error_outline You can access the new MDPI.com website here. Explore and share your feedback with us.
 
 
Sign in to use this feature.

Years

Between: -

Subjects

remove_circle_outline
remove_circle_outline
remove_circle_outline
remove_circle_outline
remove_circle_outline
remove_circle_outline

Journals

Article Types

Countries / Regions

Search Results (23)

Search Parameters:
Keywords = distributed MIMO channel estimation

Order results
Result details
Results per page
Select all
Export citation of selected articles as:
20 pages, 5781 KB  
Article
Performance Evaluation of Uplink Cell-Free Massive MIMO Network Under Weichselberger Rician Fading Channel
by Birhanu Dessie, Javed Shaikh, Georgi Iliev, Maria Nenova, Umar Syed and K. Kiran Kumar
Mathematics 2025, 13(14), 2283; https://doi.org/10.3390/math13142283 - 16 Jul 2025
Viewed by 1538
Abstract
Cell-free massive multiple-input multiple-output (CF M-MIMO) is one of the most promising technologies for future wireless communication such as 5G and beyond fifth-generation (B5G) networks. It is a type of network technology that uses a massive number of distributed antennas to serve a [...] Read more.
Cell-free massive multiple-input multiple-output (CF M-MIMO) is one of the most promising technologies for future wireless communication such as 5G and beyond fifth-generation (B5G) networks. It is a type of network technology that uses a massive number of distributed antennas to serve a large number of users at the same time. It has the ability to provide high spectral efficiency (SE) as well as improved coverage and interference management, compared to traditional cellular networks. However, estimating the channel with high-performance, low-cost computational methods is still a problem. Different algorithms have been developed to address these challenges in channel estimation. One of the high-performance channel estimators is a phase-aware minimum mean square error (MMSE) estimator. This channel estimator has high computational complexity. To address the shortcomings of the existing estimator, this paper proposed an efficient phase-aware element-wise minimum mean square error (PA-EW-MMSE) channel estimator with QR decomposition and a precoding matrix at the user side. The closed form uplink (UL) SE with the phase MMSE and proposed estimators are evaluated using MMSE combining. The energy efficiency and area throughput are also calculated from the SE. The simulation results show that the proposed estimator achieved the best SE, EE, and area throughput performance with a substantial reduction in the complexity of the computation. Full article
Show Figures

Figure 1

17 pages, 2256 KB  
Article
Scalable Statistical Channel Estimation and Its Applications in User-Centric Cell-Free Massive MIMO Systems
by Ling Xing, Dongle Wang, Xiaohui Zhang, Honghai Wu and Kaikai Deng
Sensors 2025, 25(11), 3263; https://doi.org/10.3390/s25113263 - 22 May 2025
Viewed by 1407
Abstract
Cell-free massive multiple-input multiple-output (mMIMO) technology utilizes collaborative signal processing to significantly improve system performance. In cell-free mMIMO systems, accurate channel state information (CSI) is a key element in improving the overall system performance. The existing statistical CSI acquisition methods for large-scale fading [...] Read more.
Cell-free massive multiple-input multiple-output (mMIMO) technology utilizes collaborative signal processing to significantly improve system performance. In cell-free mMIMO systems, accurate channel state information (CSI) is a key element in improving the overall system performance. The existing statistical CSI acquisition methods for large-scale fading (LSF) processing schemes assume that each access points (APs) provides service to all user equipments (UEs) in the system. However, as the number of UEs or APs increases, the computational complexity of statistical CSI estimation tends to infinity, which is not scalable in large-scale networks. To address this limitation, this paper proposes a scalable statistical CSI estimation method under the user-centric cell-free mMIMO system, which blindly estimates the partial statistical CSI required for LSF schemes using uplink (UL) data signals. Additionally, the estimated partial statistical CSI can also be used for downlink (DL) LSF precoding (LSFP) or power control in fully distributed precoding. Simulation results show that under the LSFP scheme, the proposed method can achieve comparable spectral efficiency (SE) with the traditional CSI acquisition scheme while ensuring scalability. When applied to power control in fully distributed precoding, it significantly reduces the fronthaul link CSI overhead while maintaining a nearly similar SE performance compared to existing solutions. Full article
(This article belongs to the Section Communications)
Show Figures

