Sign in to use this feature.

Years

Between: -

Subjects

remove_circle_outline
remove_circle_outline
remove_circle_outline
remove_circle_outline
remove_circle_outline
remove_circle_outline
remove_circle_outline
remove_circle_outline
remove_circle_outline

Journals

remove_circle_outline
remove_circle_outline
remove_circle_outline
remove_circle_outline
remove_circle_outline
remove_circle_outline
remove_circle_outline
remove_circle_outline
remove_circle_outline
remove_circle_outline
remove_circle_outline
remove_circle_outline
remove_circle_outline
remove_circle_outline
remove_circle_outline
remove_circle_outline
remove_circle_outline
remove_circle_outline
remove_circle_outline
remove_circle_outline
remove_circle_outline
remove_circle_outline
remove_circle_outline
remove_circle_outline
remove_circle_outline
remove_circle_outline
remove_circle_outline
remove_circle_outline
remove_circle_outline
remove_circle_outline
remove_circle_outline
remove_circle_outline
remove_circle_outline

Article Types

Countries / Regions

remove_circle_outline
remove_circle_outline
remove_circle_outline
remove_circle_outline
remove_circle_outline
remove_circle_outline
remove_circle_outline
remove_circle_outline
remove_circle_outline
remove_circle_outline
remove_circle_outline
remove_circle_outline

Search Results (3,175)

