Sign in to use this feature.

Years

Between: -

Subjects

remove_circle_outline
remove_circle_outline
remove_circle_outline
remove_circle_outline
remove_circle_outline
remove_circle_outline
remove_circle_outline
remove_circle_outline
remove_circle_outline

Journals

remove_circle_outline
remove_circle_outline
remove_circle_outline

Article Types

Countries / Regions

remove_circle_outline
remove_circle_outline
remove_circle_outline
remove_circle_outline

Search Results (411)

Search Parameters:
Keywords = downward flow

Order results
Result details
Results per page
Select all
Export citation of selected articles as:
25 pages, 7474 KB  
Article
A 10-Year Continuous Daily Simulation of Chloride Flux from a Suburban Watershed in Fairfax County, Virginia, USA
by Jeffrey G. Chanat and Christopher A. Custer
Water 2026, 18(1), 43; https://doi.org/10.3390/w18010043 - 23 Dec 2025
Abstract
Increasing levels of chloride in surface water are associated with detrimental effects on water quality, aquatic ecosystems, infrastructure, and human health. Numerous mass-balance studies have inferred watershed transport processes by interpreting chloride inputs and outputs, but few represent internal dynamics explicitly. We constructed [...] Read more.
Increasing levels of chloride in surface water are associated with detrimental effects on water quality, aquatic ecosystems, infrastructure, and human health. Numerous mass-balance studies have inferred watershed transport processes by interpreting chloride inputs and outputs, but few represent internal dynamics explicitly. We constructed a coupled water/chloride mass balance model to gain insights into storage, residence time, and transport processes in a 10-km2 urban watershed. The model, which operates over a 10-year period at a daily time scale, represents storage in a dynamic soil-moisture reservoir, quick-flow runoff from storm events, and slow-flow runoff that sustains streamflow in dry weather. The calibrated model accurately represented (a)the observed transition from a streamflow enrichment regime in cold months to a dilution regime in warmer months, (b) the observed tendency for late-summer concentrations to be higher after winters with heavy snowfall, and (c) a period-of-record downward trend in chloride concentration likely associated with a downward trend in annual snowfall. Estimated chloride inputs averaged 195 metric tons per year, while the average output was 270 metric tons per year. In contrast, estimated storage was only 107 metric tons. The estimated mean residence time in groundwater was 1.27 years. This short residence time indicates that efforts to reduce inputs will manifest as decreased concentrations in streamflow on a management-relevant time scale of several years. The coupled mass balance model yielded insights into internal watershed dynamics that would not be possible from simple input/output analysis; such models can be useful tools for gaining insight into small watershed hydrology and pollutant transport. Full article
(This article belongs to the Section Hydrology)
Show Figures

Figure 1

19 pages, 4401 KB  
Article
Research and Structural Optimization of Lithium Battery Heat Dissipation Based on Leaf Vein Channels
by Haiyan Dai, Changyu Li and Jixiang Zhou
Batteries 2025, 11(12), 453; https://doi.org/10.3390/batteries11120453 - 10 Dec 2025
Viewed by 250
Abstract
The operating temperature of lithium batteries directly affects their charge–discharge performance. This study is based on the LF50K prismatic power battery. The battery’s thermal model and the computational fluid dynamics (CFD) control equation were established. After completing the model verification, a thermal management [...] Read more.
The operating temperature of lithium batteries directly affects their charge–discharge performance. This study is based on the LF50K prismatic power battery. The battery’s thermal model and the computational fluid dynamics (CFD) control equation were established. After completing the model verification, a thermal management system with a bionic leaf vein flow channel was designed. The study focused on investigating the effects of varied flow passage configurations, inlet–outlet flow channel angles, flow channel widths, flow rates, leaf vein angles, and inlet–outlet positions on the cooling effect of the lithium battery module. The results show that, as the inlet–outlet angle and width of the bionic leaf vein fluid flow channel increase, the battery cooling effect deteriorates; the increase in the angle and flow channel width has an adverse impact on battery heat dissipation. The significant reduction in the battery’s maximum temperature observed with an elevated fluid flow rate underscores the positive contribution of flow rate to the cooling process. The effect of the leaf vein angle on the cooling of lithium batteries shows a fluctuating trend: when the angle rises from 30° to 45°, the battery’s peak temperature shows a slow upward tendency; conversely, with the angle further increasing from 45° to 80°, the maximum temperature shows a gradual downward tendency. Specifically, at an angle of 45°, Battery No. 5 hits a maximum temperature of 306.58 K (around 33.43 °C), with the maximum temperature difference also reaching 6.38 K. After optimizing the structural parameters, when operating under the maximum ambient temperature conditions in 2024, the maximum temperature of the battery module decreased by 7 K, and the temperature difference decreased by 5.47 K, enabling the battery to achieve optimal operating efficiency. This study lays a foundation for a further optimization of the thermal management system for lithium-ion batteries in subsequent research. Full article
Show Figures

