Sign in to use this feature.

Years

Between: -

Subjects

remove_circle_outline
remove_circle_outline
remove_circle_outline
remove_circle_outline
remove_circle_outline
remove_circle_outline
remove_circle_outline
remove_circle_outline
remove_circle_outline

Journals

remove_circle_outline
remove_circle_outline
remove_circle_outline
remove_circle_outline
remove_circle_outline
remove_circle_outline
remove_circle_outline
remove_circle_outline
remove_circle_outline
remove_circle_outline
remove_circle_outline
remove_circle_outline
remove_circle_outline
remove_circle_outline
remove_circle_outline
remove_circle_outline

Article Types

Countries / Regions

remove_circle_outline
remove_circle_outline
remove_circle_outline
remove_circle_outline
remove_circle_outline
remove_circle_outline
remove_circle_outline

Search Results (3,899)

Search Parameters:
Keywords = drug loading and release

Order results
Result details
Results per page
Select all
Export citation of selected articles as:
34 pages, 6962 KB  
Article
Novel Repurposing of Empagliflozin-Loaded Buccal Composite (Chitosan/Silk Fibroin/Poly(lactic acid)) Nanofibers for Alzheimer’s Disease Management via Modulation of Aβ–AGER–p-tau Pathway
by Walaa A. El-Dakroury, Samar A. Salim, Abdelrahman R. Said, Gihan F. Asaad, Mohamed F. Abdelhameed, Marwa E. Shabana, Mohamed M. Ibrahim, Sara G. Abualmajd, Haidy H. Mosaad, Aliaa A. Salama, Shrouk E. Asran, Mayar L. Amer, Ahmed S. Doghish and Fatma Sa’eed El-Tokhy
Pharmaceutics 2026, 18(1), 83; https://doi.org/10.3390/pharmaceutics18010083 - 8 Jan 2026
Viewed by 295
Abstract
Background/Objectives: Empagliflozin (EMPA) was repurposed for Alzheimer’s disease (AD) treatment via buccal delivery, exploiting novel nanofibers (NFs) integrating chitosan (Cs), silk fibroin (Fb), and poly(lactic acid) (PLA). Methods: EMPA-loaded Cs/Fb/PLA NFs were electrospun in different formulations to optimize the formulation parameters. [...] Read more.
Background/Objectives: Empagliflozin (EMPA) was repurposed for Alzheimer’s disease (AD) treatment via buccal delivery, exploiting novel nanofibers (NFs) integrating chitosan (Cs), silk fibroin (Fb), and poly(lactic acid) (PLA). Methods: EMPA-loaded Cs/Fb/PLA NFs were electrospun in different formulations to optimize the formulation parameters. The optimized formulation was then investigated for its enhanced in vivo effect. Results: Optimized nanofiber diameters ranged from 459 ± 173 to 668 ± 148 nm, possessing bead-free morphology confirmed by SEM and satisfactory mechanical properties. EMPA was successfully well-dispersed in the polymer matrix as evidenced by FTIR, XRD, and drug content. The optimized NFs displayed a hydrophilic surface (contact angle < 90°), and biphasic drug release with sustained EMPA liberation (84.98% over 24 h). In vivo, buccal EMPA-Cs/Fb/PLA NFs in an AlCl3-induced AD rat model significantly reduced brain-amyloid-β, phosphorylated tau, IL-1β, and AGER expression by 2.88-, 2.64-, 2.87-, and 2.50-fold, respectively, compared to positive controls, and improved locomotor activity (1.86-fold) and cognitive performance (T-maze) (4.17-fold). Compared to pure EMPA, the nanofiber formulation achieved further reductions in amyloid-β (1.78-fold), p-tau (1.42-fold), IL-1β (1.89-fold), and AGER (1.38-fold), with efficacy comparable to memantine. Histopathological examination revealed preservation of the hippocampal neuronal structure. Conclusions: The findings suggest EMPA-loaded Cs/Fb/PLA NFs as a promising non-invasive, sustained-release buccal delivery platform for AD therapy, offering multimodal neuroprotection through modulation of the Aβ–AGER–p-tau axis. Full article
(This article belongs to the Section Drug Delivery and Controlled Release)
Show Figures

