Sign in to use this feature.

Years

Between: -

Subjects

remove_circle_outline
remove_circle_outline
remove_circle_outline
remove_circle_outline
remove_circle_outline
remove_circle_outline
remove_circle_outline
remove_circle_outline
remove_circle_outline

Journals

Article Types

Countries / Regions

remove_circle_outline
remove_circle_outline
remove_circle_outline
remove_circle_outline
remove_circle_outline
remove_circle_outline
remove_circle_outline

Search Results (674)

Search Parameters:
Keywords = distributed watershed modelling

Order results
Result details
Results per page
Select all
Export citation of selected articles as:
26 pages, 5081 KB  
Article
Upscaling WEPP Model to Project Spatial Variability of Soil Erosion in Agricultural-Dominant Watershed, India
by Vijayalakshmi Suliammal Ponnambalam, Nagesh Kumar Dasika, Haw Yen, Aubrey K. Winczewski, Dennis C. Flanagan, Chris S. Renschler and Bernard A. Engel
Water 2026, 18(6), 744; https://doi.org/10.3390/w18060744 - 22 Mar 2026
Viewed by 126
Abstract
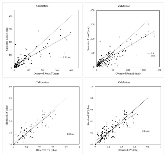
The synergistic impacts of land use/land cover (LULC) transformations and weather pattern variabilities (WPV) represent a primary driver of hydro-geological instability, threatening agricultural productivity, soil conservation, and water quality. Disentangling the discrete contributions of these stressors to runoff and sediment yield (SY) remains [...] Read more.
The synergistic impacts of land use/land cover (LULC) transformations and weather pattern variabilities (WPV) represent a primary driver of hydro-geological instability, threatening agricultural productivity, soil conservation, and water quality. Disentangling the discrete contributions of these stressors to runoff and sediment yield (SY) remains a significant challenge, particularly in complex, confluence-proximal watersheds lacking major hydraulic regulations. This study investigates the Tirumakudalu Narasipura watershed in Karnataka, India, an agriculturally intensive system undergoing rapid peri-urbanization. Leveraging the process-based geospatial interface of the Water Erosion Prediction Project (GeoWEPP), we analyzed hydrological responses over a 24-year period (2000–2023) and projected future trajectories through 2030. To overcome the traditional constraints of GeoWEPP, which was developed for small-scale watersheds (<260 ha), we present a novel upscaling framework utilizing a multi-site multivariate temporal calibration of hydrological response variables to exploit its process-based precision in capturing distributed soil erosion and landscape heterogeneity. This approach is further reinforced by an ancillary data validation to minimize error propagation while model-upscaling. Our findings reveal projected increases in runoff and SY of 14.69% and 49.23%, respectively, between 2000 and 2030. Notably, the sub-decadal acceleration from 2023 to 2030 (17.32% for runoff and 18.51% for SY) underscores a shifting dominance where LULC-driven surface modifications now outweigh climatic variance in forcing hydrologic change. Furthermore, the study quantifies how anthropogenic interventions such as strategic crop selection, tillage intensity, and irrigation regimes act as critical determinants of topsoil preservation. These results provide a scalable, economically feasible framework for precision land stewardship and sustainable watershed management in rapidly developing tropical landscapes. Full article
(This article belongs to the Section Hydrology)
Show Figures

