Geographical Origin Authentication of Edible Chrysanthemum morifolium Ramat. (Hangbaiju) Using Stable Isotopes
Abstract
1. Introduction
2. Materials and Methods
2.1. Sample Collection and Preparation
2.2. Stable Isotope Analysis
2.3. Data Statistics and Analysis
3. Results and Discussion
3.1. Stable Isotopes of Different HBJ Cultivars (Single Location)
3.2. Stable Isotopes of EBF and MBF (Single Location)
3.3. Stable Isotope Variations between Ten Different HBJ Growth Stages (Single Location)
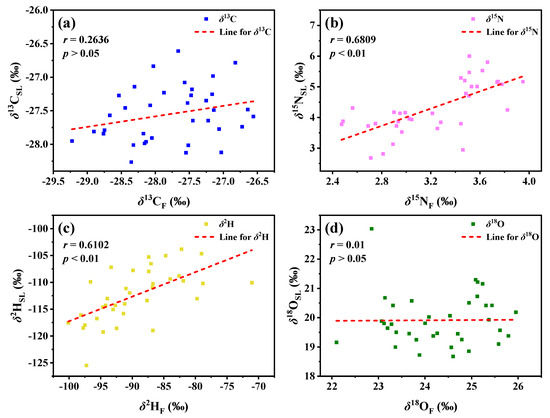
3.4. Stable Isotopes of HBJ Stem/Leaf and Flower (Single Location)
3.5. Geographical Authentication of HBJ Samples from Three Different Producing Regions
4. Conclusions
Supplementary Materials
Author Contributions
Funding
Data Availability Statement
Acknowledgments
Conflicts of Interest
References
- Lu, C.; Li, Y.; Wang, J.; Qu, J.; Chen, Y.; Chen, X.; Huang, H.; Dai, S. Flower color classification and correlation between color space values with pigments in potted multiflora chrysanthemum. Sci. Hortic. 2021, 283, 110082. [Google Scholar] [CrossRef]
- Wang, T.; Guo, Q.-S.; Mao, P.-F. Flavonoid accumulation during florescence in three Chrysanthemum morifolium Ramat cv. ‘Hangju’ genotypes. Biochem. Syst. Ecol. 2014, 55, 79–83. [Google Scholar] [CrossRef]
- Yu, Q.; Chen, W.; Zhong, J.; Qing, D.; Yan, C. Structural elucidation of three novel oligosaccharides from Kunlun Chrysanthemum flower tea and their bioactivities. Food Chem. Toxicol. 2021, 149, 112032. [Google Scholar] [CrossRef] [PubMed]
- Yuan, H.; Jiang, S.; Liu, Y.; Daniyal, M.; Jian, Y.; Peng, C.; Shen, J.; Liu, S.; Wang, W. The flower head of Chrysanthemum morifolium Ramat. (Juhua): A paradigm of flowers serving as Chinese dietary herbal medicine. J. Ethnopharmacol. 2020, 261, 113043. [Google Scholar] [CrossRef] [PubMed]
- Lee, D.Y.; Choi, G.; Yoon, T.; Cheon, M.S.; Choo, B.K.; Kim, H.K. Anti-inflammatory activity of Chrysanthemum indicum extract in acute and chronic cutaneous inflammation. J. Ethnopharmacol. 2009, 123, 149–154. [Google Scholar] [CrossRef]
- Lii, C.-K.; Lei, Y.-P.; Yao, H.-T.; Hsieh, Y.-S.; Tsai, C.-W.; Liu, K.-L.; Chen, H.-W. Chrysanthemum morifolium Ramat. reduces the oxidized LDL-induced expression of intercellular adhesion molecule-1 and E-selectin in human umbilical vein endothelial cells. J. Ethnopharmacol. 2010, 128, 213–220. [Google Scholar] [CrossRef]
- Rusu, M.A.; Tamas, M.; Puica, C.; Roman, I.; Sabadas, M. The hepatoprotective action of ten herbal extracts in CCl4 intoxicated liver. Phytother. Res. 2005, 19, 744–749. [Google Scholar] [CrossRef]
- Ukiya, M.; Akihisa, T.; Tokuda, H.; Suzuki, H.; Mukainaka, T.; Ichiishi, E.; Nishino, H. Constituents of compositae plants III. antitumor promoting effects and cytotoxic activity against human cancer cell lines of triterpenediols and triols from edible chrysanthemum flowers. Cancer Lett. 2002, 177, 7–12. [Google Scholar] [CrossRef]
- Zhang, L. The Trace and Authentication Technologies on Plant Derived Agricultural Products. Doctor’s Thesis, Zhejiang University, Hangzhou, China, 2012. [Google Scholar]
