Facultative Endosymbiont Serratia symbiotica Provides Fitness Benefits for Celery Aphid Semiaphis heraclei Collected from Plant Cnidium monnieri
Abstract
1. Introduction
2. Results
2.1. Presence of Facultative Endosymbionts of Semiaphis heraclei
2.2. Developmental Duration of Nymph Stage of S. heraclei on Two Host Plants
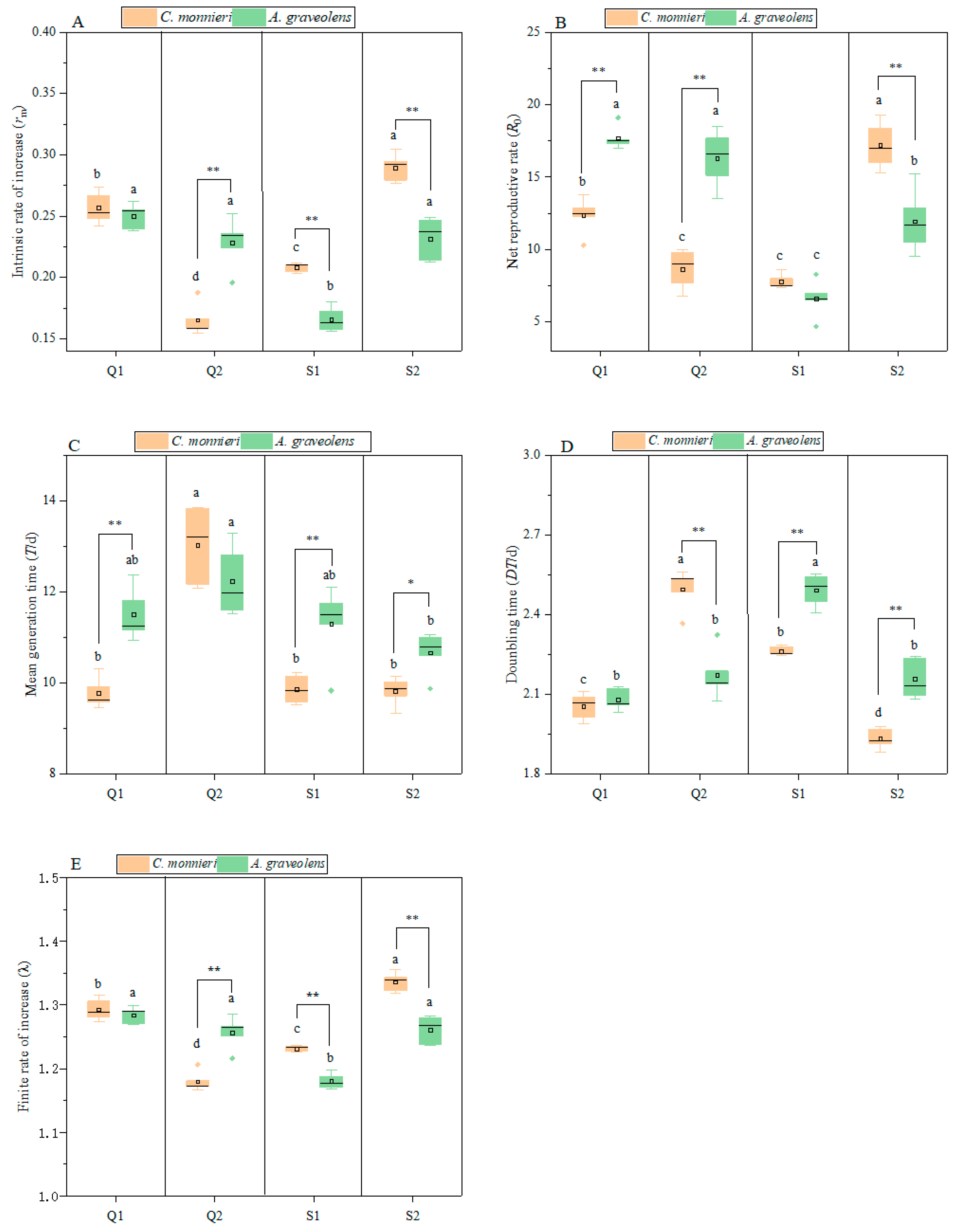
2.3. Performance of Different Aphid Clones on Different Host Plants
3. Discussion
3.1. Facultative Endosymbiont Dynamics in Aphid S. heraclei
3.2. Differentiation of Aphid Host Adaptability
3.3. Multiple Effects of Serratia symbiotica on Aphid Fitness
3.4. Co-Adaptation in Aphid–Plant Associations Mediated by Serratia symbiotica
4. Materials and Methods
4.1. Aphid Samples for Identification of Facultative Symbionts
4.2. Aphid DNA Extraction and Facultative Endosymbiont Detection
| Facultative Symbiont | Primer | Sequence 5′-3′ | Tm/°C | Product Size/bp | Reference |
|---|---|---|---|---|---|
| Arsenophonus | fbaAF | GCYGCYAAAGTTCRTTCTCC | 52 | 617 | [59] |
| fbaAR | GGCAAATTAAATTTCTGCGCAACG | [60] | |||
| Wolbachia | wspF | GGGTCCAATAAGTGATGAAGAAAC | 56 | 570 | [61] |
| wspR | TTAAAACGCTACTCCAGCTTCTGC | ||||
| Spiroplasma spp. | 16SA1 | AGAGTTTGATCMTGGCTCAG | 55 | 510 | [62] |
| TKSSsp | TAGCCGTGGCTTTCTGGTAA | [63] | |||
| S. symbiotica | 10F | AGTTTGATCATGGCTCAGATTG | 55 | 480 | [64] |
| R443R | CTTCTGCGAGTAACGTCAATG | [65] | |||
| Rickettsia spp. | 16SA1 | AGAGTTTGATCMTGGCTCAG | 55 | 200 | [62] |
| 16SR | CATCCATCAGCGATAAATCTTTC | [66] | |||
| H. defensa | 10F | AGTTTGATCATGGCTCAGATTG | 50 | 471 | [64] |
| T419R | AAATGGTATTSGCATTTATCG | [65] | |||
| Rickettsiella spp. | P136F | GGGCCTTGCGCTCTAGGT | 55 | 300 | [67] |
| P136R | TGGGTACCGTCACAGTAATCGA | ||||
| R. insecticola | 10F | AGTTTGATCATGGCTCAGATTG | 55 | 200 | [64] |
| U433R | GGTAACGTCAATCGATAAGCA | [65] | |||
| PAXS | PAXSF PAXSR | AGTTTGATCATGGCTCAGATTG | 55 | 500 | [68] |
| GCAACACTCTTTGCATTGCT |
4.3. Aphid Clones and Rearing
4.4. Aphid Performance Measurement
4.5. Statistical Analysis
5. Conclusions
Author Contributions
Funding
Data Availability Statement
Acknowledgments
Conflicts of Interest
References
- Li, X.B.; Han, S.P.; Liang, C.; Han, H.; Liu, C.X.; He, Y.Z. Functional response of Harmonia axyridis (Pallas) adults to Semiaphis heraclei (Takahashi). China Plant Prot. 2019, 39, 61–63. [Google Scholar] [CrossRef]
- Wang, J.X.; Li, X.J.; Wang, N. Influence of temperature on the development, survival and reproduction of Semiaphis heraclei (Takahashi). Chin. J. Appl. Entomol. 2016, 53, 564–573. [Google Scholar] [CrossRef]
- Csorba, A.B.; Dinescu, S.; Pircalabioru, G.G.; Fora, C.G.; Bálint, J.; Loxdale, H.D.; Balog, A. Aphid adaptation in a changing environment through their bacterial endosymbionts: An overview, including a new major cereal pest (Rhopalosiphum maidis (Fitch) scenario. Symbiosis 2024, 93, 139–152. [Google Scholar] [CrossRef]