Figure 1

28 pages, 12219 KB  
Article
Exploring the Multiscale Spatiotemporal Dynamics of Ecosystem Service Interactions and Their Driving Factors in the Taihu Lake Basin, China
by Yachao Chang, Zhimin Zhang and Chongchong Yao
Sustainability 2026, 18(6), 2930; https://doi.org/10.3390/su18062930 - 17 Mar 2026
Viewed by 140
Abstract
Understanding the intricate interrelationships among ecosystem services (ESs) is fundamental to advancing sustainable ecological management. This study focuses on the Taihu Basin and examines five representative ESs, including water yield (WY), carbon sequestration (CS), soil retention (SR), habitat quality (HQ), and crop production [...] Read more.
Understanding the intricate interrelationships among ecosystem services (ESs) is fundamental to advancing sustainable ecological management. This study focuses on the Taihu Basin and examines five representative ESs, including water yield (WY), carbon sequestration (CS), soil retention (SR), habitat quality (HQ), and crop production (CP), for the years 2000, 2010, and 2020. Spatial distribution characteristics and spatiotemporal dynamics were quantified through the combined application of the InVEST model, a food production model, and ArcGIS. Spearman correlation analysis and K-means clustering were then applied to characterize trade-offs and synergies among ESs and to delineate ecosystem service bundles at multiple spatial scales, including 1 km × 1 km grids, 10 km × 10 km grids, and the county level, while GeoDetector was used to identify the associated driving mechanisms. The results indicated that (1) between 2000 and 2020, the spatial distribution pattern of the ESs in the Taihu Basin underwent significant changes, with WY and SR increasing by 48.97% and 51.89%, respectively, while HQ, CS, and CP decreased by 17.2%, 15.5%, and 47.6%. (2) From an overall perspective of trade-offs and synergies, the interactions among ESs shifted from trade-offs (r < 0) to synergies (r > 0) as the scale increased. From the perspective of the spatial characteristics of trade-offs and synergies, the intensity of these interactions varied significantly with increasing scale, but the trend remained relatively stable. (3) The Taihu Basin can be categorized into six ES bundles (ESBs). ESB 1, ESB 3, ESB 4, and ESB 5 have relatively stable ES structures, whereas ESBs 2 and 6 display significant variations. (4) The primary factors influencing ESs vary significantly across different spatial scales, with land use/land cover (LULC) and the proportions of arable land, forestland, and buildings exhibiting strong explanatory power. This highlights the critical role of coupled natural and anthropogenic processes in shaping the spatial patterns of ESs. This study considers the spatiotemporal variation and scale dependence of ecosystem services, providing management recommendations tailored to different regions and spatial scales, and offering a scientific basis for regional ecological planning and watershed governance. Full article
Show Figures

Figure 1

41 pages, 8144 KB  
Article
Statistical Development of Rainfall IDF Curves and Machine Learning-Based Bias Assessment: A Case Study of Wadi Al-Rummah, Saudi Arabia
by Ibrahim T. Alhbib, Ibrahim H. Elsebaie and Saleh H. Alhathloul
Hydrology 2026, 13(3), 96; https://doi.org/10.3390/hydrology13030096 - 16 Mar 2026
Viewed by 370
Abstract
Reliable estimation of extreme rainfall is essential for hydraulic design and flood risk mitigation, particularly in arid regions where rainfall exhibits strong temporal and spatial variability. This study presents a statistical framework for developing rainfall intensity-duration-frequency (IDF) curves, complemented by a machine learning-based [...] Read more.
Reliable estimation of extreme rainfall is essential for hydraulic design and flood risk mitigation, particularly in arid regions where rainfall exhibits strong temporal and spatial variability. This study presents a statistical framework for developing rainfall intensity-duration-frequency (IDF) curves, complemented by a machine learning-based assessment of model bias and performance. The analysis was conducted using data from ten rainfall stations located within or near the Wadi Al-Rummah Basin. Annual maximum series (AMS) from 1969 to 2024 were first reconstructed to address missing years using a modified normal ratio method (NRM) combined with nearest-station selection, ensuring spatial consistency while preserving station-specific rainfall characteristics. Six probability distributions (Weibull, Gumbel, gamma, lognormal, generalized extreme value (GEV), and generalized Pareto) were fitted to each station, and the best-fit distribution was identified using multiple goodness-of-fit (GOF) criteria, including the Kolmogorov–Smirnov (K-S) test, Anderson–Darling (A-D) test, root mean square error (RMSE), chi-square (χ2) statistic, Akaike information criterion (AIC), Bayesian information criterion (BIC), and the coefficient of determination (R2). Statistical IDF curves were then developed for durations ranging from 5 to 1440 min and return periods from 2 to 1000 years. To evaluate the robustness of the statistically derived IDF curves, three machine learning (ML) models, multiple linear regression (MLR), regression random forest (RRF), and multilayer feed-forward neural network (MFFNN), were trained as surrogate models using duration, return period, and station geographic attributes as predictor variables. Model performance was evaluated using RMSE, MAE, and mean bias metrics across stations and return periods. The lognormal distribution emerged as the best-fit model for four stations, while the Gumbel and gamma distributions were selected for two stations each. Overall, no single probability distribution consistently outperformed others, indicating station-dependent behavior. Among the machine learning models, the MFFNN achieved the closest agreement with statistical IDF estimates (RMSE0.97, MAE0.65, bias0.02), followed by RRF and MLR based on global average performance across all stations and return periods. The proposed framework offers a reliable approach for rainfall IDF development and evaluation in arid region watersheds. Full article
(This article belongs to the Section Statistical Hydrology)
Show Figures