Figure 1

21 pages, 4822 KB  
Article
Effects of Diameter and Aspect Ratios on Particle Separation Efficiency in Hydrocyclones
by Seunggi Choi, Wontak Choi, Dongmin Shin, Seongyool Ahn and Yonmo Sung
Processes 2025, 13(12), 3980; https://doi.org/10.3390/pr13123980 - 9 Dec 2025
Viewed by 195
Abstract
Hydrocyclones are widely used for solid–liquid separation, but their performance is highly sensitive to the geometric design. Previous studies often focused on individual structural parameters; however, the combined effects of the vortex finder diameter and aspect ratios on the internal flow field and [...] Read more.
Hydrocyclones are widely used for solid–liquid separation, but their performance is highly sensitive to the geometric design. Previous studies often focused on individual structural parameters; however, the combined effects of the vortex finder diameter and aspect ratios on the internal flow field and particle separation behavior remain insufficiently clarified. This study conducted three-dimensional numerical simulations using the realizable k-ε turbulence model, combined with the discrete phase model. The particle size distribution behaves according to the Rosin–Rammler function. Seven different geometries were evaluated under identical operating conditions to systematically investigate how the diameter and aspect ratios influence the internal vortex structures and separation behavior. A decrease in the diameter ratio enhances the dominance of the outward centrifugal forces, which increases the downward discharge of coarse particles but also results in greater liquid entrainment through the underflow. Conversely, larger diameter ratios strengthen the secondary vortex and promote upward flow. However, this also leads to decreased recovery of fine particles due to weakened centrifugal action. Adjusting the aspect ratio effectively mitigates these tradeoffs. Increasing the cone length enhances the residence time, stabilizes the upward vortex, and improves the separation of fine particles. Although the overall separation performance shows diminishing returns beyond a certain aspect-ratio threshold, the recovery of fine particles continues to improve. The results reveal that a balance between centrifugal and drag forces is essential, which is achieved through coordinated control of the vortex finder diameter and cone geometry. This balance is critical for maintaining stable flow fields and high efficiency in fine-particle removal. The findings provide practical design guidance for hydrocyclones, particularly in applications that require enhanced recovery of fine particles and stable multiphase flow behavior. Full article
(This article belongs to the Section Separation Processes)
Show Figures

Figure 1

35 pages, 10685 KB  
Article
Heat Transfer Prediction for Internal Flow Condensation in Inclined Tubes
by Mateus Henrique Corrêa, Victor Gouveia Ferrares, Alexandre Garcia Costa, Matheus Medeiros Donatoni, Maurício Mani Marinheiro, Daniel Borba Marchetto and Cristiano Bigonha Tibiriçá
Fluids 2025, 10(12), 326; https://doi.org/10.3390/fluids10120326 - 9 Dec 2025
Viewed by 192
Abstract
This study investigates the heat transfer coefficient (HTC) during flow condensation inside smooth inclined tubes, analyzing the combined effects of flow orientation, fluid properties and flow characteristics on the thermal performance. The literature review indicates that the channel inclination effect on the HTC [...] Read more.
This study investigates the heat transfer coefficient (HTC) during flow condensation inside smooth inclined tubes, analyzing the combined effects of flow orientation, fluid properties and flow characteristics on the thermal performance. The literature review indicates that the channel inclination effect on the HTC remains insufficiently understood, highlighting the need for further investigation. Thus, a comprehensive experimental database comprising 4944 data points was compiled from 24 studies, including all flow directions, from upward, to horizontal, downward, and intermediate orientations. The study reveals that the influence of flow inclination on the HTC can be ruled by a criterion based on the liquid film thickness Froude number, Frδ. At Frδ > 4.75, the effect of flow inclination becomes negligible, while under Frδ < 4.75, the inclination can have a considerable effect on the HTC. The experimental data show that at low Froude numbers, upward flow typically exhibits higher HTC compared to downward flow, attributed to enhanced interfacial turbulence caused by opposing gravitational and shear forces. In contrast, under vertical downward flow, the annular pattern is more prominent, with reduced interfacial disturbances, limiting HTC performance. The compiled experimental database for inclined channels was compared against an update list of prediction methods, including seven correlations incorporating the inclination angle as an input parameter. Additionally, a new simple correction factor including the effect of inclined tubes was proposed based on the flow inclination angle and on the liquid film thickness Froude number. The proposed correction factor improved the prediction of well-ranked correlations in the literature by over 20% for stratified flow pattern conditions and by more than 5% for low Froude number values. These findings present new insights into how tube inclination can affect heat transfer in a two-phase flow. Full article
Show Figures

