Heat Transfer Prediction for Internal Flow Condensation in Inclined Tubes
Abstract
1. Introduction
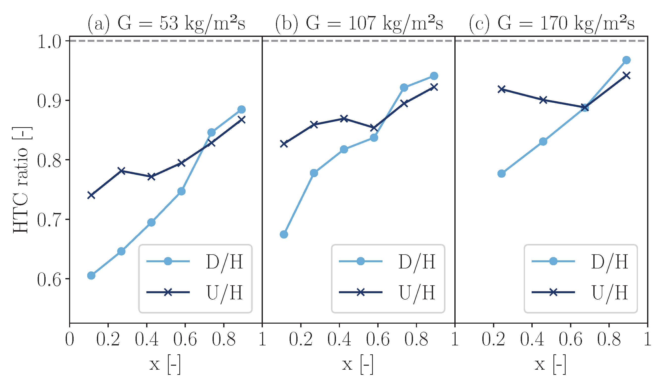
Flow Orientation Influence on Heat Transfer Coefficient
2. Review of Previous Correlations
| Reference | Correlation |
|---|---|
| Correlations without angular factor | |
| Shah [19] | Where from the Dittus–Boelter correlation. |
| Dorao and Fernandino [20] | |
| Dorao and Fernandino [21] | Where |
| Marinheiro et al. [24] | |
| Correlations with angular factor | |
| Mohseni et al. [12] | Where |
| Yang et al. [25] | Where |
| Xing et al. [26] | For :
For : Where is predicted by Shah [31] correlation. |
| Cao et al. [28] | For : For : |
| Moghadam et al. [27] | Where |
| Shah [22] | If it is a vertical downward flow, or the fluid is hydrocarbon, or , then
For horizontal flows, For vertical flows, If otherwise, Where and are defined in Shah [22]. |
3. Database Description
4. Development of Correlation for Inclined Tubes
4.1. Criterion for Including the Effect of Inclination Angle on Internal Flow Condensation Heat Transfer
4.2. New Correlation Including the Effect of Inclination Angle on Internal Flow
5. Comparative Evaluation of the Proposed Correlation
6. Conclusions
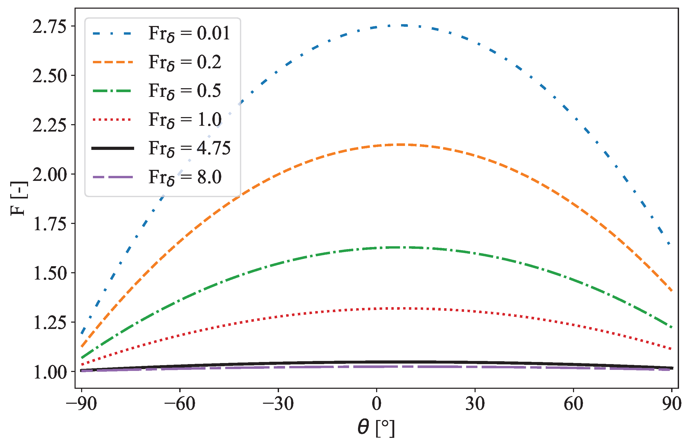
- A criterion to distinguish flow regime conditions in which the inclination angle is significant was developed, as given by Equation (6). It was found that for a liquid film thickness Froude number < 4.75, the inclination angle plays a relevant role in internal flow condensation.
- A correction factor, F, was proposed to predict the HTC in inclined channels, shown in Equations (8) and (9). The correction factor is a function of both the inclination angle and the liquid film thickness Froude number. It indicates that asymmetry in the liquid film thickness increases the average circumferential heat transfer coefficient (HTC), with a more pronounced effect for upward flows. This finding suggests that buoyancy forces positively contribute to heat transfer in upward flow conditions.
- Comparisons between prediction methods, coupled to the newly developed inclination correction factor, and experimental data revealed a consistent reduction in deviations due to the incorporation of Equations (8) and (9). Among all tested prediction methods, the lowest mean absolute percentage error, 24.1%, for the inclined tube database was obtained by the correlation of Marinheiro et al. [24] multiplied by the inclination correction factor proposed. This represents an improvement from the 26.9% error obtained with the same correlation without the inclination correction. Comparable MAPE reduction from 28.1% to 25.0% was achieved by the correlation of Shah [19].
- Comparisons between microgravity HTC data of Mudawar et al. [59] and the evaluated correlations show that Equation (7), developed for > 4.75, predicted the microgravity database with the lowest MAPE. This result supports the assumption that, under normal Earth gravity conditions, gravitational forces are less relevant for condensing flows with > 4.75.
Author Contributions
Funding
Data Availability Statement
Acknowledgments
Conflicts of Interest
Abbreviations
| CFC | Chlorofluorocarbon |
| D | Downward |
| H | Horizontal |
| HFC | Hydrofluorocarbon |
| HFE | Hydrofluoroethers |
| HFO | Hydrofluoroolefin |
| HTC | Heat transfer coefficient |
| MAPE | Mean absolute percentage error |
| U | Upward |
Symbols
| Bond number [-], | |
| D | Diameter [mm] |
| Correction factor [-] | |
| Froude number [-], | |
| Liquid Froude number [-], | |
| Liquid-only Froude number [-], | |
| Vapor Froude number [-], | |
| Vapor-only Froude number [-], | |
| Liquid film thickness Froude number [-] | |
| G | mass velocity [kg/m2] |
| g | Gravity [9.81 m/s2] |
| h | Heat transfer coefficient [W/m2K] |
| k | Thermal conductivity [W/mK] |
| L | Length [m] |
| Nusselt number [-], | |
| p | Pressure [Pa] |
| Prandtl number [-], | |
| Two-phase Prandtl number [-], | |
| Reynolds number [-], | |
| Liquid Reynolds number [-], | |
| Liquid-only Reynolds number [-], | |
| Vapor Reynolds number [-], | |
| Vapor-only Reynolds number [-], | |
| Two-phase Reynolds number [-], | |
| T | Temperature [°C] |
| x | Vapor quality [-] |
| Greek symbols | |
| Lockhart–Martinelli parameter [-] | |
| Turbulent liquid and vapor phases Lockhart–Martinelli parameter [-], | |
| Liquid film thickness [m] | |
| Percentage of data within the range of i% [%] | |
| Dynamic viscosity [Ns/m2] | |
| Density [kg/m3] | |
| Inclination angles [°] | |
| Subscripts | |
| Two phase | |
| b | Bottom |
| H | Hydraulic |
| l | Liquid |
| Liquid-only | |
| m | Average |
| r | Reduced |
| Saturation | |
| t | Top |
| v | Vapor |
| Vapor-only | |
| w | Tube wall |
Appendix A. Selected Correlations for Analysis
| Author | Valid for Vertical or Inclined Tubes?/ Validity Range | Fluids | Dh[mm] | G [kg/m2s] | T [°C]/pr [-] | Other Remarks |
|---|---|---|---|---|---|---|
| HEAT–MOMENTUM ANALOGY | ||||||
| Traviss et al. [52] | No/- | R12; R22 | 8.0 | 161.4–1532 | 24–60/- | Valid for horizontal flow Annular flow |