Graphical abstract

26 pages, 4325 KB  
Article
Pentamidine-Functionalized Polycaprolactone Nanofibers Produced by Solution Blow Spinning for Controlled Release in Cutaneous Leishmaniasis Treatment
by Nerea Guembe-Michel, Paul Nguewa and Gustavo González-Gaitano
Polymers 2026, 18(2), 170; https://doi.org/10.3390/polym18020170 - 8 Jan 2026
Viewed by 144
Abstract
Leishmaniasis, a widespread, neglected infectious disease with limited effective treatments and increasing drug resistance, demands innovative therapeutic approaches. In this study, we report the fabrication of pentamidine (PTM)-loaded polycaprolactone (PCL) nanofibers using solution blow spinning (SBS) as a potential topical delivery system for [...] Read more.
Leishmaniasis, a widespread, neglected infectious disease with limited effective treatments and increasing drug resistance, demands innovative therapeutic approaches. In this study, we report the fabrication of pentamidine (PTM)-loaded polycaprolactone (PCL) nanofibers using solution blow spinning (SBS) as a potential topical delivery system for cutaneous leishmaniasis (CL). Homogeneous PCL fiber mats were produced using a simple SBS set-up with a commercial airbrush after optimizing several working parameters. Drug release studies demonstrated sustained PTM release profile over time, which was mechanistically modeled by utilizing the complete nanofiber diameter distribution, obtained from SEM analysis of the blow-spun material. FTIR and XRD analyses were performed to investigate the drug–polymer interactions, revealing molecularly dispersed PTM at low-proportion drug/polymers and partial crystallinity at high loadings. The released PTM exhibited significant leishmanicidal activity against Leishmania major promastigotes. Biological investigations showed that SBS-formulated PTM treatment was consistent with the downregulation of parasite genes involved in cell division and DNA replication (cycA, cyc6, pcna, top2, mcm4) and upregulation of the drug response gene (prp1). The controlled delivery of PTM within SBS-fabricated PCL nanofibers provides an effective therapeutic approach to tackle CL and, through the incorporation of additional drugs, could be extended to address a broader range of cutaneous infections. Full article
(This article belongs to the Special Issue Fiber Spinning Technologies and Functional Polymer Fiber Development)
Show Figures

Graphical abstract

12 pages, 1200 KB  
Article
In Vitro Evaluation of the Antimicrobial Properties of Chitosan–Vancomycin Coatings on Grade 4 Titanium Discs: A Preliminary Study
by João M. Pinto, Liliana Grenho, Susana J. Oliveira, Manuel A. Sampaio-Fernandes, Maria Helena Fernandes, Maria Helena Figueiral and Maria Margarida Sampaio-Fernandes
Coatings 2026, 16(1), 75; https://doi.org/10.3390/coatings16010075 - 8 Jan 2026
Viewed by 102
Abstract
Peri-implant infections pose a significant challenge in dental implantology. This study aimed to develop and characterize a chitosan–vancomycin coating for titanium surfaces, focusing on drug loading, release kinetics, antimicrobial performance, and cytocompatibility. Grade 4 titanium discs were coated with a chitosan film using [...] Read more.
Peri-implant infections pose a significant challenge in dental implantology. This study aimed to develop and characterize a chitosan–vancomycin coating for titanium surfaces, focusing on drug loading, release kinetics, antimicrobial performance, and cytocompatibility. Grade 4 titanium discs were coated with a chitosan film using the dip-coating technique and subsequently loaded with vancomycin through immersion in an aqueous solution. Coating morphology was examined by scanning electron microscopy (SEM). Vancomycin loading was quantified by spectrophotometry, and release kinetics were monitored over 144 h (6-day). Antimicrobial activity was assessed through agar diffusion assays against Staphylococcus aureus. Cytocompatibility was evaluated using human mesenchymal stem cells (hMSCs), whose metabolic activity, adhesion, and morphology were assessed over a 19-day culture period by resazurin assay and SEM. SEM analysis revealed a uniformly distributed, smooth, and crack-free chitosan film, which remained stable after drug loading. The coating exhibited a biphasic release profile, characterized by an initial burst followed by sustained release over six days, which maintained antimicrobial activity, as confirmed by inhibition zones. hMSCs adhered and proliferated on the coated surfaces, displaying normal morphology despite a transient reduction in metabolic activity on vancomycin-containing films. These findings support the potential of chitosan–vancomycin coatings as localized antimicrobial strategies for implant applications, warranting further in vivo and mechanical evaluations. Full article
(This article belongs to the Special Issue Films and Coatings with Biomedical Applications)
Show Figures