- Yan, K.R. Virus Identification and Analysis of Yield and Quality of Virus-Free Plantlets at Different Generations on Chrysanthemun Morifolium. Master’s Thesis, Zhejiang University, Hangzhou, China, 2021. [Google Scholar]
- Calvi, M.; Bontempo, L.; Pizzini, S.; Cucinotta, L.; Camin, F.; Stenni, B. Isotopic Characterization of Italian Industrial Hemp (Cannabis sativa L.) Intended for Food Use: A First Exploratory Study. Separations 2022, 9, 136. [Google Scholar] [CrossRef]
- Camin, F.; Boner, M.; Bontempo, L.; Fauhl-Hassek, C.; Kelly, S.D.; Riedl, J.; Rossmann, A. Stable isotope techniques for verifying the declared geographical origin of food in legal cases. Trends Food Sci. Technol. 2017, 61, 176–187. [Google Scholar]
- Kelly, S.; Heaton, K.; Hoogewerff, J. Tracing the geographical origin of food: The application of multi-element and multi-isotope analysis. Trends Food Sci. Technol. 2005, 16, 555–567. [Google Scholar] [CrossRef]
- Versari, A.; Laurie, V.F.; Ricci, A.; Laghi, L.; Parpinello, G.P. Progress in authentication, typification and traceability of grapes and wines by chemometric approaches. Food Res. Int. 2014, 60, 2–18. [Google Scholar] [CrossRef]
- Li, C.; Nie, J.; Zhang, Y.; Shao, S.; Liu, Z.; Rogers, K.M.; Zhang, W.; Yuan, Y. Geographical origin modeling of Chinese rice using stable isotopes and trace elements. Food Control. 2022, 138, 108997. [Google Scholar] [CrossRef]
- Liu, X.; Liu, Z.; Qian, Q.; Song, W.; Rogers, K.M.; Rao, Q.; Wang, S.; Zhang, Q.; Shao, S.; Tian, M.; et al. Isotope chemometrics determines farming methods and geographical origin of vegetables from Yangtze River Delta Region, China. Food Chem. 2021, 342, 128379. [Google Scholar] [CrossRef]
- Nie, J.; Shao, S.; Xia, W.; Liu, Z.; Yu, C.; Li, R.; Wang, W.; Li, J.; Yuan, Y.; Rogers, K.M. Stable isotopes verify geographical origin of yak meat from Qinghai-Tibet plateau. Meat Sci. 2020, 165, 108113. [Google Scholar] [CrossRef]
- Liu, Z.; Yuan, Y.; Zhao, Y.; Zhang, Y.; Nie, J.; Shao, S.; Rogers, K.M. Differentiating wild, lake-farmed and pond-farmed carp using stable isotope and multi-element analysis of fish scales with chemometrics. Food Chem. 2020, 328, 127115. [Google Scholar] [CrossRef]
- Cornwell, W.K.; Wright, I.J.; Turner, J.; Maire, V.; Barbour, M.M.; Cernusak, L.A.; Dawson, T.; Ellsworth, D.; Farquhar, G.D.; Griffiths, H.; et al. Climate and soils together regulate photosynthetic carbon isotope discrimination within C3 plants worldwide. Global Ecol. Biogeogr. 2018, 27, 1056–1067. [Google Scholar] [CrossRef]
- Flanagan, L.B.; Cai, T.; Black, T.A.; Barr, A.G.; McCaughey, J.H.; Margolis, H.A. Measuring and modeling ecosystem photosynthesis and the carbon isotope composition of ecosystem-respired CO2 in three boreal coniferous forests. Agric. For. Meteorol. 2012, 153, 165–176. [Google Scholar] [CrossRef]
- Scher, M.A.; Barclay, R.S.; Baczynski, A.A.; Smith, B.A.; Sappington, J.; Bennett, L.A.; Chakraborty, S.; Wilson, J.P.; Megonigal, J.P.; Wing, S.L. The effect of CO2 concentration on carbon isotope discrimination during photosynthesis in Ginkgo biloba: Implications for reconstructing atmospheric CO2 levels in the geologic past. Geochim. Cosmochim. Acta 2022, 337, 82–94. [Google Scholar] [CrossRef]
