Upscaling WEPP Model to Project Spatial Variability of Soil Erosion in Agricultural-Dominant Watershed, India
Abstract
1. Introduction
2. Study Area
3. Materials and Methods
3.1. Data Collection
3.2. LULC Classification
3.3. LULC near Future Projection
3.4. Performance Evaluation of the WEPP Model
WEPP Model Set-Up and Calibration
3.5. Evaluation of Impact of LULC and Weather on Hydrologic Variables
3.6. Evaluation of Impact of Agricultural Management on Hydrologic Variables
4. Results and Discussion
4.1. Land Use and Land Cover Change and Prediction
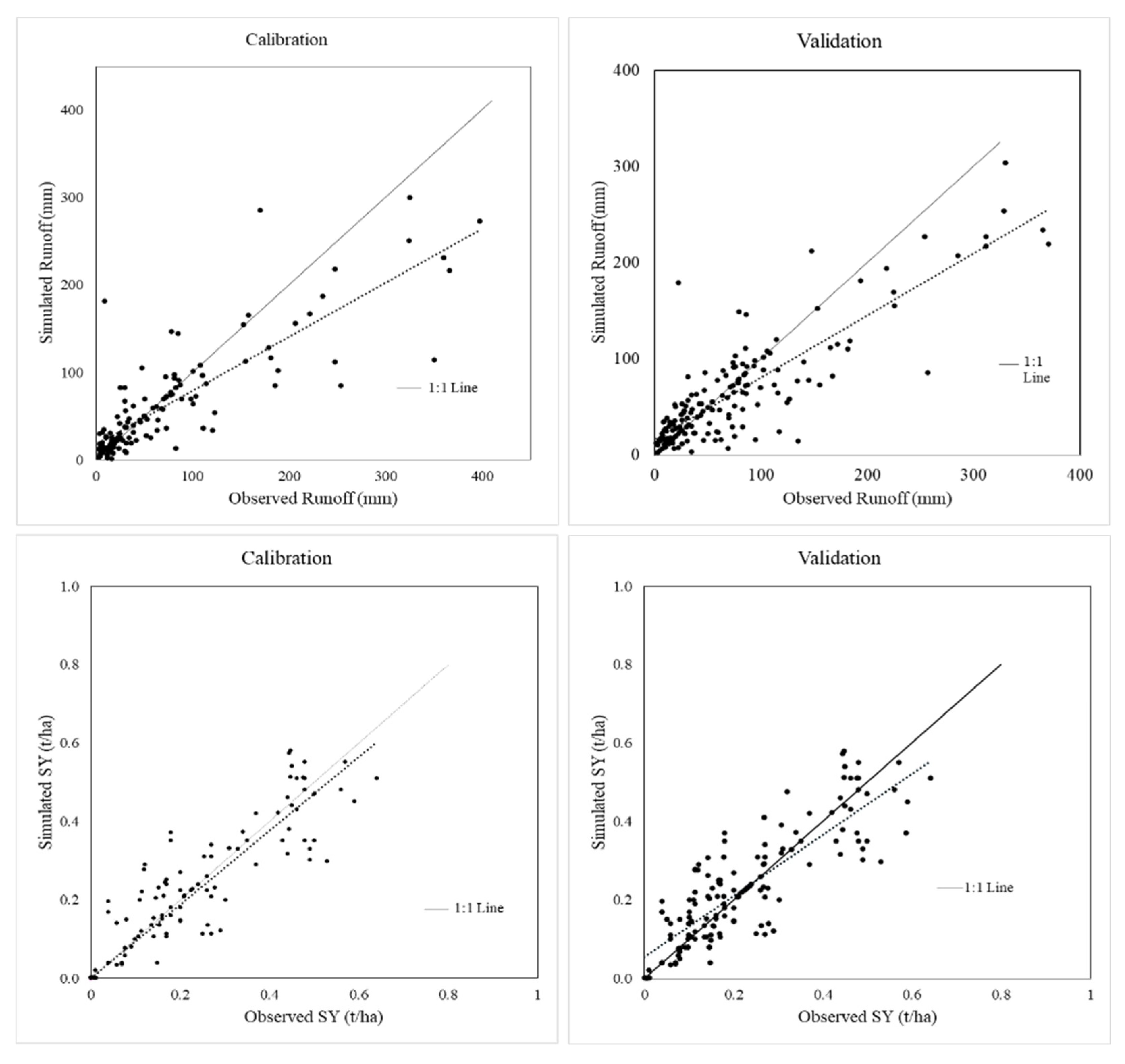
4.2. Runoff and SY Simulation Analysis Using WEPP Model
4.3. Assessment of Individual and Combined Impact of LULC and Weather on Hydrologic Variables
4.4. Impact of Agricultural Practices Followed in India on Runoff and SY Production
- Cultivating crops with lower water requirements (cotton, maize) alongside water-intensive crops (rice, sugarcane) with a buffer zone helps to reduce SL (Figure 12), and eventually SY. This could be an alternative and beneficial solution for farmers to reduce erosion instead of replacing the staple cereal (rice) of this region.