Figure 1

25 pages, 3363 KB  
Article
Spatial Clustering of Front Yard Landscapes: Implications for Urban Soil Conservation and Green Infrastructure Sustainability in the Río Piedras Watershed
by L. Kidany Sellés and Elvia J. Meléndez-Ackerman
Sustainability 2026, 18(6), 2821; https://doi.org/10.3390/su18062821 - 13 Mar 2026
Viewed by 287
Abstract
Current sustainability discourse promotes sustainable yard practices as a means for residents to contribute to urban environmental health and soil conservation. Social–ecological research suggests that yard practices are shaped by multiscale social drivers, including social contagion, whereby visible expressions of individuality in front [...] Read more.
Current sustainability discourse promotes sustainable yard practices as a means for residents to contribute to urban environmental health and soil conservation. Social–ecological research suggests that yard practices are shaped by multiscale social drivers, including social contagion, whereby visible expressions of individuality in front yard design are copied by nearby neighbors. This study evaluated residential areas within the Río Piedras Watershed (RPWS) in the San Juan metropolitan area to assess evidence of social contagion in front yard configuration and vegetation structure, and to examine whether these variables were associated with socio-demographic and economic characteristics when spatial effects were considered. A total of 6858 front yards across six highly urbanized sites were analyzed using Google Earth Street View imagery. Housing lot sizes were quantified, and yards were classified into eight landscape configurations based on green and gray cover elements. Woody vegetation structures, including trees, shrubs, and palms, were also quantified to generate estimates of functional diversity and a front yard quality index. Significant differences in yard characteristics were observed among sites. Spatial analyses revealed significant clustering at distances of 65–80 m, particularly for front yard configuration, while clustering of woody vegetation density was weaker. Local clustering patterns and the distribution of outliers varied across sites. Spatial lag models indicated that lot area positively influenced yard configuration and quality, and the density and diversity of woody vegetation. While socio-economic variables were not significant predictors of yard quality, their effects cannot be discarded. Overall, results are consistent with social contagion processes but also highlight neighborhood design as a key driver of clustering, alongside widespread conversion of green to paved front yards, with implications for soil and green infrastructure loss as well as environmental and human health in the RPWS. Full article
Show Figures

Figure 1

19 pages, 5093 KB  
Article
Extreme Hydrological Events and Land Cover Impacts on Water Resources in Haiti: Remote Sensing and Modeling Tools Can Improve Adaptation Planning
by Jeldane Joseph, Suranjana Chatterjee, Joseph J. Molnar and Frances O’Donnell
Hydrology 2026, 13(3), 79; https://doi.org/10.3390/hydrology13030079 - 3 Mar 2026
Viewed by 255
Abstract
Populations in areas with limited hydrological data face ongoing challenges related to water supply and management, with climate change increasing the risks of floods and droughts. New remote sensing and modeling tools can improve land and water management in these regions, especially when [...] Read more.
Populations in areas with limited hydrological data face ongoing challenges related to water supply and management, with climate change increasing the risks of floods and droughts. New remote sensing and modeling tools can improve land and water management in these regions, especially when combined with limited ground measurements and local knowledge of extreme events. This study examined hydrological extremes and land cover change impacts in the Grande Rivière du Nord watershed, Haiti, using satellite and model-based data. Precipitation extremes were obtained from the Global Precipitation Measurement Integrated Multi-satellite Retrievals for GPM (GPM IMERG; 2000–2025), and streamflow data were sourced from the Group on Earth Observation Global Water Sustainability (GEOGLOWS) system and bias-corrected with a small historical hydrologic database. Annual maximum series were created and fitted with Gumbel, Lognormal, and Generalized Extreme Value (GEV) distributions using the L-moment method. Goodness-of-fit tests identified the best models, and precipitation amounts for return periods of 2–100 years were estimated. The precipitation maxima aligned with locally reported extreme events, and GEV provided the best overall fit. Using the bias-corrected streamflow, a hydrologic model was calibrated and validated and then applied to land cover change scenarios. Simulations suggest that moderate land-use change can increase peak flows beyond channel capacity, raising flood risk and informing adaptation planning in northern Haiti, which has limited data. Full article
(This article belongs to the Special Issue The Influence of Landscape Disturbance on Catchment Processes)
Show Figures

