 times, respectively. School-age children who reported being drunk two to three times, and four or more times in life were more likely to participate in bullying than those who reported never being drunk by 1.53 and 1.74 times, respectively. Children who reported to watch TV or other media for five or more hours per day were 2.34 times more likely to be involved in bullying at least once. Multiple regression analysis showed that students with daily stomach pain, back pain, nervousness, and dizziness were more likely to be involved in multiple bullying by 1.16, 1.62, 1.82, and 1.70 times, respectively. Students who had nightly meetings or reported being drunk four or more times in the last 30 days were more likely to be involved in multiple bullying by 2.54 and 3.47, respectively. Students who reported playing games five or more times per day were 2.70 times more likely to be involved in this multiple bullying. This study highlights the importance of professional and family education programmes for early identification of specific health symptoms in the pediatric population, as well as integration with interventions aimed at reducing alcohol abuse among school-age children. Full article
13 pages, 832 KB  
Commentary
Researching Mitigation of Alcohol Binge Drinking in Polydrug Abuse: KCNK13 and RASGRF2 Gene(s) Risk Polymorphisms Coupled with Genetic Addiction Risk Severity (GARS) Guiding Precision Pro-Dopamine Regulation
by Kenneth Blum, Mark S. Brodie, Subhash C. Pandey, Jean Lud Cadet, Ashim Gupta, Igor Elman, Panayotis K. Thanos, Marjorie C. Gondre-Lewis, David Baron, Shan Kazmi, Abdalla Bowirrat, Marcelo Febo, Rajendra D. Badgaiyan, Eric R. Braverman, Catherine A. Dennen and Mark S. Gold
J. Pers. Med. 2022, 12(6), 1009; https://doi.org/10.3390/jpm12061009 - 20 Jun 2022
Cited by 10 | Viewed by 3839
Abstract
Excessive alcohol intake, e.g., binge drinking, is a serious and mounting public health problem in the United States and throughout the world. Hence the need for novel insights into the underlying neurobiology that may help improve prevention and therapeutic strategies. Therefore, our group [...] Read more.
Excessive alcohol intake, e.g., binge drinking, is a serious and mounting public health problem in the United States and throughout the world. Hence the need for novel insights into the underlying neurobiology that may help improve prevention and therapeutic strategies. Therefore, our group employed a darkness-induced alcohol intake protocol to define the reward deficiency domains of alcohol and other substance use disorders in terms of reward pathways’ reduced dopamine signaling and its restoration via specifically-designed therapeutic compounds. It has been determined that KCNK13 and RASGRF2 genes, respectively, code for potassium two pore domain channel subfamily K member 13 and Ras-specific guanine nucleotide-releasing factor 2, and both genes have important dopamine-related functions pertaining to alcohol binge drinking. We present a hypothesis that identification of KCNK13 and RASGRF2 genes’ risk polymorphism, coupled with genetic addiction risk score (GARS)-guided precision pro-dopamine regulation, will mitigate binge alcohol drinking. Accordingly, we review published reports on the benefits of this unique approach and provide data on favorable outcomes for both binge-drinking animals and drunk drivers, including reductions in alcohol intake and prevention of relapse to drinking behavior. Since driving under the influence of alcohol often leads to incarceration rather than rehabilitation, there is converging evidence to support the utilization of GARS with or without KCNK13 and RASGRF2 risk polymorphism in the legal arena, whereby the argument that “determinism” overrides the “free will” account may be a plausible defense strategy. Obviously, this type of research is tantamount to helping resolve a major problem related to polydrug abuse. Full article
Show Figures