- Insausti, P.; Ploschuk, E.L.; Izaguirre, M.M.; Podworny, M. The effect of sunlight interception by sooty mold on chlorophyll content and photosynthesis in orange leaves (Citrus sinensis L.). Eur. J. Plant Pathol. 2015, 143, 559–565. [Google Scholar] [CrossRef]
- Fingu-Mabola, J.C.; Martin, C.; Bawin, T.; Verheggen, F.J.; Francis, F. Does the infections status of aphids influence preference towards healthy, virus-infected and endophytically colonized plants? Insects 2020, 11, 435. [Google Scholar] [CrossRef]
- Guo, Y.; Zhao, Y.N.; Yang, Y.; Zhang, Y.H.; Li, Y.Y.; Tian, H.G.; Liu, T.X.; Li, Z.F. Plants affect the horizontal transmission of a new densovirus infecting the green peach aphid Myzus persicae by modulating honeydew production. Insect Sci. 2024, 31, 235–254. [Google Scholar] [CrossRef]
- Jayasinghe, W.H.; Akhter, M.S.; Nakahara, K.; Maruthi, M.N. Effect of aphid biology and morphology on plant virus transmission. Pest Manag. Sci. 2021, 78, 416–427. [Google Scholar] [CrossRef]
- Shi, X.; Gao, Y.; Yan, S.; Tang, X.; Zhou, X.G.; Zhang, D.Y.; Liu, Y. Aphid performance changes with plant defense mediated by cucumber mosaic virus titer. Virol. J. 2016, 13, 70. [Google Scholar] [CrossRef]
- Yang, Q.F.; Ouyang, F.; Men, X.Y.; Ge, F. Discovery and utilization of a functional plant, rich in the natural enemies of insect pests, in northern China. Chin. J. Appl. Entomol. 2018, 55, 942–947. [Google Scholar] [CrossRef]
- Han, G.D.; Zhang, X.R.; Cai, Z.P.; Xiao, Y.L.; Ge, F. Flower strips enhance the abundance and biocontrol services of predatory arthropods in a pear orchard. Biol. Control 2025, 200, 105680. [Google Scholar] [CrossRef]
- Cai, Z.P.; Zhang, X.R.; Xiao, Y.L.; Zhang, J.P.; Ge, F. Functional response and predation preference of multicolored Asian lady beetle Harmonia axyridis to two aphids in the micro-landscape of apple and Monnier’s snowparsley Cnidium monnieri. J. Plant Prot. 2024, 51, 96–105. [Google Scholar] [CrossRef]
- Cai, Z.P.; Ouyang, F.; Chen, J.; Yang, Q.F.; Desneux, N.; Xiao, Y.L.; Zhang, J.P.; Ge, F. Biological control of Aphis spiraecola in apples using an insectary plant that attracts and sustains predators. Biol. Control. 2021, 155, 104532. [Google Scholar] [CrossRef]
- Liang, X.Y.; Ouyang, F.; Zhang, X.R.; Sun, Y.C.; Li, Z.; Ge, F. Increasing the proportion of flower strip area in farmland promotes natural enemies to enhance aphid biocontrol and wheat yield. Entomol. Gen. 2024, 44, 1183–1192. [Google Scholar] [CrossRef]