Figure 1

21 pages, 5509 KB  
Article
Runoff Modeling in Northern Tianshan Glacial Basins Based on Multi-Source Precipitation Products
by Jing He, Haoran Zhang, Chunmei Guo, Tianyu Huang, Chubo Wang, Qixiang Zhou and Libing Song
Water 2026, 18(5), 568; https://doi.org/10.3390/w18050568 - 27 Feb 2026
Viewed by 275
Abstract
Precipitation data is a primary influencing factor in hydrological modeling. However, the sparse distribution of surface hydrological stations and the lack of available data constrain the development of watershed models and the management and allocation of water resources. This study employs statistical metrics [...] Read more.
Precipitation data is a primary influencing factor in hydrological modeling. However, the sparse distribution of surface hydrological stations and the lack of available data constrain the development of watershed models and the management and allocation of water resources. This study employs statistical metrics to evaluate discrepancies between observed precipitation data and multi-source precipitation products (CMADS, ERA5, GPM IMERG, and TRMM). It identifies highly sensitive parameters in the SWAT model established using observed hydrological data and quantitatively assesses runoff simulation performance in the Manas River Basin using the coefficient of determination and Nash index. Results indicate the following: (1) CMADS and TRMM exhibit good overall trends within a year. For multi-year monthly precipitation averages, CMADS performs best at monthly and seasonal scales (CC > 0.7), while TRMM performs best at the annual scale (CC > 0.75). (2) At spatial scales, IMERG shows the poorest performance compared to observed stations, and ERA5 exhibits anomalous points. (3) TRMM achieved the best monthly runoff simulation performance in the Manas River Basin, with an average NSE value of 0.73, average R2 of 0.80, and average KGE of 0.80. This study provides valuable scientific support for hydrological forecasting in data-scarce regions with complex topography and similar climate variability. Full article
Show Figures

Figure 1

19 pages, 4436 KB  
Article
Development of a 3D-Printed Capacitive Sensor for Soil Water Content Estimation Using Nickel-Based Conductive Paint
by Alessandro Comegna, Shawkat B. M. Hassan and Antonio Coppola
Sensors 2026, 26(5), 1494; https://doi.org/10.3390/s26051494 - 27 Feb 2026
Viewed by 245
Abstract
Understanding hydrological, agricultural, and environmental processes in soils relies on accurately measuring volumetric water content (θ), matric potential (h), and hydraulic conductivity (K). These parameters are fundamental for quantifying plant-available water, optimizing irrigation scheduling in precision agriculture, modeling watershed [...] Read more.
Understanding hydrological, agricultural, and environmental processes in soils relies on accurately measuring volumetric water content (θ), matric potential (h), and hydraulic conductivity (K). These parameters are fundamental for quantifying plant-available water, optimizing irrigation scheduling in precision agriculture, modeling watershed responses, and studying the impacts of climate change in complex ecosystems. Among these parameters, θ is truly indispensable, as it represents the primary indicator of the water status of soils and a prerequisite for interpreting the other hydraulic variables. In recent years, capacitive sensors have become one of the most widely adopted technologies for θ estimation, owing to their favorable balance between accuracy, robustness, and affordability. These sensors infer soil moisture by measuring dielectric permittivity of soils, which is strongly governed by water content, making them particularly suitable for distributed monitoring and IoT-based environmental applications. The present study aimed to develop a low-cost capacitive sensor for θ estimation. This sensor can be made using 3D printing technology combined with conductive, nickel-based paint, which (once applied on the 3D-printed guides) forms the capacitive electrode. The capacitive component operates at an operational frequency of 60 MHz. The system was subjected to a rigorous testing protocol, including calibration and validation phases under laboratory conditions using three soils of different textures. Its performance was specifically compared with the time-domain reflectometry (TDR) technique, which is widely recognized in Soil Physics and Soil Hydrology as the reference method for θ estimation due to its reliability and accuracy. These tests confirmed the effective performance of the proposed sensor, which overall exhibited good reliability within the selected validation range, corresponding to a θ range of 0 to 0.40 cm3/cm3. Full article
(This article belongs to the Section Smart Agriculture)
Show Figures