- Badeck, F.W.; Tcherkez, G.; Nogues, S.; Piel, C.; Ghashghaie, J. Post-photosynthetic fractionation of stable carbon isotopes between plant organs--a widespread phenomenon. Rapid Commun. Mass Spectrom. 2005, 19, 1381–1391. [Google Scholar] [CrossRef]
- Meng, J.; Liu, Z.; Gou, C.-L.; Rogers, K.M.; Yu, W.-J.; Zhang, S.-S.; Yuan, Y.-W.; Zhang, L. Geographical origin of Chinese wolfberry (goji) determined by carbon isotope analysis of specific volatile compounds. J. Chromatogr. B 2019, 1105, 104–112. [Google Scholar] [CrossRef] [PubMed]
- van Leeuwen, K.A.; Prenzler, P.D.; Ryan, D.; Camin, F. Gas Chromatography-Combustion-Isotope Ratio Mass Spectrometry for Traceability and Authenticity in Foods and Beverages. Compr. Rev. Food Sci. Food Saf. 2014, 13, 814–837. [Google Scholar] [CrossRef]
- Szpak, P.; Millaire, J.-F.; White, C.D.; Longstaffe, F.J. Influence of seabird guano and camelid dung fertilization on the nitrogen isotopic composition of field-grown maize (Zea mays). J. Archaeol. Sci. 2012, 39, 3721–3740. [Google Scholar] [CrossRef]
- Szpak, P.; Longstaffe, F.J.; Millaire, J.-F.; White, C.D. Large variation in nitrogen isotopic composition of a fertilized legume. J. Archaeol. Sci. 2014, 45, 72–79. [Google Scholar] [CrossRef]
- Yuan, Y.; Zhao, M.; Zhang, Z.; Chen, T.; Yang, G.; Wang, Q. Effect of different fertilizers on nitrogen isotope composition and nitrate content of Brassica campestris. J. Agric. Food Chem. 2012, 60, 1456–1460. [Google Scholar] [CrossRef]
- Zhou, W.; Hu, C.-S.; Li, J.; Christie, P.; He, X.-H.; Ju, X.-T. Natural 15N Abundance in Winter Wheat Amended with Urea and Compost: A Long-Term Experiment. Pedosphere 2013, 23, 835–843. [Google Scholar] [CrossRef]
- Dansgaard, W. Stable isotopes in precipitation. Tellus 1964, 16, 436–468. [Google Scholar] [CrossRef]
- Stewart, M.K. Stable isotope fractionation due to the evaporation and isotopic exchange of falling water drops: Applications to atmospheric processes and evaporation of lakes. J. Geophys. Res. 1975, 80, 1133–1146. [Google Scholar] [CrossRef]
- Nie, J.; Weng, R.; Li, C.; Liu, X.; Wang, F.; Rogers, K.M.; Yuan, Y. Chemometric origin classification of Chinese garlic using sulfur-containing compounds, assisted by stable isotopes and bioelements. Food Chem. 2022, 394, 133557. [Google Scholar] [CrossRef]
- Deng, X.; Liu, Z.; Zhan, Y.; Ni, K.; Zhang, Y.; Ma, W.; Shao, S.; Lv, X.; Yuan, Y.; Rogers, K.M. Predictive geographical authentication of green tea with protected designation of origin using a random forest model. Food Control. 2020, 107, 106807. [Google Scholar] [CrossRef]
- Xia, W.; Li, Z.; Yu, C.; Liu, Z.; Nie, J.; Li, C.; Shao, S.; Zhang, Y.; Rogers, K.M.; Yuan, Y. Understanding processing, maturity and harvest period effects to authenticate early-spring Longjing tea using stable isotopes and chemometric analyses. Food Control. 2021, 124, 107907. [Google Scholar] [CrossRef]
- Horacek, M.; Min, J.S.; Heo, S.C.; Soja, G. Discrimination between ginseng from Korea and China by light stable isotope analysis. Anal. Chim. Acta 2010, 682, 77–81. [Google Scholar] [CrossRef]
- Wang, J.; Zhang, T.; Ge, Y. C/N/H/O stable isotope analysis for determining the geographical origin of American ginseng (Panax quinquefolius). J. Food Compos. Anal. 2021, 96, 103756. [Google Scholar] [CrossRef]