Figure 1

23 pages, 1045 KB  
Article
Modulatory Role of Oral GHRP-6 in the Immune Response and Digestive Enzyme Function in Juvenile Tilapia (Oreochromis sp.) Challenged with Pseudomonas aeruginosa
by Liz Mariam de Armas, Adrian Rodríguez-Gabilondo, Liz Hernández, Ernesto A. Quintana, Alejandro J. Campos, Noelia N. Pérez, Danielle Reyes, Antonio Morales, Osmany Rodrigo, Yaima González, Leandro Rodriguez-Viera, Mario Pablo Estrada and Rebeca Martínez
Fishes 2026, 11(1), 33; https://doi.org/10.3390/fishes11010033 - 7 Jan 2026
Viewed by 120
Abstract
Aquaculture has been established as a sustainable alternative to traditional fisheries, which face challenges such as overexploitation and environmental degradation. However, disease outbreaks, often caused by poor farming conditions, pollution, and environmental stress, remain a major concern, leading to economic losses and increasing [...] Read more.
Aquaculture has been established as a sustainable alternative to traditional fisheries, which face challenges such as overexploitation and environmental degradation. However, disease outbreaks, often caused by poor farming conditions, pollution, and environmental stress, remain a major concern, leading to economic losses and increasing the risk of antibiotic resistance due to the overuse of antibiotics. Therefore, it is crucial to seek new strategies that improve fish health and well-being, preventing drug resistance and promoting sustainable practices. GHRP-6, a synthetic growth hormone-releasing peptide that mimics ghrelin, has shown potential immunostimulatory properties and feed efficiency in fish. In this study, we evaluated the effects of orally administered GHRP-6 in an oil-based formulation on juvenile tilapia (Oreochromis sp.) challenged or unchallenged with Pseudomonas aeruginosa. We assessed its influence on immune gene expression and digestive enzyme activity. The results demonstrated that GHRP-6 treatment significantly enhanced growth performance (weight and length), reduced in vivo bacterial load after infection, and modulated key genes related to innate and adaptive immunity in the gills, intestine and head kidney. In addition, our results demonstrated, for the first time, a direct link between a growth hormone secretagogue in fish and the modulation of specific enzyme activity in the gut following a bacterial challenge. These findings highlight the potential of GHRP-6 as a dietary immunomodulator and growth promoter in fish farming, offering a promising strategy to reduce antibiotic usage and promote more sustainable aquaculture practices. Full article
(This article belongs to the Special Issue Dietary Supplementation in Aquaculture)
Show Figures

Figure 1

14 pages, 1038 KB  
Article
Designing Poly(vinyl formal) Membranes for Controlled Diclofenac Delivery: Integrating Classical Kinetics with GRNN Modeling
by Igor Garcia-Atutxa and Francisca Villanueva-Flores
Appl. Sci. 2026, 16(2), 562; https://doi.org/10.3390/app16020562 - 6 Jan 2026
Viewed by 97
Abstract
Controlled-release systems must translate material design choices into predictable pharmacokinetic (PK) profiles, yet purely mechanistic or purely data-driven models often underperform when tuning complex polymer networks. Here, we develop tunable poly(vinyl formal) membranes (PVFMs) for diclofenac delivery and integrate classical kinetic analysis with [...] Read more.
Controlled-release systems must translate material design choices into predictable pharmacokinetic (PK) profiles, yet purely mechanistic or purely data-driven models often underperform when tuning complex polymer networks. Here, we develop tunable poly(vinyl formal) membranes (PVFMs) for diclofenac delivery and integrate classical kinetic analysis with a Generalized Regression Neural Network (GRNN) to connect formulation variables to release behavior and PK-relevant targets. PVFMs were synthesized across a gradient of crosslink densities by varying HCl content; diclofenac release was quantified under standardized conditions with geometry and dosing rigorously controlled (thickness, effective area, surface-area-to-volume ratio, and areal drug loading are reported to ensure reproducibility). Release profiles were fitted to Korsmeyer–Peppas, zero-order, first-order, Higuchi, and hyperbolic tangent models, while a GRNN was trained on material descriptors and time to predict cumulative release and flux, including out-of-sample conditions. Increasing crosslink density monotonically reduced swelling, areal release rate, and overall release efficiency (strong linear trends; r ≈ 0.99) and shifted transport from anomalous to Super Case II at the highest crosslinking. Classical models captured regime transitions but did not sustain high accuracy across the full design space; in contrast, the GRNN delivered superior predictive performance and generalized to conditions absent from training, enabling accurate interpolation/extrapolation of release trajectories. Beyond prior work, we provide a material-to-PK design map in which crosslinking, porosity/tortuosity, and hydrophobicity act as explicit “knobs” to shape burst, flux, and near-zero-order behavior, and we introduce a hybrid framework where mechanistic models guide interpretation while GRNN supplies robust, data-driven prediction for formulation selection. This integrated PVFM–GRNN approach supports rational design and quality control of controlled-release devices for diclofenac and is extendable to other therapeutics given appropriate descriptors and training data. Full article
(This article belongs to the Section Materials Science and Engineering)
Show Figures