Search Parameters:
Keywords = document communication

Order results
Result details
Results per page
Select all
Export citation of selected articles as:
47 pages, 5808 KB  
Article
Bryophyte Diversity in the Khaybar White Volcano Geopark (Saudi Arabia)—Floristic Patterns and Conservation Perspectives
by Vincent Hugonnot, Florine Pépin and Jan Freedman
Plants 2025, 14(22), 3423; https://doi.org/10.3390/plants14223423 (registering DOI) - 8 Nov 2025
Abstract
Recent bryological surveys conducted at the Khaybar White Volcano site (northwest Saudi Arabia) led to the documentation of 51 bryophyte species, including five liverworts and 46 mosses. Representing approximately 30% of the national bryophyte flora within less than 0.3% of the country’s surface, [...] Read more.
Recent bryological surveys conducted at the Khaybar White Volcano site (northwest Saudi Arabia) led to the documentation of 51 bryophyte species, including five liverworts and 46 mosses. Representing approximately 30% of the national bryophyte flora within less than 0.3% of the country’s surface, this site emerged as a regional hotspot of bryological diversity. A systematic catalog was compiled, presenting the biogeography, local distribution, demography, fertility, taxonomy and ecology of all recorded taxa. Notably, two Arabian endemics—Crossidium deserti and Tortula mucronifera—were identified in Khaybar, alongside six previously unknown on the Arabian Peninsula (Anoectangium euchloron, Geheebia erosa, Grimmia capillata, Molendoa sendteriana, Pterygoneurum subsessile, and Ptychostomum torquescens) and six species newly recorded for Saudi Arabia (Anoectangium aestivum, Husnotiella revoluta, Syntrichia pagorum, Tortella nitida, Tortula lindbergii, and Tuerckheimia svihlae). These findings highlighted the conservation value of Khaybar, whose unique geothermal microhabitats (active fumaroles) supported a suite of tropical and thermophilous species otherwise absent in northern Arabia, such as Fissidens sciophyllus, and Plagiochasma eximium. Comparative analysis with the AlUla region revealed a comparable species richness despite Khaybar’s smaller area and indicated substantial ecological divergence. While AlUla’s bryoflora was primarily associated with lithological heterogeneity, Khaybar’s was shaped by geothermal activity. Conservation recommendations emphasize the vulnerability of these specialized bryophyte communities to grazing, trampling, and climate change, and call for long-term monitoring, regulated access, and integration into national biodiversity management strategies. Full article
(This article belongs to the Special Issue Bryophyte Biology, 2nd Edition)
23 pages, 1628 KB  
Article
Technical Mediation and Human Presence: A Study on Policy Evolution and Development Pathways of Future Communities
by Liang Xu, Shangkai Song, Ping Shu and Dengjun Ren
Buildings 2025, 15(22), 4027; https://doi.org/10.3390/buildings15224027 (registering DOI) - 8 Nov 2025
Abstract
As an advanced form of community development, Future Communities (Weilai Shequ) is a policy-led urban initiative launched in Zhejiang, China, that prioritizes human-centered development. However, it is currently confronted with an inherent contradiction: the expansion of technological rationality is encroaching upon humanistic values. [...] Read more.
As an advanced form of community development, Future Communities (Weilai Shequ) is a policy-led urban initiative launched in Zhejiang, China, that prioritizes human-centered development. However, it is currently confronted with an inherent contradiction: the expansion of technological rationality is encroaching upon humanistic values. Centering on the core “technology–human” relationship, this study is dedicated to exploring development measures for Future Community that synergistically integrate technological empowerment and humanistic care. Using natural language processing techniques (LDA topic modeling), we conducted an exploration and analysis of the thematic characteristics and evolution of 40 policy documents related to future communities issued by the central and local governments of China from 2014 to 2024. The study identifies six core topics: Quality Enhancement, Technical Foundation, Intelligent Operations and Maintenance, Green and Low-Carbon, All-Age Friendliness, and Community Services. Analysis revealed that each theme embodies a dual connotation of both technological and humanistic dimensions. Furthermore, the study revealed that the evolution of policy semantics follows a three-stage developmental pattern: technology dominance and nascent human-centered values; human-centered rise and technology empowerment; and human-centered deepening and technological embeddedness. Based on the above findings, and grounded in a phenomenological perspective, this study integrates Alexander’s human-centered architectural philosophy with Ihde’s theory of technological mediation to propose a future community construction pathway jointly driven by “technological mediation” and “human presence.” Theoretically, this research transcends the binary narrative of technology versus humanism. In practice, it provides policymakers with tools to avoid technological pitfalls. It establishes fundamental principles for planners and designers to implement humanistic values, ultimately aiming to realize, at the community level, the vision of technology serving humanity’s aspiration for a better life. Full article
17 pages, 2006 KB  
Article
Effects of Host Plant on the Bacterial Community of the Leafhopper Scaphoideus titanus
by Andrea Arpellino, Aya M. A. Elsayed, Elena Gonella and Alberto Alma
Insects 2025, 16(11), 1144; https://doi.org/10.3390/insects16111144 (registering DOI) - 8 Nov 2025
Abstract
The Nearctic leafhopper Scaphoideus titanus is the primary vector of Flavescence Dorée, a severe grapevine disease in Europe. This insect can complete its life cycle on both cultivated Vitis vinifera and American Vitis species, including rootstock-derived plants that have gone wild. While the [...] Read more.
The Nearctic leafhopper Scaphoideus titanus is the primary vector of Flavescence Dorée, a severe grapevine disease in Europe. This insect can complete its life cycle on both cultivated Vitis vinifera and American Vitis species, including rootstock-derived plants that have gone wild. While the movement of S. titanus between wild and cultivated vines is well documented, its biological implications remain unclear, particularly regarding the role of the insect-associated microbiome. In this study, we investigated how rearing S. titanus nymphs on different host plants, including American Vitis and several V. vinifera cultivars, affects its bacterial community. 16S rRNA metabarcoding revealed that the bacterial microbiome was dominated by two obligate symbionts, namely ‘Candidatus Karelsulcia’ and ‘Candidatus Cardinium’, with moderate but significant differences in microbial diversity among host plants and developmental stages. When these dominant symbionts were excluded, variability in the remaining bacterial community increased, indicating a modulation of minor taxa according to the plant offered. These findings suggest that host plant species influence the microbiome structure, potentially affecting the insect performance and the microbial exchange between wild and cultivated vines in the field, contributing to disease dynamics. Full article
(This article belongs to the Special Issue Biology, Ecology and Management of Sap-Sucking Pests)
Show Figures

Figure 1

13 pages, 2189 KB  
Article
Native Bee Assemblages in Prescribed Fire-Managed Prairies: A Case Study from Arkansas, United States
by Coleman Z. Little and Neelendra K. Joshi
Conservation 2025, 5(4), 65; https://doi.org/10.3390/conservation5040065 (registering DOI) - 8 Nov 2025
Abstract
Native bee communities in Arkansas remain poorly documented, particularly within fire-managed prairie ecosystems that provide critical habitat for pollinators. This study surveyed bee assemblages at two native prairie remnants in the Arkansas River Valley, one large (Cherokee Prairie Natural Area, CPNA) and one [...] Read more.
Native bee communities in Arkansas remain poorly documented, particularly within fire-managed prairie ecosystems that provide critical habitat for pollinators. This study surveyed bee assemblages at two native prairie remnants in the Arkansas River Valley, one large (Cherokee Prairie Natural Area, CPNA) and one small urban fragment (Jewel Moore Nature Reserve, JMNR), both managed using prescribed fire. Using pan trapping, we recorded 599 individuals representing 96 species across 25 genera, including 49% singletons. Despite differences in size and landscape context, both prairies supported similarly rich bee communities per sample day, with JMNR and CPNA averaging 16.1 and 13.75 species, respectively. However, species composition diverged notably, with only 34.5% similarity, suggesting distinct community structure driven by site-specific habitat conditions and management histories. CPNA was dominated by large-bodied ground-nesting and cavity-nesting solitary bees, while JMNR supported smaller eusocial halictids and cavity nesters. Results highlight the value of prescribed fire in maintaining nesting substrates and floral resources. Even small, urban prairie remnants like JMNR can support high pollinator richness, emphasizing their role as conservation assets. Our findings contribute to a foundational baseline for native bee diversity in Arkansas and highlight the importance of both large and small fire-managed prairies in regional pollinator conservation planning. Full article
Show Figures