| Moser et al. [16] | Yes/−90° | R11; R113; R12; R125; R22; R134a; R410A | 3.14–20 | 87–1532 | 21–79/0.017–0.651 | Valid for horizontal and vertical downflow 1197 data points |
| Murphy et al. [17] | Yes/−90° | R290 | 1.93 | 75–150 | 47–74/0.38–0.66 | Valid only for vertical downward flow Developed based on 27 data points |
| EMPIRICAL | ||||||
| Akers et al. [51] | No/- | R12; R290 | 15.7 | 78–418 | -/0.657–0.662 | Valid for horizontal flow 32 data points |
| Cavallini and Zecchin [18] | No/- | R12; R22; R113 | - | - | - | Valid for horizontal flow Annular flow 53,000 |
| Shah [19] | Yes/−90° and −15° | Water; R11; R12; R22; R113; methanol; ethanol; benzene; toluene; trichloroethylene | 7–40 | 10.8–210 | 21–310/0.002–0.44 | Valid for horizontal, vertical down, and inclined flow 474 data points kW/m2 |
| Chang et al. [53] | No/- | R290; R600; R600a; R1270; R290/R600; R290/R600a | 8.0 | 50–350 | - | Valid for horizontal flow Developed for pure fluids and binary mixtures of hydrocarbons, circular channel |
| Bohdal et al. [54] | No/- | R134a; R404A | 0.31–3.30 | 100–1300 | 20–40/- | Valid for horizontal flow Single-channels, circular geometry |
| Mohseni et al. [12] | Yes/−90°, −60°, −30°, 0°, +30°, +60° and +90° | R134a | 8.38 | 53–212 | 35/ - | Valid for horizontal, vertical and inclined flow Single smooth tube |
| Yang et al. [25] | Yes/−30° | Water | 50.0 | 10.33–14.15 | 85–103/- | Valid for inclined downflow 45,000 |
| Xing et al. [26] | Yes/−90°, −60°, −45°, −30°, −8°, −4°, 0°, +4°, +8°, +30°, +45°, +60° and +90° | R245fa | 14.81 | 191.3–705.4 | -/0.11–0.1117 | Valid for horizontal, vertical and inclined flow Non-dimensional analysis combined with Shah [31] correlation |
| Cao et al. [28] | Yes/−30°, −15°, −10°, −5°, 0°, +5°, +10°, +15° and +30° | R245fa | 14.7 | 198.8–504.7 | 63.1/0.1382 | Shell-tube heat exchanger |
| Dorao and Fernandino [20] | Yes/−90° and +90° | R125; R141b; R22; R236ea; R245fa; R134a; R410A; R32; R1234ze; R152a; R744; R32/R1234ze; R125/R236ea; R32/R125; water; and other 5 fluids not explicited | 0.067–14.45 | 200–1360 | −132–115/- | Valid for horizontal, vertical up and downflow 2784 data points Circular, Rectangular, Barrel, Triangular, W- shaped, N-shaped and circular channels |
| Dorao and Fernandino [21] | Yes/−90° and +90° | Water; R22; R407c; R410a; R134a; R410A; R32; R236ea; R125; R245fa; R32/R125; carbon dioxide; R1234ze; R141b; R152a; and other 5 fluids not explicited | 0.067–20 | 45.5–1360 | −132.3–115/- | Valid for horizontal, vertical up and downflow 3937 data points Circular, rectangular, barrel, triangular, W- shaped, N-shaped and semi-circular channels |
| Hosseini et al. [56] | No/- | R290, R170, R50, R728, R601, R600a, R290/R600a, R1270, R1234yf, R1234ze(E), R125, R134a, R14, R152a, R161, R22, R236ea, R245fa, R32, R32/R125, R404A, R407C, R41, R410A, R718 | 0.133–20.8 | 13.1–1200 | 0.0005–0.952 | Valid for horizontal flow Circular and rectangular single channels 5809 data points |
| Moghadam et al. [27] | Yes/−90°, −60°, −30°, 0°, +30°, +60° and +90° | R1234yf | 8.3 | 80–320 | 25/0.2018 | Valid for horizontal, vertical and inclined flow 14,000 |
| Shah [22] | Yes/−90° | Water, R11, R12, R22, R32, R41, R113, R123, R125, R134a, R141b, R142b, R152a, R161, R236ea, R245fa, R404A, R410A, R448A, R449A, R450A, R502, R507, R513A, R452B, R454C, R455A, R1234fa, R1234yf, R1234ze(E), DME, butane, propane, carbon dioxide, methane, FC-72, isobutane, propylene, benzene, ethanol, methanol, toluene, Dowtherm 209, HFE7000, HFE7100, ethane, pentane, Novec649, ammonia, nitrogen | 0.08–49 | 1.1–1400 | -/0.0006–0.949 | Valid for horizontal and vertical downflow 8298 data points from 130 sources Circular, rectangular, semi-circular, annular, triangular and barrel-shaped single and multichannels |
| Nie et al. [57] | No/- | Ammonia, R744, DME, ethane, HFE-7000, methane, nitrogen, Novec649, R12, R123, R1234yf, R1234ze(E), R125, R1270, R134a, R14, R141b, R142b, R152a, R161, R22, R236ea, R245fa, R290, R32, R41, R600a, R601 | 0.49–8.92 | 13–1200 | -/0.03–0.95 | Valid for horizontal flow Circular single-channels 6064 data points from 49 sources |
| Marinheiro et al. [24] | Yes/−90° | Ammonia, Dimethylether, Ethane (R170), Ethane/R290(0.33/0.67), Ethane/R290(0.67/0.33), HFE7000, HFE7100, Methane (R50), Methane/Ethane(0.590/0.409), Methane/Ethane(0.828/0.172), Methane/Nitrogen(0.837/0.162), Nitrogen, Novec649, n-pentane (R601), Propylene (R1270), R12, R123, R1234yf, R1234ze(E), R125, R134a, R14, R141b, R142b, R152a, R161, R22, R236ea, R236fa, R245fa, R245fa/n pentane(0.088/0.912), R245fa/n pentane(0.45/0.55), R290, R32, R32/R1234ze(E)(0.23/0.77), R32/R1234ze(E)(0.25/0.75), R32/R1234ze(E)(0.45/0.55), R32/R1234ze(E)(0.46/0.54), R32/R1234ze(E)(0.748/0.251), R32/R1234ze(E)(0.75/0.25), R32/R125(0.5/0.5), R32/R134a(0.265/0.735), R32/R134a(0.55/0.45), R32/R134a(0.745/0.255), R404A, R407C, R41, R410A, R448A, R450A, R452A, R452B, R454B, R454C, R502, R507A, R513A, R600, R600a, R600a/Propylene(0.8056/0.1944), R600a/R290(0.5/0.5), R600a/R290(0.7546 /0.2454), R744, R744/Dimethylether(0.21/0.79), R744 /Dimethylether(0.39/0.61), R744/Nitrogen(0.967/0.033), R744/Nitrogen(0.980/0.02), R744/Nitrogen(0.994/0.006), Water. | 0.0667–20.8 | 13.1–1400 | -/0.0313– 0.998 | Valid for horizontal and vertical downflow 69 working fluids, 12,017 data points Circular, rectangular, triangular, semi-circular and flattened channels |