Figure 1

44 pages, 2030 KB  
Review
Recent Developments in Protein-Based Hydrogels for Advanced Drug Delivery Applications
by Giuseppe Scopelliti, Claudia Ferraro, Ortensia Ilaria Parisi and Marco Dattilo
Pharmaceutics 2026, 18(1), 74; https://doi.org/10.3390/pharmaceutics18010074 - 6 Jan 2026
Viewed by 227
Abstract
Protein-based hydrogels are increasingly recognized as promising biomaterials for advanced drug delivery, owing to their biocompatibility, biodegradability, and ability to recreate extracellular matrix-like environments. By tailoring the protein source, crosslinking strategy, molecular architecture, and functionalization, these hydrogels can be engineered to mimic the [...] Read more.
Protein-based hydrogels are increasingly recognized as promising biomaterials for advanced drug delivery, owing to their biocompatibility, biodegradability, and ability to recreate extracellular matrix-like environments. By tailoring the protein source, crosslinking strategy, molecular architecture, and functionalization, these hydrogels can be engineered to mimic the mechanical and biological features of native tissues. Protein-derived hydrogels are currently explored across biomedical and pharmaceutical fields, including drug delivery systems, wound healing, tissue engineering, and, notably, cancer therapy. In recent years, growing attention has been directed toward natural protein hydrogels because of their inherent bioactivity and versatile physicochemical properties. This review provides an updated overview of protein-based hydrogel classification, properties, and fabrication methods. It highlights several widely studied natural proteins, such as gelatin, collagen, silk fibroin, soy protein, casein, and whey protein, that can form hydrogels through physical, chemical, or enzymatic crosslinking. These materials offer tunable mechanical behavior, controllable degradation rates, and abundant functional groups that support efficient drug loading and the development of stimuli-responsive platforms. Furthermore, we examine current advances in their application as drug delivery systems, with particular emphasis on cancer treatment. Protein-based hydrogels have demonstrated the ability to protect therapeutic molecules, provide sustained or targeted release, and enhance therapeutic effectiveness. Although critical challenges, such as batch-to-batch variability, sterilization-induced denaturation, and the requirement for comprehensive long-term immunogenicity assessment, must still be addressed to enable successful translation from preclinical studies to clinical application, ongoing advances in the design and functionalization of natural protein hydrogels highlight their promise as next-generation platforms for precision drug delivery. Full article
(This article belongs to the Section Drug Delivery and Controlled Release)
Show Figures

Figure 1

22 pages, 5813 KB  
Article
Gel Microparticles Based on Polymeric Sulfonates: Synthesis and Prospects for Biomedical Applications
by Olga D. Iakobson, Elena M. Ivan’kova, Yuliya Nashchekina and Natalia N. Shevchenko
Int. J. Mol. Sci. 2026, 27(1), 538; https://doi.org/10.3390/ijms27010538 - 5 Jan 2026
Viewed by 123
Abstract
Polyelectrolyte microspheres based on a polymer containing sulfonate groups are considered promising drug delivery systems for encapsulating drugs and ensuring their prolonged release. In this study, gel microparticles based on various sulfonate-containing polymers were formed, and their potential as drug delivery systems was [...] Read more.
Polyelectrolyte microspheres based on a polymer containing sulfonate groups are considered promising drug delivery systems for encapsulating drugs and ensuring their prolonged release. In this study, gel microparticles based on various sulfonate-containing polymers were formed, and their potential as drug delivery systems was evaluated, particularly for the controlled administration of the cytotoxic anthracycline antibiotic doxorubicin and the antifungal drug fuchsine. An undeniable advantage of such gel microspheres is the presence in their structure of sulfonate groups localized both in the surface layer and in the volume. The main monomers used were styrene-4-sulfonic acid sodium salt and 3-sulfopropyl methacrylate potassium salt; spherical, porous microparticles were obtained via free-radical reverse suspension polymerization. Microsphere properties (size, porosity, pore structure, electrical surface properties, and swelling) were tailored by changing the nature of the sulfonate, using a comonomer (vinyl acetate or ethyl acrylate), adding a co-solvent, or modulating the crosslinker composition, which influenced drug loading efficiency (doxorubicin, fuchsine). The gel-like structure of the microspheres was confirmed, and the sulfonate groups were found to be distributed throughout both the surface layer and the internal volume of the microspheres. A comparison was also made with non-porous polymer particles containing sulfonate groups. The sorption capacity of the gel microspheres for doxorubicin was 2.2 mmol/g, significantly higher than the 0.4 mmol/g observed for the non-porous reference particles. The obtained values of doxorubicin sorption on gel microspheres are over 60 times higher than the values reported in the literature. Full article
(This article belongs to the Collection State-of-the-Art Macromolecules in Russia)
Show Figures

