Spatial Clustering of Front Yard Landscapes: Implications for Urban Soil Conservation and Green Infrastructure Sustainability in the Río Piedras Watershed
Abstract
1. Introduction
2. Materials and Methods
2.1. Study Area
2.2. Design
- FYQIi: Front yard quality index for yard i.
- YTSi: Yard configuration score for yard i, a score that equals the yard type.
- WDi: Woody density for yard i.
- NWTiᵢ: Number of woody types (tree, shrub, and palm) present in yard i.
- max(X): Maximum value of variable X across all yards.
2.3. Statistical Analysis
3. Results
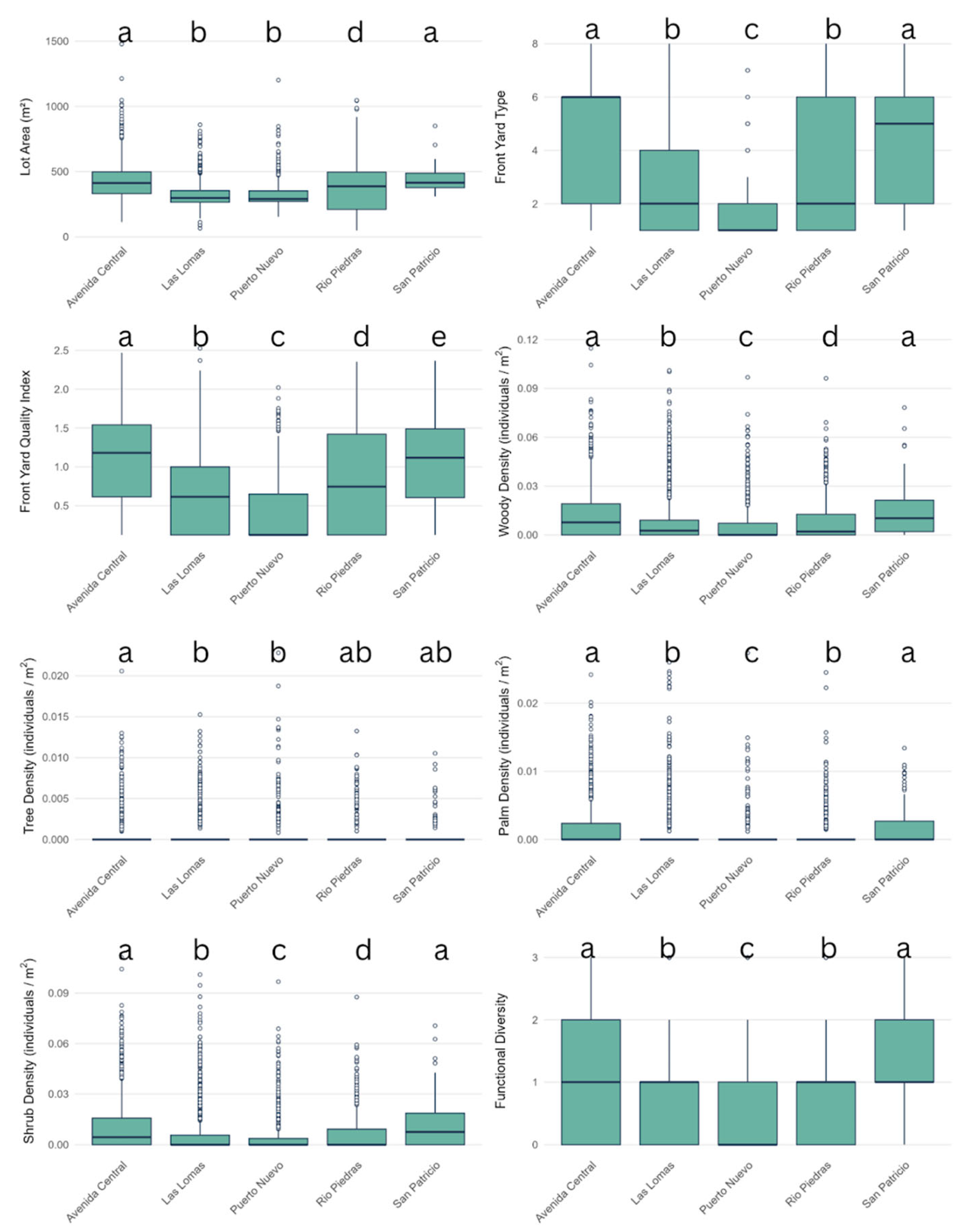
3.1. Social Traits
3.2. Front Yard Traits
3.3. Front Yard Clusters and Outliers
4. Discussion
5. Conclusions
Supplementary Materials
Author Contributions
Funding
Institutional Review Board Statement
Informed Consent Statement
Data Availability Statement
Acknowledgments
Conflicts of Interest
Abbreviations
| RPWS | Río Piedras Watershed |
| FYQI | Front yard quality index |
| WD | Woody density |
| YTS | Yard configuration score |
| NWT | Number of woody types |
References
- Colding, J.; Gren, Å.; Barthel, S. The Incremental Demise of Urban Green Spaces. Land 2020, 9, 162. [Google Scholar] [CrossRef]
- Guo, H. SDG11 Sustainable Cities and Communities. In Big Earth Data in Support of the Sustainable Development Goals (2023)–China; Springer: Berlin/Heidelberg, Germany, 2025; pp. 61–122. [Google Scholar]
- Mansur, A.V.; Brondízio, E.S.; Roy, S.; Hetrick, S.; Vogt, N.D.; Newton, A. An Assessment of Urban Vulnerability in the Amazon Delta and Estuary: A Multi-Criterion Index of Flood Exposure, Socio-Economic Conditions and Infrastructure. Sustain. Sci. 2016, 11, 625–643. [Google Scholar] [CrossRef]
- Dorst, H.; Van der Jagt, A.; Raven, R.; Runhaar, H. Urban Greening through Nature-Based Solutions–Key Characteristics of an Emerging Concept. Sustain. Cities Soc. 2019, 49, 101620. [Google Scholar] [CrossRef]