Figure 1

19 pages, 9483 KB  
Article
Application of Portable X-Ray Fluorescence Analysis in Mineral Exploration: A Case Study from Cimabanshuo Porphyry Copper Deposit
by Zheming Li, Naiying Wei, Miao Li, Song Wu, Hao Li and Peng Liu
Minerals 2025, 15(12), 1286; https://doi.org/10.3390/min15121286 - 7 Dec 2025
Viewed by 264
Abstract
The Cimabanshuo deposit, situated in the western Gangdese Belt, is a recently discovered porphyry Cu deposit formed in a post-collisional setting, approximately 10 km from the giant Zhunuo porphyry Cu deposit. Despite its proximity to Zhunuo, Cimabanshuo remains poorly studied, and the current [...] Read more.
The Cimabanshuo deposit, situated in the western Gangdese Belt, is a recently discovered porphyry Cu deposit formed in a post-collisional setting, approximately 10 km from the giant Zhunuo porphyry Cu deposit. Despite its proximity to Zhunuo, Cimabanshuo remains poorly studied, and the current exploration depth of 600 m leaves the potential for deeper resources uncertain. In this study, 840 samples from four drill holes along the NW-SE section (A-A′) were analyzed using portable X-ray fluorescence (pXRF). Based on the geochemical characteristics of primary halos, the deep mineralization potential of Cimabanshuo was evaluated. The results show that Co, Pb, and Ag are near-ore indicator elements; Zn, Cs, Hg, Sb, As, and Ba represent the frontal elements; and Te, Sn, and Bi occur as tail elements. Based on these distributions, a 14-element zoning sequence is defined along the A-A′ profile according to Gregorian’s zoning index, showing Mo-Co-Cu-Pb-Bi-Ag-Sn-Te-Sb-Hg-Cs-Zn-Ba-As from shallow to deep. This sequence shows a distinct reverse zonation pattern, in which tail elements occur in the middle and frontal elements appear at depth, suggesting the existence of a concealed ore body in the lower part of the deposit. Horizontally, the geochemical ratios Ag/Mo and Ag/Cu decrease from northwest to southeast along the profile, implying hydrothermal flow from southeast to northwest. Vertically, the ratios As/Bi, (As × Cs)/(Bi × Te), (As × Ba)/(Bi × Sn), and (As × Ba × Cs)/(Bi × Sn × Te) display a downward-decreasing then upward-increasing trend, further indicating hidden mineralization at depth. This inference is supported by the predominance of propylitic alteration and the deep polarization anomaly revealed by audio-magnetotelluric imaging. pXRF analysis provides a fast, efficient, and environmentally friendly approach, showing strong potential for rapid geochemical evaluation in porphyry Cu exploration. Full article
(This article belongs to the Section Mineral Exploration Methods and Applications)
Show Figures