Graphical abstract

25 pages, 4123 KB  
Article
Rectal In Situ Thermosensitive Gel Loaded with Agomelatine-Silver Nanoparticles: Formulation and Characterization
by Marwa H. Abdallah, Mohamed S. Mohamed, Tamer M. Shehata, Wael A. Abdelhafez, Mahmoud M. A. Elsayed, Abd El hakim Ramadan, Islam Kamal, Abdulsalam M. Kassem, Mahmoud Elkot Mostafa, Ayman Salama, Reda A. Mahmoud and Ahmed A. El-Shenawy
Gels 2026, 12(1), 51; https://doi.org/10.3390/gels12010051 - 2 Jan 2026
Viewed by 596
Abstract
Agomelatine (AG) is a novel antidepressant characterized by distinct mechanism of action and minimal side effects. However, extensive first-pass hepatic metabolism limits its clinical efficacy after oral administration, leading to low bioavailability (<5%). To get around these restrictions, the current study set out [...] Read more.
Agomelatine (AG) is a novel antidepressant characterized by distinct mechanism of action and minimal side effects. However, extensive first-pass hepatic metabolism limits its clinical efficacy after oral administration, leading to low bioavailability (<5%). To get around these restrictions, the current study set out to create and assess a rectal thermosensitive in situ gel using biosynthesized AG-silver nanoparticles (AG-AgNPs). AG-AgNPs were successfully synthesized with gum acacia as a stabilizing agent, using silver nitrate as a precursor, and ascorbic acid as a reducing agent. The in situ gel formulation was optimized using a 32 factorial design, and then physicochemical, in vitro, and in vivo assessments were conducted. Nanoparticle formation was also evidenced by the appearance of a visible color change, UV-VIS, TEM, and XRD analysis techniques, which depicted spherical-shaped nanoparticles and a crystalline nature. The formulated optimized thermosensitive in situ gel showed good properties, which included drug content of 91.64%, gelation temperature of 26.63 °C, pH of 7.2, gel strength of 36.98 s, and sustained drug release of 80.24% in 6 h. The relative bioavailability in animal studies showed a remarkable increase in systemic availability with 277.5% relative bioavailability in comparison to an oral tablet formulation. In summary, results show that the AG-AgNP-loaded thermosensitive in situ gel could have potential use as a rectal delivery drug for bypassing first-pass effects and improving bioavailability for the drug Agomelatine. Full article
(This article belongs to the Special Issue Hydrogels in Biomedicine: Drug Delivery and Tissue Engineering)
Show Figures

Figure 1

22 pages, 4387 KB  
Article
The Optimal Amount of PAMAM G3 Dendrimer in Polyurethane Matrices Makes Them a Promising Tool for Controlled Drug Release
by Magdalena Zaręba, Magdalena Zuzanna Twardowska, Paweł Błoniarz, Jaromir B. Lechowicz, Jakub Czechowicz, Dawid Łysik, Magdalena Rzepna and Łukasz Stanisław Uram
Polymers 2026, 18(1), 135; https://doi.org/10.3390/polym18010135 - 1 Jan 2026
Viewed by 432
Abstract
Systemic anticancer therapy causes a number of side effects; therefore, local drug release devices may play an important role in this area. In this study, we developed polyurethane-dendrimer foams containing different amounts of third-generation poly (amidoamine) dendrimers (PAMAM G3) to evaluate their ability [...] Read more.
Systemic anticancer therapy causes a number of side effects; therefore, local drug release devices may play an important role in this area. In this study, we developed polyurethane-dendrimer foams containing different amounts of third-generation poly (amidoamine) dendrimers (PAMAM G3) to evaluate their ability to encapsulate and release the model anticancer drug doxorubicin (DOX), as well as their biocompatibility and effectiveness against normal and cancer cells in vitro. PU–PAMAM foams containing 10–50 wt% PAMAM G3 were prepared using glycerin-based polyether polyol and castor oil as co-components. Structural and rheological analyses revealed that foams containing up to 20 wt% PAMAM G3 exhibited a well-developed porous structure, while higher dendrimer loadings (≥30 wt%) led to irregular cell shapes, pore coalescence, and thinning of cell walls, and indicated a gradual loss of structural integrity. Rheological creep–recovery measurements confirmed the structural findings: moderate PAMAM G3 incorporation (≤20 wt%) increased both the instantaneous and delayed elastic modulus (E1 ≈ 130–140 kPa; E2 ≈ 80 kPa) and enhanced elastic recovery, reflecting improved cross-link density and foam stability. Higher dendrimer contents (30–50 wt%) caused a decline in these parameters and higher viscoelastic compliance, indicating a softer, less stable structure. The DOX loading capacity and encapsulation efficiency increased with PAMAM G3 content, reaching maximum values of 35% and 51% for 30–40 wt% PAMAM G3, respectively. However, the most sustained DOX release profiles were observed for matrices containing 20 wt% PAMAM G3. Analysis of cumulative release and kinetic modeling revealed a transition from diffusion-controlled release at low PAMAM contents to burst-dominated release at higher dendrimer loadings. Importantly, matrices containing 10–20 wt% PAMAM G3 also indicated selective anticancer action against squamous cell carcinoma (SCC-15) compared to non-cancerous human keratinocytes (HaCaT). Moreover, the DOX they released effectively destroyed cancer cells. Overall, PU–PAMAM foams containing 10–20 wt% PAMAM G3 provide the most balanced combination of structural stability, controlled drug release, and cytocompatibility. These materials therefore represent a promising platform as passive carriers in drug delivery systems (DDSs), such as local implants, anticancer patches, or bioactive wound dressings. Full article
Show Figures