- Intense tillage makes soil less cohesive and more susceptible to erosion, so grass buffers or fibrous root crops with no or low–medium tillage practice is recommended;
- It is seen that the increase in SY is much harmonized with the increase in agricultural lands and urban areas. Cultivation on greater slope gradients results in higher SL.
- The analysis considers the crop yield at the sub-watershed level, so we can use this tool for decision-making to choose crop rotation pattern to maximize crop yield.
- Additionally, planting trees (such as coconut, mango, etc.) at the boundaries of the field yields profit to farmers, as these are perennial plants that also prevent soil from eroding.
- Afforestation is a strategy for restoring soil health and fertility; however, the selection of tree species must align with the hydrological and soil characteristics of the region. Otherwise, improper species selection could exacerbate the situation.
- Preservation of existing forest cover is essential for maintaining ecological stability. Policy frameworks should also account for the influence of anthropogenic activities on ecosystem functioning, as supported by findings from Dey and Mishra (2017) [63].
- Excavation of soil in riverine areas requires stringent oversight, and unauthorized or unlawful sand mining should be curtailed.
- Promoting millet cultivation is recommended, as millets demand significantly less irrigation and serve as a climate-adaptive, drought-tolerant, and nutrient-dense substitute for rice [64].
- Water bodies should be effectively interconnected to mitigate flooding, which in turn reduces soil erosion and the subsequent risks of landslides and other related consequences [8]. While preparing master plans, be they regional or zonal, care must be taken not to disturb water bodies.
- Strict maintenance of tourist and religious activities along the riverbanks should be undertaken to reduce solid wastes like cloths, plastics, etc. A CRB report in 2017 indicated that tourism activity like boating affects aquatic ecosystems and damages riverbanks, and the propellers in motorized boats re-suspend sediment, making the quality of water doubtful. Thus, eco-tourism must be encouraged.
- Strict laws/restrictions should be implemented for any developmental activity around water bodies such as lakes, ponds, tanks, wells, etc., with at least a 1 km buffer width, and special notice/concern should be given while planning industrial set-up [65].
- Implement a river regulatory zone (RRZ) similar to coastal regulatory zones. The RRZ should specify a clause on river encroachment and a way to prevent and clear it.