- Mosisa, G.B.; Bedadi, B.; Dalle, G.; Tassie, N. Nature-Based Solutions for Urban Climate Resilience: Implementation, Contribution, and Effectiveness. Nat.-Based Solut. 2025, 8, 100245. [Google Scholar] [CrossRef]
- Nowak, D.J.; Rowntree, R.A.; McPherson, E.G.; Sisinni, S.M.; Kerkmann, E.R.; Stevens, J.C. Measuring and Analyzing Urban Tree Cover. Landsc. Urban Plan. 1996, 36, 49–57. [Google Scholar] [CrossRef]
- Haase, D.; Jänicke, C.; Wellmann, T. Front and Back Yard Green Analysis with Subpixel Vegetation Fractions from Earth Observation Data in a City. Landsc. Urban Plan. 2019, 182, 44–54. [Google Scholar] [CrossRef]
- Lin, B.; Meyers, J.; Barnett, G. Understanding the Potential Loss and Inequities of Green Space Distribution with Urban Densification. Urban For. Urban Green. 2015, 14, 952–958. [Google Scholar] [CrossRef]
- Mathieu, R.; Freeman, C.; Aryal, J. Mapping Private Gardens in Urban Areas Using Object-Oriented Techniques and Very High-Resolution Satellite Imagery. Landsc. Urban Plan. 2007, 81, 179–192. [Google Scholar] [CrossRef]
- Schifman, L.A.; Prues, A.; Gilkey, K.; Shuster, W.D. Realizing the Opportunities of Black Carbon in Urban Soils: Implications for Water Quality Management with Green Infrastructure. Sci. Total Environ. 2018, 644, 1027–1035. [Google Scholar] [CrossRef]
- Grant, J.; Manuel, P.; Joudrey, D. A Framework for Planning Sustainable Residential Landscapes. J. Am. Plan. Assoc. 1996, 62, 331–344. [Google Scholar] [CrossRef]
- Gaston, K.J.; Warren, P.H.; Thompson, K.; Smith, R.M. Urban Domestic Gardens (IV): The Extent of the Resource and Its Associated Features. Biodivers. Conserv. 2005, 14, 3327–3349. [Google Scholar] [CrossRef]
- Coder, R.D. Identified Benefits of Community Trees and Forests; University of Georgia Cooperative Extension Service, Forest Resources Unit: Athens, GA, USA, 2011; Available online: https://openscholar.uga.edu/record/25398/files/ (accessed on 10 January 2026).