Figure 1

22 pages, 3279 KB  
Article
Anatomical Determinants of Tracheal Breathing Sounds: A Computational Study of Airway Narrowing and Obstructive Sleep Apnea
by Walid Ashraf, Jeffrey J. Fredberg and Zahra Moussavi
Diagnostics 2025, 15(24), 3108; https://doi.org/10.3390/diagnostics15243108 - 7 Dec 2025
Viewed by 270
Abstract
Background: Tracheal breathing sounds (TBS) have demonstrated strong potential as a non-invasive, wakefulness-based diagnostic tool for obstructive sleep apnea (OSA); yet the relationship between specific upper airway anatomical features and the resulting TBS spectra remains insufficiently understood. This study aims to enhance [...] Read more.
Background: Tracheal breathing sounds (TBS) have demonstrated strong potential as a non-invasive, wakefulness-based diagnostic tool for obstructive sleep apnea (OSA); yet the relationship between specific upper airway anatomical features and the resulting TBS spectra remains insufficiently understood. This study aims to enhance the diagnostic utility of TBS in OSA by investigating how the upper airway anatomy influences TBS spectral characteristics. Method: Patient-specific computational models of the upper airway were reconstructed from high-resolution CT scans of a healthy subject and an individual with OSA. Additional variants were generated with targeted constrictions at the velopharynx, oropharynx, and trachea, based on clinically reported anatomical ranges. Airflow dynamics were simulated using Large Eddy Simulation (LES), and the resulting acoustic responses were computed via Lighthill’s acoustic analogy within a hybrid aero-acoustic framework. Results: Oropharyngeal constriction generated the most spatially concentrated vorticity patterns among single-region constricted models. Airway Resistance analysis revealed that severe velopharyngeal and oropharyngeal constrictions contributed most to regional airway resistance. Spectral analysis showed that velopharyngeal narrowing produced a progressive downward shift in the third resonance peak (1000–1700 Hz), while oropharyngeal narrowing induced an upward shift of the third peak and a downward shift of the fourth peak (1700–2500 Hz). These frequency shifts were attributed to the effective role of acoustic mass and airway compliance. Conclusions: Anatomical modifications of the upper airway produce region-specific changes in both flow and acoustic responses. These findings support the use of TBS spectral analysis for non-invasive localization of airway obstructions in OSA. Full article
(This article belongs to the Special Issue Advances in Sleep and Respiratory Medicine)
Show Figures

Figure 1

19 pages, 5251 KB  
Article
Influence of Cross-Sectional Curve Equation on Flow Field Evolution and Particle Separation in the Spiral Concentrator of the First Turn
by Shuling Gao, Chunyu Liu, Xiaohong Zhou, Xintong Zhang, Qian Wang and Cong Han
Separations 2025, 12(12), 327; https://doi.org/10.3390/separations12120327 - 25 Nov 2025
Viewed by 282
Abstract
The flow field evolution in the first turn of the spiral concentrator is decisive for the separation efficiency of solid particles. A laboratory-scale Φ300 mm spiral concentrator was employed as the study subject. The fluid phase was simulated using the RNG k-ε (Renormalization [...] Read more.
The flow field evolution in the first turn of the spiral concentrator is decisive for the separation efficiency of solid particles. A laboratory-scale Φ300 mm spiral concentrator was employed as the study subject. The fluid phase was simulated using the RNG k-ε (Renormalization Group) turbulence model and the VOF (Volume of Fluid) multiphase model, while the particles were calculated with an Eulerian multi-fluid VOF model that incorporates the Bagnold effect. The influence of the cross-sectional curve equation on the evolution of flow field parameters in the first turn and on the separation behavior of hematite and quartz particles was systematically investigated. The results indicated that the evolution characteristics of fluid parameters, such as the depth of flow film, the tangential velocity of surface flow, the velocity of secondary circulation, and radial flux, were similar. All parameters were observed to undergo an initial decrease or increase, eventually stabilizing as the longitudinal travel progressed. A negative correlation was identified between the index of the cross-sectional curve equation and both the depth of flow film and the tangential velocity of surface flow in the inner half of the trough, whereas an inverse relationship was noted in the outer half. With an increase in the index of the cross-sectional curve equation, the outward circulation velocity in the initial stage and its radial flux in the outer zone were enhanced, while the fluctuations in the evolution of local fluid parameters were suppressed, with more active fluid radial migration observed at the indices of the cross-sectional curve equation of 2.5 and 3. As the flow field evolved, axial separation between hematite and quartz particles was progressively achieved by gravity due to their density difference. In the middle and inner-outer zones, the migration directions of hematite and quartz were observed to become opposite in the later stage of evolution, while the difference in their migration magnitudes was also found to be widened. With an increase in the index of the cross-sectional curve equation, the disparity in the axial separation and movement between hematite and quartz was enhanced, albeit with a diminishing rate of increase. The maximum separation efficiency between hematite and quartz particles was significantly improved with increased longitudinal travel, reaching over 60% by the end of the first turn; higher indices were determined to be more favorable for achieving this performance. Based on the previous research, the variation in separation indices in the third turn was investigated under both independent adjustment of the index of the cross-sectional curve equation and its combined adjustment with the downward bevel angle. Relatively high and stable separation performance was achieved with the indices of the cross-sectional curve equation of 2.5 and 3, where a maximum separation efficiency of 82.02% was obtained, thereby validating the high efficiency and suitability of the selected spiral concentrator profile. This research elucidated the decisive role of the flow field evolution through the first turn in particle separation behavior from the perspective of quantitative description of hydrodynamic parameters, providing beneficial references for the cross-sectional structure design of spirals and the prediction of the separation index of specific feed. Full article
Show Figures