| FLOW-PATTERN-BASED | ||||||
| Conventional channels | ||||||
| Macdonald and Garimella [55] | No/- | Propane; pentane | 7.75–14.45 | 150–600 | 30–94/0.04–0.95 | Valid for horizontal flow Single channels |
| Minichannels | ||||||
| Kim and Mudawar [23] | Yes/−90° and +90° | R12; R22; R134a; R404A; R123; CO2; R410A; methane; R600a; R32; R245fa; R1234yf; R236fa; R1234ze(E); FC72 | 0.424–6.22 | 53–1403 | -/0.04–0.91 | Valid for horizontal, vertical up and downflow First correlation to include vertical upward data points 4045 data points Circular and rectangular single and multichannels 89,798 |
References
- Ahn, T.; Kang, J.; Bae, B.; Jeong, J.J.; Yun, B. Steam condensation in horizontal and inclined tubes under stratified flow conditions. Int. J. Heat Mass Transf. 2019, 141, 71–87. [Google Scholar] [CrossRef]
- Goto, T.; Jige, D.; Inoue, N.; Sagawa, K. Condensation flow visualization, heat transfer, and pressure drop in printed circuit heat exchangers with straight and wavy microchannels. Int. J. Refrig. 2023, 152, 234–240. [Google Scholar] [CrossRef]
- Lips, S.; Meyer, J.P. Two-phase flow in inclined tubes with specific reference to condensation: A review. Int. J. Multiph. Flow 2011, 37, 845–859. [Google Scholar] [CrossRef]
- Adelaja, A.O.; Dirker, J.; Meyer, J.P. Experimental study of the pressure drop during condensation in an inclined smooth tube at different saturation temperatures. Int. J. Heat Mass Transf. 2017, 105, 237–251. [Google Scholar] [CrossRef]
- Yang, P.; Cao, X.; Liu, J.; Zhou, S. Experimental study of steam condensation heat transfer in an inclined tube at low mass fluxes. Int. J. Heat Mass Transf. 2024, 224, 125257. [Google Scholar] [CrossRef]
- Kharangate, C.R.; Lee, H.; Park, I.; Mudawar, I. Experimental and computational investigation of vertical upflow condensation in a circular tube. Int. J. Heat Mass Transf. 2016, 95, 249–263. [Google Scholar] [CrossRef]
- Ong, C.L.; Thome, J. Macro-to-microchannel transition in two-phase flow: Part 1–Two-phase flow patterns and film thickness measurements. Exp. Therm. Fluid Sci. 2011, 35, 37–47. [Google Scholar] [CrossRef]
- Lips, S.; Meyer, J.P. Experimental study of convective condensation in an inclined smooth tube. Part I: Inclination effect on flow pattern and heat transfer coefficient. Int. J. Heat Mass Transf. 2012, 55, 395–404. [Google Scholar] [CrossRef]
- Chato, J.C. Laminar Condensation Inside horizontal and Inclined Tubes. Ph.D. Thesis, Massachusetts Institute of Technology, Cambridge, MA, USA, 1960. [Google Scholar]
- Meyer, J.P.; Dirker, J.; Adelaja, A.O. Condensation heat transfer in smooth inclined tubes for R134a at different saturation temperatures. Int. J. Heat Mass Transf. 2014, 70, 515–525. [Google Scholar] [CrossRef]
- Ewim, D.R.E.; Meyer, J.P.; Abadi, S.N.R. Condensation heat transfer coefficients in an inclined smooth tube at low mass fluxes. Int. J. Heat Mass Transf. 2018, 123, 455–467. [Google Scholar] [CrossRef]
- Mohseni, S.; Akhavan-Behabadi, M.; Saeedinia, M. Flow pattern visualization and heat transfer characteristics of R-134a during condensation inside a smooth tube with different tube inclinations. Int. J. Heat Mass Transf. 2013, 60, 598–602. [Google Scholar] [CrossRef]
- Del Col, D.; Bortolato, M.; Azzolin, M.; Bortolin, S. Effect of inclination during condensation inside a square cross section minichannel. Int. J. Heat Mass Transf. 2014, 78, 760–777. [Google Scholar] [CrossRef]
- Azzolin, M.; Bortolin, S.; Del Col, D. Convective condensation at low mass flux: Effect of turbulence and tube orientation on the heat transfer. Int. J. Heat Mass Transf. 2019, 144, 118646. [Google Scholar] [CrossRef]
- Marchetto, D.B.; Marinheiro, M.M.; de Souza Netto, A.T.; Furlan, G.; Ribatski, G.; Thome, J.R.; Tibirica, C.B. Condensation flow inside tubes: A review of heat transfer coefficient measurement techniques, experimental databases and prediction methods. Exp. Therm. Fluid Sci. 2025, 160, 111298. [Google Scholar] [CrossRef]
- Moser, K.W.; Webb, R.L.; Na, B. A New Equivalent Reynolds Number Model for Condensation in Smooth Tubes. J. Heat Transf. 1998, 120, 410–417. [Google Scholar] [CrossRef]
- Murphy, D.L.; Macdonald, M.P.; Mahvi, A.J.; Garimella, S. Condensation of propane in vertical minichannels. Int. J. Heat Mass Transf. 2019, 137, 1154–1166. [Google Scholar] [CrossRef]
- Cavallini, A.; Zecchin, R. A dimensionless correlation for heat transfer in forced convection condensation. In Proceedings of the International Heat Transfer Conference, Tokyo, Japan, 3–7 September 1974; Digital Library; Begel House Inc.: Danbury, CT, USA; pp. 309–313. [Google Scholar]
- Shah, M. A general correlation for heat transfer during film condensation inside pipes. Int. J. Heat Mass Transf. 1979, 22, 547–556. [Google Scholar] [CrossRef]