- Monteiro, J.A. Ecosystem Services from Turfgrass Landscapes. Urban For. Urban Green. 2017, 26, 151–157. [Google Scholar] [CrossRef]
- Bormann, F.H.; Balmori, D.; Geballe, G.T. Redesigning the American Lawn: A Search for Environmental Harmony; Yale University Press: New Haven, CT, USA, 2001. [Google Scholar]
- Huyler, A. A Comparison of Soil Carbon Dynamics in Residential Yards with and without Trees. Urban Ecosyst. 2017, 20, 87–96. [Google Scholar] [CrossRef]
- Charzyński, P.; Hulisz, P.; Piotrowska-Długosz, A.; Kamiński, D.; Plak, A. Sealing Effects on Properties of Urban Soils. In Urban Soils; CRC Press: Boca Raton, FL, USA, 2017; pp. 155–174. ISBN 1315154250. [Google Scholar]
- O’Riordan, R.; Davies, J.; Stevens, C.; Quinton, J.N. The Effects of Sealing on Urban Soil Carbon and Nutrients. Soil 2021, 7, 661–675. [Google Scholar] [CrossRef]
- Cook, E.M.; Hall, S.J.; Larson, K.L. Residential Landscapes as Social-Ecological Systems: A Synthesis of Multi-Scalar Interactions between People and Their Home Environment. Urban Ecosyst. 2012, 15, 19–52. [Google Scholar] [CrossRef]
- Meléndez-Ackerman, E.J.; Santiago-Bartolomei, R.; Vila-Ruiz, C.P.; Santiago, L.E.; García-Montiel, D.; Verdejo-Ortiz, J.C.; Manrique-Hernández, H.; Hernández-Calo, E. Socioeconomic Drivers of Yard Sustainable Practices in a Tropical City. Ecol. Soc. 2014, 19, 20. [Google Scholar] [CrossRef]
- Meléndez-Ackerman, E.J.; Nytch, C.J.; Santiago-Acevedo, L.E.; Verdejo-Ortiz, J.C.; Santiago-Bartolomei, R.; Ramos-Santiago, L.E.; Muñoz-Erickson, T.A. Synthesis of Household Yard Area Dynamics in the City of San Juan Using Multi-Scalar Social-Ecological Perspectives. Sustainability 2016, 8, 481. [Google Scholar] [CrossRef]
- Olivero-Lora, S.; Rojas-Sandoval, J.; Melendez-Ackerman, E.J.; Orengo-Rolon, J. Hurricane Driven Changes in Vegetation Structure and Ecosystem Services in Tropical Urban Yards: A Study Case in San Juan, Puerto Rico. Urban Ecosyst. 2022, 25, 1431–1444. [Google Scholar] [CrossRef]
- Folke, C. Resilience: The Emergence of a Perspective for Social-Ecological Systems Analyses. Glob. Environ. Change 2006, 16, 253–267. [Google Scholar] [CrossRef]
- Roy Chowdhury, R.; Larson, K.; Grove, M.; Polsky, C.; Cook, E.; Onsted, A.; Ogden, L. A Multi-Scalar Approach to Theorizing Socio-Ecological Dynamics of Urban Residential Landscapes. Cities Environ. (CATE) 2011, 4, 6. [Google Scholar]
- Hope, D.; Gries, C.; Zhu, W.; Fagan, W.F.; Redman, C.L.; Grimm, N.B.; Nelson, A.L.; Martin, C.; Kinzig, A. Socioeconomics Drive Urban Plant Diversity. Proc. Natl. Acad. Sci. USA 2003, 100, 8788–8792. [Google Scholar] [CrossRef] [PubMed]
- Kirkpatrick, J.B.; Daniels, G.D.; Davison, A. Temporal and Spatial Variation in Garden and Street Trees in Six Eastern Australian Cities. Landsc. Urban Plan. 2011, 101, 244–252. [Google Scholar] [CrossRef]
- Bigirimana, J.; Bogaert, J.; De Cannière, C.; Bigendako, M.J.; Parmentier, I. Domestic Garden Plant Diversity in Bujumbura, Burundi: Role of the Socio-Economical Status of the Neighborhood and Alien Species Invasion Risk. Landsc. Urban Plan. 2012, 107, 118–126. [Google Scholar] [CrossRef]
- Wang, H.F.; Qureshi, S.; Knapp, S.; Friedman, C.R.; Hubacek, K. A Basic Assessment of Residential Plant Diversity and Its Ecosystem Services and Disservices in Beijing, China. Appl. Geogr. 2015, 64, 121–131. [Google Scholar] [CrossRef]
- Ramos-Santiago, L.E.; Villanueva-Cubero, L.; Santiago-Acevedo, L.E.; Rodriguez-Melendez, Y.N. Green Area Loss in San Juan’s Inner-Ring Suburban Neighborhoods: A Multidisciplinary Approach to Analyzing Green/Gray Area Dynamics. Ecol. Soc. 2014, 19, 4. [Google Scholar] [CrossRef]