Graphical abstract

28 pages, 12075 KB  
Article
Research on the Driving Mechanism of Water and Sediment Evolution in the Area of the Datengxia Water Control Hub Project: Principle Analysis, Method Design, and Prediction Simulation
by Chengyong Gong, Yinying Wang, Weitao Weng, Shiming Chen and Xinyu Guo
Atmosphere 2026, 17(2), 217; https://doi.org/10.3390/atmos17020217 - 19 Feb 2026
Viewed by 342
Abstract
This study investigates the characteristics of water and sediment evolution under the influence of the Datengxia Water Control Hub Project by analyzing its affected area, with a focus on the driving mechanisms of human activities on these processes. Utilizing hydrological data (1993–2022) from [...] Read more.
This study investigates the characteristics of water and sediment evolution under the influence of the Datengxia Water Control Hub Project by analyzing its affected area, with a focus on the driving mechanisms of human activities on these processes. Utilizing hydrological data (1993–2022) from the Wuxuan and Dahuangjiangkou Stations, along with meteorological, land use, and population data, we applied the M–K (Mann–Kendall) trend test, Pettitt change point test, double mass curve method, and a random forest model. These methods were used to quantify the contributions of rainfall and human activities and to identify the dominant controlling factors. Model reliability was verified by comparing predicted and observed P-III (Pearson Type III distribution curve), enabling an assessment of water–sediment changes before and after the project’s construction. The results indicate that (1) both stations showed a non-significant declining trend in runoff and sediment load, with a human activity-induced change point detected in 2003; (2) human activities accounted for 93.18% and 92.38% of the reduction in runoff and sediment load at Wuxuan Station, and 74.44% and 54.33% at Dahuangjiangkou Station, respectively; (3) population density was the dominant factor for water–sediment changes at Wuxuan Station (influence weight: 0.41), while grassland area (0.41) and population density (0.40) primarily controlled runoff and sediment changes, respectively, at Dahuangjiangkou Station; (4) following project construction, the trend of the decreasing flood inundation extent with increasing frequency became more pronounced, and sediment deposition was concentrated mainly in the reservoir area and downstream reaches. The study confirms the dominant role of human activities in the basin’s water–sediment dynamics, and the established methodological framework provides a scientific basis for integrated watershed management and ecological conservation. Full article
Show Figures

Figure 1

23 pages, 4812 KB  
Article
Improving Flood Simulation Performance of Distributed Hydrological Model in the Plain–Hilly Transition Zone via DEM Stream Burning and PSO
by Zhiwei Huang, Yangbo Chen and Kai Wang
Remote Sens. 2026, 18(4), 555; https://doi.org/10.3390/rs18040555 - 10 Feb 2026
Viewed by 404
Abstract
Accurate flood simulation and forecasting in plain–hilly transition zones remain challenging due to limitations of medium- and low-resolution digital elevation models (DEMs), which often produce discontinuous drainage networks and misaligned confluence paths. This study evaluates an integrated improvement framework that combines DEM stream-burning [...] Read more.
Accurate flood simulation and forecasting in plain–hilly transition zones remain challenging due to limitations of medium- and low-resolution digital elevation models (DEMs), which often produce discontinuous drainage networks and misaligned confluence paths. This study evaluates an integrated improvement framework that combines DEM stream-burning and automatic parameter calibration to enhance the flood-simulation performance of a physically based distributed hydrological model (the Liuxihe Model). The framework was tested in the Beimiaoji Watershed (upper Huaihe River Basin) using 12 observed flood events: one event for parameter calibration via Particle Swarm Optimization (PSO) and 11 events for independent validation. Model performance was assessed using multiple metrics, including the Nash–Sutcliffe Efficiency (NSE), peak error (PE), and peak-timing error (PT). Results indicate that stream-burning substantially improves river-network extraction, and that the combined application of DEM correction and PSO-based calibration markedly enhances model performance. The findings suggest that the proposed, cost-effective correction–calibration pathway can improve operational flood simulations in terrain-sensitive regions without relying on costly high-resolution DEMs, and thus provides a practical reference for similar basins. Full article
Show Figures