- Zhang, X.R.; Ouyang, F.; Su, J.W.; Li, Z.; Yan, Y.Y.; Sun, Y.C.; Sarkar, S.C.; Xiao, Y.L.; Ge, F. Intercropping flowering plants facilitate conservation, movement and biocontrol performance of predators in insecticide-free apple orchard. Agric. Ecosyst. Environ. 2022, 340, 108157. [Google Scholar] [CrossRef]
- Li, J.P.; An, B.Y.; Lan, Y.Y.; Qin, Q.J.; Wang, D.; He, Y.Z. Comparison of fitness and selectivity behavior of Semiaphis heraclei on different plants. Plant Prot. 2024, 50, 1–9. [Google Scholar] [CrossRef]
- Li, M.X.; Ji, B.R.; Liu, S.; Qiao, H.L.; Wei, H.S.; Guo, K.; Xu, C.Q. Population dynamics and control techniques of aphids on honeysuckle. Mod. Chin. Med. 2024, 26, 830–838. [Google Scholar] [CrossRef]
- Sun, Y.; Xue, M.; Zhang, X.; Zhao, H.P.; Li, Z.X. Population dynamics and control techniques of aphids on honeysuckle. China J. Chin. Mater. Medica 2013, 38, 3676–3680. [Google Scholar] [CrossRef]
- Zhang, X.M.; Xi, Y.M.; Wang, S.; Luo, C.; Zhang, F. Assessment of potential control of Semiaphis heraclei by Harmonia axyridis. Chin. J. Biol. Control. 2015, 31, 317–321. [Google Scholar] [CrossRef]
- Schillewaert, S.; Vantaux, A.; Van den Ende, W.; Wenseleers, T. The effect of host plants on genotype variability in fitness and honeydew composition of Aphis fabae. Insect Sci. 2017, 24, 781–788. [Google Scholar] [CrossRef]
- Liu, D.G.; Dai, P.; Li, S.R.; Ahmed, S.S.; Shang, Z.M.; Shi, X. Life-history responses of insects to water-deficit stress: A case study with the aphid Sitobion avenae. BMC Ecol. 2018, 18, 17. [Google Scholar] [CrossRef]
- Chang, C.Y.; Sun, X.W.; Tian, P.P.; Miao, N.H.; Zhang, Y.L.; Liu, X.D. Plant secondary metabolite and temperature determine the prevalence of Arsenophonus endosymbionts in aphid populations. Environ. Microbiol. 2022, 24, 3764–3776. [Google Scholar] [CrossRef] [PubMed]
- Ma, L.; Li, M.Y.; Chang, C.Y.; Chen, F.F.; Hu, Y.; Liu, X.D. The host range of Aphis gossypii is dependent on aphid genetic background and feeding experience. PeerJ 2019, 7, e7774. [Google Scholar] [CrossRef] [PubMed]
- Cardona, J.B.; Grover, S.; Bowman, M.J.; Busta, L.; Kundu, P.; Koch, K.G.; Sarath, G.; Sattler, S.E.; Louis, J. Sugars and culticular waxes impact sugarcane aphid (Melanaphis sacchari) colonization on different developmental stages of sorghum. Plant Sci. 2023, 330, 111646. [Google Scholar] [CrossRef] [PubMed]
- Pons, I.; Renoz, F.; Noël, C.; Hance, T. Circulation of the cultivable symbiont Serratia symbiotica in aphids is mediated by plants. Front. Microbiol. 2019, 10, 764. [Google Scholar] [CrossRef]
- Wang, D.; Zhai, Y.T.; Liu, D.G.; Zhang, N.; Li, C.B.; Shi, X.Q. Identification and genetic differentiation of Sitobion avenae (Hemiptera: Aphididae) biotypes in China. J. Econ. Entomol. 2020, 113, 407–417. [Google Scholar] [CrossRef]