- Dorao, C.A.; Fernandino, M. Dominant dimensionless groups controlling heat transfer coefficient during flow condensation inside pipes. Int. J. Heat Mass Transf. 2017, 112, 465–479. [Google Scholar] [CrossRef]
- Dorao, C.A.; Fernandino, M. Simple and general correlation for heat transfer during flow condensation inside plain pipes. Int. J. Heat Mass Transf. 2018, 122, 290–305. [Google Scholar] [CrossRef]
- Shah, M.M. Improved correlation for heat transfer during condensation in mini and macro channels. Int. J. Heat Mass Transf. 2022, 194, 123069. [Google Scholar] [CrossRef]
- Kim, S.M.; Mudawar, I. Universal approach to predicting heat transfer coefficient for condensing mini/micro-channel flow. Int. J. Heat Mass Transf. 2013, 56, 238–250. [Google Scholar] [CrossRef]
- Marinheiro, M.M.; Marchetto, D.B.; Furlan, G.; de Souza Netto, A.T.; Tibiriçá, C.B. A robust and simple correlation for internal flow condensation. Appl. Therm. Eng. 2024, 236, 121811. [Google Scholar] [CrossRef]
- Yang, J.G.; Ju, X.L.; Ye, S. An empirical correlation for steam condensing and flowing downward in a 50mm diameter inclined tube. Adv. Mater. Res. 2013, 732, 67–73. [Google Scholar] [CrossRef]
- Xing, F.; Xu, J.; Xie, J.; Liu, H.; Wang, Z.; Ma, X. Froude number dominates condensation heat transfer of R245fa in tubes: Effect of inclination angles. Int. J. Multiph. Flow 2015, 71, 98–115. [Google Scholar] [CrossRef]
- Moghadam, M.T.; Behabadi, M.A.; Sajadi, B.; Razi, P.; Zakaria, M.I. Experimental study of heat transfer coefficient, pressure drop and flow pattern of R1234yf condensing flow in inclined plain tubes. Int. J. Heat Mass Transf. 2020, 160, 120199. [Google Scholar] [CrossRef]
- Cao, S.; Xu, J.; Li, Y.; Yan, Y. Condensation heat transfer of R245fa in a shell-tube heat exchanger at slightly inclined angles. Int. J. Therm. Sci. 2017, 115, 197–209. [Google Scholar] [CrossRef]
- Boyko, L.; Kruzhilin, G. Heat transfer and hydraulic resistance during condensation of steam in a horizontal tube and in a bundle of tubes. Int. J. Heat Mass Transf. 1967, 10, 361–373. [Google Scholar] [CrossRef]
- Akhavan-Behabadi, M.; Kumar, R.; Mohseni, S. Condensation heat transfer of R-134a inside a microfin tube with different tube inclinations. Int. J. Heat Mass Transf. 2007, 50, 4864–4871. [Google Scholar] [CrossRef]
- Shah, M.M. An improved and extended general correlation for heat transfer during condensation in plain tubes. Hvac&R Res. 2009, 15, 889–913. [Google Scholar]
- Dobson, M.K.; Chato, J.C. Condensation in smooth horizontal tubes. ASME J. Heat Transf. 1998, 120, 193–213. [Google Scholar] [CrossRef]
- Brown, W.; Goodykoontz, J. Local Heat-Transfer and Pressure Distributions for Freon-113 Condensing in Downward Flow in a Vertical Tube; Technical Report; National Aeronautics and Space Administration—NASA: Washington, DC, USA, 1967. [Google Scholar]
- Goodykoontz, J.H.; Dorsch, R.G. Local Heat-Transfer Coefficients and Static Pressures for Condensation of High-Velocity Steam Within a Tube; Technical report; National Aeronautics and Space Administration—NASA: Washington, DC, USA, 1967. [Google Scholar]
- Maråk, K.A. Condensation Heat Transfer and Pressure Drop for Methane and Binary Methane Fluids in Small Channels. Ph.D. Thesis, Norges Teknisk-Naturvitenskapelige Universitet, Trondheim, Norway, 2009. [Google Scholar]
- Dalkilic, A.; Laohalertdecha, S.; Wongwises, S. Experimental investigation of heat transfer coefficient of R134a during condensation in vertical downward flow at high mass flux in a smooth tube. Int. Commun. Heat Mass Transf. 2009, 36, 1036–1043. [Google Scholar] [CrossRef]
- Park, J.E.; Vakili-Farahani, F.; Consolini, L.; Thome, J.R. Experimental study on condensation heat transfer in vertical minichannels for new refrigerant R1234ze (E) versus R134a and R236fa. Exp. Therm. Fluid Sci. 2011, 35, 442–454. [Google Scholar] [CrossRef]
- Del Col, D.; Bortolato, M.; Bortolin, S.; Azzolin, M. Minichannel condensation in downward, upward and horizontal configuration. J. Phys. Conf. Ser. 2012, 395, 012092. [Google Scholar] [CrossRef]
- Lips, S.; Meyer, J.P. Stratified flow model for convective condensation in an inclined tube. Int. J. Heat Fluid Flow 2012, 36, 83–91. [Google Scholar] [CrossRef]
- Xie, J.; Xu, J.; Cheng, Y.; Xing, F.; He, X. Condensation heat transfer of R245fa in tubes with and without lyophilic porous-membrane-tube insert. Int. J. Heat Mass Transf. 2015, 88, 261–275. [Google Scholar] [CrossRef]
- Olivier, S.P.; Meyer, J.P.; De Paepe, M.; De Kerpel, K. The influence of inclination angle on void fraction and heat transfer during condensation inside a smooth tube. Int. J. Multiph. Flow 2016, 80, 1–14. [Google Scholar] [CrossRef]
- Lin, K.W.; Wang, C.C. Enhanced condensation heat transfer for dielectric fluid within microchannel heat sink. Int. J. Heat Mass Transf. 2017, 106, 518–525. [Google Scholar] [CrossRef]
- Ruzaikin, V.; Lukashov, I.; Breus, A. Ammonia condensation in the horizontal and vertical smooth tubes. Int. J. Refrig. 2024, 164, 1–11. [Google Scholar] [CrossRef]
- O’Neill, L.E.; Balasubramaniam, R.; Nahra, H.K.; Hasan, M.M.; Mudawar, I. Flow condensation heat transfer in a smooth tube at different orientations: Experimental results and predictive models. Int. J. Heat Mass Transf. 2019, 140, 533–563. [Google Scholar] [CrossRef]