Figure 1

43 pages, 14490 KB  
Article
Numerical Analysis of the Near-Wake Flow Field of Two Closely Spaced Wind Turbines with Passive Flow Control Ducts
by Maytham M. Abid and Marc Marín-Genescà
Inventions 2025, 10(6), 104; https://doi.org/10.3390/inventions10060104 - 13 Nov 2025
Viewed by 464
Abstract
The growing demand for renewable energy in space-constrained environments highlights the need for compact, high-efficiency wind energy systems. Conventional bare wind turbine (BWT) arrays suffer from severe wake interactions and performance degradation when operated in tandem or closely spaced configurations. To address these [...] Read more.
The growing demand for renewable energy in space-constrained environments highlights the need for compact, high-efficiency wind energy systems. Conventional bare wind turbine (BWT) arrays suffer from severe wake interactions and performance degradation when operated in tandem or closely spaced configurations. To address these limitations, this study investigates the aerodynamic performance and near-wake dynamics of a novel multi-ducted wind turbine (MDWT) system that integrates passive flow-control technique (PFCT) into an innovative fixed-duct design. The objective is to evaluate how tandem ducted arrangements with this integrated mechanism influence wake recovery, vortex dynamics, and power generation compared with multi-bare wind turbine (MBWT) system. A numerical approach is employed using the Unsteady Reynolds-Averaged Navier–Stokes (URANS) formulation with the k–ω SST turbulence model, validated against experimental data. The analysis focuses on two identical, fixed-orientation ducts arranged in tandem without lateral offset, tested under three spacing configurations. The results reveal that the ducted system accelerates the near-wake flow and displaces velocity-deficit regions downward due to the passive flow-control sheets, producing stronger inflow fluctuations and enhanced turbulence mixing. These effects improve wake recovery and mitigate energy losses behind the first turbine. Quantitatively, the MDWT array achieves total power outputs 1.99, 1.90, and 1.81 times greater than those of the MBWT array for Configurations No. 1, No. 2, and No. 3, respectively. In particular, the second duct in Configuration No. 1 demonstrates a 3.46-fold increase in power coefficient compared with its bare counterpart. These substantial gains arise because the upstream duct–PFCT assembly generates a favorable pressure gradient that entrains ambient air into the wake, while coherent tip vortices and redirected shear flows enhance mixing and channel high-momentum fluid toward the downstream rotor plane. The consistent performance across spacings further confirms that duct-induced flow acceleration and organized vortex structures dominate over natural wake recovery effects, maintaining efficient energy transfer between turbines. The study concludes that closely spaced MDWT systems provide a compact and modular solution for maximizing energy extraction in constrained environments. Full article
Show Figures