Figure 1

18 pages, 397 KB  
Article
Car/Motorbike Drivers’ Willingness to Use and to Pay for Alcohol Interlock in Taiwan
by Rong-Chang Jou and Yi-Hao Lu
Int. J. Environ. Res. Public Health 2021, 18(21), 11516; https://doi.org/10.3390/ijerph182111516 - 2 Nov 2021
Cited by 2 | Viewed by 2683
Abstract
This study explored the important factors affecting drunk car/motorbike drivers’ willingness to use and pay for alcohol interlocks. Data were obtained through a survey upon choice-based sampling conducted in central Taiwan. Questionnaires were distributed to the participants of drunk driving and road safety [...] Read more.
This study explored the important factors affecting drunk car/motorbike drivers’ willingness to use and pay for alcohol interlocks. Data were obtained through a survey upon choice-based sampling conducted in central Taiwan. Questionnaires were distributed to the participants of drunk driving and road safety education courses from 17 August to 26 October 2020. All drunk drivers whose driver’s licenses are revoked for drunk driving are mandated to participate in this course. Prior to the survey, the researchers explained the questionnaires, instructed the participants to complete the questionnaires, and then collected all the questionnaires. The socioeconomic characteristics of drunk drivers, awareness of alcohol interlocks and drunk driving, drinking patterns and health self-assessment before and after drunk driving ban enforcement, and changes in the number of trips were investigated. This study applied the double-hurdle model for data analysis to estimate the variables affecting drunk car/motorbike drivers. Results indicate that the respondents who were classified by the Alcohol Use Disorders Identification Test as high-risk drinkers before and after drunk driving ban enforcement were more willing to use alcohol interlocks and to pay higher prices. Additionally, the respondents with declined health self-assessments were also more willing to use alcohol interlocks and pay higher prices. This study suggests offering subsidies for alcohol interlocks to families with financial difficulties, in order to increase the alcohol interlock installation rate. Moreover, since the current duration of license suspension and withdrawal is considerably long, drunk drivers avoid using and installing alcohol interlocks by reducing the number of trips. In other words, the willingness to install alcohol interlocks may be increased by reducing the duration of license suspension and withdrawal. Full article
(This article belongs to the Special Issue Tobacco and Alcohol and Its Related Diseases and or Injuries)
12 pages, 371 KB  
Article
Knowledge and Practice towards Alcohol Consumption in a Sample of University Students
by Marisa Patrizia Messina, Gemma Battagliese, Alessio D’Angelo, Rosaria Ciccarelli, Fabiola Pisciotta, Luigi Tramonte, Marco Fiore, Giampiero Ferraguti, Mario Vitali and Mauro Ceccanti
Int. J. Environ. Res. Public Health 2021, 18(18), 9528; https://doi.org/10.3390/ijerph18189528 - 10 Sep 2021
Cited by 25 | Viewed by 8629 | Correction
Abstract
Objective: Alcohol affects many human systems and is involved in the pathogenesis of other diseases. Particular attention must be paid to alcohol consumption among young people. It has been shown that 25% of young people’s deaths are attributable to alcohol, and around 35 [...] Read more.
Objective: Alcohol affects many human systems and is involved in the pathogenesis of other diseases. Particular attention must be paid to alcohol consumption among young people. It has been shown that 25% of young people’s deaths are attributable to alcohol, and around 35 million people aged over 11 had consumed at least one alcoholic beverage in 2015. Study Design: Young people aged 18–24 were the most vulnerable to binge drinking in Italy, and 50.6% of teenagers drunk alcohol. Only a few studies in the literature have investigated those habits in university students. This study aims to examine alcohol use habits in a population of university students in Italy. Methods: Between 2018 and 2019, an anonymous online questionnaire was randomly sent to university students from 17 different universities in a network of research centres to study alcohol use disorders. The survey included socio-demographic information, questions about alcohol use, knowledge about alcohol consumption, and related risks. Used questionnaires were the Alcohol Use Disorders Identification Test-Consumption (AUDIT-C) and the Drinking Motive Questionnaire-Revised (DMQ-R). Results: the AUDIT-C revealed that 53.3% of students were high-risk drinkers. Regarding binge drinking habits, 13.1% of students admitted to binge drinking behavior at least once a month. In our sample, male students are more likely to be low-risk drinkers than female peers (p < 0.008). Students from northern Italy are more likely to be high-risk drinkers (p = 0.003). Beer (65.9%) and wine (60.9%) were the most consumed alcoholic beverages. The most common places to drink alcohol were pubs (85.5%). The most likely motivations to drink alcohol were enhancement (40.43%), social (38.39%), coping (15.63%), and social pressure or conformity (5.55%). Only 43.8% of participants reported having attended an educational course on alcohol. Conclusions: University students were not fully aware of the implications of alcohol misuse and will be part of the adult society as critical figures and future leaders. It is imperative to inform students about alcohol consumption risks and investigate the motivations to drink. Stress, anxiety, and social pressure are only a few issues young people are exposed to. Special attention must be paid to young people and their coping strategies that involve substance abuse by using educative, preventive, and motivational approaches. Full article
10 pages, 495 KB  
Article
Adolescents’ Alcohol Use in Botellon and Attitudes towards Alcohol Use and Prevention Policies
by Elena Gervilla, Zara Quigg, Mariàngels Duch, Montse Juan and Clarisse Guimarães
Int. J. Environ. Res. Public Health 2020, 17(11), 3885; https://doi.org/10.3390/ijerph17113885 - 30 May 2020
Cited by 10 | Viewed by 4866
Abstract
Alcohol is a common drug misused by young people worldwide. Previous studies have found that attitudes towards heavy consumption are stronger predictors than general norms concerning alcohol. This study aims to explore adolescents’ alcohol use and drunkenness, to understand adolescents’ attitudes towards alcohol [...] Read more.
Alcohol is a common drug misused by young people worldwide. Previous studies have found that attitudes towards heavy consumption are stronger predictors than general norms concerning alcohol. This study aims to explore adolescents’ alcohol use and drunkenness, to understand adolescents’ attitudes towards alcohol use, drunkenness and prevention approaches, and to explore associations between attitudes and personal alcohol use and demographics. Methods: Cross-sectional face-to-face survey of 410 adolescents (61.2% women) who were socializing at night in the streets of Palma (Spain). Breath Alcohol Concentration (BrAC), self-reported measures of alcohol use and social variables were assessed. Results: 70.7% of respondents had a BrAC score higher than 0. The full sample reported having a mean of 3.9 drunk episodes in the last month, and a mean of 7.34 in Alcohol Use Disorders Identification Test (AUDIT). A total of 30.7% were under the minimum age limit for alcohol drinking in Spain and males showed higher BrAC than females. Bivariate analyses identified some differences in attitudes across participant demographics and personal alcohol use. In conclusion, we found high levels of alcohol use and drunkenness amongst adolescents, and adolescents’ attitudes towards drunkenness and prevention approaches were associated with their alcohol consumption as well as with age. Full article
(This article belongs to the Special Issue Risk Factors for Adolescent Substance Use and Addictive Behaviors)
Show Figures