- Leybourne, D.J.; Valentine, T.A.; Bos, J.I.B.; Karley, A.J. Fitness cost resulting from Hamiltonella defensa infection is associated with altered probing and feeding behaviour in Rhopalosiphum padi. J. Exp. Biol. 2020, 223, jeb207936. [Google Scholar] [CrossRef]
- Sochard, C.; Dupont, C.; Simon, J.C.; Outreman, Y. Secondary symbionts affect foraging capacities of plant-specialized genotypes of the pea aphid. Microb. Ecol. 2021, 82, 1009–1019. [Google Scholar] [CrossRef]
- Zhang, B.; Leonard, S.P.; Li, Y.; Moran, N.A. Obligate bacterial endosymbionts limit thermal tolerance of insect host species. Proc. Natl. Acad. Sci. USA 2019, 116, 24712–24718. [Google Scholar] [CrossRef]
- Oliver, K.M.; Degnan, P.H.; Burke, G.R.; Moran, N.A. Facultative symbionts in aphids and the horizontal transfer of ecologically important traits. Annu. Rev. Entomol. 2010, 55, 247–266. [Google Scholar] [CrossRef]
- Ayoubi, A.; Talebi, A.A.; Fathipour, Y.; Mehrabadi, M. Coinfection of the secondary symbionts, Hamiltonella defensa and Arsenophonus sp. contribute to the performance of the major aphid pest, Aphis gossypii (Hemiptera: Aphididae). Insect Sci. 2020, 27, 86–98. [Google Scholar] [CrossRef]
- Tian, P.P.; Chang, C.Y.; Miao, N.H.; Li, M.Y.; Liu, X.D. Infections with Arsenophonus facultative endosymbionts alter performance of aphids (Aphis gossypii) on an amino-acid-deficient diet. Appl. Environ. Microbiol. 2019, 85, e01407-19. [Google Scholar] [CrossRef]
- Hopper, K.R.; Kuhn, K.L.; Lanier, K.; Rhoades, J.H.; Oliver, K.M.; White, J.A.; Asplen, M.K.; Heimpel, G.E. The defensive aphid symbiont Hamiltonella defensa affects host quality differently for Aphelinus glycinis versus Aphelinus atriplicis. Biol. Control 2018, 116, 3–9. [Google Scholar] [CrossRef]
- Burke, G.; Fiehn, O.; Moran, N. Effects of facultative symbionts and heat stress on the metabolome of pea aphids. ISME J. 2010, 4, 242–252. [Google Scholar] [CrossRef] [PubMed]
- Kang, Z.W.; Zhang, M.; Cao, H.H.; Guo, S.S.; Liu, F.H.; Liu, T.X. Facultative endosymbiont Serratia symbiotica inhibits the apterization of pea aphid to enhance its spread. Microbiol. Spectr. 2022, 10, e04066-22. [Google Scholar] [CrossRef] [PubMed]
- Zytynska, S.E.; Weisser, W.W. The natural occurrence of secondary bacterial symbionts in aphids. Ecol. Entomol. 2016, 43, 13–25. [Google Scholar] [CrossRef]
- Xu, S.F.; Chen, J.; Qin, M.; Jiang, L.Y.; Qiao, G.X. Geography-dependent symbiont communities in two oligophagous aphid species. FEMS Microbiol. Ecol. 2021, 97, fiab132. [Google Scholar] [CrossRef]
- Zhang, S.; Su, H.H.; Jiang, W.L.; Hu, D.W.; Ali, I.; Jin, T.X.; Yang, Y.Z.; Ma, X.Y. Symbiotic microbial studies in diverse populations of Aphis gossypii, existing on altered host plants in different localities during different times. Ecol. Evol. 2021, 11, 13948–13960. [Google Scholar] [CrossRef]