- Wang, Y.; Kang, L.; Zhao, Y.; Xiong, F.; Yuan, Y.; Nie, J.; Huang, L.; Yang, J. Stable isotope and multi-element profiling of Cassiae Semen tea combined with chemometrics for geographical discrimination. J. Food Compos. Anal. 2022, 107, 104359. [Google Scholar] [CrossRef]
- Xiong, F.; Yuan, Y.; Li, C.; Lyu, C.; Wan, X.; Nie, J.; Li, H.; Yang, J.; Guo, L. Stable isotopic and elemental characteristics with chemometrics for the geographical origin authentication of Dendrobium officinale at two spatial scales. LWT 2022, 167, 113871. [Google Scholar] [CrossRef]
- Lim, S.-S.; Choi, W.-J.; Kwak, J.-H.; Jung, J.-W.; Chang, S.X.; Kim, H.-Y.; Yoon, K.-S.; Choi, S.-M. Nitrogen and carbon isotope responses of Chinese cabbage and chrysanthemum to the application of liquid pig manure. Plant Soil 2007, 295, 67–77. [Google Scholar] [CrossRef]
- Coplen, T.B. Guidelines and recommended terms for expression of stable-isotope-ratio and gas-ratio measurement results. Rapid Commun. Mass Spectrom. 2011, 25, 2538–2560. [Google Scholar] [CrossRef]
- Coplen, T.B.; Shrestha, Y. Isotope-abundance variations and atomic weights of selected elements_ 2016 (IUPAC Technical Report). Pure Appl. Chem. 2016, 88, 1203–1224. [Google Scholar] [CrossRef]
- Brand, W.A.; Coplen, T.B.; Vogl, J.; Rosner, M.; Prohaska, T. Assessment of international reference materials for isotope-ratio analysis (IUPAC Technical Report). Pure Appl. Chem. 2014, 86, 425–467. [Google Scholar] [CrossRef]
- Campos, N.S.; Oliveira, K.S.; Almeida, M.R.; Stephani, R.; de Oliveira, L.F. Classification of frankfurters by FT-Raman spectroscopy and chemometric methods. Molecules 2014, 19, 18980–18992. [Google Scholar] [CrossRef]
- Cerling, T.E.; Barnette, J.E.; Bowen, G.J.; Chesson, L.A.; Ehleringer, J.R.; Remien, C.H.; Shea, P.; Tipple, B.J.; West, J.B. Forensic Stable Isotope Biogeochemistry. Annu. Rev. Earth Planet. Sci. 2016, 44, 175–206. [Google Scholar] [CrossRef]
- Yoneyama, T.; Ito, O.; Engelaar, W.M.H.G. Uptake, metabolism and distribution of nitrogen in crop plants traced by enriched and natural 15N_ Progress over the last 30 years. Phytochem. Rev. 2003, 2, 121–132. [Google Scholar] [CrossRef]
- Lane, G.A.; Dole, M. Fractionation of oxygen isotopes during respiration. Science 1956, 175, 574–576. [Google Scholar] [CrossRef] [PubMed]
- Evans, R.D. Physiological mechanisms influencing plant nitrogen isotope composition. Trends Plant Sci. 2001, 6, 121–126. [Google Scholar] [CrossRef] [PubMed]
- Hartmann, H.; Bahn, M.; Carbone, M.; Richardson, A.D. Plant carbon allocation in a changing world—challenges and progress: Introduction to a Virtual Issue on carbon allocation: Introduction to a virtual issue on carbon allocation. New Phytol. 2020, 227, 981–988. [Google Scholar] [CrossRef]
- Hashim MMa Yusop, M.K.; Othman, R.; Wahid, S.A. Characterization of Nitrogen Uptake Pattern in Malaysian Rice MR219 at Different Growth Stages Using 15N Isotope. Rice Sci. 2015, 22, 250–254. [Google Scholar] [CrossRef]
- Broeckx, L.S.; Fichot, R.; Verlinden, M.S.; Ceulemans, R. Seasonal variations in photosynthesis, intrinsic water-use efficiency and stable isotope composition of poplar leaves in a short-rotation plantation. Tree Physiol. 2014, 34, 701–715. [Google Scholar] [CrossRef]