Figure 1

21 pages, 4011 KB  
Article
Projected Future Trends in Runoff and Sediment Transport in Typical Rivers of the Yellow River Basin, China
by Beilei Liu, Yongbin Wei, Chuanming Wang, Xiaorong Chen, Pan Wang, Jianye Ma and Peng Li
Water 2026, 18(3), 421; https://doi.org/10.3390/w18030421 - 5 Feb 2026
Viewed by 245
Abstract
This study systematically evaluated the response mechanisms of water and sediment processes in the Kuye River Basin to climate change and human activities from 2023 to 2053 by integrating multi-source climate scenarios (CMIP5 models), land-use change projections (based on the Markov chain model), [...] Read more.
This study systematically evaluated the response mechanisms of water and sediment processes in the Kuye River Basin to climate change and human activities from 2023 to 2053 by integrating multi-source climate scenarios (CMIP5 models), land-use change projections (based on the Markov chain model), and a distributed hydrological model (SWAT model). The results indicate that under the RCP8.5 high-emission scenario, annual precipitation in the basin shows a non-significant increasing trend but with intensified interannual variability. Spatially, precipitation exhibits a pattern of increasing from northwest to southeast, with a marked decadal transition occurring around 2043. Land-use structure undergoes significant transformation, with construction land projected to account for 30.54% of the total basin area by 2050, while grassland and cropland continue to decline. Water and sediment processes display distinct phased characteristics: a fluctuating adjustment phase (2023–2033), a relatively stable phase (2034–2043), and a sharp growth phase (2044–2053). Parameter sensitivity analysis identifies the curve number (CN2) and soil bulk density (SOL_BD) as key regulatory parameters, revealing the synergistic mechanism by which land-use changes amplify climatic effects through alterations in surface properties. Based on the findings, an adaptive watershed management framework is proposed, encompassing dynamic water resource regulation, spatial zoning, targeted erosion control, and iterative scientific management. Particular emphasis is placed on addressing hydrological transition risks around 2043 and promoting low-impact development practices in high-erosion areas. This study provides a scientific basis for the integrated management of water and soil resources in the context of ecological conservation and high-quality development in the Yellow River Basin. The methodology developed herein offers a valuable reference for predicting water and sediment processes and implementing adaptive management in similar semi-arid basins. Full article
(This article belongs to the Special Issue Soil Erosion and Soil and Water Conservation, 2nd Edition)
Show Figures

Figure 1

23 pages, 5929 KB  
Article
Spatiotemporal Dynamics of Tree Species-Level Aboveground Carbon Storage at the Canal Scale Under Green Engineering with a Random Forest Model
by Wenhuan Wang, Wenqian Wu, Wei Zhang, Dongdong Hu, Weifeng Xu, Jie Bai and Yinghui Wang
Remote Sens. 2026, 18(3), 475; https://doi.org/10.3390/rs18030475 - 2 Feb 2026
Viewed by 441
Abstract
Monitoring spatiotemporal dynamics of aboveground carbon (AGC) storage at the tree species level is crucial for evaluating the ecological impacts of large-scale infrastructure projects and facilitating accurate ecological environmental management. However, existing studies heavily rely on interannual coarse-spatial-resolution forest-type products, leading to significant [...] Read more.
Monitoring spatiotemporal dynamics of aboveground carbon (AGC) storage at the tree species level is crucial for evaluating the ecological impacts of large-scale infrastructure projects and facilitating accurate ecological environmental management. However, existing studies heavily rely on interannual coarse-spatial-resolution forest-type products, leading to significant uncertainties in carbon estimation, particularly in fragmented linear engineering zones. This study integrated Sentinel-1/2 data with a random forest (RF) model to map tree species distribution (overall accuracy = 85.18%; Kappa = 0.8319) and AGC estimation (R2 = 0.7057; RMSE = 13.35 Mg ha−1) at a 10 m resolution in the Pinglu Canal Basin from 2019 to 2024. The results revealed a total AGC decline of 16.88% across the watershed. Spatially, the Environmental Impact Area (EIA) functioned as the primary disturbance core (experiencing a 28.91% loss), while the Ecological Buffer Area (EBA) acted as a regional carbon stabilizer. At the species level, while Eucalyptus grandis accounted for the majority of carbon depletion, Pinus massoniana exhibited a resilience-driven rebound in the mid-construction phase. Meanwhile, Litchi chinensis and other native species demonstrated steady gains. Cumulatively, these species-specific carbon gains associated with natural growth and restoration initiatives effectively offset 34.45% of the carbon loss. These findings provide quantitative evidence supporting the potential of green engineering to mitigate the ecological footprint of infrastructure development. This study offers a robust monitoring tool for low-carbon infrastructure and directly supports the United Nations Sustainable Development Goal 15 (SDG 15) related to forest conservation and ecological restoration. Full article
(This article belongs to the Special Issue Big Earth Data in Support of the Sustainable Development Goals)
Show Figures