- Grove, J.M.; Troy, A.R.; O’Neil-Dunne, J.P.M.; Burch, W.R.; Cadenasso, M.L.; Pickett, S.T.A. Characterization of Households and Its Implications for the Vegetation of Urban Ecosystems. Ecosystems 2006, 9, 578–597. [Google Scholar] [CrossRef]
- Luck, G.W.; Smallbone, L.T.; O’Brien, R. Socio-Economics and Vegetation Change in Urban Ecosystems: Patterns in Space and Time. Ecosystems 2009, 12, 604–620. [Google Scholar] [CrossRef]
- Aznarez, C.; Svenning, J.C.; Pacheco, J.P.; Have Kallesøe, F.; Baró, F.; Pascual, U. Luxury and Legacy Effects on Urban Biodiversity, Vegetation Cover and Ecosystem Services. NPJ Urban Sustain. 2023, 3, 47. [Google Scholar] [CrossRef]
- Lowry, J.H.; Baker, M.E.; Ramsey, D. Determinants of Urban Tree Canopy in Residential Neighborhoods: Household Characteristics, Urban Form, and the Geophysical Landscape. Urban Ecosyst. 2012, 15, 247–266. [Google Scholar] [CrossRef]
- Maltha, Y.; Kroesen, M.; Van Wee, B.; Van Daalen, E. Changing Influence of Factors Explaining Household Car Ownership Levels in the Netherlands. Transp. Res. Rec. 2017, 2666, 103–111. [Google Scholar] [CrossRef]
- Christiansen, P.; Fearnley, N.; Hanssen, J.U.; Skollerud, K. Household Parking Facilities: Relationship to Travel Behaviour and Car Ownership. In Proceedings of the Transportation Research Procedia; Elsevier B.V.: Amsterdam, The Netherlands, 2017; Volume 25, pp. 4185–4195. [Google Scholar]
- Hunter, M.C.R.; Brown, D.G. Spatial Contagion: Gardening along the Street in Residential Neighborhoods. Landsc. Urban Plan. 2012, 105, 407–416. [Google Scholar] [CrossRef]
- Locke, D.H.; Ossola, A.; Minor, E.; Lin, B.B. Spatial Contagion Structures Urban Vegetation from Parcel to Landscape. People Nat. 2022, 4, 88–102. [Google Scholar] [CrossRef]
- Voorhees, A.M. Constructing, Maintaining and Financing Sidewalks in New Jersey; Rutgers University: New Brunswick, NJ, USA, 2006. [Google Scholar]
- Loukaitou-Sideris, A.; Ehrenfeucht, R. “This Is My Front Yard!” Claims and Informal Property Rights on Sidewalks; The MIT Press: Cambridge, MA, USA, 2014. [Google Scholar]
- Nassauer, J.I.; Wang, Z.; Dayrell, E. What Will the Neighbors Think? Cultural Norms and Ecological Design. Landsc. Urban Plan. 2009, 92, 282–292. [Google Scholar] [CrossRef]
- Locke, D.H.; Roy Chowdhury, R.; Grove, J.M.; Martin, D.G.; Goldman, E.; Rogan, J.; Groffman, P. Social Norms, Yard Care, and the Difference between Front and Back Yard Management: Examining the Landscape Mullets Concept on Urban Residential Lands. Soc. Nat. Resour. 2018, 31, 1169–1188. [Google Scholar] [CrossRef]
- Jopling, C.F. Puerto Rican Houses in Sociohistorical Perspective; University of Tennessee Press: Knoxville, TN, USA, 1988. [Google Scholar]
- Nassauer, J.I. The Aesthetics of Horticulture: Neatness as a Form of Care. Am. Soc. Hortic. Sci. 1988, 23, 973–977. [Google Scholar] [CrossRef]
- Li, J.; Nassauer, J.I. Cues to Care: A Systematic Analytical Review. Landsc. Urban Plan. 2020, 201, 103821. [Google Scholar] [CrossRef]
- Nassauer, I.J. Messy Ecosystems, Orderly Frames. Landsc. J. 1995, 2, 161–170. [Google Scholar] [CrossRef]
- Chartrand, T.L.; van Baaren, R. Human Mimicry. Adv. Exp. Soc. Psychol. 2009, 41, 219–274. [Google Scholar] [CrossRef]
- Nassauer, J.I. Care and Stewardship: From Home to Planet. Landsc. Urban Plan. 2011, 100, 321–323. [Google Scholar] [CrossRef]