Figure 1

16 pages, 3863 KB  
Article
Alpine Grassland Ecological Restoration Approaches Shape Insect Trophic Guild Diversity: A Multi-Dimensional Assessment from Alpha to Dark Diversity
by Kuanyan Tang, Hongru Yue, Haijuan Qu, Yifang Xing, Bingshuang Qin, Aosheng Wang, Kejian Lin, Kun Shi and Ning Wang
Insects 2025, 16(11), 1140; https://doi.org/10.3390/insects16111140 - 7 Nov 2025
Abstract
The severe degradation of alpine grasslands on the Qinghai–Tibet Plateau poses a significant threat to regional ecological security. While insects are critical for ecosystem functions, their responses to restoration measures in these fragile habitats are poorly documented. This study assessed the initial impacts [...] Read more.
The severe degradation of alpine grasslands on the Qinghai–Tibet Plateau poses a significant threat to regional ecological security. While insects are critical for ecosystem functions, their responses to restoration measures in these fragile habitats are poorly documented. This study assessed the initial impacts of four restoration approaches—grazing exclusion fencing (FE), no-till reseeding (FR), planting grass (GC), and grazing control (CK)—on insect trophic guilds (herbivores, predators, saprophagous, and omnivores) in the Qilian Mountains. Using a multi-dimensional indicator (alpha, zeta, and dark diversity), we systematically assessed community assembly and recovery potential. The results revealed the following: (1) FE supported the highest insect abundance, dominated by phytophagous insects. FR significantly enhanced species’ richness and diversity across multiple functional groups (p < 0.05). GC significantly increased the richness of omnivorous insects, but caused a significant decrease in the Shannon–Wiener index for saprophagous insects (p < 0.05). (2) Zeta diversity revealed stable, widespread-species-dominated communities under FR and FE, while CK and GC favored rare-species-driven succession. Dark diversity analysis indicated high recovery potential for phytophagous insects under FR and FE, while GC enhanced saprophagous latent diversity. However, we emphasize that mechanistic interpretations require further validation. Our findings highlight no-till reseeding as a promising initial strategy, though longer-term studies are essential to evaluate successional trajectories and establish definitive management protocols for alpine grassland restoration. Full article
(This article belongs to the Section Insect Ecology, Diversity and Conservation)
Show Figures

Graphical abstract

22 pages, 544 KB  
Article
Crisis Management During Pandemics: How to Promote Sustainability in Higher Education
by Shayan Frouzanfar, Maryam Omidi Najafabadi, Seyed Mehdi Mirdamadi, Christine Fürst, Brișan Nicoleta-Sanda, Rando Värnik, Yenny Katherine Parra Acosta and Hossein Azadi
Sustainability 2025, 17(22), 9921; https://doi.org/10.3390/su17229921 - 7 Nov 2025
Abstract
Introduction: Global crises such as the COVID-19 pandemic have posed a critical challenge to education and have hampered progress towards sustainability in higher education. Therefore, the present study aimed to examine the impact of pandemic crisis management on the sustainability of higher education. [...] Read more.
Introduction: Global crises such as the COVID-19 pandemic have posed a critical challenge to education and have hampered progress towards sustainability in higher education. Therefore, the present study aimed to examine the impact of pandemic crisis management on the sustainability of higher education. Methods: This research was based on a mixed approach and, in terms of the nature of the data, consisted of two qualitative and quantitative phases. Qualitative data based on the grounded theory were collected through semi-structured interviews with 25 university leaders. The statistical population in the quantitative section consisted of 240 employees and faculty members from agricultural faculties in Tehran province, and the resulting data were analyzed using structural equation modeling. Results: Qualitative data were examined through three phases: open, axial, and selective coding, resulting in the identification of 393 open codes, including 98 ideas across eight primary themes. After validating the model obtained from the qualitative phase, all relationships between variables were confirmed through path analysis. The findings indicated the advancement and enhancement of six factors: the creation of laws and regulations, financial resources, infrastructure, communication and collaboration, human resource management, and social capital, which facilitated the promotion of pandemic crisis management. Likewise, pandemic crisis management affects the sustainability of higher education. Discussion: This research helps to document the pandemic crisis management model of agricultural colleges so that the sustainability of higher education can be achieved through understanding the conditions and strategies of pandemic crisis management. Also, this paper expands the knowledge about the management of the pandemic, which necessitates the sustainability of the functioning of the higher education system. Full article
Show Figures