Graphical abstract

20 pages, 5161 KB  
Article
Copula-Based Bayesian Inference Approaches for Uncertainty Quantification for Hydrological Simulation
by Feng Wang, Ruixin Duan, Jiannan Zhang, Mengyu Zhai, Yanfeng Li, Yurui Fan and Yulei Xie
Hydrology 2026, 13(2), 50; https://doi.org/10.3390/hydrology13020050 - 29 Jan 2026
Viewed by 518
Abstract
In this study, an advanced copula-based Bayesian inference framework is proposed to characterize probabilistic features in hydrological simulations. Specifically, a Copula–Metropolis–Hastings (CopMH) algorithm is developed through integrating copula functions into the conventional Metropolis–Hastings (MH) algorithm within an interdependence-sampling framework. In CopMH, the interdependence [...] Read more.
In this study, an advanced copula-based Bayesian inference framework is proposed to characterize probabilistic features in hydrological simulations. Specifically, a Copula–Metropolis–Hastings (CopMH) algorithm is developed through integrating copula functions into the conventional Metropolis–Hastings (MH) algorithm within an interdependence-sampling framework. In CopMH, the interdependence structure among model parameters is quantified using copula functions, which are subsequently employed to generate proposal candidates. The proposed approach is then applied to uncertainty analysis in hydrological simulations of the Ruihe River watershed in Northwest China. The results indicate that, compared with the traditional MH, incorporating copula-based proposal distributions significantly improves convergence efficiency and simulation accuracy, as inter-parameter dependence is more effectively captured. All algorithms are independently repeated 15 times, and CopMH exhibits more robust and stable performance than MH. Furthermore, the intercorrelation analysis of hydrological model parameters reveals that interactive effects among parameters are ubiquitous. These findings highlight that consideration of the interrelationship among the parameters in hydrologic models is meaningful and necessary for uncertainty quantification of hydrological simulation. This study demonstrates the strong potential of the proposed CopMH approach for effectively quantifying and reducing parameter uncertainty in hydrological simulations. Full article
Show Figures

Figure 1

17 pages, 3623 KB  
Article
Characterizing the Spatiotemporal Distribution of Water Quality and Pollution Sources in Mountainous Watershed
by Wenting Qiu, Wei Wang, Xingyue Tu, Zehua Xu, Biao Wang, Zhimiao Zhang, Ying Wang and Baiyin Liu
Water 2026, 18(3), 328; https://doi.org/10.3390/w18030328 - 28 Jan 2026
Viewed by 332
Abstract
The precise identification of pollution sources constitutes a cornerstone for effective water environment management in mountainous watersheds. This study employed principal component analysis–absolute principal component scores–multiple linear regression (PCA-APCS-MLR) receptor modeling to analyze monthly water quality indicators across the Longxi River Basin. Results [...] Read more.
The precise identification of pollution sources constitutes a cornerstone for effective water environment management in mountainous watersheds. This study employed principal component analysis–absolute principal component scores–multiple linear regression (PCA-APCS-MLR) receptor modeling to analyze monthly water quality indicators across the Longxi River Basin. Results revealed comparable water quality between the main stream and its tributaries, with no statistically significant differences identified. Water quality exhibited a distinct spatial pattern, with superior conditions in the upstream and downstream segments compared to the middle reaches. Water quality parameters exhibited significant seasonal variations. During the wet period, the degradation of water quality was primarily driven by diffuse agricultural sources, contributing 42.9%, followed by watershed background levels and surface runoff. In the dry season, rural domestic wastewater (39.3%) was the leading pollution source. For Permanganate index (CODMn) exceedance, basin background and agricultural non-point sources in the wet season were the main contributors (46.8% and 44.7%, respectively). For ammonium nitrogen (NH3-N), wet season agricultural non-point sources (44.4%) and dry season rural domestic pollution (71.8%) were key contributors. Agricultural non-point sources were the dominant pollution source for total nitrogen (TN) in the wet season (84.2%). Effective water quality improvement in the Longxi River Basin hinges on targeted strategies—to mitigate diffuse agricultural sources through optimized fertilization, and to enhance the collection and treatment of rural domestic sewage. This study not only enhances the understanding of pollution source distribution and quantification in mountainous watersheds, but also serves as a vital reference for formulating targeted water environment management strategies. Full article
(This article belongs to the Section Water Quality and Contamination)
Show Figures