- Zmyslony, J.; Gagnon, D. Residential Management of Urban Front-Yard Landscape: A Random Process? Landsc. Urban Plan. 1998, 40, 295–307. [Google Scholar] [CrossRef]
- Torres-Camacho, K.A.; Meléndez-Ackerman, E.J.; Díaz, E.; Correa, N.; Vila-Ruiz, C.; Olivero-Lora, S.; Erazo, A.; Fontánez, J.; Santiago, L.; Seguinot, J. Intrinsic and Extrinsic Drivers of Yard Vegetation in Urban Residential Areas: Implications for Conservation Planning. Urban Ecosyst. 2017, 20, 403–413. [Google Scholar] [CrossRef]
- Colwell, P.; Scheu, T. Public Land Use Constraints: Lot and House Configuration. J. Real Estate Res. 1998, 16, 201–218. [Google Scholar] [CrossRef]
- Lugo, A.E.; González, O.M.R.; Pedraza, C.R.; Service, F. The Río Piedras Watershed and Its Surrounding Environment; USDA Forest Service: Washington, DC, USA, 2011. [Google Scholar]
- Dietz, J.L. Economic History of Puerto Rico: Institutional Change and Capitalist Development; Princeton University Press: Princeton, NJ, USA, 1986. [Google Scholar]
- Sepulveda Rivera, A. Puerto Rico Urbano: Atlas Histórico de La Ciudad Puertorriqueña; Archivo Digital Nacional de Puerto Rico: San Juan, Puerto Rico, 2004; Volume 4. [Google Scholar]
- Garcia-Montiel, D.C.; Verdejo-Ortiz, J.C.; Santiago-Bartolomei, R.; Vila-Ruiz, C.P.; Santiago, L.; Melendez-Ackerman, E. Food Sources and Accessibility and Waste Disposal Patterns across an Urban Tropical Watershed: Implications for the Flow of Materials and Energy. Ecol. Soc. 2014, 19, 37. [Google Scholar] [CrossRef]
- Nytch, C.J.; Meléndez-Ackerman, E.J.; Pérez, M.E.; Ortiz-Zayas, J.R. Rainfall Interception by Six Urban Trees in San Juan, Puerto Rico. Urban Ecosyst. 2019, 22, 103–115. [Google Scholar] [CrossRef]
- López, D.-M.; Aide, T.M.; Thomlinson, J.R.; Lpez, T.M.; Aide, T.M.; Thomlinson, J.R. Expansion Agricultural Lands and in the Loss of Rico Puerto Prime. Ambio J. Human. Environ. 2001, 30, 49–54. [Google Scholar] [CrossRef]
- Kim, J.; Jang, K.M. An Examination of the Spatial Coverage and Temporal Variability of Google Street View (GSV) Images in Small-and Medium-Sized Cities: A People-Based Approach. Comput. Environ. Urban Syst. 2023, 102, 101956. [Google Scholar] [CrossRef]
- U.S. Census Bureau. American Community Survey 5-Year Estimates: Census Tract Data, San Juan Municipio, Puerto Rico. 2016. Available online: https://data.census.gov/table?g=040XX00US72_050XX00US72127$1400000&y=2016 (accessed on 10 January 2023).
- Taylor, R.B. Human Territorial Functioning: An Empirical, Evolutionary Perspective on Individual and Small Group Territorial Cognitions, Behaviors, and Consequences; Cambridge University Press: Cambridge, UK, 1988; Volume 8. [Google Scholar]
- Ryan, C.D.; Groffman, P.M.; Grove, J.M.; Hall, S.J.; Heffernan, J.B.; Hobbie, S.E.; Locke, D.H.; Morse, J.L.; Neill, C.; Nelson, K.C.; et al. Ecological Homogenization of Soil Properties in the American Residential Macrosystem. Ecosphere 2022, 13, e4208. [Google Scholar] [CrossRef]
- Olivero-Lora, S.; Meléndez-Ackerman, E.; Santiago, L.; Santiago-Bartolomei, R.; García-Montiel, D. Attitudes toward Residential Trees and Awareness of Tree Services and Disservices in a Tropical City. Sustainability 2020, 12, 117. [Google Scholar] [CrossRef]
- Zmyslony, J.; Gagnon, D. Path Analysis of Spatial Predictors of Front-Yard Landscape in an Anthropogenic Environment. Landsc. Ecol. 2000, 15, 357–371. [Google Scholar] [CrossRef]
- Arroyo, M. Surge Una Nueva Ciudad de 100,000 Habitantes. El Imparcial, 17 December 1955; pp. 65–72. Available online: https://gpa.eastview.com/eida/newspapers/eida19551217-01.1.65 (accessed on 10 June 2025).