Figure 1

17 pages, 595 KB  
Review
Bridging Dementia Care in Japan: The Emerging Role of General Medicine Physicians
by Takao Yamasaki
J. Clin. Med. 2025, 14(21), 7889; https://doi.org/10.3390/jcm14217889 - 6 Nov 2025
Abstract
As global populations age, dementia has become a major public health challenge that warrants sustainable, person-centered, and community-integrated models of care. In Japan, the recent introduction of board-certified general medicine (GM) physicians, trained across both family medicine and hospital general medicine, has created [...] Read more.
As global populations age, dementia has become a major public health challenge that warrants sustainable, person-centered, and community-integrated models of care. In Japan, the recent introduction of board-certified general medicine (GM) physicians, trained across both family medicine and hospital general medicine, has created an opportunity to strengthen dementia care through improved continuity and coordination. This narrative review conceptually examines the emerging role of GM physicians within Japan’s Community-Based Integrated Care System and compares this evolving model with dementia care structures in the United States, the United Kingdom, and Canada. By synthesizing policy documents and published literature, this review outlines how GM physicians can serve as integrative actors bridging outpatient and inpatient care, collaborating with dementia specialists, Initial-phase Intensive Support Teams, and Community-based Comprehensive Support Centers to enhance person-centered support throughout the disease trajectory. While empirical outcome data remain limited, this conceptual framework highlights potential contributions of GM physicians to early detection, care transitions, and interdisciplinary collaboration in dementia care. However, challenges persist, including training variability, workforce shortages, and systemic fragmentation. By situating Japan’s experience within an international context, this review provides a conceptual basis for future empirical studies and policy development aimed at strengthening generalist-led dementia care in aging societies. Full article
(This article belongs to the Special Issue Clinical Therapy in Dementia and Related Diseases)
Show Figures

Figure 1

35 pages, 961 KB  
Article
Society and Mining: Reimagining Legitimacy in Times of Crisis—The Case of Panama
by Chafika Eddine
Mining 2025, 5(4), 72; https://doi.org/10.3390/mining5040072 - 6 Nov 2025
Abstract
This study examines Panama’s 2023 mining restrictions to illuminate persistent legitimacy crises in extractive governance. Employing a qualitative case study, it draws on 25 semi-structured interviews with government officials, industry representatives, Indigenous leaders, local communities, mining critics and other civil society actors, alongside [...] Read more.
This study examines Panama’s 2023 mining restrictions to illuminate persistent legitimacy crises in extractive governance. Employing a qualitative case study, it draws on 25 semi-structured interviews with government officials, industry representatives, Indigenous leaders, local communities, mining critics and other civil society actors, alongside policy and document analysis. Findings suggest that legitimacy reconstruction relies on four interdependent conditions: procedural justice, institutional trust, epistemic legitimacy, and relational governance. Stakeholders consistently emphasized transparency, capacity building, and inclusive engagement as essential for future mining activity, underscoring that technical standards alone are insufficient without credible institutions. Building on—but extending beyond—frameworks such as Social License to Operate (SLO) and Free, Prior and Informed Consent (FPIC), this paper offers Social Legitimacy for Mining (SLM) as a provisional, co-produced framework. Developed through literature synthesis and refined by diverse stakeholder perspectives, SLM is applied in Panama as an illustrative proof of concept that may inform further research and practice, while recognizing the need for additional adaptation across jurisdictions. Full article
(This article belongs to the Special Issue Envisioning the Future of Mining, 2nd Edition)
Show Figures