5. Conclusions
Author Contributions
Funding
Data Availability Statement
Conflicts of Interest
References
- Li, Z.; Liu, W.Z.; Zhang, X.C.; Zheng, F.L. Impacts of land use change and climate variability on hydrology in an agricultural catchment on the Loess Plateau of China. J. Hydrol. 2009, 377, 35–42. [Google Scholar] [CrossRef]
- Sun, G.; McNulty, S.G.; Lu, J.; Amatya, D.M.; Liang, Y.; Kolka, R.K. Regional annual water yield from forest lands and its response to potential deforestation across the southeastern United States. J. Hydrol. 2005, 308, 258–268. [Google Scholar] [CrossRef]
- Xiong, M.; Xu, Q.X.; Yuan, J. Analysis of multi-factors affecting sediment load in the Three Gorges Reservoir. Quat. Int. 2009, 208, 76–84. [Google Scholar] [CrossRef]
- Li, Z.; Fang, H. Impacts of climate change on water erosion: A review. Earth-Sci. Rev. 2016, 163, 94–117. [Google Scholar] [CrossRef]
- Chow, V.T.; Maidment, D.R.; Mays, L.W. Applied Hydrology; McGraw-Hill Book Company: Columbus, OH, USA, 1988; ISBN 0-07-010810-2. [Google Scholar]
- Brath, A.; Montanari, A.; Moretti, G. Assessing the effect on flood frequency of land use change via hydrological simulation (with uncertainty). J. Hydrol. 2006, 324, 141–153. [Google Scholar] [CrossRef]
- Wang, G.X.; Zhang, Y.; Liu, G.M.; Chen, L. Impact of land-use change on hydrological processes in the Maying River basin, China. Sci. China Ser. D Earth Sci. 2006, 49, 1098–1110. [Google Scholar] [CrossRef]
- Poesen, J.W.A.; Hooke, J.M. Erosion, flooding and channel management in Mediterranean environments of southern Europe. Prog. Phys. Geogr. 1997, 21, 157–199. [Google Scholar] [CrossRef]
- Dosdogru, F.; Kalin, L.; Wang, R.; Yen, H. Potential impacts of land use/cover and climate changes on ecologically relevant flows. J. Hydrol. 2020, 584, 124654. [Google Scholar] [CrossRef]
- Ramachandra, T.V.; Nagar, N.; Vinay, S.; Aithal, B.H. Modelling hydrologic regime of Lakshmanatirtha watershed, Cauvery River. In Proceedings of the 2014 IEEE Global Humanitarian Technology Conference—South Asia Satellite (GHTC-SAS), Trivandrum, India, 26–27 September 2014; pp. 64–71. [Google Scholar]
- Ma, X.; Lu, X.X.; Van Noordwijk, M.; Li, J.T.; Xu, J.C. Attribution of climate change, vegetation restoration, and engineering measures to the reduction of suspended sediment in the Kejie catchment, southwest China. Hydrol. Earth Syst. Sci. 2014, 18, 1979–1994. [Google Scholar] [CrossRef]
- Garg, V.; Nikam, B.R.; Thakur, P.K.; Aggarwal, S.P.; Gupta, P.K.; Srivastav, S.K. Human-induced land use land cover change and its impact on hydrology. HydroResearch 2019, 1, 48–56. [Google Scholar] [CrossRef]
- Mukundan, R.; Pradhanang, S.M.; Schneiderman, E.M.; Pierson, D.C.; Anandhi, A.; Zion, M.S.; Matonse, A.H.; Lounsbury, D.G.; Steenhuis, T.S. Suspended sediment source areas and future climate impact on soil erosion and sediment yield in a New York City water supply watershed, USA. Geomorphology 2013, 183, 110–119. [Google Scholar] [CrossRef]
- Chawla, I.; Mujumdar, P.P. Isolating the impacts of land use and climate change on streamflow. Hydrol. Earth Syst. Sci. 2015, 19, 3633–3651. [Google Scholar] [CrossRef]
- Sinha, R.K.; Eldho, T.I.; Subimal, G. Assessing the impacts of land cover and climate on runoff and sediment yield of a river basin. Hydrol. Sci. J. 2020, 65, 2097–2115. [Google Scholar] [CrossRef]
- Intergovernmental Panel on Climate Change (IPCC). Climate Change: Impacts, Adaptation and Vulnerability; Contribution of Working Group II to the Fourth Assessment Report of IPCC; Cambridge University Press: Cambridge, UK, 2007. [Google Scholar]
- Sun, G.; Alstad, K.; Chen, J.; Chen, S.; Ford, C.R.; Lin, G.; Liu, C.; Lu, N.; McNulty, S.G.; Miao, H.; et al. A general predictive model for estimating monthly ecosystem evapotranspiration. Ecohydrology 2011, 4, 245–255. [Google Scholar] [CrossRef]
- Wischmeier, W.H.; Smith, D.D. Predicting Rainfall Erosion Losses: A Guide to Conservation Planning; Agriculture Handbook No. 537; U.S. Department of Agriculture: Washington, DC, USA, 1978.