- Kelly, S.D.; Bateman, A.S. Comparison of mineral concentrations in commercially grown organic and conventional crops—Tomatoes (Lycopersicon esculentum) and lettuces (Lactuca sativa). Food Chem. 2010, 119, 738–745. [Google Scholar] [CrossRef]
- Li, C.; Wang, Q.; Shao, S.; Chen, Z.; Nie, J.; Liu, Z.; Rogers, K.M.; Yuan, Y. Stable Isotope Effects of Biogas Slurry Applied as an Organic Fertilizer to Rice, Straw, and Soil. J. Agric. Food Chem. 2021, 69, 8090–8097. [Google Scholar] [CrossRef]
- Nie, J.; Shao, S.; Zhang, Y.; Li, C.; Liu, Z.; Rogers, K.M.; Wu, M.-C.; Lee, C.-P.; Yuan, Y. Discriminating protected geographical indication Chinese Jinxiang garlic from other origins using stable isotopes and chemometrics. J. Food Compos. Anal. 2021, 99, 103856. [Google Scholar] [CrossRef]
- Rogers, K.M.; Martin, A.P.; Pradel, G.; Yuan, Y.; Zhang, Y.; Turnbull, R.E. Elemental and isotopic compositions of New Zealand regional soils identifies human and climate-induced effects. Appl. Geochem. 2022, 143, 105356. [Google Scholar] [CrossRef]
- Camin, F.; Dordevic, N.; Wehrens, R.; Neteler, M.; Delucchi, L.; Postma, G.; Buydens, L. Climatic and geographical dependence of the H, C and O stable isotope ratios of Italian wine. Anal. Chim. Acta 2015, 853, 384–390. [Google Scholar] [CrossRef]
- Ghosh, P.; Brand, W.A. Stable isotope ratio mass spectrometry in global climate change research. Int. J. Mass Spectrom. 2003, 228, 1–33. [Google Scholar] [CrossRef]
- Kelly, S.; Baxter, M.; Chapman, S.; Rhodes, C.; Dennis, J.; Brereton, P. The application of isotopic and elemental analysis to determine the geographical origin of premium long grain rice. Eur. Food Res. Technol. 2014, 214, 72–78. [Google Scholar] [CrossRef]
- Sanchez-Bragado, R.; Serret, M.D.; Marimon, R.M.; Bort, J.; Araus, J.L. The Hydrogen Isotope Composition delta(2)H Reflects Plant Performance. Plant Physiol. 2019, 180, 793–812. [Google Scholar] [CrossRef]
- Schmidt, H.L.; Werner, R.A.; Roûmann, A. 18O Pattern and biosynthesis of natural plant products. Phytochemistry 2001, 58, 9–32. [Google Scholar] [CrossRef]
- Andrews, S.S.; Karlen, D.L.; Mitchell, J.P. A comparison of soil quality indexing methods for vegetable production systems in Northern California. Agric. Ecosyst. Environ. 2002, 90, 25–45. [Google Scholar] [CrossRef]
- Fu, H.; Wei, L.; Chen, H.; Yang, X.; Kang, L.; Hao, Q.; Guo, L. Combining stable C, N, O, H, Sr isotope and multi-element with chemometrics for identifying the geographical origins and farming patterns of Huangjing herb. J. Food Compos. Anal. 2021, 102, 103972. [Google Scholar] [CrossRef]
- Martín-Sanz, J.P.; de Santiago-Martín, A.; Valverde-Asenjo, I.; Quintana-Nieto, J.R.; González-Huecas, C.; López-Lafuente, A.L. Comparison of soil quality indexes calculated by network and principal component analysis for carbonated soils under different uses. Ecol. Indic. 2022, 143, 109374. [Google Scholar] [CrossRef]






| Variety (Number of Samples) | δ13C (‰) | δ15N (‰) | δ2H (‰) | δ18O (‰) | %C | %N |
|---|---|---|---|---|---|---|
| Zao (6) | −28.5 ± 0.5 b | 2.9 ± 0.4 a | −91.5 ± 6.8 a | 24.6 ± 1.2 a | 40.8 ± 0.5 a | 2.1 ± 0.2 a |