- Corbin, C.; Heyworth, E.R.; Ferrari, J.; Hurst, G.D.D. Heritable symbionts in a world of varying temperature. Heredity 2017, 118, 10–20. [Google Scholar] [CrossRef]
- Drew, G.C.; Budge, G.E.; Frost, C.L.; Neumann, P.; Siozios, S.; Yanez, O.; Hurst, G.D.D. Transitions in symbiosis: Evidence for environmental acquisition and social transmission within a clade of heritable symbionts. ISME J. 2021, 15, 2956–2968. [Google Scholar] [CrossRef]
- Mech, A.M.; Harper, S.J.; Havill, N.P.; von Dohlen, C.D.; Burke, G.R. Ecological factors influencing the beneficial endosymbionts of the hemlock woolly adelgid (Hemiptera: Adelgidae). Insect Sci. 2017, 26, 97–107. [Google Scholar] [CrossRef]
- Martínez-Díaz, V.; Latorre, A.; Gil, R. Reinventing the wheel and making it round again: Evolutionary convergence in Buchnera-Serratia symbiotic consortia between the distantly related Lachinae aphids Tuberolachnus salignus and Cinara cedri. Biol. Evol. 2016, 8, 1440–1458. [Google Scholar] [CrossRef]
- Ponce-de-leon, M.; Tamarit, D.; Calle-Espinosa, J.; Mori, M.; Latorre, A.; Motero, F.; Pereto, J. Determinism and contingency shape metabolic complementation in an endosymbiotic construction. Front. Micrbiology 2017, 8, 2290. [Google Scholar] [CrossRef]
- Oliver, K.M.; Smith, A.H.; Russell, J.A. Defensive symbiosis in the real world-advancing ecological studies of heritable, protective bacteria in aphids and beyond. Funct. Ecol. 2014, 28, 341–355. [Google Scholar] [CrossRef]
- Jiang, X.S.; Zhang, X.R.; Han, G.D.; Sarkar, S.C.; Ge, F. Natural Enemies Acquire More Prey Aphids from Hormone-Treated Insect-Attracting Plants. Plants 2025, 14, 147. [Google Scholar] [CrossRef]
- Liu, X.D.; Xu, T.T.; Lei, H.X. Refuges and host shift pathways of host-specialized aphids Aphis gossypii. Sci. Rep. 2017, 7, 2008. [Google Scholar] [CrossRef]
- Nouhaud, P.; Peccoud, J.; Mahéo, F.; Mieuzet, L.; Jaquiéry, J.; Simon, J.C. Genomic regions repeatedly involved in divergence among plant-specialized pea aphid biotypes. J. Evol. Biol. 2014, 27, 2013–2020. [Google Scholar] [CrossRef] [PubMed]
- Weng, Y.Q.; Perumal, A.; Burd, J.D.; Rudd, J.C. Biotypic diversity in greenbug (Hemiptera: Aphididae): Microsatellite-based regional divergence and host-adapted differentiation. J. Econ. Entomol. 2010, 103, 1454–1463. [Google Scholar] [CrossRef] [PubMed]
- Skaljac, M.; Kirfel, P.; Grotmann, J.; Vilcinskas, A. Fitness costs of infection with Serratia symbiotica are associated with greater susceptibility to insecticides in the pea aphid Acyrthosiphon pisum. Pest Manag. Sci. 2018, 74, 1829–1836. [Google Scholar] [CrossRef]
- Lamelas, A.; Gosalbes, M.J.; Manzano-Marin, A.; Pereto, J.; Moya, A.; Latorre, A. Serratia symbiotica from the aphid Cinara cedri: A missing link from facultative to obligate insect endosymbiont. PLoS Genet. 2011, 7, e1002357. [Google Scholar] [CrossRef] [PubMed]