- Pusey, A.; Kwack, D.; Kim, H. Heat transfer coefficient and cross-sectional flow structure in condensation of steam in an inclined tube at a low mass flux. Exp. Therm. Fluid Sci. 2021, 127, 110414. [Google Scholar] [CrossRef]
- El Hajal, J.; Thome, J.; Cavallini, A. Condensation in horizontal tubes, part 1: Two-phase flow pattern map. Int. J. Heat Mass Transf. 2003, 46, 3349–3363. [Google Scholar] [CrossRef]
- Schubring, D.; Shedd, T. Critical friction factor modeling of horizontal annular base film thickness. Int. J. Multiph. Flow 2009, 35, 389–397. [Google Scholar] [CrossRef]
- Moreira, T.A.; Colmanetti, A.R.A.; Tibirica, C.B. Heat transfer coefficient: A review of measurement techniques. J. Braz. Soc. Mech. Sci. Eng. 2019, 41, 264. [Google Scholar] [CrossRef]
- Dittus, F.W.; Boelter, L.M.K. Heat transfer in automobile radiators of the tubular type. Univ. Calif. Pub. Eng. 1930, 2, 443–461. [Google Scholar] [CrossRef]
- Moradkhani, M.; Hosseini, S.; Song, M. Robust and general predictive models for condensation heat transfer inside conventional and mini/micro channel heat exchangers. Appl. Therm. Eng. 2022, 201, 117737. [Google Scholar] [CrossRef]
- Akers, W.W.; Deans, H.A.; Crosser, O.K. Condensation Heat Transfer within Horizontal Tubes. Chem. Eng. Prog. Symp. Ser. 1958, 55, 171–176. [Google Scholar]
- Traviss, D.P.; Baron, A.G.; Rohsenow, W.M. Forced-convection condensation inside tubes: A heat transfer equation for condenser design. ASHRAE Trans. 1973, 79, 157–165. [Google Scholar]
- Chang, Y.; Kim, M.; Ro, S. Performance and heat transfer characteristics of hydrocarbon refrigerants in a heat pump system. Int. J. Refrig. 2000, 23, 232–242. [Google Scholar] [CrossRef]
- Bohdal, T.; Charun, H.; Sikora, M. Comparative investigations of the condensation of R134a and R404A refrigerants in pipe minichannels. Int. J. Heat Mass Transf. 2011, 54, 1963–1974. [Google Scholar] [CrossRef]
- Macdonald, M.; Garimella, S. Hydrocarbon condensation in horizontal smooth tubes: Part II–Heat transfer coefficient and pressure drop modeling. Int. J. Heat Mass Transf. 2016, 93, 1248–1261. [Google Scholar] [CrossRef]
- Hosseini, S.; Moradkhani, M.; Valizadeh, M.; Zendehboudi, A.; Olazar, M. A general heat transfer correlation for flow condensation in single port mini and macro channels using genetic programming. Int. J. Refrig. 2020, 119, 376–389. [Google Scholar] [CrossRef]
- Nie, F.; Wang, H.; Zhao, Y.; Song, Q.; Yan, S.; Gong, M. A universal correlation for flow condensation heat transfer in horizontal tubes based on machine learning. Int. J. Therm. Sci. 2023, 184, 107994. [Google Scholar] [CrossRef]
- Zhang, M.; Webb, R.L. Correlation of two-phase friction for refrigerants in small-diameter tubes. Exp. Therm. Fluid Sci. 2001, 25, 131–139. [Google Scholar] [CrossRef]
- Mudawar, I.; Darges, S.J.; Hasan, M.M.; Nahra, H.K.; Balasubramaniam, R.; Mackey, J.R. Experimental investigation and analysis of flow condensation heat transfer in microgravity–Experiments onboard the International Space Station. Int. J. Heat Mass Transf. 2026, 254, 127602. [Google Scholar] [CrossRef]
















| Authors | Fluids | [mm] | [-] | x [-] | HTC [kW/m2K] | G [kg/m2s] | Orientation [VU/H/VD/I] | Data |
|---|---|---|---|---|---|---|---|---|
| Brown and Goodykoontz [33] | R113 | 7.44 | 0.02–0.08 | 0.10–0.99 | 3.00–16.47 | 831.29–1465.62 | 0/0/255/0 | 255 |
| Goodykoontz and Dorsch [34] | Water | 7.44 | 0.00–0.01 | 0.01–0.96 | 2.87–124.39 | 88.34–457.64 | 0/0/355/0 | 355 |
| Maråk [35] | Methane Methane[0.590]-Ethane[0.410], Methane[0.828]-Ethane[0.172], Methane[0.837]-Nitrogen[0.163] | 0.50–1 | 0.10–0.91 | 0.09–0.89 | 3.56–75.57 | 160–1360 | 202/0/0/0 | 202 |
| Dalkilic et al. [36] * | R134a | 8.10 | 0.25–0.32 | 0.69–0.98 | 3.26–12.79 | 260–515 | 0/0/64/0 | 64 |
| Park et al. [37] | R1234ze(E), R134a, R236fa | 1.45 | 0.14–0.44 | 0.00–0.85 | 0.73–3.58 | 100–260 | 0/0/109/0 | 109 |
| Del Col et al. [38] | R134a | 1.23 | 0.25 | 0.20–0.90 | 1.35–8.72 | 100–390 | 58/0/110/0 | 168 |
| Lips and Meyer [39] * | R134a | 8.38 | 0.25 | 0.10–0.60 | 1.00–2.63 | 50–250 | 0/10/0/194 | 204 |
| Lips and Meyer [8] * | R134a | 8.38 | 0.25 | 0.10–0.90 | 1.35–4.24 | 200–600 | 9/10/10/140 | 169 |
| Mohseni et al. [12] * | R134a | 8.38 | 0.22 | 0.10–0.92 | 0.68–6.09 | 35–170 | 17/18/17/72 | 124 |
| Del Col et al. [13] | R134a, R32 | 1.23 | 0.25–0.43 | 0.19–0.91 | 1.24–11.98 | 100–390 | 39/289/183/677 | 1188 |
| Meyer et al. [10] * | R134a | 8.38 | 0.19–0.32 | 0.08–0.89 | 1.04–4.20 | 100–400 | 35/29/35/294 | 393 |
| Xie et al. [40] * | R245fa | 14.81 | 0.11 | 0.18–0.64 | 1.73–3.34 | 198.30–500.70 | 19/9/0/0 | 28 |
| Xing et al. [26] * | R245fa | 14.81 | 0.11 | 0.11–0.69 | 1.57–5.04 | 200–700 | 23/25/24/0 | 72 |
| Olivier et al. [41] * | R134a | 8.38 | 0.25 | 0.10–0.90 | 1.18–4.38 | 100–300 | 12/12/12/192 | 228 |
| Cao et al. [28] * | R245fa | 14.70 | 0.14 | 0.16–0.65 | 2.07–5.83 | 200–500 | 0/30/0/112 | 142 |
| Lin and Wang [42] * | HFE7100 | 0.80 | 0.05 | 0.12–0.87 | 1.80–5.33 | 100–300 | 16/18/16/0 | 50 |