Figure 1

26 pages, 3111 KB  
Article
Preclinical Investigation of PLGA Nanocapsules and Nanostructured Lipid Carriers for Organoselenium Delivery: Comparative In Vitro Toxicological Profile and Anticancer Insights
by Bianca Costa Maia-do-Amaral, Taís Baldissera Pieta, Luisa Fantoni Zanon, Gabriele Cogo Carneosso, Laísa Pes Nascimento, Nayra Salazar Rocha, Bruna Fracari do Nascimento, Letícia Bueno Macedo, Tielle Moraes de Almeida, Oscar Endrigo Dorneles Rodrigues, Scheila Rezende Schaffazick, Clarice Madalena Bueno Rolim and Daniele Rubert Nogueira-Librelotto
Pharmaceutics 2026, 18(1), 57; https://doi.org/10.3390/pharmaceutics18010057 - 31 Dec 2025
Viewed by 390
Abstract
Background/Objectives: Cancer is a major health concern involving abnormal cell growth. Combining anticancer agents can enhance efficacy and overcome resistance by targeting multiple pathways and creating synergistic effects. Methods: This study used in silico approaches to evaluate the physicochemical and pharmacokinetic profiles of [...] Read more.
Background/Objectives: Cancer is a major health concern involving abnormal cell growth. Combining anticancer agents can enhance efficacy and overcome resistance by targeting multiple pathways and creating synergistic effects. Methods: This study used in silico approaches to evaluate the physicochemical and pharmacokinetic profiles of the innovative organoselenium nucleoside analog Di3a, followed by the design of two nanocarriers. Di3a-loaded PLGA nanocapsules and nanostructured lipid carriers based on compritol were prepared and evaluated alone and combined with doxorubicin (DOX) and docetaxel (DTX) for a synergistic effect. Results: Di3a subtly violated some of Lipinski’s rules, but still showed suitable pharmacokinetic properties. Both nanoparticles presented nanometric size, negative zeta potential and polydispersity index values < 0.20. Hemolysis assay suggested a pH-dependent pattern conferred by the surfactant 77KL, and evidenced the biocompatibility of the formulations, aligning with the results observed in the nontumor L929 cell line. The lack of drug release studies under varying pH conditions constitutes a limitation and warrants further investigation to validate the pH-responsive properties of the nanocarriers. MTT assay revealed that both formulations exhibited significant cytotoxic effects in the A549 cell line. However, neither formulation exhibited marked toxicity toward NCI/ADR-RES, a resistant tumor cell line. Conversely, when combined with DOX or DTX, the treatments were able to sensitize these resistant cells, achieving expressive synergistic antitumor activity. Conclusions: Despite the limitations in the in silico studies, the study highlights the potential of combining the proposed nanocarriers with conventional antitumor drugs to sensitize multidrug-resistant cancer cells and emphasizes the safety of the developed nanoformulations. Full article
(This article belongs to the Special Issue Application of PLGA Nanoparticles in Cancer Therapy)
Show Figures

Figure 1

29 pages, 3472 KB  
Article
Emulsome-Based Nanocarrier System for Controlled 4-Phenylbutyric Acid Delivery and Mechanistic Mitigation of Arsenical-Induced Skin Injury via Foam Application
by Nethra Viswaroopan, Meheli Ghosh, Sharvari M. Kshirsagar, Jasim Khan, Jennifer Toral-Orduno, Ritesh K. Srivastava, Mohammad Athar and Ajay K. Banga
Pharmaceutics 2026, 18(1), 53; https://doi.org/10.3390/pharmaceutics18010053 - 30 Dec 2025
Viewed by 273
Abstract
Background: Lewisite, a potent chemical warfare agent, induces rapid and progressive cutaneous damage, necessitating treatment strategies that offer both immediate decontamination and prolonged therapeutic action. This study aimed to develop and evaluate a composite topical formulation comprising 4-phenylbutyric acid (4-PBA)-loaded emulsomes embedded [...] Read more.
Background: Lewisite, a potent chemical warfare agent, induces rapid and progressive cutaneous damage, necessitating treatment strategies that offer both immediate decontamination and prolonged therapeutic action. This study aimed to develop and evaluate a composite topical formulation comprising 4-phenylbutyric acid (4-PBA)-loaded emulsomes embedded within a foam vehicle to address both aspects of vesicant-induced skin injury intervention. Methods: Emulsomes composed of a stearic acid–cholesterol solid lipid core stabilized by a lecithin shell were prepared via thin film hydration and optimized by varying lipid ratios and drug loading parameters. Formulations were characterized for drug loading, particle size, and zeta potential. Physicochemical compatibility was assessed using Fourier transform infrared spectroscopy (FTIR) and differential scanning calorimetry (DSC) analyses. Stability was evaluated under accelerated refrigerated (25 °C/60% RH) and room temperature (40 °C/75% RH) conditions. The optimized formulation was incorporated into a foam base and evaluated for decontamination efficiency, drug release kinetics, in vitro permeation, and in vivo efficacy. Results: The selected formulation (E2) exhibited high drug loading (17.01 ± 0.00%), monodisperse particle size (PDI = 0.3 ± 0.07), and stable zeta potential (−40 ± 1.24 mV). FTIR and DSC confirmed successful encapsulation with amorphous drug dispersion. The emulsome-foam demonstrated dual functionality: enhanced decontamination (66.84 ± 1.27%) and sustained release (~30% over 24 h), fitting a Korsmeyer–Peppas model. In vitro permeation showed significantly lower 4-PBA delivery from E2 versus free drug, confirming sustained release, while in vivo studies demonstrated therapeutic efficacy. Conclusions: This emulsome-foam system offers a promising platform for topical treatment of vesicant-induced skin injury by enabling both immediate detoxification and prolonged anti-inflammatory drug delivery. Full article
(This article belongs to the Section Drug Delivery and Controlled Release)
Show Figures