- Liu, B.Y.; Nearing, M.A.; Shi, P.H.; Jia, Z.W. Slope length effects on soil loss for steep slopes. Soil Sci. Soc. Am. J. 2004, 68, 1758–1763. [Google Scholar] [CrossRef]
- Zheng, H.; Zhang, L.; Zhu, R.; Liu, C.; Sato, Y.; Fukushima, Y. Responses of streamflow to climate and land surface change in the headwaters of the Yellow River Basin. Water Resour. Res. 2009, 45, W00A19. [Google Scholar] [CrossRef]
- Legesse, D.; Vallet-Coulomb, C.; Gasse, F. Hydrological response of a catchment to climate and land use changes in Tropical Africa: Case study South Central Ethiopia. J. Hydrol. 2003, 275, 67–85. [Google Scholar] [CrossRef]
- Liang, X.; Lettenmaier, D.P. A simple hydrologically based model of land surface water and energy fluxes for general circulation models. J. Geophys. Res. Atmos. 1994, 99, 14415–14428. [Google Scholar] [CrossRef]
- Amore, E.; Modica, C.; Nearing, M.A.; Santoro, V.C. Scale effect in USLE and WEPP application for soil erosion computation from three Sicilian basins. J. Hydrol. 2004, 293, 100–114. [Google Scholar] [CrossRef]
- Flanagan, D.C.; Nearing, M.A. USDA-Water Erosion Prediction Project: Technical Documentation; NSERL Rep. No. 10; National Soil Erosion Research Laboratory: West Lafayette, IN, USA, 1995.
- Nearing, M.A.; Foster, G.R.; Lane, L.J.; Frinker, S.C. A process-based soil erosion model for USDA-Water Erosion Prediction Project Technology. Trans. ASAE 1989, 32, 1587–1593. [Google Scholar] [CrossRef]
- Lahmer, W.; Pfutzner, B.; Becker, A. Assessment of land use and climate change impacts on the mesoscale. Phys. Chem. Earth Part B 2001, 26, 565–575. [Google Scholar] [CrossRef]
- Momm, H.G.; Wells, R.R.; ElKadiri, R.; Seever, T.; Yoder, D.; McGehee, R.P.; Bingner, R.L.; Darnault, C.J.G. Isoerodent surfaces of the continental US for conservation planning with the RUSLE2 water erosion model. CATENA 2025, 253, 108879. [Google Scholar] [CrossRef]
- Yen, H.; Ponnambalam, V.S.; Flanagan, D.C.; Renschler, C.S.; Srivastava, A.; Williams, M.R. WEPP-COMPARE: A web-based decision support system for comprehensive land management and soil erosion assessment. Environ. Model. Softw. 2025, 193, 106643. [Google Scholar] [CrossRef]
- Renschler, C.S. Designing geo-spatial interfaces to scale process models: The GeoWEPP approach. Hydrol. Process. 2003, 17, 1005–1017. [Google Scholar] [CrossRef]
- Laflen, J.M.; Lane, L.J.; Foster, G.R. WEPP: A new generation of erosion prediction technology. J. Soil Water Conserv. 1991, 46, 34–38. [Google Scholar] [CrossRef]
- Kumar, R.; Lone, M.A.; Singh, V.P. Temporal Simulation of Sediment Yield Using WEPP Model in Dal Catchment of Temperate Region of Kashmir Valley, India: Case Study. J. Hydrol. Eng. 2021, 26, 05021006. [Google Scholar] [CrossRef]
- Laflen, J.M.; Elliot, W.J.; Flanagan, D.C.; Meyer, C.R.; Nearing, M.A. WEPP—Predicting water erosion using a process-based model. J. Soil Water Conserv. 1997, 52, 96–102. [Google Scholar] [CrossRef]
- Baffaut, C.; Nearing, M.A.; Ascough, J.C., II; Liu, B.Y. The WEPP watershed model: II. Sensitivity analysis and discretization on small watersheds. Trans. ASAE 1997, 40, 935–943. [Google Scholar] [CrossRef]
- Ascough, J.C., II; Deer-Ascough, L.A.; Weesies, G.A. CPIDS: A plant parameter selection programme for erosion prediction modeling. Comput. Electron. Agric. 1998, 20, 263–276. [Google Scholar] [CrossRef]
- Cochrane, T.A.; Flanagan, D.C. Assessing water erosion in small watershed using WEPP with GIS and Digital Elevation Models. J. Soil Water Conserv. 1999, 54, 678–685. [Google Scholar] [CrossRef]