| Ewim et al. [11] * | R134a | 8.38 | 0.25 | 0.25–0.75 | 1.02–2.71 | 50–300 | 10/10/10/119 | 149 |
| Ruzaikin et al. [43] * | Ammonia | 8–11 | 0.12–0.26 | 0.05–0.80 | 3.78–16.04 | 40–160 | 85/63/57/41 | 246 |
| Ahn et al. [1] | Water | 40 | 0.00–0.02 | 0.25–0.96 | 8.40–14.29 | 10.05–49.95 | 0/0/0/19 | 19 |
| Murphy et al. [17] * | Propane | 1.93 | 0.38–0.66 | 0.10–0.78 | 1.11–6.34 | 75–150 | 0/0/27/0 | 27 |
| O’Neill et al. [44] | C6F14 | 7.12 | 0.07 | 0.00–0.97 | 0.27–8.69 | 53.80–360.30 | 112/97/123/0 | 332 |
| Moghadam et al. [27] * | R1234yf | 8.30 | 0.20 | 0.12–0.77 | 1.01–2.82 | 80–320 | 31/31/31/124 | 217 |
| Pusey et al. [45] * | Water | 17 | 0.00 | 0.26–0.93 | 7.43–12.76 | 3.43 | 0/3/3/18 | 24 |
| Yang et al. [5] * | Water | 25 | 0.01 | 0.20–0.85 | 6.34–18.39 | 20–50 | 0/12/0/167 | 179 |
| Methods/Databases | All Database (4944 Points) | Macro-Channel (3199 Points) | Mini-Channel (1745 Points) | ||||||
|---|---|---|---|---|---|---|---|---|---|
| MAPE [%] | [%] | [%] | MAPE [%] | [%] | [%] | MAPE [%] | [%] | [%] | |
| Akers et al. [51] | 58.2 | 39.4 | 58.7 | 30.4 | 56.0 | 80.6 | 109.2 | 8.8 | 18.6 |
| Traviss et al. [52] | 39.7 | 53.7 | 77.4 | 39.0 | 47.3 | 74.1 | 40.9 | 65.3 | 83.7 |
| Cavallini and Zecchin [18] | 32.4 | 59.9 | 85.2 | 30.0 | 56.8 | 86.7 | 36.7 | 65.7 | 82.3 |
| Shah [19] | 28.1 | 62.1 | 84.3 | 28.2 | 60.0 | 86.0 | 28.0 | 66.0 | 81.4 |
| Shah [19] * | 25.0 | 70.2 | 89.2 | 24.3 | 70.4 | 92.0 | 26.3 | 69.8 | 84.2 |
| Moser et al. [16] | 32.2 | 62.3 | 82.7 | 30.9 | 61.5 | 82.0 | 34.5 | 63.9 | 84.1 |
| Chang et al. [53] | 33.6 | 46.0 | 78.6 | 33.1 | 48.0 | 77.6 | 34.6 | 42.5 | 80.3 |
| Moser et al. [16] modified *** | 49.7 | 39.0 | 72.0 | 56.8 | 41.4 | 67.3 | 36.8 | 34.7 | 80.5 |
| Bohdal et al. [54] | 75.8 | 25.5 | 44.2 | 54.6 | 33.2 | 57.5 | 114.7 | 11.4 | 19.8 |
| Kim and Mudawar [23] | 33.8 | 53.3 | 81.9 | 34.0 | 47.1 | 79.9 | 33.5 | 64.6 | 85.6 |
| Mohseni et al. [12] ** | 92.9 | 30.8 | 44.2 | 119.6 | 16.4 | 24.1 | 44.1 | 57.1 | 80.9 |
| Yang et al. [25] ** | 53.6 | 20.7 | 40.8 | 49.5 | 29.4 | 54.1 | 61.0 | 4.6 | 16.4 |
| Xing et al. [26] ** | 50.4 | 63.1 | 83.4 | 47.2 | 63.5 | 83.2 | 56.5 | 62.5 | 84.0 |
| Macdonald and Garimella [55] | 80.3 | 29.2 | 55.6 | 94.4 | 32.3 | 58.4 | 54.6 | 23.6 | 50.5 |
| Cao et al. [28] ** | 33.0 | 59.9 | 81.8 | 37.3 | 56.5 | 79.4 | 25.0 | 66.1 | 86.1 |
| Dorao and Fernandino [20] | 33.2 | 49.6 | 75.4 | 35.0 | 46.8 | 70.0 | 29.9 | 54.7 | 85.3 |
| Dorao and Fernandino [20] * | 29.1 | 59.3 | 80.4 | 30.2 | 56.5 | 76.8 | 27.2 | 64.4 | 87.0 |
| Dorao and Fernandino [21] | 26.1 | 65.9 | 87.4 | 25.2 | 68.1 | 87.6 | 27.7 | 61.9 | 87.0 |
| Murphy et al. [17] | 68.3 | 33.8 | 53.6 | 77.2 | 22.5 | 41.5 | 51.9 | 54.4 | 75.9 |
| Hosseini et al. [56] | 29.9 | 55.8 | 87.7 | 27.5 | 65.7 | 90.4 | 34.4 | 37.7 | 82.9 |
| Moghadam et al. [27] ** | 56.5 | 35.5 | 53.9 | 36.9 | 45.8 | 68.0 | 92.4 | 16.4 | 28.0 |
| Shah [22] ** | 25.4 | 70.2 | 89.3 | 24.8 | 68.3 | 91.5 | 26.7 | 73.5 | 85.1 |
| Nie et al. [57] | 26.2 | 66.0 | 86.7 | 25.3 | 66.1 | 86.2 | 28.0 | 65.8 | 87.5 |
| Marinheiro et al. [24] | 26.9 | 64.3 | 86.0 | 28.8 | 57.3 | 83.0 | 23.2 | 77.1 | 91.6 |
| Marinheiro et al. [24] * | 24.1 | 71.9 | 89.9 | 25.6 | 68.6 | 88.2 | 21.3 | 78.0 | 93.0 |
| Equation (7) | 28.9 | 59.6 | 84.4 | 30.1 | 55.8 | 82.0 | 26.7 | 66.6 | 88.7 |
| Equation (7) * | 25.4 | 69.0 | 90.1 | 26.0 | 65.3 | 90.1 | 24.2 | 75.8 | 90.0 |
| Methods/Databases | < 4.75 (2841 Points) | > 4.75 (2103 Points) | ||||
|---|---|---|---|---|---|---|
| MAPE [%] | [%] | [%] | MAPE [%] | [%] | [%] | |
| Akers et al. [51] | 60.2 | 44.1 | 62.8 | 55.4 | 33.0 | 53.2 |
| Traviss et al. [52] | 30.9 | 57.9 | 84.3 | 51.5 | 47.9 | 68.1 |
| Cavallini and Zecchin [18] | 28.9 | 60.6 | 85.6 | 37.0 | 59.0 | 84.6 |
| Shah [19] | 29.8 | 55.5 | 82.5 | 25.9 | 70.9 | 86.8 |
| Shah [19] * | 24.1 | 70.6 | 90.8 | 26.3 | 69.6 | 87.0 |
| Moser et al. [16] | 32.1 | 57.4 | 81.2 | 32.2 | 68.9 | 84.9 |
| Chang et al. [53] | 37.8 | 37.2 | 73.3 | 28.1 | 58.0 | 85.7 |
| Moser et al. [16] modified *** | 55.3 | 31.5 | 67.5 | 42.2 | 49.2 | 78.0 |
| Bohdal et al. [54] | 79.2 | 27.8 | 47.2 | 71.2 | 22.4 | 40.2 |
| Kim and Mudawar [23] | 34.5 | 46.5 | 79.7 | 32.9 | 62.4 | 85.0 |
| Mohseni et al. [12] ** | 94.7 | 31.2 | 43.0 | 90.6 | 30.2 | 45.7 |
| Yang et al. [25] ** | 49.3 | 24.4 | 50.0 | 59.4 | 15.7 | 28.4 |
| Xing et al. [26] ** | 70.0 | 56.2 | 78.5 | 24.0 | 72.5 | 90.1 |
| Macdonald and Garimella [55] | 50.5 | 31.2 | 63.1 | 120.7 | 26.6 | 45.5 |
| Cao et al. [28] ** | 37.2 | 55.6 | 79.3 | 27.2 | 65.6 | 85.1 |
| Dorao and Fernandino [20] | 38.6 | 36.9 | 69.7 | 25.9 | 66.9 | 83.1 |
| Dorao and Fernandino [20] * | 31.7 | 53.0 | 78.1 | 25.7 | 67.9 | 83.6 |
| Dorao and Fernandino [21] | 26.2 | 64.4 | 89.3 | 25.9 | 68.0 | 84.9 |
| Murphy et al. [17] | 51.9 | 36.1 | 62.4 | 90.3 | 30.6 | 41.7 |
| Hosseini et al. [56] | 31.6 | 54.5 | 87.8 | 27.7 | 57.7 | 87.6 |
| Moghadam et al. [27] ** | 56.6 | 40.1 | 58.6 | 56.3 | 29.2 | 47.5 |
| Shah [22] ** | 25.2 | 66.4 | 88.3 | 25.7 | 75.3 | 90.5 |
| Nie et al. [57] | 24.6 | 69.8 | 88.6 | 28.4 | 60.8 | 84.1 |