- Li, Y.M.; Zhang, Y.D.; Gong, H.Y.; Lv, Z.Q. Effects of the symbiont Serratia symbiotica on the development and reproduction of the pea aphid, Acyrthosiphon pisum (Hemiptera: Aphididae). Acta Entomol. Sin. 2023, 66, 1311–1318. [Google Scholar] [CrossRef]
- Zhou, X.F.; Ling, X.Y.; Guo, H.J.; Zhu-Salzman, K.; Ge, F.; Sun, Y.C. Serratia symbiotica enhances fatty acid metabolism of pea aphid to promote host development. Int. J. Mol. Sci. 2021, 22, 5951. [Google Scholar] [CrossRef] [PubMed]
- Laughton, A.M.; Fan, M.H.; Gerardo, N.M. The combined effects of bacterial symbionts and aging on life history traits in the pea aphid, Acyrthosiphon pisum. Appl. Environ. Microbiol. 2014, 80, 470–477. [Google Scholar] [CrossRef] [PubMed]
- Wang, Q.Y.; Yuan, E.L.; Ling, X.Y.; Zhu-Salzman, K.; Guo, H.J.; Ge, F.; Sun, Y.C. An aphid facultative symbiont suppresses plant defence by manipulating aphid gene expression in salivary glands. Plant Cell Environ. 2020, 43, 2311–2322. [Google Scholar] [CrossRef] [PubMed]
- Ferrari, J.; Scarborough, C.L.; Godfray, H.C.J. Genetic variation in the effect of a facultative symbiont on host-plant use by pea aphids. Oecologia 2007, 153, 323–329. [Google Scholar] [CrossRef]
- Chang, C.Y.; Zhao, Y.N.; Guo, H.F.; Liu, X.D. Food nutrition and facultative endosymbiont modulate dietary breadth of a polyphagous aphid. Insect Sci. 2025, 1–14. [Google Scholar] [CrossRef]
- Mclean, A.H.C.; van Asch, M.; Ferrari, J.; Godfray, H.C.J. Effects of bacterial secondary symbionts on host plant use in pea aphids. Proc. R. Soc. B: Biol. Sci. 2011, 278, 760–766. [Google Scholar] [CrossRef]
- Chen, D.Q.; Montllor, C.B.; Purcell, A.H. Fitness effects of two facultative endosymbiotic bacteria on the pea aphid, Acyrthosiphon pisum, and the blue alfalfa aphid, A. kondoi. Entomol. Exp. Appl. 2000, 95, 315–323. [Google Scholar] [CrossRef]
- Henry, L.M.; Maiden, M.C.; Ferrari, J.; Godfray, H.C. Insect life history and the evolution of bacterial mutualism. Ecol. Lett. 2015, 18, 516–525. [Google Scholar] [CrossRef]
- Duron, Q.; Wilkes, T.E.; Hurst, G.D.D. Interspecific transmission of a male-killing bacterium on an ecological timescale. Ecol. Lett. 2010, 13, 1139–1148. [Google Scholar] [CrossRef]
- Jousselin, E.; d’Acier, A.C.; Vanlerberghe-Masutti, F.; Duron, O. Evolution and diversity of Arsenophonus endosymbionts in aphids. Mol. Ecol. 2013, 22, 260–270. [Google Scholar] [CrossRef]
- Kondo, N.; Nikoh, N.; Ijichi, N.; Fukatsu, T. Genome fragment of Wolbachia endosymbiont transferred to X chromosome of host insect. Proc. Natl. Acad. Sci. USA 2003, 99, 14280–14285. [Google Scholar] [CrossRef] [PubMed]