- Thenkabail, P.S.; Biradar, C.M.; Turral, H.; Noojipady, P.; Li, Y.J.; Vithanage, J.; Dheeravath, V.; Velpuri, M.; Schull, M.; Cai, X.L.; et al. An Irrigated Area Map of the World, Derived from Remote Sensing; Research Report 105; International Water Management Institute: Colombo, Sri Lanka, 2019. [Google Scholar]
- Sadhwani, K.; Eldho, T.I.; Jha, M.K.; Karmakar, S. Effects of Dynamic Land Use/Land Cover Change on Flow and Sediment Yield in a Monsoon-Dominated Tropical Watershed. Water 2022, 14, 3666. [Google Scholar] [CrossRef]
- Chowdhury, M.S. GIS based method for mapping actual LULC by combining seasonal LULCs. MethodsX 2023, 11, 102472. [Google Scholar] [CrossRef]
- Omar, N.Q.; Ahamad, M.S.S.; Hussin, W.M.A.W.; Samat, N.; Ahmad, S.Z.B. Markov CA, multi regression, and multiple decision making for modeling historical changes in Kirkuk City, Iraq. J. Indian Soc. Remote Sens. 2014, 42, 165–178. [Google Scholar] [CrossRef]
- Ghosh, P.; Mukhopadhyay, A.; Chanda, A.; Mondal, P.; Akhand, A.; Mukherjee, S.; Nayak, S.K.; Ghosh, S.; Mitra, D.; Ghosh, T.; et al. Application of Cellular automata and Markov-chain model in geospatial environmental modeling—A review. Remote Sens. Appl. Soc. Environ. 2017, 5, 64–77. [Google Scholar] [CrossRef]
- Gidey, E.; Dikinya, O.; Sebego, R.; Segosebe, E.; Zenebe, A. Cellular automata and Markov Chain (CA_Markov) model-based predictions of future land use and land cover scenarios (2015–2033) in Raya, northern Ethiopia. Model. Earth Syst. Environ. 2017, 3, 1245–1262. [Google Scholar] [CrossRef]
- Singh, S.K.; Mustak, S.; Srivastava, P.K.; Szabó, S.; Islam, T. Predicting Spatial and Decadal LULC Changes Through Cellular Automata Markov Chain Models Using Earth Observation Datasets and Geo-information. Environ. Process. 2015, 2, 61–78. [Google Scholar] [CrossRef]
- Deer-Ascough, L.A.; Weesies, G.A.; Ascough, J.C., II; Laflen, J.M. Plant parameter database for erosion prediction models. Appl. Eng. Agric. 1995, 11, 659–666. [Google Scholar] [CrossRef]
- Pandey, A.; Chowdary, V.M.; Mal, B.C.; Billib, M. Application of the WEPP model for prioritization and evaluation of best management practices in an Indian watershed. Hydrol. Process. 2009, 23, 2997–3005. [Google Scholar] [CrossRef]
- Singh, R.K.; Panda, R.K.; Satapathy, K.K.; Ngachan, S.V. Simulation of runoff and sediment yield from a hilly watershed in the eastern Himalaya, India using the WEPP model. J. Hydrol. 2011, 405, 261–276. [Google Scholar] [CrossRef]
- Murari, K.K.; Mahato, S.; Jayaraman, T.; Swaminathan, M. Extreme Temperatures and Crop Yields in Karnataka, India. Rev. Agrar. Stud. 2018, 8, 92–114. [Google Scholar] [CrossRef]
- Pandey, A.; Chowdary, V.M.; Mal, B.C.; Billib, M. Runoff and sediment yield modeling from a small agricultural watershed in India using the WEPP model. J. Hydrol. 2008, 348, 305–319. [Google Scholar] [CrossRef]
- Moriasi, D.N.; Arnold, J.G.; Van Liew, M.W.; Bingner, R.L.; Harmel, R.D.; Veith, T.L. Model evaluation guidelines for systematic quantification of accuracy in watershed simulations. Trans. ASABE 2007, 50, 885–900. [Google Scholar] [CrossRef]
- Xue, X.; Zhang, K.; Hong, Y.; Gourley, J.J.; Kellogg, W.; McPherson, R.A.; Wan, Z.; Austin, B. New Multisite Cascading Calibration Approach for Hydrological Models: Case Study in the Red River Basin Using the VIC Model. J. Hydrol. Eng. 2016, 21, 05015019. [Google Scholar] [CrossRef]