Graphical abstract

21 pages, 2124 KB  
Article
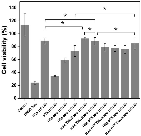
Preparation of Self-Assembled Human Serum Albumin Nanoparticles Decorated with Trastuzumab as a Paclitaxel Delivery System
by Alexa H. Gonzalez-Posada, Yuliana Monsalve, Betty Lucy López and Ligia Sierra
Micromachines 2026, 17(1), 55; https://doi.org/10.3390/mi17010055 - 30 Dec 2025
Viewed by 196
Abstract
This study reports the development of paclitaxel (PTX)-loaded human serum albumin (HSA) nanoparticles (NPs), surface-decorated with trastuzumab (TMAB), with potential applicability in HER2-oriented delivery. The NPs were obtained via thermally driven self-assembly followed by non-covalent antibody adsorption and they were characterized using Fourier [...] Read more.
This study reports the development of paclitaxel (PTX)-loaded human serum albumin (HSA) nanoparticles (NPs), surface-decorated with trastuzumab (TMAB), with potential applicability in HER2-oriented delivery. The NPs were obtained via thermally driven self-assembly followed by non-covalent antibody adsorption and they were characterized using Fourier transform infrared spectroscopy (FTIR), dynamic light scattering (DLS), and ζ-potential analysis. The drug association efficiency (%DAE), defined exclusively for PTX, was high for both HSA-PTX and HSA-PTX-TMAB NPs (96.4% and 98.2% w/w, respectively), with loading capacities (%LC) of 8.9% and 7.4%, respectively. TMAB decoration led to a modest increase in mean diameter and a reduction in surface charge, consistent with successful surface modification. Both formulations exhibited rapid early-phase PTX release followed by an apparent stabilization phase, with distinct kinetic behavior between HSA–PTX and HSA–PTX–TMAB NPs. Cytotoxicity in A549 cells after 18 h of exposure showed modest, non-differential effects consistent with controlled release and short-term assessment of non-specific toxicity. Overall, this thermally assembled albumin-based system provides a promising foundation for further evaluation of HER2-oriented PTX delivery. Full article
(This article belongs to the Special Issue Advanced Biomaterials, Biodevices, and Their Application)
Show Figures

Figure 1

25 pages, 10168 KB  
Review
Microneedle-Based Technologies for Long-Acting Transdermal Drug Delivery in Wearable Devices
by Jiaxin Luo, Yinqi Dai, Xin Cheng, Zifeng Wang and Zhigang Zhu
Sensors 2026, 26(1), 239; https://doi.org/10.3390/s26010239 - 30 Dec 2025
Viewed by 559
Abstract
This review systematically outlines recent advances in long-acting microneedle-based transdermal drug delivery systems. It begins by introducing the fundamental principles of microneedles (MNs) as a minimally invasive technology and categorizes them by delivery mechanism into solid, coated, dissolving, hollow, hydrogel-forming, and biodegradable types. [...] Read more.
This review systematically outlines recent advances in long-acting microneedle-based transdermal drug delivery systems. It begins by introducing the fundamental principles of microneedles (MNs) as a minimally invasive technology and categorizes them by delivery mechanism into solid, coated, dissolving, hollow, hydrogel-forming, and biodegradable types. The review then discusses the design strategies and material platforms engineered for sustained drug release. A key focus is on biodegradable synthetic polymers, such as polylactic acid (PLA), poly (lactic-co-glycolic acid) (PLGA), and polycaprolactone (PCL), and natural polymers like silk fibroin (SF) and chitosan (CS), which enable prolonged drug release through their tunable degradation rates. Furthermore, it describes the incorporation of advanced drug carriers, including liposomes and polymeric nanoparticles/microparticles, into MNs to further extend release duration and enhance drug-loading capacity. Finally, the major challenges for clinical translation are addressed, including ensuring batch-to-batch consistency in manufacturing, maintaining sterility, and the necessity for more comprehensive validation of long-term in vivo efficacy and safety. Full article
Show Figures