- Fukatsu, T.; Nikoh, N. Two intracellular symbiotic bacteria from the mulberry psyllid Anomoneura mori (Insecta, Homoptera). Appl. Environ. Microbiol. 1998, 64, 3599–3606. [Google Scholar] [CrossRef] [PubMed]
- Fukatsu, T.; Nikoh, N. Endosymbiotic microbiota of the bamboo pseudococcid Antonina crawii (Insecta, Homoptera). Appl. Environ. Microbiol. 2000, 66, 643–650. [Google Scholar] [CrossRef]
- Sandström, J.P.; Russell, J.A.; White, J.P.; Moran, N.A. Independent origins and horizontal transfer of bacterial symbionts of aphids. Mol. Ecol. 2001, 10, 217–228. [Google Scholar] [CrossRef]
- Ferrari, J.; West, J.A.; Via, S.H.; Charles, J.; Godfray, H.C.J. Population genetic structure and secondary symbionts in host-associated populations of the pea aphid complex. Evolution 2012, 66, 375–390. [Google Scholar] [CrossRef]
- Fukatsu, T.; Tsuchida, T.; Nikoh, N.; Koga, R. Spiroplasma symbiont of the pea aphid, Acyrthosiphon pisum (Insecta: Homoptera). Appl. Environ. Microbiol. 2001, 67, 1284–1291. [Google Scholar] [CrossRef]
- Tsuchida, T.; Koga, R.; Matsumoto, S.; Fukatsu, T. Interspecific symbiont transfection confers a novel ecological trait to the recipient insect. Biol. Lett. 2011, 7, 245–248. [Google Scholar] [CrossRef]
- Guay, J.F.; Boudreault, S.; Michaud, D.; Cloutier, C. Impact of environmental stress on aphid clonal resistance to parasitoids: Role of Hamiltonella defensa bacterial symbiosis in association with a new facultative symbiont of the pea aphid. J. Insect Physiol. 2009, 15, 919–926. [Google Scholar] [CrossRef]
- Wang, J.X.; Li, X.J. Study on life table of population of Semiaphis heraclei (Takahashi) at different temperatures. Liaoning Agric. Sci. 2016, 1–5. [Google Scholar] [CrossRef]
- Liu, X.D. Insect Ecology and Forecast; China Agriculture Press: Beijing, China, 2016; pp. 94–96. [Google Scholar]





| Factor | df | 1st Instar | 2nd Instar | 3rd Instar | 4th Instar | ||||
|---|---|---|---|---|---|---|---|---|---|
| F | p | F | p | F | p | F | p | ||
| Aphid clones | 3 | 146.07 | <0.001 | 12.12 | <0.001 | 34.33 | <0.001 | 39.01 | <0.001 |
| Host plants | 1 | 32.63 | <0.001 | 1.60 | 0.203 | 8.58 | <0.001 | 1.27 | 0.28 |
| Aphid clones × host plants | 3 | 28.48 | <0.001 | 13.68 | <0.001 | 16.69 | <0.001 | 0.43 | 0.73 |
| Factor | df | Last Molt | Last Molt to Reproduction | Start of Reproduction | |||
|---|---|---|---|---|---|---|---|
| F | p | F | p | F | p | ||
| Aphid clones | 3 | 139.620 | <0.001 | 8.358 | <0.001 | 109.935 | <0.001 |
| Host plants | 1 | 5.961 | 0.015 | 6.946 | 0.009 | 9.990 | 0.002 |
| Aphid clones × host plants | 3 | 22.773 | <0.001 | 0.550 | 0.648 | 21.495 | <0.001 |
| Factor | df | Intrinsic Rate of Increase (rm) | Net Reproductive Rate (R0) | Mean Generation Time (T/d) | Doubling Time (DT) | Finite Rate of Increase (λ) | |||||