- Vivoni Farage, E. Ever New San Juan: Architecture and Modernization in the Twentieth Century; AACUPR: San Juan, Puerto Rico, 2000. [Google Scholar]
- Asabere, P.K.; Colwell, P.F. The Relative Lot Size Hypothesis: An Empirical Note. Urban Stud. 1985, 22, 355–357. [Google Scholar] [CrossRef]
- Clauretie, T.M.; Li, H. Land Values: Size Matters. J. Real Estate Financ. Econ. 2019, 58, 80–110. [Google Scholar] [CrossRef]
- Data USA San Juan. PR—Housing & Living. Available online: https://datausa.io/profile/geo/san-juan-pr?redirect=true#housing (accessed on 15 November 2025).
- Foundation for Puerto Rico. The State of Housing in Puerto Rico; National Association of Latino Community Asset Builders (NALCAB): San Juan, Puerto Rico, 2023; Available online: https://foundationforpuertorico.org/en/the-state-of-housing-in-puerto-rico/ (accessed on 15 August 2025).
- Kumar, P.; Sahani, J.; Corada Perez, K.; Ahlawat, A.; Andrade, M.d.F.; Athanassiadou, M.; Cao, S.J.; Collins, L.; Dey, S.; Di Sabatino, S.; et al. Urban Greening for Climate Resilient and Sustainable Cities: Grand Challenges and Opportunities. Front. Sustain. Cities 2025, 7, 1595280. [Google Scholar] [CrossRef]
- Ivanova, A.; Randhir, R.; Randhir, T.O. Nature-Based Solutions for Resilience: A Global Review of Ecosystem Services from Urban Forests and Cover Crops. Diversity 2026, 18, 47. [Google Scholar] [CrossRef]
- Hobbie, S.E.; Grimm, N.B. Nature-Based Approaches to Managing Climate Change Impacts in Cities. Philos. Trans. R. Soc. B Biol. Sci. 2020, 375, 20190124. [Google Scholar] [CrossRef] [PubMed]
- Rigolon, A.; Browning, M.H.E.M.; McAnirlin, O.; Yoon, H. Green Space and Health Equity: A Systematic Review on the Potential of Green Space to Reduce Health Disparities. Int. J. Environ. Res. Public Health 2021, 18, 2563. [Google Scholar] [CrossRef]
- Méndez-Lázaro, P.; Muller-Karger, F.E.; Otis, D.; McCarthy, M.J.; Rodríguez, E. A Heat Vulnerability Index to Improve Urban Public Health Management in San Juan, Puerto Rico. Int. J. Biometeorol. 2018, 62, 709–722. [Google Scholar] [CrossRef]
- Hou, Y.; Li, J.; Li, G.; Qi, W. Negative Effects of Urbanization on Plants: A Global Meta-Analysis. Ecol. Evol. 2023, 13, e9894. [Google Scholar] [CrossRef]
- Murtagh, N.; Frost, R. Motivations for Urban Front Gardening: A Quantitative Analysis. Landsc. Urban Plan. 2023, 238, 104835. [Google Scholar] [CrossRef]
- Plüschke-Altof, B.; Loewen, B.; Calderon, C.; Chebotareva, M.; Tuula-Fjodorov, R.; Gäckle, J. Nature-Based Solutions and Public Participation: Unpacking Tensions in Sustainable City Development in Northern Europe. Land 2025, 14, 1649. [Google Scholar] [CrossRef]
- Iyengar, R.; Bajaj, M. After the Smoke Clears: Toward Education for Sustainable Development in Bhopal, India. Comp. Educ. Rev. 2011, 55, 424–456. [Google Scholar] [CrossRef]
- Ardoin, N.M.; Bowers, A.W.; Roth, N.W.; Holthuis, N. Environmental Education and K-12 Student Outcomes: A Review and Analysis of Research. J. Environ. Educ. 2018, 49, 1–17. [Google Scholar] [CrossRef]