Figure 1

17 pages, 1186 KB  
Article
Facultative Endosymbiont Serratia symbiotica Provides Fitness Benefits for Celery Aphid Semiaphis heraclei Collected from Plant Cnidium monnieri
by Chunyan Chang, Yingshuo Han, Kun Yang, Xin Jiang, Xinrui Zhang, Zhuo Li and Feng Ge
Plants 2025, 14(21), 3391; https://doi.org/10.3390/plants14213391 - 5 Nov 2025
Viewed by 86
Abstract
Semiaphis heraclei Takahashi (Hemiptera: Aphididae) serves as a vital resource for natural enemies from functional plant Cnidium monnieri (L.) Cusson (Apiaceae), playing a crucial role in ecological dynamics. Endosymbionts influence the performance of their hosts. Here, we determined the communities of facultative endosymbionts [...] Read more.
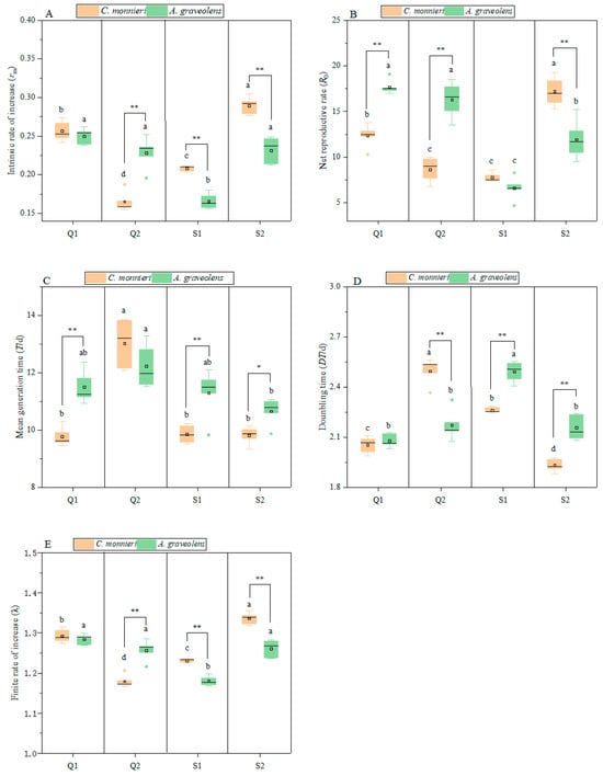
Semiaphis heraclei Takahashi (Hemiptera: Aphididae) serves as a vital resource for natural enemies from functional plant Cnidium monnieri (L.) Cusson (Apiaceae), playing a crucial role in ecological dynamics. Endosymbionts influence the performance of their hosts. Here, we determined the communities of facultative endosymbionts in aphids from Lonicera japonica Thunb. (Caprifoliaceae), Apium graveolens L. (Apiaceae), and C. monnieri and assessed the performance of four aphid clones. The infection rates of Serratia symbiotica Moran (Gammaproteobacteria: Enterobacteriaceae) and Regiella insecticola Moran (Enterobacteriales: Enterobacteriaceae) reached 100%. Notably, the infection rates of Spiroplasma and Rickettsia varied across host plants. Fitness assessment revealed that aphids performed better on their natal hosts, exhibiting shorter nymphal development times and higher fecundity. S. symbiotica had contrasting effects on aphids based on their origin. It prolonged the development duration and decreased the intrinsic rate of increase (rm), net reproductive rate (R0), and finite rate of increase (λ) in aphids collected from plant A. graveolens. However, for aphids collected from plant C. monnieri, it shortened the doubling time (DT) and improved rm, R0, and λ, while prolonging the mean generation time. Our studies are the first to investigate the infection status and role of facultative endosymbionts in aphid S. heraclei, extending the documented effects of plant diversity to fluctuations in the infection rate, with potentially far-reaching consequences for related endosymbionts’ ecosystem processes. Full article
(This article belongs to the Special Issue Functional Plants for Ecological Control of Agricultural Pests)
Show Figures

Figure 1

36 pages, 2131 KB  
Review
Biogas Production in Agriculture: Technological, Environmental, and Socio-Economic Aspects
by Krzysztof Pilarski, Agnieszka A. Pilarska and Michał B. Pietrzak
Energies 2025, 18(21), 5844; https://doi.org/10.3390/en18215844 - 5 Nov 2025
Viewed by 115
Abstract
This review provides a comprehensive analysis of the technological, environmental, economic, regulatory, and social dimensions shaping the development and operation of agricultural biogas plants. The paper adopts a primarily European perspective, reflecting the comparatively high share of agricultural inputs in anaerobic digestion (AD) [...] Read more.
This review provides a comprehensive analysis of the technological, environmental, economic, regulatory, and social dimensions shaping the development and operation of agricultural biogas plants. The paper adopts a primarily European perspective, reflecting the comparatively high share of agricultural inputs in anaerobic digestion (AD) across EU Member States, while drawing selective comparisons with global contexts to indicate where socio-geographical conditions may lead to different outcomes. It outlines core principles of the AD process and recent innovations—such as enzyme supplementation, microbial carriers, and multistage digestion systems—that enhance process efficiency and cost-effectiveness. The study emphasises substrate optimisation involving both crop- and livestock-derived materials, together with the critical management of water resources and digestate within a circular-economy framework to promote sustainability and minimise environmental risks. Economic viability, regulatory frameworks, and social dynamics are examined as key factors underpinning successful biogas implementation. The paper synthesises evidence on cost–benefit performance, investment drivers, regulatory challenges, and support mechanisms, alongside the importance of community engagement and participatory governance to mitigate land-use conflicts and ensure equitable rural development. Finally, it addresses persistent technical, institutional, environmental, and social barriers that constrain biogas deployment, underscoring the need for integrated solutions that combine technological advances with policy support and stakeholder cooperation. This analysis offers practical insights for advancing sustainable biogas use in agriculture, balancing energy production with environmental stewardship, food security, and rural equity. The review is based on literature identified in Scopus and Web of Science for 2007 to 2025 using predefined keyword sets and supplemented by EU policy and guidance documents and backward- and forward-citation searches. Full article
(This article belongs to the Special Issue Renewable Energy Integration into Agricultural and Food Engineering)
Show Figures