| Shou1 (6) | −27.6 ± 0.5 a | 3.3 ± 0.4 a | −92.0 ± 4.3 a | 24.2 ± 1.0 a | 40.7 ± 1.1 a | 2.1 ± 0.3 a |
| Shou2 (6) | −27.2 ± 0.3 a | 3.4 ± 0.4 a | −91.4 ± 5.8 a | 24.2 ± 1.0 a | 40.0 ± 0.5 a | 1.8 ± 0.05 a |
| Jin2 (6) | −27.1 ± 0.5 a | 3.2 ± 0.6 a | −86.5 ± 6.0 a | 24.4 ± 1.2 a | 40.6 ± 1.2 a | 2.1 ± 0.3 a |
| Variable (Number of Samples) | EBF | MBF | tcalc | p Value |
|---|---|---|---|---|
| %C (12) | 41.0 ± 0.9 | 40.0 ± 0.5 | 4.529 | p < 0.01 |
| %N (12) | 2.2 ± 0.2 | 1.9 ± 0.1 | 5.524 | p < 0.01 |
| δ13C (‰) (12) | −27.3 ± 0.6 | −27.9 ± 0.7 | 1.820 | p > 0.05 |
| δ15N (‰) (12) | 2.9 ± 0.3 | 3.6 ± 0.3 | −8.232 | p < 0.01 |
| δ2H (‰) (12) | −95.1 ± 3.1 | −85.6 ± 3.6 | −6.378 | p < 0.01 |
| δ18O (‰) (12) | 23.4 ± 0.4 | 25.3 ± 0.4 | −12.894 | p < 0.01 |
| Region (Number of Samples) | δ13C (‰) | δ15N (‰) | δ2H (‰) | δ18O (‰) |
|---|---|---|---|---|
| Wuyi (9) | −29.0 ± 0.3 b | 1.8 ± 0.5 b | −70.6 ± 1.8 b | 23.0 ± 1.8 b |
| Tongxiang (9) | −28.8 ± 0.5 b | 3.6 ± 0.9 a | −69.5 ± 2.3 b | 22.6 ± 0.7 b |
| Chun’an (9) | −27.8 ± 0.5 a | 0.9 ± 0.5 c | −61.8 ± 1.9 a | 25.8 ± 0.9 a |
| Training Set | Test Set | ||||||||
|---|---|---|---|---|---|---|---|---|---|
| Calibration | Cross-Validation | ||||||||
| 1 | 2 | 3 | 1 | 2 | 3 | 1 | 2 | 3 | |
| Sensitivity (%) | 100 | 100 | 100 | 85.7 | 85.7 | 100 | 50 | 50 | 100 |
| Specificity (%) | 100 | 100 | 100 | 92.9 | 100 | 92.9 | 75 | 75 | 100 |
| Accuracy (%) | 100 | 100 | 100 | 90.5 | 95.2 | 95.2 | 66.7 | 66.7 | 100 |
Disclaimer/Publisher’s Note: The statements, opinions and data contained in all publications are solely those of the individual author(s) and contributor(s) and not of MDPI and/or the editor(s). MDPI and/or the editor(s) disclaim responsibility for any injury to people or property resulting from any ideas, methods, instructions or products referred to in the content. |
© 2023 by the authors. Licensee MDPI, Basel, Switzerland. This article is an open access article distributed under the terms and conditions of the Creative Commons Attribution (CC BY) license (https://creativecommons.org/licenses/by/4.0/).
Share and Cite
Mei, H.; Nie, J.; Wang, S.; Zhang, Y.; Li, C.; Shao, S.; Shao, S.; Rogers, K.M.; Yuan, Y. Geographical Origin Authentication of Edible Chrysanthemum morifolium Ramat. (Hangbaiju) Using Stable Isotopes. Separations 2023, 10, 287. https://doi.org/10.3390/separations10050287
Mei H, Nie J, Wang S, Zhang Y, Li C, Shao S, Shao S, Rogers KM, Yuan Y. Geographical Origin Authentication of Edible Chrysanthemum morifolium Ramat. (Hangbaiju) Using Stable Isotopes. Separations. 2023; 10(5):287. https://doi.org/10.3390/separations10050287
Chicago/Turabian StyleMei, Hanyi, Jing Nie, Shu Wang, Yongzhi Zhang, Chunlin Li, Shengzhi Shao, Shanshan Shao, Karyne M. Rogers, and Yuwei Yuan. 2023. "Geographical Origin Authentication of Edible Chrysanthemum morifolium Ramat. (Hangbaiju) Using Stable Isotopes" Separations 10, no. 5: 287. https://doi.org/10.3390/separations10050287
APA StyleMei, H., Nie, J., Wang, S., Zhang, Y., Li, C., Shao, S., Shao, S., Rogers, K. M., & Yuan, Y. (2023). Geographical Origin Authentication of Edible Chrysanthemum morifolium Ramat. (Hangbaiju) Using Stable Isotopes. Separations, 10(5), 287. https://doi.org/10.3390/separations10050287