Figure 1

21 pages, 3402 KB  
Article
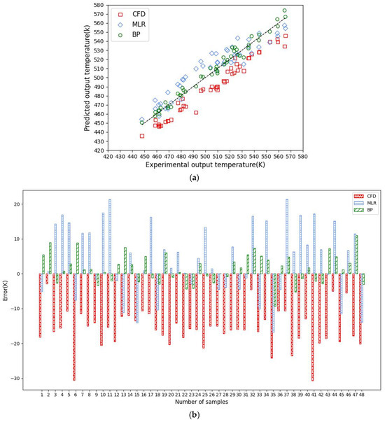
Machine Learning Improves Performance Prediction and Interpretation of Efficiency Influencing Factors of a Novel Basalt-Fiber-Bundle Thermal Flow-Reversal Reactor for Methane Recovery
by Rao Kuang, Bin Du, Peter D. Lund, Jun Wang and Yanying Liu
Energies 2025, 18(21), 5730; https://doi.org/10.3390/en18215730 - 31 Oct 2025
Viewed by 462
Abstract
Low-concentration methane emissions from mines can be recovered using different reactor designs. Here, different artificial intelligence network techniques were employed to predict thermal performance of a basalt-fiber-bundle thermal flow-reversal reactor and investigate the influence of input parameters. The Back Propagation (BP) model gave [...] Read more.
Low-concentration methane emissions from mines can be recovered using different reactor designs. Here, different artificial intelligence network techniques were employed to predict thermal performance of a basalt-fiber-bundle thermal flow-reversal reactor and investigate the influence of input parameters. The Back Propagation (BP) model gave the best accuracy (R2 = 0.974 for outlet temperature, 0.967 for thermal efficiency), exceeding that of traditional Computational Fluid Dynamics (CFD) simulations. For the present design, when flow velocity exceeded 1.5 m/s, the outlet gas temperature shifted from rising to falling, explained by the heat transfer between the gas and the solid inside the flow channel. Increasing the length of the flow-reversal period in the high-temperature phase reduced the outlet temperature, e.g., an increase from 60 s to 200 s decreased the outlet temperature by 34.1 K. Increasing inlet methane concentration (e.g., from 0.3% to 0.8%) first showed a slight improvement in thermal efficiency but further increase accelerated the oxidation reaction rate inside the reactor, reducing the temperature difference between the solid and gas in the channel, which slowed the heat exchange process and resulted in a downward trend in efficiency. The results indicate that the reactor can handle a wide range of exhaust gas concentrations, being suitable to treat low-methane-concentration exhaust gas. The BP model helped to establish the theoretical basis for setting optimal parameters values for the operation of the proposed reactor. Full article
Show Figures

Figure 1

24 pages, 17148 KB  
Article
Plume Deflection Mechanism in Supersonic Rectangular Jet with Aft-Deck
by Ibraheem AlQadi
Aerospace 2025, 12(11), 974; https://doi.org/10.3390/aerospace12110974 - 30 Oct 2025
Viewed by 375
Abstract
This study investigates jet plume deflection in underexpanded supersonic rectangular nozzles with aft-decks. To determine the underlying mechanism, 117 two-dimensional, Reynolds-averaged Navier–Stokes simulations were performed across a nozzle pressure ratio (NPR) range of 1.9NPR5.0 and aft-deck length ( [...] Read more.
This study investigates jet plume deflection in underexpanded supersonic rectangular nozzles with aft-decks. To determine the underlying mechanism, 117 two-dimensional, Reynolds-averaged Navier–Stokes simulations were performed across a nozzle pressure ratio (NPR) range of 1.9NPR5.0 and aft-deck length (Laft/Dh) range of 1.36Laft/Dh3.37. For each simulation, the first shock reflection S1, the wall-pressure field, the vertical force Fy, and the presence of any separation bubble were recorded to characterize the relationships among NPR, Laft, and θ. Accordingly, a cause-and-effect path was delineated as (NPR,Laft)S1Fyθ. A weighted regression captured 96% of the variance in the deflection angle and revealed that shifts in shock position set the wall-pressure imbalance. The imbalance fixes the vertical force and the force ultimately rotates the jet plume. Downward deflection arises when the shock reflects near the deck edge, whereas upstream reflection initiates a shock–boundary-layer interaction that forms a separation bubble and drives the jet plume upward. Between these extremes, a narrow operating band allows either outcome, explaining the divergent trends reported in prior work. The quantitative model assumes steady, two-dimensional flow and the regression prioritises illuminating the underlying physics over exact prediction of θ. Nevertheless, under these assumptions, the analysis establishes a physics-based framework that reconciles earlier observations and offers a basis for understanding how nozzle pressure ratio and aft-deck length govern jet plume deflection. Full article
(This article belongs to the Section Aeronautics)
Show Figures