Figure 1

20 pages, 5223 KB  
Article
Effect of Bt-Cry1Ab Maize Commercialization on Arthropod Community Biodiversity in Southwest China
by Limei He, Ling Wang, Yatao Zhou, Wenxian Wu, Shengbo Cong, Yanni Tan, Wei He, Gemei Liang and Kongming Wu
Insects 2025, 16(11), 1132; https://doi.org/10.3390/insects16111132 - 5 Nov 2025
Viewed by 106
Abstract
Transgenic Bt maize commercialization has become a critical pest management strategy against lepidopteran insects in southwest China, but its ecological impact on arthropod biodiversity remains insufficiently characterized. This two-year field investigation (2023–2024) conducted in Bazhong City, Sichuan Province utilized systematic field monitoring to [...] Read more.
Transgenic Bt maize commercialization has become a critical pest management strategy against lepidopteran insects in southwest China, but its ecological impact on arthropod biodiversity remains insufficiently characterized. This two-year field investigation (2023–2024) conducted in Bazhong City, Sichuan Province utilized systematic field monitoring to compare arthropod community dynamics between conventional maize and Bt-Cry1Ab maize (DBN9936) cultivation systems. This study documented 575,970 arthropod specimens representing 80 species/types across 45 families and 17 orders. Analysis of variance revealed significant differences (p < 0.05) between non-Bt and Bt maize in the abundance and species richness of target herbivorous pests, non-target herbivorous pests, and natural enemy insects. Field investigations revealed a notable absence of Macrocentrus cingulum, a key larval parasitoid of Ostrinia furnacalis, in Bt-maize plots compared to conventional counterparts. The populations of non-target herbivorous pests and natural enemies such as Aphididae, Chrysoperla sinica, Frankliniella tenuicornis, and Orius sauteri were higher in Bt maize fields than in non-Bt maize fields, while the populations of target herbivorous pests including O. furnacalis and Mythimna loreyi were lower than those in non-Bt maize fields. However, no significant differences (p > 0.05) were observed in arthropod abundance, species richness, or in a suite of ecological indices including the Simpson diversity index, Shannon–Wiener diversity index, Pielou evenness index, McIntosh diversity index, and community stability indices (Nn/Np, Nd/Np, and Sd/Sp). Redundancy analysis identified maize growth stages (6.75% variance explained) and interannual variations (2.44%) as principal drivers of arthropod community dynamics, with maize genotype contributing minimally (1.53%). These findings demonstrate that Bt-Cry1Ab maize (DBN9936) cultivation maintains functional arthropod community structure while effectively controlling target pests, providing substantial empirical evidence to support its sustainable deployment in southern China’s agricultural landscapes. Full article
(This article belongs to the Section Insect Pest and Vector Management)
Show Figures