Figure 1

17 pages, 2644 KB  
Article
Classification of Fatigued and Drunk Driving Based on Decision Tree Methods: A Simulator Study
by Ying Yao, Xiaohua Zhao, Hongji Du, Yunlong Zhang, Guohui Zhang and Jian Rong
Int. J. Environ. Res. Public Health 2019, 16(11), 1935; https://doi.org/10.3390/ijerph16111935 - 31 May 2019
Cited by 25 | Viewed by 5231
Abstract
It is a commonly known fact that both alcohol and fatigue impair driving performance. Therefore, the identification of fatigue and drinking status is very important. In this study, each of the 22 participants finished five driving tests in total. The control condition, serving [...] Read more.
It is a commonly known fact that both alcohol and fatigue impair driving performance. Therefore, the identification of fatigue and drinking status is very important. In this study, each of the 22 participants finished five driving tests in total. The control condition, serving as the benchmark in the five driving tests, refers to alert driving. The other four test conditions include driving with three blood alcohol content (BAC) levels (0.02%, 0.05%, and 0.08%) and driving in a fatigued state. The driving scenario included straight and curved roads. The straight roads connected the curved ones with radii of 200 m, 500 m, and 800 m with two turning directions (left and right). Driving performance indicators such as the average and standard deviation of longitudinal speed and lane position were selected to identify drunk driving and fatigued driving. In the process of identification, road geometry (straight segments, radius, and direction of curves) was also taken into account. Alert vs. abnormal and fatigued vs. drunk driving with various BAC levels were analyzed separately using the Classification and Regression Tree (CART) model, and the significance of the variables on the binary response variable was determined. The results showed that the decision tree could be used to distinguish normal driving from abnormal driving, fatigued driving, and drunk driving based on the indexes of vehicle speed and lane position at curves with different radii. The overall accuracy of classification of “alert” and “abnormal” driving was 90.9%, and that of “fatigued” and “drunk” driving was 94.4%. The accuracy was relatively low in identifying different BAC degrees. This experiment is designed to provide a reference for detecting dangerous driving states. Full article
Show Figures

Figure 1

47 pages, 228 KB  
Review
Biomolecules and Biomarkers Used in Diagnosis of Alcohol Drinking and in Monitoring Therapeutic Interventions
by Radu M. Nanau and Manuela G. Neuman
Biomolecules 2015, 5(3), 1339-1385; https://doi.org/10.3390/biom5031339 - 29 Jun 2015
Cited by 92 | Viewed by 17265
Abstract
Background: The quantitative, measurable detection of drinking is important for the successful treatment of alcohol misuse in transplantation of patients with alcohol disorders, people living with human immunodeficiency virus that need to adhere to medication, and special occupational hazard offenders, many of whom [...] Read more.
Background: The quantitative, measurable detection of drinking is important for the successful treatment of alcohol misuse in transplantation of patients with alcohol disorders, people living with human immunodeficiency virus that need to adhere to medication, and special occupational hazard offenders, many of whom continually deny drinking. Their initial misconduct usually leads to medical problems associated with drinking, impulsive social behavior, and drunk driving. The accurate identification of alcohol consumption via biochemical tests contributes significantly to the monitoring of drinking behavior. Methods: A systematic review of the current methods used to measure biomarkers of alcohol consumption was conducted using PubMed and Google Scholar databases (2010–2015). The names of the tests have been identified. The methods and publications that correlate between the social instruments and the biochemical tests were further investigated. There is a clear need for assays standardization to ensure the use of these biochemical tests as routine biomarkers. Findings: Alcohol ingestion can be measured using a breath test. Because alcohol is rapidly eliminated from the circulation, the time for detection by this analysis is in the range of hours. Alcohol consumption can alternatively be detected by direct measurement of ethanol concentration in blood or urine. Several markers have been proposed to extend the interval and sensitivities of detection, including ethyl glucuronide and ethyl sulfate in urine, phosphatidylethanol in blood, and ethyl glucuronide and fatty acid ethyl esters in hair, among others. Moreover, there is a need to correlate the indirect biomarker carbohydrate deficient transferrin, which reflects longer lasting consumption of higher amounts of alcohol, with serum γ-glutamyl transpeptidase, another long term indirect biomarker that is routinely used and standardized in laboratory medicine. Full article
(This article belongs to the Special Issue Multi-Organ Alcohol-Related Damage: Mechanisms and Treatment)
Back to TopTop