| Marinheiro et al. [24] | 27.6 | 61.8 | 85.9 | 25.9 | 67.6 | 86.3 |
| Marinheiro et al. [24] * | 22.8 | 74.8 | 92.1 | 25.9 | 68.0 | 87.0 |
| Equation (7) | 30.9 | 52.9 | 80.7 | 26.2 | 68.7 | 89.3 |
| Equation (7) * | 24.7 | 70.3 | 90.5 | 26.4 | 67.2 | 89.5 |
| Methods/Databases | Horizontal (666 Points) | Upward (1558 Points) | Downward (2720 Points) | ||||||
|---|---|---|---|---|---|---|---|---|---|
| MAPE [%] | [%] | [%] | MAPE [%] | [%] | [%] | MAPE [%] | [%] | [%] | |
| Akers et al. [51] | 61.3 | 27.9 | 46.5 | 50.2 | 47.1 | 64.1 | 62.0 | 37.8 | 58.6 |
| Traviss et al. [52] | 25.3 | 64.0 | 89.9 | 50.4 | 45.5 | 74.5 | 37.1 | 55.8 | 76.1 |
| Cavallini and Zecchin [18] | 23.2 | 67.9 | 93.5 | 43.4 | 52.5 | 77.8 | 28.3 | 62.2 | 87.4 |
| Shah [19] | 23.4 | 67.9 | 91.7 | 34.6 | 52.9 | 74.9 | 25.6 | 66.0 | 87.9 |
| Shah [19] * | 21.7 | 76.9 | 93.2 | 30.7 | 63.5 | 81.9 | 22.5 | 72.4 | 92.4 |
| Moser et al. [16] | 24.4 | 67.9 | 89.2 | 37.4 | 59.1 | 77.2 | 31.1 | 62.9 | 84.3 |
| Chang et al. [53] | 33.4 | 44.4 | 81.4 | 36.2 | 41.1 | 71.6 | 32.3 | 49.2 | 81.9 |
| Moser et al. [16] modified *** | 35.3 | 35.7 | 79.9 | 34.7 | 45.8 | 73.7 | 61.8 | 36.0 | 69.0 |
| Bohdal et al. [54] | 84.0 | 15.6 | 27.3 | 58.6 | 36.4 | 56.8 | 83.7 | 21.7 | 41.1 |
| Kim and Mudawar [23] | 28.9 | 58.3 | 89.6 | 38.8 | 50.5 | 76.6 | 32.2 | 53.7 | 83.1 |
| Mohseni et al. [12] ** | 76.2 | 35.1 | 54.4 | 94.6 | 27.3 | 41.0 | 96.1 | 31.7 | 43.5 |
| Yang et al. [25] ** | 51.3 | 18.3 | 40.8 | 49.1 | 28.0 | 47.4 | 56.7 | 17.1 | 37.0 |
| Xing et al. [26] ** | 21.6 | 68.5 | 96.2 | 37.2 | 59.9 | 79.5 | 65.1 | 63.7 | 82.5 |
| Macdonald and Garimella [55] | 38.4 | 30.2 | 73.0 | 55.1 | 33.9 | 59.2 | 105.0 | 26.4 | 49.3 |
| Cao et al. [28] ** | 21.6 | 68.5 | 96.2 | 43.7 | 50.3 | 70.9 | 29.6 | 63.2 | 84.4 |
| Dorao and Fernandino [20] | 29.9 | 51.5 | 86.2 | 33.4 | 49.5 | 72.5 | 33.8 | 49.2 | 74.4 |
| Dorao and Fernandino [20] * | 25.7 | 66.2 | 91.1 | 28.6 | 60.4 | 78.4 | 30.2 | 57.0 | 79.0 |
| Dorao and Fernandino [21] | 25.4 | 64.3 | 92.5 | 26.0 | 66.5 | 85.5 | 26.3 | 66.0 | 87.2 |
| Murphy et al. [17] | 47.4 | 40.5 | 67.3 | 83.2 | 26.0 | 45.7 | 64.8 | 36.5 | 54.8 |
| Hosseini et al. [56] | 30.3 | 47.7 | 92.3 | 28.5 | 57.4 | 85.2 | 30.7 | 56.9 | 88.1 |
| Moghadam et al. [27] ** | 58.7 | 26.0 | 44.4 | 46.8 | 45.4 | 63.2 | 61.4 | 32.1 | 50.9 |
| Shah [22] ** | 17.1 | 84.4 | 96.4 | 31.5 | 64.5 | 83.4 | 24.0 | 69.9 | 90.9 |
| Nie et al. [57] | 23.7 | 69.4 | 95.9 | 25.1 | 68.9 | 87.0 | 27.5 | 63.4 | 84.2 |
| Marinheiro et al. [24] | 22.1 | 79.7 | 94.3 | 25.6 | 66.9 | 86.5 | 28.7 | 59.0 | 83.7 |
| Marinheiro et al. [24] * | 21.3 | 84.1 | 94.4 | 22.9 | 76.1 | 92.8 | 25.4 | 66.5 | 87.2 |
| Equation (7) | 25.2 | 63.2 | 93.8 | 29.1 | 60.3 | 82.0 | 29.7 | 58.3 | 83.4 |
| Equation (7) * | 22.9 | 80.8 | 95.3 | 25.4 | 68.1 | 89.2 | 26.0 | 66.6 | 89.3 |
| Methods/Databases | Stratified (83 Points) | Stratified Wavy (3200 Points) | Intermittent (485 Points) | Annular (1091 Points) | Mist (85 Points) | ||||||||||
|---|---|---|---|---|---|---|---|---|---|---|---|---|---|---|---|
| MAPE [%] | [%] | [%] | MAPE [%] | [%] | [%] | MAPE [%] | [%] | [%] | MAPE [%] | [%] | [%] | MAPE [%] | [%] | [%] | |
| Akers et al. [51] | 71.1 | 41.0 | 50.6 | 59.3 | 44.5 | 62.6 | 74.9 | 21.4 | 33.8 | 47.2 | 35.1 | 59.2 | 49.5 | 1.2 | 55.3 |
| Traviss et al. [52] | 54.8 | 12.0 | 28.9 | 38.1 | 53.9 | 79.6 | 34.4 | 66.8 | 80.8 | 47.2 | 47.7 | 72.2 | 19.7 | 85.9 | 90.6 |
| Cavallini and Zecchin [18] | 56.2 | 15.7 | 30.1 | 31.3 | 59.6 | 84.3 | 31.6 | 65.8 | 85.8 | 35.3 | 59.8 | 90.7 | 16.6 | 85.9 | 95.3 |
| Shah [19] | 61.8 | 12.0 | 21.7 | 28.9 | 58.3 | 83.5 | 22.3 | 73.8 | 88.0 | 26.2 | 70.9 | 89.4 | 22.9 | 75.3 | 92.9 |
| Shah [19] * | 40.4 | 42.2 | 61.4 | 24.3 | 70.9 | 89.8 | 23.5 | 75.5 | 87.6 | 26.7 | 67.6 | 90.2 | 22.9 | 75.3 | 92.9 |
| Moser et al. [16] | 53.9 | 16.9 | 32.5 | 34.9 | 55.8 | 80.1 | 20.2 | 81.2 | 93.8 | 28.5 | 75.5 | 88.1 | 21.8 | 74.1 | 100 |
| Chang et al. [53] | 65.3 | 10.8 | 19.3 | 36.9 | 37.8 | 74.6 | 22.9 | 73.8 | 95.3 | 26.6 | 61.2 | 86.4 | 33.3 | 37.6 | 90.6 |
| Moser et al. [16] modified *** | 55.5 | 15.7 | 21.7 | 61.0 | 28.2 | 63.8 | 24.9 | 71.8 | 95.5 | 29.8 | 54.9 | 87.2 | 18.0 | 80.0 | 100 |
| Bohdal et al. [54] | 35.2 | 61.4 | 85.5 | 78.5 | 28.4 | 47.0 | 87.9 | 14.8 | 23.3 | 65.5 | 21.2 | 45.2 | 77.3 | 0 | 7.1 |
| Kim and Mudawar [23] | 46.3 | 28.9 | 47.0 | 35.2 | 48.6 | 80.7 | 26.9 | 69.9 | 90.7 | 31.6 | 64.0 | 84.4 | 38.9 | 21.2 | 82.4 |
| Mohseni et al. [12] ** | 25.8 | 79.5 | 88.0 | 100.8 | 31.8 | 43.0 | 77.3 | 15.9 | 44.9 | 85.8 | 30.2 | 42.6 | 43.8 | 34.1 | 62.4 |
| Yang et al. [25] ** | 48.8 | 37.3 | 61.4 | 52.0 | 23.5 | 44.4 | 61.4 | 7.8 | 26.0 | 53.5 | 18.4 | 38.6 | 74.9 | 0 | 0 |
| Xing et al. [26] ** | 1266.8 | 14.5 | 22.9 | 33.6 | 57.6 | 79.8 | 18.2 | 80.2 | 95.3 | 24.5 | 73.5 | 92.2 | 15.1 | 88.2 | 100 |
| Macdonald and Garimella [55] | 47.9 | 31.3 | 56.6 | 57.5 | 28.7 | 57.9 | 69.8 | 41.9 | 72.2 | 129.6 | 27.0 | 45.3 | 398.2 | 3.5 | 5.9 |
| Cao et al. [28] ** | 81.4 | 49.4 | 65.1 | 35.2 | 55.7 | 79.7 | 20.2 | 78.1 | 91.8 | 29.6 | 62.6 | 83.2 | 15.8 | 88.2 | 100 |