Figure 1

18 pages, 745 KB  
Article
Emergency Medical Service Responses for Older Adults: A Retrospective Observational Study Comparing Nursing Homes and the Community
by Christine Gaik, Hinnerk Wulf, Valesco Mann, Dennis Humburg and Benjamin Vojnar
Healthcare 2025, 13(21), 2806; https://doi.org/10.3390/healthcare13212806 - 5 Nov 2025
Viewed by 119
Abstract
Background: Older adults (≥65 years) account for a substantial share of Emergency Medical Service (EMS) activations, yet differences between nursing homes (NHs) and the community are insufficiently defined. This study aimed to compare EMS responses for older adults inside and outside NHs. [...] Read more.
Background: Older adults (≥65 years) account for a substantial share of Emergency Medical Service (EMS) activations, yet differences between nursing homes (NHs) and the community are insufficiently defined. This study aimed to compare EMS responses for older adults inside and outside NHs. Methods: We conducted a retrospective observational study of all EMS activations involving patients ≥65 years in a rural German region from July 2020 to March 2025, based on fully anonymized prehospital patient care reports electronically documented on tablets. Prehospital patient care was assessed using the ABCDE approach, with additional analysis of feedback codes transmitted to the control center (response and on-scene times, physician dispatch, lights and sirens use, feedback codes, hospital destination, and admission urgency). Continuous variables were summarized as mean (SD) or median [IQR], categorical variables as n (%), and group comparisons performed using the Chi-Square test or Fisher’s exact test (categorical) and the t test or Mann–Whitney U test (continuous), as appropriate. Results: Among 46,598 EMS activations in adults aged ≥65 years, 28,749 EMS responses were included in the analysis after excluding non-emergency transports and duplicate physician records. Of these, 20% occurred in NHs (5707/28,749) and 80% in the community (23,042/28,749). Median age was 85 years (IQR 80–89) in NH patients and 80 years (IQR 73–86) in community patients (p < 0.001). Females accounted for 60% (3450/5705) of NH patients and 53% (12,223/23,036) of community patients (p < 0.001). Emergency physicians were dispatched in 7% of NH incidents (392/5707) and 10% of community incidents (2327/23,042; p < 0.001). In NHs, bronchitis/pneumonia was a leading feedback code (6%, 354/5707), whereas in community patients, acute coronary syndrome (ACS) was prominent (5%, 1249/23,042). Admission urgency categories also differed significantly, with NH residents classified as category 3 (outpatient evaluation) in 11% (621/5706) and category 0 (no admission) in 5% (280/5706), whereas community patients were more often classified as category 1 (immediate intervention) in 13% (2886/23,037) (all p < 0.001). Conclusions: NH residents were older, more often female, and presented with low-to-moderate acuity. Frequent diagnoses were closed extremity injuries and bronchitis/pneumonia. In contrast, ACS and other cardiovascular emergencies were more common in the community, particularly among men, consistent with international evidence on sex-specific incidence. NH residents were more often classified as non-urgent or outpatient and transported to nearby hospitals, whereas community patients more frequently required immediate intervention and referral to tertiary centers. In summary, EMS responses for older adults differed in clinical presentations, operational patterns, and hospital pathways. Full article
Show Figures

Figure 1

17 pages, 1654 KB  
Article
The Resilience and Change in the Biocultural Heritage of Wild Greens Foraging Among the Arbëreshë Communities in Argolis and Corinthia Areas, Peloponnese, Greece
by Mousaab Alrhmoun, Naji Sulaiman, Ani Bajrami, Avni Hajdari, Andrea Pieroni and Renata Sõukand
Plants 2025, 14(21), 3371; https://doi.org/10.3390/plants14213371 - 4 Nov 2025
Viewed by 163
Abstract
The transformation of Local Ecological Knowledge (LEK) among minority populations undergoing cultural and linguistic assimilation over time is poorly understood. Arbëreshë communities in Greece, who have preserved Albanian-derived traditions for centuries, offer a unique opportunity to examine how folk plant knowledge adapts over [...] Read more.
The transformation of Local Ecological Knowledge (LEK) among minority populations undergoing cultural and linguistic assimilation over time is poorly understood. Arbëreshë communities in Greece, who have preserved Albanian-derived traditions for centuries, offer a unique opportunity to examine how folk plant knowledge adapts over time. This study examines the linguistic labels and culinary uses of wild greens among Arbëreshë (or Arvanites), an ethno-linguistic minority traditionally speaking Arbërisht or Arvanitika, the Tosk dialect of Albanian, who have resided in the Argolis and Corinthia regions of the Peloponnese for several centuries. In 2025, fieldwork was conducted in four rural Arbëreshë villages in the Argolis and Corinthia regions of Greece, combining semi-structured interviews with 24 elderly participants, participant observation, and the collection and identification of botanical specimens. The contemporary dataset was compared with historical ethnobotanical records from the 1970s to assess temporal changes in the use of wild vegetables and folk plant nomenclature. Our results reveal that current Arbëreshë ethnobotanical heritage has undergone profound Hellenisation, with 62% of folk plant names of Greek origin, 14% Albanian, and 24% hybrid, reflecting strong linguistic and cultural assimilation over the past half-century. The traditional boiled green mix (lakra in Arbëreshë, chorta in Greek) remains central to the local cuisine, which is rooted in foraged plants, although its culinary applications have diversified. In total, 37 taxa of wild vegetables across 37 genera and 14 families were documented in 2025, compared with 21 taxa across 21 genera in the filtered 1970 dataset. Core families, such as Asteraceae and Brassicaceae, remained dominant, while new families, like Malvaceae and Portulacaceae, appeared, possibly indicating both ecological and culinary changes. These findings raise questions about whether the Arbëreshë wild vegetable heritage was strongly influenced by the surrounding Greek majority or primarily acquired after migration, potentially facilitated by intermarriages and shared Orthodox Christian affiliation. Overall, our study highlights a largely Hellenised Arbëreshë biocultural heritage and underscores the urgent need for national and regional stakeholders to recognise and celebrate the remaining minority’s linguistic and ethnobotanical diversity. The transformation of local ethnobotanical knowledge over the past fifty years appears influenced by ecological availability, socio-cultural dynamics, and changing taste preferences. Full article
(This article belongs to the Special Issue Historical Ethnobotany: Interpreting the Old Records—2nd Edition)
Show Figures