Figure 1

28 pages, 6966 KB  
Article
Comparing HEC-HMS and HEC-RAS for Continuous, Rain-on-Grid, Urban Watershed Modeling
by Ashmita Poudel and Jose G. Vasconcelos
Hydrology 2026, 13(2), 46; https://doi.org/10.3390/hydrology13020046 - 28 Jan 2026
Viewed by 1118
Abstract
The application of two-dimensional (2D) hydrologic and hydraulic modeling tools is increasing for overland flow simulation, as they represent spatial changes in depth, velocity, and flow conditions more accurately. Recently, the US Army Corps HEC-HMS (Hydrologic Engineering Center Hydrologic Modeling System) added the [...] Read more.
The application of two-dimensional (2D) hydrologic and hydraulic modeling tools is increasing for overland flow simulation, as they represent spatial changes in depth, velocity, and flow conditions more accurately. Recently, the US Army Corps HEC-HMS (Hydrologic Engineering Center Hydrologic Modeling System) added the capability to import an unstructured 2D mesh, which enables the routing of excess precipitation across the mesh, as a fully distributed hydrological model. In HEC-HMS, the 2D diffusion-wave component functions as a hydrologic transform representing overland flow routing. In contrast, HEC-RAS 2D (Hydrologic Engineering Center-River Analysis System), initially applied to river flow simulation, can apply either the 2D shallow-water equations or the 2D diffusion-wave option. Similarly to HEC-HMS, HEC-RAS also includes rain-on-grid (RoG) capability and infiltration algorithms, and in this fashion has some hydrological modeling capabilities. Still, while HEC-HMS is capable of representing extended-period hydrological simulations, HEC-RAS hydrological capabilities are limited to event-based simulations, as there are no provisions to represent abstractions such as evapotranspiration or groundwater/baseflow contributions together. Studies performing a direct comparison between the HEC-HMS RoG and HEC-RAS RoG approaches for representing urban hydrology remain scarce. This study aims to fill that gap by assessing their performance in Moore’s Mill Creek Watershed, in Lee County, Alabama, with a focus on continuous rainfall-runoff modeling. Both models run on the same unstructured mesh and use identical rainfall, terrain, land-use, and soil data. Model simulations are compared over an extended period to evaluate simulated depth, velocity, and flow hydrographs against field observations. The comparison shows HEC-HMS’s superior performance for extended simulation and provides practical guidance on parameter alignment, data needs, and tool selection. Full article
Show Figures

Figure 1

20 pages, 5656 KB  
Article
Reading the Himalayan Treeline in 3D: Species Turnover and Structural Thresholds from UAV LiDAR
by Niti B. Mishra and Paras Bikram Singh
Remote Sens. 2026, 18(2), 309; https://doi.org/10.3390/rs18020309 - 16 Jan 2026
Cited by 2 | Viewed by 556
Abstract
Mountain treelines are among the most climate-sensitive ecosystems on Earth, yet their fine-scale structural and species level dynamics remain poorly resolved in the Himalayas. In particular, the absence of three-dimensional, crown level measurements have hindered the detection of structural thresholds and species turnover [...] Read more.
Mountain treelines are among the most climate-sensitive ecosystems on Earth, yet their fine-scale structural and species level dynamics remain poorly resolved in the Himalayas. In particular, the absence of three-dimensional, crown level measurements have hindered the detection of structural thresholds and species turnover that often precede treeline shifts. To bridge this gap, we introduce UAV LiDAR—applied for the first time in the Hindu Kush Himalayas—to quantify canopy structure and tree species distributions across a steep treeline ecotone in the Manang Valley of central Nepal. High-density UAV-LiDAR data acquired over elevations of 3504–4119 m was used to quantify elevation-dependent changes in canopy stature and cover from a canopy height model derived from the 3D point cloud, while individual tree segmentation and species classification were performed directly on the 3D, height-normalized point cloud at the crown level. Individual trees were delineated using a watershed-based segmentation algorithm while tree species were classified using a random forest model trained on LiDAR-derived structural and intensity metrics, supported by field-validated reference data. Results reveal a sharply defined treeline characterized by an abrupt collapse in canopy height and cover within a narrow ~60–80 m vertical interval. Treeline “threshold” was quantified as a breakpoint elevation from a piecewise model of tree cover versus elevation, and the elevation span over which modeled cover and height distributions rapidly declined from forest values to near-zero. Segmented regression identified a distinct structural breakpoint near 3995 m elevation. Crown-level species predictions aggregated by elevation quantified an ordered turnover in dominance, with Pinus wallichiana most frequent at lower elevations, Abies spectabilis peaking mid-slope, and Betula utilis concentrated near the upper treeline. Species classification achieved high overall accuracy (>85%), although performance varied among taxa, with broadleaf Betula more difficult to discriminate than conifers. These findings underscore UAV LiDAR’s value for resolving sharp ecological thresholds, identifying elevation-driven simplification in forest structure, and bridging observation gaps in remote, rugged mountain ecosystems. Full article
Show Figures

Figure 1

Back to TopTop