|---|---|---|---|---|---|---|---|---|---|---|---|
| F | p | F | p | F | p | F | p | F | p | ||
| Host plants | 1 | 6.65 | 0.015 | 11.99 | 0.002 | 17.26 | <0.001 | 4.05 | 0.053 | 7.33 | 0.011 |
| Aphid clones | 3 | 79.51 | <0.001 | 57.72 | <0.001 | 31.42 | <0.001 | 79.20 | <0.001 | 78.85 | <0.001 |
| Host plants × aphid clones | 3 | 43.04 | <0.001 | 39.17 | <0.001 | 8.37 | <0.001 | 43.84 | <0.001 | 39.17 | <0.001 |
| Date | Location | Host Plant | Sample No. |
|---|---|---|---|
| 20 April 2023 | Jinan | L. japonica | 52 |
| 20 April 2023 | Jinan | A. graveolens | 20 |
| 26 April 2023 | Jiyang | C. monnieri | 15 |
| Aphid Clone | Host Plant | Date | Location | S. symbiotica | R. insecticola |
|---|---|---|---|---|---|
| S1 | C. monnieri | 26 April 2023 | Jiyang | - | + |
| S2 | C. monnieri | 26 April 2023 | Jiyang | + | + |
| Q1 | A. graveolens | 20 April 2023 | Jinan | - | + |
| Q2 | A. graveolens | 20 April 2023 | Jinan | + | + |
Disclaimer/Publisher’s Note: The statements, opinions and data contained in all publications are solely those of the individual author(s) and contributor(s) and not of MDPI and/or the editor(s). MDPI and/or the editor(s) disclaim responsibility for any injury to people or property resulting from any ideas, methods, instructions or products referred to in the content. |
© 2025 by the authors. Licensee MDPI, Basel, Switzerland. This article is an open access article distributed under the terms and conditions of the Creative Commons Attribution (CC BY) license (https://creativecommons.org/licenses/by/4.0/).
Share and Cite
Chang, C.; Han, Y.; Yang, K.; Jiang, X.; Zhang, X.; Li, Z.; Ge, F. Facultative Endosymbiont Serratia symbiotica Provides Fitness Benefits for Celery Aphid Semiaphis heraclei Collected from Plant Cnidium monnieri. Plants 2025, 14, 3391. https://doi.org/10.3390/plants14213391
Chang C, Han Y, Yang K, Jiang X, Zhang X, Li Z, Ge F. Facultative Endosymbiont Serratia symbiotica Provides Fitness Benefits for Celery Aphid Semiaphis heraclei Collected from Plant Cnidium monnieri. Plants. 2025; 14(21):3391. https://doi.org/10.3390/plants14213391
Chicago/Turabian StyleChang, Chunyan, Yingshuo Han, Kun Yang, Xin Jiang, Xinrui Zhang, Zhuo Li, and Feng Ge. 2025. "Facultative Endosymbiont Serratia symbiotica Provides Fitness Benefits for Celery Aphid Semiaphis heraclei Collected from Plant Cnidium monnieri" Plants 14, no. 21: 3391. https://doi.org/10.3390/plants14213391
APA StyleChang, C., Han, Y., Yang, K., Jiang, X., Zhang, X., Li, Z., & Ge, F. (2025). Facultative Endosymbiont Serratia symbiotica Provides Fitness Benefits for Celery Aphid Semiaphis heraclei Collected from Plant Cnidium monnieri. Plants, 14(21), 3391. https://doi.org/10.3390/plants14213391