- Dobbs, C.; Escobedo, F.J.; Clerici, N.; de la Barrera, F.; Eleuterio, A.A.; MacGregor-Fors, I.; Reyes-Paecke, S.; Vásquez, A.; Zea Camaño, J.D.; Hernández, H.J. Urban Ecosystem Services in Latin America: Mismatch between Global Concepts and Regional Realities? Urban Ecosyst 2019, 22, 173–187. [Google Scholar] [CrossRef]
- Richards, D.; Masoudi, M.; Oh, R.R.Y.; Yando, E.S.; Zhang, J.; Friess, D.A.; Grêt-Regamey, A.; Tan, P.Y.; Edwards, P.J. Global Variation in Climate, Human Development, and Population Density Has Implications for Urban Ecosystem Services. Sustainability 2019, 11, 6200. [Google Scholar] [CrossRef]








| Variable | Mean ± SE | Min | Max |
|---|---|---|---|
| Front Yard Vegetation | |||
| Woody density (individuals/m2) | 0.009 ± 0.0001 | 0 | 0.11 |
| Tree density (individuals/m2) | 0.0007 + 0.0002 | 0 | 0.02 |
| Palm density (individuals/m2) | 0.001 + 0.00003 | 0 | 0.03 |
| Shrub density (individuals/m2) | 0.007 + 0.0001 | 0 | 0.11 |
| Functional diversity (functional types present) | 0.84 + 0.01 | 0 | 3 |
| Front Yard Configuration | |||
| FQY quality index | 0.79 + 0.007 | 0.13 | 2.53 |
| Lot area (m) | 362.03 + 1.43 | 49.68 | 1480 |
| Household Characteristics | |||
| Percentage of houses occupied by renters (%) | 50.6 + 0.1 | 31.5 | 97.2 |
| Average household size | 2.44 + 0.003 | 1.81 | 3 |
| Percentage of residents with Bachelor’s degree (%) | 32.87 + 0.21 | 3.4 | 69 |
| Median age (yrs) | 42.66 + 0.1 | 21.5 | 58 |
| Household median income (USD) | 22,368.7 + 98.6 | 3216.0 | 42,022.0 |
| Study Site | Percentage Rented | Household Size | Percentage with Bachelor’s Degree | Median Age | Median Income | Number of Census Tracts |
|---|---|---|---|---|---|---|
| Avenida Central | 46.7 ± 0.2 | 2.28 ± 0.004 | 46.7 ± 0.3 | 48.5 ± 0.1 | 27,546 ± 167.9 | 9 |
| Las Lomas | 24.9 ± 0.2 | 2.58 ± 0.001 | 24.9 ± 0.1 | 37.2 ± 0.1 | 18,509 ± 106.3 | 10 |
| Puerto Nuevo | 25.2 ± 0.2 | 2.635 ± 0.007 | 25.2 ± 0.03 | 41.22 ± 0.1 | 22,940 ± 111.4 | 4 |
| Río Piedras | 47.1 ± 0.4 | 2.286 ± 0.006 | 47.1 ± 0.9 | 47.0 ± 0.2 | 27,270 ± 447.6 | 5 |
| San Patricio | 41.1 ± 0 | 2.04 ± 0 | 41.1 ± 0.0 | 51.3 ± 0 | 25,750.0 ± 0 | 1 |
| Study Site | Type 1 | Type 2 | Type 3 | Type 4 | Type 5 | Type 6 | Type 7 | Type 8 |
|---|---|---|---|---|---|---|---|---|
| Avenida Central | 474 (21.3%) | 202 (9.1%) | 46 (2.1%) | 62 (2.8%) | 52 (2.3%) | 906 (40.7%) | 22 (1%) | 464 (20.8%) |
| Las Lomas | 1006 (35.6%) | 767 (27.2%) | 174 (6.2%) | 186 (6.6%) | 107 (3.8%) | 260 (9.2%) | 96 (3.4%) | 228 (8.1%) |
| Puerto Nuevo | 769 (74.7%) | 47 (4.6%) | 184 (17.9%) | 10 (1%) | 14 (1.4%) | 1 (0.1%) | 5 (0.5%) | 0 (0%) |
| Río Piedras | 262 (46.4%) | 21 (3.7%) | 8 (1.4%) | 5 (0.9%) | 6 (1.1%) | 187 (33.2%) | 5 (0.9%) | 70 (12.4%) |
| San Patricio | 28 (19.7%) | 27 (19%) | 2 (1.4%) | 5 (3.5%) | 10 (7%) | 61 (43%) | 0 (0%) | 9 (6.3%) |
| Dependent Variables | Observed Moran’s I | Standard Deviate (Z-Value) | p-Value | Distance for Highest Moran’s I |
|---|---|---|---|---|
| Front yard configuration | 0.58 | 78.37 | <<0.0001 | 75 m |
| Woody density | 0.16 | 20.98 | <<0.0001 | 65 m |
| Tree density | 0.03 | 4.77 | <<0.0001 | 70 m |
| Palm density | 0.08 | 10.25 | <<0.0001 | 65 m |
| Shrub density | 0.14 | 18.34 | <<0.0001 | 65 m |