| Dorao and Fernandino [20] | 70.0 | 3.6 | 18.1 | 39.1 | 35.6 | 67.2 | 18.1 | 83.7 | 98.6 | 20.6 | 77.4 | 91.7 | 20.9 | 72.9 | 100 |
| Dorao and Fernandino [20] * | 53.9 | 19.3 | 48.2 | 33.6 | 49.0 | 74.0 | 16.0 | 89.1 | 98.6 | 20.7 | 78.4 | 92.3 | 20.9 | 72.9 | 100 |
| Dorao and Fernandino [21] | 40.9 | 51.8 | 62.7 | 28.9 | 57.8 | 84.1 | 16.6 | 91.1 | 99.0 | 21.2 | 79.0 | 92.9 | 20.9 | 72.9 | 100 |
| Murphy et al. [17] | 61.9 | 2.4 | 25.3 | 58.1 | 35.7 | 61.5 | 79.4 | 35.7 | 40.0 | 92.3 | 31.3 | 41.0 | 84.6 | 12.9 | 24.7 |
| Hosseini et al. [56] | 54.8 | 50.6 | 60.2 | 32.6 | 50.8 | 86.1 | 22.6 | 62.1 | 92.6 | 24.4 | 66.5 | 91.8 | 19.9 | 77.6 | 95.3 |
| Moghadam et al. [27] ** | 52.9 | 36.1 | 54.2 | 55.8 | 39.1 | 58.9 | 73.9 | 19.0 | 31.3 | 49.9 | 34.3 | 52.8 | 70.5 | 7.1 | 7.1 |
| Shah [22] ** | 27.1 | 63.9 | 83.1 | 26.7 | 66.3 | 86.8 | 17.5 | 82.5 | 96.7 | 26.1 | 75.3 | 92.9 | 15.0 | 88.2 | 100 |
| Nie et al. [57] | 25.0 | 67.5 | 85.5 | 27.8 | 63.6 | 83.1 | 24.7 | 67.6 | 94.8 | 22.5 | 72.0 | 92.9 | 26.4 | 65.9 | 97.6 |
| Marinheiro et al. [24] | 51.6 | 16.9 | 51.8 | 28.9 | 59.2 | 82.0 | 18.5 | 84.9 | 96.5 | 21.7 | 77.0 | 96.2 | 39.4 | 21.2 | 81.2 |
| Marinheiro et al. [24] * | 33.8 | 57.8 | 69.9 | 25.2 | 69.3 | 87.4 | 17.2 | 88.5 | 96.5 | 21.9 | 77.2 | 96.5 | 39.4 | 21.2 | 81.2 |
| Equation (7) | 60.9 | 7.2 | 26.5 | 31.8 | 50.3 | 79.0 | 18.8 | 88.0 | 97.3 | 22.7 | 78.4 | 97.5 | 26.0 | 60.0 | 100 |
| Equation (7) * | 38.2 | 44.6 | 65.1 | 27.0 | 64.4 | 86.8 | 17.7 | 89.9 | 97.3 | 23.0 | 75.6 | 97.7 | 26.0 | 60.0 | 100 |
| Angle [°] | Yang et al. [25] | Xing et al. [26] | Cao et al. [28] | Shah [22] | Marinheiro et al. [24] × F |
|---|---|---|---|---|---|
| −90 | 65.23 | 85.89 | 24.85 | 24.80 | 32.49 |
| −75 | 38.52 | 118.08 | 21.65 | 21.65 | 20.48 |
| −60 | 46.75 | 34.69 | 20.06 | 20.02 | 16.13 |
| −45 | 52.93 | 40.24 | 23.29 | 23.29 | 22.90 |
| −30 | 40.85 | 36.91 | 40.84 | 27.05 | 17.86 |
| −15 | 48.75 | 53.99 | 49.25 | 21.75 | 12.87 |
| 0 | 51.29 | 21.62 | 21.64 | 17.16 | 21.38 |
| 15 | 32.03 | 20.95 | 96.69 | 22.77 | 23.16 |
| 30 | 34.93 | 31.51 | 41.46 | 27.08 | 22.07 |
| 45 | 39.73 | 29.76 | 26.15 | 26.15 | 11.90 |
| 60 | 50.73 | 38.39 | 33.15 | 33.15 | 27.23 |
| 75 | 34.26 | 18.17 | 16.81 | 16.81 | 7.88 |
| 90 | 58.94 | 46.96 | 28.32 | 36.76 | 22.04 |
| Methods/Databases | Mudawar et al. [59] Database (1093 Points) | ||
|---|---|---|---|
| MAPE [%] | [%] | [%] | |
| Akers et al. [51] | 36.1 | 67.8 | 83.1 |
| Traviss et al. [52] | 26.7 | 76.6 | 88.7 |
| Cavallini and Zecchin [18] | 23.0 | 80.5 | 94.7 |
| Shah [19] | 27.3 | 68.2 | 93.9 |
| Moser et al. [16] | 31.2 | 56.9 | 93.6 |
| Chang et al. [53] | 39.0 | 21.0 | 91.9 |
| Moser et al. [16] modified ** | 32.9 | 54.0 | 93.5 |
| Bohdal et al. [54] | 41.5 | 26.7 | 64.1 |
| Kim and Mudawar [23] | 26.6 | 69.4 | 94.6 |
| Mohseni et al. [12] * | 132.9 | 1.6 | 1.9 |
| Yang et al. [25] * | 40.8 | 58.4 | 76.6 |
| Xing et al. [26] * | 23.1 | 84.1 | 92.4 |
| Macdonald and Garimella [55] | 25.6 | 73.9 | 95.2 |
| Cao et al. [28] * | 23.1 | 84.1 | 92.4 |
| Dorao and Fernandino [20] | 31.0 | 58.6 | 91.7 |
| Dorao and Fernandino [21] | 33.3 | 68.3 | 86.9 |
| Murphy et al. [17] | 28.7 | 67.2 | 88.8 |
| Hosseini et al. [56] | 49.1 | 54.9 | 70.8 |
| Moghadam et al. [27] * | 35.3 | 47.2 | 83.5 |
| Shah [22] * | 23.1 | 84.2 | 92.5 |
| Nie et al. [57] | 21.0 | 83.7 | 91.3 |
| Marinheiro et al. [24] | 19.9 | 86.7 | 94.7 |
| Equation (7) | 19.5 | 87.8 | 93.0 |
Disclaimer/Publisher’s Note: The statements, opinions and data contained in all publications are solely those of the individual author(s) and contributor(s) and not of MDPI and/or the editor(s). MDPI and/or the editor(s) disclaim responsibility for any injury to people or property resulting from any ideas, methods, instructions or products referred to in the content. |
© 2025 by the authors. Licensee MDPI, Basel, Switzerland. This article is an open access article distributed under the terms and conditions of the Creative Commons Attribution (CC BY) license (https://creativecommons.org/licenses/by/4.0/).
Share and Cite
Corrêa, M.H.; Ferrares, V.G.; Costa, A.G.; Donatoni, M.M.; Marinheiro, M.M.; Marchetto, D.B.; Tibiriçá, C.B. Heat Transfer Prediction for Internal Flow Condensation in Inclined Tubes. Fluids 2025, 10, 326. https://doi.org/10.3390/fluids10120326
Corrêa MH, Ferrares VG, Costa AG, Donatoni MM, Marinheiro MM, Marchetto DB, Tibiriçá CB. Heat Transfer Prediction for Internal Flow Condensation in Inclined Tubes. Fluids. 2025; 10(12):326. https://doi.org/10.3390/fluids10120326
Chicago/Turabian StyleCorrêa, Mateus Henrique, Victor Gouveia Ferrares, Alexandre Garcia Costa, Matheus Medeiros Donatoni, Maurício Mani Marinheiro, Daniel Borba Marchetto, and Cristiano Bigonha Tibiriçá. 2025. "Heat Transfer Prediction for Internal Flow Condensation in Inclined Tubes" Fluids 10, no. 12: 326. https://doi.org/10.3390/fluids10120326
APA StyleCorrêa, M. H., Ferrares, V. G., Costa, A. G., Donatoni, M. M., Marinheiro, M. M., Marchetto, D. B., & Tibiriçá, C. B. (2025). Heat Transfer Prediction for Internal Flow Condensation in Inclined Tubes. Fluids, 10(12), 326. https://doi.org/10.3390/fluids10120326