- Yen, H.; White, M.J.; Arnold, J.G.; Keitzer, S.C.; Johnson, M.V.V.; Atwood, J.D.; Daggupati, P.; Herbert, M.E.; Sowa, S.P.; Ludsin, S.A.; et al. Western Lake Erie Basin: Soft-data-constrained, NHD Plus resolution watershed modeling and exploration of applicable conservation scenarios. Sci. Total Environ. 2016, 569–570, 1265–1281. [Google Scholar] [CrossRef]
- Dun, S.; Wu, J.Q.; Frankenberger, J.R.; Flanagan, D.C.; McCool, D.K. Applying online WEPP to assess forest watershed hydrology. Trans. ASABE 2013, 56, 581–590. [Google Scholar] [CrossRef]
- McCool, D.K.; Dun, S.; Wu, J.Q.; Elliot, W.J.; Brooks, E.S. Seasonal change of WEPP erodibility parameters for two fallow plots on a Palouse silt loam. Trans. ASABE 2013, 56, 711–718. [Google Scholar] [CrossRef]
- Kumar, M.; Denis, D.M.; Kundu, A.; Joshi, N.; Suryavanshi, S. Understanding land use/land cover and climate change impacts on hydrological components of Usri watershed, India. Appl. Water Sci. 2022, 12, 39. [Google Scholar] [CrossRef]
- Sreedevi, S.; Eldho, T.I.; Jayasankar, T. Physically-based distributed modelling of the hydrology and soil erosion under changes in landuse and climate of a humid tropical river basin. CATENA 2022, 217, 106427. [Google Scholar] [CrossRef]
- Yin, J.; He, F.; Xiong, Y.J.; Qiu, G.Y. Effects of land use/land cover and climate changes on surface runoff in a semi-humid and semi-arid transition zone in northwest China. Hydrol. Earth Syst. Sci. 2017, 21, 183–196. [Google Scholar] [CrossRef]
- Foody, G.M. Status of land cover classification accuracy assessment. Remote Sens. Environ. 2002, 80, 185–201. [Google Scholar] [CrossRef]
- Nearing, M.A. Why soil erosion models over-predict small soil losses and under-predict large soil losses. CATENA 1998, 32, 15–22. [Google Scholar] [CrossRef]
- Stone, J.J.; Lane, L.J.; Shirley, E.D.; Hernandez, M. Chapter 4. Hillslope Surface Hydrolo. In USDA-Water Erosion Prediction Project: Technical Documentation; NSERL Rep. No. 10; National Soil Erosion Research Laboratory: West Lafayette, IN, USA, 1995. [Google Scholar]
- Flanagan, D.C.; Frankenberger, J.R.; Ascough, J.C., II. WEPP: Model use, calibration and validation. Trans. ASABE 2012, 55, 1463–1477. [Google Scholar] [CrossRef]
- Mondal, A.; Khare, D.; Kundu, S.; Meena, P.K.; Mishra, P.K.; Shukla, R. Impact of climate change on future soil erosion in different slope, land use, and soil-type conditions in a part of the Narmada River Basin, India. J. Hydrol. Eng. 2015, 20, C5014003. [Google Scholar] [CrossRef]
- Mengistu, B.D.; Melesse, A.M.; McClain, M.E. Watershed scale application of WEPP and EROSION 3D models for assessment of potential sediment source areas and runoff flux in the Mara River Basin, Kenya. CATENA 2012, 95, 63–72. [Google Scholar] [CrossRef]
- Sun, J.; Pei, L.; Cao, Y.; Zhang, N.; Wu, F.; Li, P. Effects of Different Crop Root Systems on Soil Detachment by Concentrated Flow on the Loess Plateau in China. Water 2022, 14, 772. [Google Scholar] [CrossRef]
- Dey, P.; Mishra, A. Separating the impacts of climate change and human activities on streamflow: A review of methodologies and critical assumptions. J. Hydrol. 2017, 548, 365–380. [Google Scholar] [CrossRef]
- Bandyopadhyay, T.; Muthamilarasan, M.; Prasad, M. Millets for Next Generation Climate-Smart Agriculture. Front. Plant Sci. 2017, 8, 1266. [Google Scholar] [CrossRef] [PubMed]
- Gopal, B.; Goel, U.; Chauhan, M.; Bansal, R.; Khuman, S.C. Regulation of Human Activities Along Rivers and Lakes; Background Document for the Proposed Notification on River Regulation Zone; National River Conservation Directorate, Ministry of Environment and Forest, Government of India: New Delhi, India, 2002.