Figure 1

23 pages, 291 KB  
Article
Transforming Social Assistance into Entrepreneurial Empowerment: UMi as a Public Sector Innovation in Indonesia
by Nisa Novia Avien Christy, Syahrir Ika, I Ketut Ardana, Radna Andi Wibowo, Prameshwara Anggahegari, Lokot Zein Nasution, Darwin, Suryaneta, Juni Hestina and Roosganda Elizabeth
Adm. Sci. 2025, 15(11), 430; https://doi.org/10.3390/admsci15110430 - 4 Nov 2025
Viewed by 321
Abstract
The Ultra-Micro (UMi) financing program represents a significant public sector innovation in Indonesia’s approach to poverty alleviation and financial inclusion. Initially conceived as a social assistance initiative, UMi has evolved into a strategic government intervention designed to transform impoverished individuals into entrepreneurs. This [...] Read more.
The Ultra-Micro (UMi) financing program represents a significant public sector innovation in Indonesia’s approach to poverty alleviation and financial inclusion. Initially conceived as a social assistance initiative, UMi has evolved into a strategic government intervention designed to transform impoverished individuals into entrepreneurs. This shift reflects a policy innovation that redefines the role of the state from passive welfare provider to active enabler of economic participation. Despite ambitious goals, its implementation and impact face scrutiny. This study employed an exploratory qualitative approach through individual interviews with elite participants and debtors of UMi. The data used triangulation from documentation, observation, and in-depth interviews with key informants, selected through purposive sampling. Findings indicate that the program’s implementation—anchored in government regulations and executed through non-bank financial institutions (NBFIs)—demonstrates innovative service delivery. In this study, UMi exemplifies how public sector innovation—through policy reform, institutional collaboration, and community engagement—can drive inclusive economic growth. The study provides valuable insights for policymakers, practitioners, and scholars seeking to advance financial inclusion and sustainable economic development. Full article
(This article belongs to the Special Issue Public Sector Innovation: Strategies and Best Practices)
20 pages, 4458 KB  
Article
Proliferation of Plastic Packaging and Its Environmental Impacts at the Commune of Agoè-Nyivé 4 in Togo
by Ibrahim Batcham, Djiwonou Koffi Adjalo, Koko Zébéto Houedakor, Komlan Kounon Etienne Tede and Kossiwa Zinsou-Klassou
Waste 2025, 3(4), 38; https://doi.org/10.3390/waste3040038 - 3 Nov 2025
Viewed by 188
Abstract
The overconsumption of plastic packaging has alarming repercussions on the environment, notably through waste accumulation in public spaces and clogged drains. This study identifies factors driving plastic proliferation, analyzes their impacts, and proposes strategies for sustainable waste management. A cross-sectional design combined document [...] Read more.
The overconsumption of plastic packaging has alarming repercussions on the environment, notably through waste accumulation in public spaces and clogged drains. This study identifies factors driving plastic proliferation, analyzes their impacts, and proposes strategies for sustainable waste management. A cross-sectional design combined document review, field observations, and interviews with 156 households and 24 informants. Descriptive statistics characterized consumption patterns and service access. Impacts were assessed through litter hotspots, blocked drains, flood-prone points, and reported health risks. Households used five to six plastic bags daily, while collection coverage remained below 50%, sustaining persistent leakage. Findings reveal excessive reliance on plastics, shaped by technical, social, and institutional gaps, including weak segregation and limited pre-collection. Agoè-Nyivé 4, a fast-growing peri-urban commune within Greater Lomé, faces limited services but high consumption, making it a relevant case for rapidly growing municipalities. Yet the population often adopts counterproductive practices, hampering responsible waste management. A policy mix is outlined: expanding pre-collection and door-to-door services, integrating informal collectors, and targeted community sensitization. Without urgent interventions, plastic leakage will intensify environmental degradation, flooding, and health risks. The study recommends integrated policy measures to curb single-use dependence and foster a local circular economy. Full article
Show Figures

Figure 1

Back to TopTop