Figure 1

21 pages, 4844 KB  
Article
A Study on Characteristics of Oil–Water Relative Permeability Curves and Seepage Mechanisms in Low-Permeability Reservoirs
by Baolei Liu, Hongmin Yu, Youqi Wang, Zheng Yu and Lingfeng Zhao
Processes 2025, 13(11), 3460; https://doi.org/10.3390/pr13113460 - 28 Oct 2025
Viewed by 819
Abstract
Low-permeability reservoirs play a crucial role in global energy supply, yet their efficient development is hindered by complex seepage mechanisms and strong nonlinear flow behavior. This study systematically investigates the characteristics of oil–water relative permeability curves and the associated non-Darcy flow phenomena in [...] Read more.
Low-permeability reservoirs play a crucial role in global energy supply, yet their efficient development is hindered by complex seepage mechanisms and strong nonlinear flow behavior. This study systematically investigates the characteristics of oil–water relative permeability curves and the associated non-Darcy flow phenomena in low-permeability sandstone reservoirs. Through unsteady-state water flooding experiments on native cores with permeabilities ranging from 2.99 to 34.40 mD, we analyzed the influence of permeability on relative permeability curves and categorized the water-phase curves into concave-downward and linear types. A dynamic quasi-threshold pressure gradient model was established, incorporating the corrected permeability and water saturation. Furthermore, a novel relative permeability calculation model was derived by integrating the threshold pressure gradient into the non-Darcy flow framework. Validation against the traditional Johnson–Bossler–Naumann (JBN) method demonstrated that the proposed model more accurately captures the flow behavior in low-permeability media, showing lower oil-phase permeability and higher water-phase permeability. The findings provide a reliable theoretical basis for optimizing water flooding strategies and enhancing recovery in low-permeability reservoirs. Full article
(This article belongs to the Special Issue Advanced Strategies in Enhanced Oil Recovery: Theory and Technology)
Show Figures

Figure 1

30 pages, 4237 KB  
Review
A Review of Hydrodynamic Cavitation Passive and Active Control Methods in Marine Engineering Applications
by Ebrahim Kadivar and Pankaj Kumar
Symmetry 2025, 17(11), 1782; https://doi.org/10.3390/sym17111782 - 22 Oct 2025
Viewed by 1219
Abstract
Hydrodynamic cavitation usually occurs in marine and ocean engineering and hydraulic systems and may lead to destructive effects such as an enhanced drag force, noise, vibration, surface damage, and reduced efficiency. Previous studies employed several passive and active control strategies to manage unstable [...] Read more.
Hydrodynamic cavitation usually occurs in marine and ocean engineering and hydraulic systems and may lead to destructive effects such as an enhanced drag force, noise, vibration, surface damage, and reduced efficiency. Previous studies employed several passive and active control strategies to manage unstable cavitation and its adverse effects. This study reviews various passive and active control strategies for managing diverse cavitation stages, such as partial, cloud, and tip vortex. Regarding the passive methods, different control factors, including the sweep angle of the foil, roughness, bio-inspired riblets, V-shaped grooves, J grooves, obstacles, surface roughness, blunt trailing edge, slits, various vortex generators, and triangular slots, are discussed. Regarding the active methods, various injection methods including air, water, polymer, and synthetic jet and piezoelectric actuators are reviewed. It can be concluded that unstable cavitation can be controlled by both the active and passive approaches independently. However, in the severe conditions of cavitation and higher angles of attack, the passive control methods can only alleviate some re-entrant jets propagating in the downward direction, and proper control of the cavity structure cannot be achieved. In addition, active control methods mostly require supplementary energy and, consequently, lead to higher expenses. Combined passive active control technologies are suggested by the author, using the strengths of both methods to suppress cavitation and control the cavitation instability for a broad range of cavitating flows efficiently in future works. Full article
(This article belongs to the Special Issue Symmetry in Marine Hydrodynamics: Applications to Ocean Engineering)
Show Figures

Figure 1

14 pages, 2649 KB  
Article
The Influence of the Depth of Tubing in Downward-Inclined Horizontal Wells for Shale Gas on the Drainage and Production Effect
by Jingjia Yang, Lujie Zhang, Guofa Ji, Junliang Li and Zilong Liu
Processes 2025, 13(10), 3348; https://doi.org/10.3390/pr13103348 - 19 Oct 2025
Cited by 1 | Viewed by 381
Abstract
Shale gas pressure post-production accompanies the entire production process. The depth of the tubing is crucial for the entire life cycle of production, especially influencing the production dynamics in the middle and later stages of downward-inclined Wells. The full dynamic multiphase flow simulation [...] Read more.
Shale gas pressure post-production accompanies the entire production process. The depth of the tubing is crucial for the entire life cycle of production, especially influencing the production dynamics in the middle and later stages of downward-inclined Wells. The full dynamic multiphase flow simulation method is adopted, combined with wellbore structure, fluid composition (gas), gas layer temperature and pressure gradient, production dynamic data, etc., to establish the wellbore structure model of the gas well, simulate the production dynamics under different formation pressures and tubing depths, and determine a reasonable tubing depth. Considering the material balance of the constant-volume gas reservoir and the critical formation pressure of the gas well’s self-injection, the cumulative gas production of the gas well at different tubing depths was analyzed. Taking 11210-1-well as an example, it was believed that when the tubing depth reached 4000 m, the self-injection production time could be extended by 206 days, and the cumulative gas production increased by 5.1 × 106 m3, compared with the tubing depth of 2983 m. The gas production is increased by approximately 12.2 × 106 cubic meters when the tubing depth is 2000 m. The research conclusion can provide theoretical guidance for the optimization of tubing depth during the drainage and production process of shale gas downward-inclined horizontal Wells. Full article
(This article belongs to the Section Energy Systems)
Show Figures