| LULC Classes | Present Classified Reference | Present Predicted | ||
|---|---|---|---|---|
| P_Accuracy | U_Accuracy | P_Accuracy | U_Accuracy | |
| Water | 94.31 | 96.34 | 95.32 | 91.17 |
| Forest | 82.37 | 87.35 | 85.61 | 79.35 |
| Urban | 91.31 | 86.02 | 92.37 | 84.38 |
| Agriculture | 92.23 | 93.19 | 83.34 | 80.28 |
| Scrub Land/Tree Plantation | 83.35 | 78.14 | 82.36 | 83.26 |
| Overall Accuracy | 90.11 | 90.15 | ||
| Kappa | 0.88 | 0.85 | ||
| Classes | Agriculture | Urban | Forest | Scrub/Tree Plantation | Water |
|---|---|---|---|---|---|
| Agriculture | 487.09 | 32.84 | 0.00 | 1.87 | 0.05 |
| Urban | 0.83 | 57.88 | 0.00 | 0.10 | 0.01 |
| Forest | 1.22 | 0.08 | 49.98 | 3.10 | 0.00 |
| Scrub/Tree Plantation | 11.58 | 3.75 | 3.81 | 35.65 | 0.03 |
| Water | 0.92 | 0.76 | 0.00 | 0.07 | 8.05 |
| Output | RMSE | R | PBIAS | NSE | |
|---|---|---|---|---|---|
| Runoff | Calibration | 20.62 | 0.79 | 16.67 | 0.8 |
| Validation | 10.05 | 0.83 | 8.12 | 0.91 | |
| SY | Calibration | 8.12 | 0.87 | 1.22 | 0.75 |
| Validation | 8.24 | 0.85 | 2.12 | 0.71 |
| Scenarios | Scenarios | WPV | LULC | Runoff | Runoff Change | SY | SY Change |
|---|---|---|---|---|---|---|---|
| Year | Year | (mm) | (mm) | (t/ha/yr) | (t/ha/yr) | ||
| Sl | LULC and climatic variables for the year 2000 | 2000 | 2000 | 88.40 | 2.66 | ||
| S2 | Changing LULC while holding climatic variables constant | 2000 | 2005 | 86.40 | −0.9 | 1.83 | −0.83 |
| S3 | Changing climatic variables while holding LULC constant | 2005 | 2000 | 110.17 | 22.87 | 4.20 | 1.54 |
| S4 | LULC and climatic variables till 2005 | 2005 | 2005 | 60.85 | −27.54 | 1.35 | |
| S5 | Changing LULC while holding climatic variables constant | 2005 | 2010 | 75.37 | 14.52 | 3.17 | 1.82 |
| S6 | Changing climatic variables while holding LULC constant | 2010 | 2005 | 100.36 | 39.51 | 4.18 | 2.83 |
| S7 | LULC and climatic variables till 2010 | 2010 | 2010 | 73.06 | 2.19 | ||
| S8 | Changing LULC while holding climatic variables constant | 2010 | 2015 | 86.35 | 13.29 | 5.39 | 3.20 |
| S9 | Changing climatic variables while holding LULC constant | 2015 | 2010 | 81.36 | 8.30 | 4.02 | 1.92 |
| S10 | LULC and climatic variables till 2015 | 2015 | 2015 | 59.27 | 1.87 | ||
| S11 | Changing LULC while holding climatic variables constant | 2015 | 2020 | 80.20 | 20.93 | 4.39 | 2.52 |
| S12 | Changing climatic variables while holding LULC constant | 2020 | 2015 | 84.67 | 25.40 | 6.01 | 4.14 |
| S13 | LULC and climatic variables till 2020 | 2020 | 2020 | 48.32 | 1.07 | ||
| S14 | Changing LULC while holding climatic variables constant | 2020 | 2023 | 57.39 | 9.07 | 4.39 | 3.32 |
| S15 | Changing climatic variables while holding LULC constant | 2023 | 2020 | 79.13 | 30.81 | 5.73 | 4.66 |
| S16 | LULC and climatic variables till present | 2023 | 2023 | 85.35 | 3.15 | ||