Figure 1

16 pages, 1591 KB  
Article
Development of Antimicrobial Comb-like Hydrogel Based on PEG and HEMA by Gamma Radiation for Biomedical Use
by Alfredo Contreras, Alejandra Ortega, Héctor Magaña, Jonathan López and Guillermina Burillo
Gels 2026, 12(1), 32; https://doi.org/10.3390/gels12010032 - 30 Dec 2025
Viewed by 233
Abstract
Poly(ethylene glycol) (PEG) and poly(2-hydroxy ethyl methacrylate) are polymers used for many biomedical applications due to their biocompatibility, non-toxicity, and antibiofouling properties. In this work, a new comb-like hydrogel based on 2-hydroxyethyl methacrylate (HEMA) grafted onto a polyethylene glycol network (net-PEG) [...] Read more.
Poly(ethylene glycol) (PEG) and poly(2-hydroxy ethyl methacrylate) are polymers used for many biomedical applications due to their biocompatibility, non-toxicity, and antibiofouling properties. In this work, a new comb-like hydrogel based on 2-hydroxyethyl methacrylate (HEMA) grafted onto a polyethylene glycol network (net-PEG) was synthesized by gamma radiation from Co60 in two steps. First, PEG (Mw = 20,000) was crosslinked at 30 kGy, and then HEMA was grafted, varying the concentration (5–20% v/v) and irradiation dose (2.5–15 kGy). Results of infrared spectroscopy (FTIR) and thermogravimetric analysis (TGA) confirmed the incorporation of HEMA onto net-PEG. Moreover, the properties of comb-like hydrogel (net-PEG)-g-HEMA were studied through swelling kinetics, drug loading and release, antimicrobial activity, and biocompatibility assays. The findings showed a different behavior in swelling kinetics and drug delivery depending on HEMA grafting. Comb-like hydrogel with 30 and 66% grafting could load more ciprofloxacin (2 mg g−1) than net-PEG (1.5 mg g−1) but only release 38 and 48% at 24 h, respectively. In addition, all drug-loaded hydrogels displayed inhibition for Gram-negative bacteria (E. coli) and a cell viability superior of 95% using mouse embryonic fibroblasts (BALT/T3). Comb-like hydrogel has potential application in the biomedical field such as in wound dressings or controlled drug delivery systems. Full article
Show Figures

Figure 1

13 pages, 3265 KB  
Article
Waterproof Fabric with Copper Ion-Loaded Multicompartmental Nanoparticle Coatings for Jellyfish Repellency
by Bo Wang, Muzi Yang, Ruiqian Yao, Haixia Zhao, Dengguang Yu, Lin Du, Shuaijun Zou and Yuanjie Zhu
Pharmaceutics 2026, 18(1), 47; https://doi.org/10.3390/pharmaceutics18010047 - 30 Dec 2025
Viewed by 241
Abstract
Background: Effective prevention of jellyfish stings is crucial for human safety during marine activities. Traditional protective methods are often limited in terms of coverage area and duration of protection; Methods: This study designed and tested a novel jellyfish-repellent textile by coating waterproof [...] Read more.
Background: Effective prevention of jellyfish stings is crucial for human safety during marine activities. Traditional protective methods are often limited in terms of coverage area and duration of protection; Methods: This study designed and tested a novel jellyfish-repellent textile by coating waterproof polyester fabric with copper ion-loaded multicompartmental nanoparticles, which repel jellyfish by disrupting their cellular membranes and physiological functions. The nanoparticles were synthesized to enable spatial separation of components, enhance stability, and allow controlled copper ion release. They were applied to the fabric in one step via high-voltage electrostatic spray technology, followed by characterization using SEM and FT-IR. The copper sulfate release profile and nanoparticle adhesion were analyzed. Jellyfish-repellent efficacy was evaluated, along with biocompatibility tests including skin sensitization (Magnusson and Kligman method), skin irritation (Draize test), and cytotoxicity (MTT assay on L929 cells and human dermal fibroblasts). Results: SEM confirmed the formation of uniform multicompartmental nanoparticles with sizes ranging from 2.28 to 3.15 μm. FT-IR verified successful anchoring of Cu2+ ions to fabric fibers through coordination with hydroxyl groups. Drug release tests demonstrated water-triggered controlled release of copper ions lasting over 168 h, with nanoparticle retention rates exceeding 70% on all fabrics. The textile showed significant effectiveness in repelling jellyfish. Moreover, no apparent sensitization, irritation, or cytotoxicity was observed. Conclusions: A novel jellyfish-repellent textile was successfully developed using copper ion-loaded multicompartmental nanoparticles. This textile provides a promising solution for preventing jellyfish stings and contributes to the advancement of protective gear for marine activities. Full article
Show Figures

Graphical abstract

Back to TopTop