Figure 1

21 pages, 7464 KB  
Article
Suction Flow Measurements in a Twin-Screw Compressor
by Jamshid Malekmohammadi Nouri, Diego Guerrato, Nikola Stosic and Youyou Yan
Fluids 2025, 10(10), 265; https://doi.org/10.3390/fluids10100265 - 11 Oct 2025
Viewed by 361
Abstract
Mean flow velocities and the corresponding turbulence fluctuation velocities were measured within the suction port of a standard twin-screw compressor using LDV and PIV optical techniques. Time-resolved velocity measurements were carried out over a time window of 1° at a rotor speed of [...] Read more.
Mean flow velocities and the corresponding turbulence fluctuation velocities were measured within the suction port of a standard twin-screw compressor using LDV and PIV optical techniques. Time-resolved velocity measurements were carried out over a time window of 1° at a rotor speed of 1000 rpm, a pressure ratio of 1, and an air temperature of 55 °C. Detailed LDV measurements revealed a very stable and slow inflow, with almost no influence from rotor movements except near the rotors, where a more complex flow formed in the suction port. The axial velocity near the rotors exhibited wavy profiles, while the horizontal velocity showed a rotational flow motion around the centre of the port. The turbulence results showed uniform distributions and were independent of the rotors’ motion, even near the rotors. PIV measurements confirmed that there is no rotor movement influence on the inflow structure and revealed complex flow structures, with a crossflow dominated by a main flow stream and two counter-rotating vortices in the X-Y plane; in the Y-Z plane, the presence of a strong horizonal stream was observed away from the suction port, which turned downward vertically near the entrance of the port. The corresponding turbulence results in both planes showed uniform distributions independent of rotor motions that were similar in all directions. Full article
(This article belongs to the Section Turbulence)
Show Figures

Figure 1

15 pages, 4002 KB  
Article
Fire Extinction Analysis and OH-PLIF Visualization of the Methane–Air Premixed Laminar Flame Interacting with the Downward Water Mist
by Yangpeng Liu, Yufei Zhou, Yingxia Zhong, Chuanyu Pan, Guochun Li and Zepeng Wu
Fire 2025, 8(10), 375; https://doi.org/10.3390/fire8100375 - 23 Sep 2025
Viewed by 750
Abstract
In this study, a McKenna burner made for calibration is used to generate the laminar flame with the equivalence ratio of 0.78~2.0. The effect of the downward water mist spray on the extinction of the methane–air premixed laminar flame is investigated using hydroxide [...] Read more.
In this study, a McKenna burner made for calibration is used to generate the laminar flame with the equivalence ratio of 0.78~2.0. The effect of the downward water mist spray on the extinction of the methane–air premixed laminar flame is investigated using hydroxide planar laser-induced fluorescence (OH-PLIF). The variation of the water flow rate for flame extinction is analyzed by the hydroxyl radical concentration distribution and the effective water mist flow rate. The required water flow rate for flame extinction is higher in the cases of rich fuel mixtures. The maximum critical extinguishing water flow rate for the methane–air premixed laminar flame is about 9.55 L/min under the conditions of water mist spray with a 45° solid cone spray angle and a 24 μm droplet size. Furthermore, the evolution of OH-PLIF flame behavior revealed that the stability of the hydroxyl radical concentration at the base of the flame mainly contributed to the flame extinction. This study provides a theoretical reference for the critical extinguishing conditions of water mist in the application of an active fire suppression system. Full article
Show Figures

Figure 1

Back to TopTop