| S17 | Changing LULC while holding climatic variables constant | 2023 | 2030 | 93.33 | 7.98 | 5.13 | 1.98 |
| S18 | Changing climatic variables while holding LULC constant | 2030 | 2023 | 90.71 | 5.36 | 4.87 | 1.72 |
| S19 | LULC and climatic variables for future | 2030 | 2030 | 100.13 | 3.97 |
| Simulations | Crops and Tillage Practices | Soil Loss |
|---|---|---|
| 1 | Rice, Conventional Tillage | V. High |
| 2 | Rice, Spike-Tooth Harrow | V. High |
| 3 | Rice, Tandem Disk | V. High |
| 4 | Rice, Single-Disk Opener Drill | High |
| 5 | Sugarcane, Conventional Tillage | V. High |
| 6 | Sugarcane, Spike-Tooth Harrow | V. High |
| 7 | Sugarcane, Tandem Disk | High |
| 8 | Sugarcane, Single-Disk Opener Drill | High |
| 9 | Maize, Conventional Tillage | High |
| 10 | Maize, Spike-Tooth Harrow | Medium |
| 11 | Maize, Tandem Disk | Medium |
| 12 | Maize, Single-Disk Opener Drill | Low |
| 13 | Cotton, Conventional Tillage | High |
| 14 | Cotton, Spike-Tooth Harrow | High |
| 15 | Cotton, Tandem Disk | Medium |
| 16 | Cotton, Single-Disk Opener Drill | Medium |
Disclaimer/Publisher’s Note: The statements, opinions and data contained in all publications are solely those of the individual author(s) and contributor(s) and not of MDPI and/or the editor(s). MDPI and/or the editor(s) disclaim responsibility for any injury to people or property resulting from any ideas, methods, instructions or products referred to in the content. |
© 2026 by the authors. Licensee MDPI, Basel, Switzerland. This article is an open access article distributed under the terms and conditions of the Creative Commons Attribution (CC BY) license.
Share and Cite
Ponnambalam, V.S.; Dasika, N.K.; Yen, H.; Winczewski, A.K.; Flanagan, D.C.; Renschler, C.S.; Engel, B.A. Upscaling WEPP Model to Project Spatial Variability of Soil Erosion in Agricultural-Dominant Watershed, India. Water 2026, 18, 744. https://doi.org/10.3390/w18060744
Ponnambalam VS, Dasika NK, Yen H, Winczewski AK, Flanagan DC, Renschler CS, Engel BA. Upscaling WEPP Model to Project Spatial Variability of Soil Erosion in Agricultural-Dominant Watershed, India. Water. 2026; 18(6):744. https://doi.org/10.3390/w18060744
Chicago/Turabian StylePonnambalam, Vijayalakshmi Suliammal, Nagesh Kumar Dasika, Haw Yen, Aubrey K. Winczewski, Dennis C. Flanagan, Chris S. Renschler, and Bernard A. Engel. 2026. "Upscaling WEPP Model to Project Spatial Variability of Soil Erosion in Agricultural-Dominant Watershed, India" Water 18, no. 6: 744. https://doi.org/10.3390/w18060744
APA StylePonnambalam, V. S., Dasika, N. K., Yen, H., Winczewski, A. K., Flanagan, D. C., Renschler, C. S., & Engel, B. A. (2026). Upscaling WEPP Model to Project Spatial Variability of Soil Erosion in Agricultural-Dominant Watershed, India. Water, 18(6), 744. https://doi.org/10.3390/w18060744