| Functional diversity | 0.23 | 30.75 | <<0.0001 | 75 m |
| FY quality index | 0.48 | 64.97 | <<0.0001 | 75 m |
| Lot area | 0.67 | 90.49 | <<0.0001 | 80 m |
| Independent Variables | Front Yard Configurations | FY Quality Index |
|---|---|---|
| Lot Area | β = 0.02 *** | β = 0.004 *** |
| % Rented | β = 0.03 | β = 0.003 |
| Average household size | β = 0.76 | β = 0.047 |
| % with Bachelor’s degree | β = −0.001 | β = −0.0009 |
| Rho | 0.40 | 0.31 |
| LR test value | 5.17 | 3.31 |
| p-value | 0.02 * | 0.07 |
| Wald Statistic | 5.86 | 3.57 |
| z-value | 2.42 | 1.89 |
| Nagelkerke pseudo R2 | 0.70 | 0.76 |
| Independent Variables | Woody Density | Tree Density | Palm Density | Shrub Density | Functional Diversity |
|---|---|---|---|---|---|
| Lot area | F = 7.72 ** (2.82) | F = 4.17 (1) | F = 37.11 *** (1) | F = 4.67 * (2.58) | F = 23.94 *** (2.53) |
| % Rented | F = 2.52 * (2.51) | F = 0.13 (1.38) | F = 2.27 (2.80) | F = 5.44 * (2.65) | F = 0.07 (1) |
| Average household size | F = 3.53 (1) | F = 0.06 (1.16) | F = 0.17 (1) | F = 3.30 (1) | F = 0.25 (1) |
| % with Bachelor’s degree | F = 0.73 (1) | F = 0.07 (1.29) | F = 2.61 (4.46) | F = 0.68 (1) | F = 2.61 (3.57) |
| Adjusted R2 | 0.86 | 0.30 | 0.85 | 0.82 | 0.93 |
| Deviance explained | 90.6% | 45.3% | 91.2% | 87.7% | 95.5% |
| REML score | –40.27 | –113.07 | –111.03 | –79.41 | –24.93 |
| Scale estimate | 0.0002 | 9.06 × 10–8 | 5.79 × 10–8 | 2.84 × 10–6 | 0.001 |
Disclaimer/Publisher’s Note: The statements, opinions and data contained in all publications are solely those of the individual author(s) and contributor(s) and not of MDPI and/or the editor(s). MDPI and/or the editor(s) disclaim responsibility for any injury to people or property resulting from any ideas, methods, instructions or products referred to in the content. |
© 2026 by the authors. Licensee MDPI, Basel, Switzerland. This article is an open access article distributed under the terms and conditions of the Creative Commons Attribution (CC BY) license.
Share and Cite
Sellés, L.K.; Meléndez-Ackerman, E.J. Spatial Clustering of Front Yard Landscapes: Implications for Urban Soil Conservation and Green Infrastructure Sustainability in the Río Piedras Watershed. Sustainability 2026, 18, 2821. https://doi.org/10.3390/su18062821
Sellés LK, Meléndez-Ackerman EJ. Spatial Clustering of Front Yard Landscapes: Implications for Urban Soil Conservation and Green Infrastructure Sustainability in the Río Piedras Watershed. Sustainability. 2026; 18(6):2821. https://doi.org/10.3390/su18062821
Chicago/Turabian StyleSellés, L. Kidany, and Elvia J. Meléndez-Ackerman. 2026. "Spatial Clustering of Front Yard Landscapes: Implications for Urban Soil Conservation and Green Infrastructure Sustainability in the Río Piedras Watershed" Sustainability 18, no. 6: 2821. https://doi.org/10.3390/su18062821
APA StyleSellés, L. K., & Meléndez-Ackerman, E. J. (2026). Spatial Clustering of Front Yard Landscapes: Implications for Urban Soil Conservation and Green Infrastructure Sustainability in the Río Piedras Watershed. Sustainability, 18(6), 2821. https://doi.org/10.3390/su18062821