Figure 1

19 pages, 659 KB  
Article
Turbo Channel Covariance Conversion in Massive MIMO Frequency Division Duplex Systems
by Zhuying Yu, Shengsong Luo and Chongbin Xu
Electronics 2025, 14(8), 1490; https://doi.org/10.3390/electronics14081490 - 8 Apr 2025
Viewed by 599
Abstract
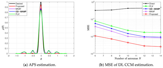
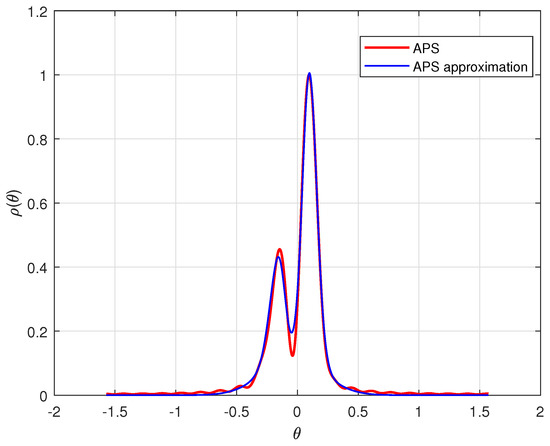
Estimating the downlink (DL) channel covariance matrix (CCM) is crucial for beamforming and capacity optimization in massive MIMO frequency division duplexing (FDD) systems, yet it poses significant challenges due to the lack of direct channel reciprocity. To address this issue, a turbo channel [...] Read more.
Estimating the downlink (DL) channel covariance matrix (CCM) is crucial for beamforming and capacity optimization in massive MIMO frequency division duplexing (FDD) systems, yet it poses significant challenges due to the lack of direct channel reciprocity. To address this issue, a turbo channel covariance conversion (Turbo-CCC) algorithm is proposed to enhance estimation accuracy and robustness by utilizing the angular power spectrum (APS) reciprocity. Specifically, based on the electromagnetic wave propagation characteristics, we model the APS as multikernel functions. On this basis, we then develop the Turbo-CCC algorithm by integrating the orthogonal approximate message passing (OAMP) algorithm and the multikernel adaptive filtering (MKAF) algorithm based on a Bayesian framework. The OAMP module estimates the APS from the uplink (UL) CCM regardless of its structural characteristics, whereas the MKAF module refines the APS estimation by leveraging its structural characteristics. These two modules operate iteratively, progressively improving the accuracy of the DL CCM estimation. Simulation results demonstrate that the proposed algorithm noticeably enhances the estimation performance and exhibits strong adaptability to diverse APS distributions and propagation environments, offering a novel approach for the DL CCM estimation in massive MIMO FDD systems. Full article
Show Figures

Figure 1

21 pages, 1724 KB  
Article
Lower Energy Consumption in Multi-CPU Cell-Free Massive MIMO Systems
by Heng Zhang, Hui Li and Xin Wang
Electronics 2024, 13(22), 4392; https://doi.org/10.3390/electronics13224392 - 8 Nov 2024
Viewed by 1128
Abstract
Under the ideal assumption of deploying only one central processing unit (CPU) in the entire system, cell-free (CF) systems can achieve significant macro-diversity gain, thereby providing uniformly reliable service to each user equipment (UE). However, due to limitations in system scalability and the [...] Read more.
Under the ideal assumption of deploying only one central processing unit (CPU) in the entire system, cell-free (CF) systems can achieve significant macro-diversity gain, thereby providing uniformly reliable service to each user equipment (UE). However, due to limitations in system scalability and the feasibility of strict phase synchronization, CF systems require a multi-CPU setup and perform coherent transmission at a smaller scale. Moreover, conventional CF systems typically operate in time-division duplex (TDD) mode and utilize statistical channel state information (CSI) for downlink (DL) decoding, but the channel hardening effect is not significant. These factors reduce downlink spectral efficiency (SE) and increase DL transmission time, leading to higher energy consumption in CF systems. To address these issues, we introduce downlink channel estimation (DLCE) in multi-CPU CF systems and derive the approximate achievable DL SE. To reduce DL pilot overhead, we propose an uplink–pilot-reuse-constrained DL pilot allocation principle. Based on this principle, we develop a farthest distance pilot allocation (FDPA) algorithm to mitigate pilot contamination. In addition, leveraging the characteristics of the heuristic distributed power allocation algorithm, we propose two access point (AP) clustering algorithms: one based on CSI (BCSI) and the other based on coherent group size (BCGS). Simulation results indicate that the introduction of DLCE significantly improves DL SE in multi-CPU CF massive MIMO systems, while the proposed FDPA algorithm further enhances DL SE. The BCSI and BCGS algorithms also effectively improve DL SE and help reduce energy consumption. By combining DLCE, the FDPA algorithm, and the proposed AP clustering algorithms, the energy consumption of multi-CPU CF systems can be significantly reduced. Full article
Show Figures

Figure 1

46 pages, 3730 KB  
Article
Performance Evaluation of CF-MMIMO Wireless Systems Using Dynamic Mode Decomposition
by Freddy Pesantez Diaz and Claudio Estevez
Telecom 2024, 5(3), 846-891; https://doi.org/10.3390/telecom5030043 - 2 Sep 2024
Viewed by 2450
Abstract
Cell-Free Massive Multiple-Input–Multiple-Output (CF-MIMO) systems have transformed the landscape of wireless communication, offering unparalleled enhancements in Spectral Efficiency and interference mitigation. Nevertheless, the large-scale deployment of CF-MIMO presents significant challenges in processing signals in a scalable manner. This study introduces an innovative methodology [...] Read more.
Cell-Free Massive Multiple-Input–Multiple-Output (CF-MIMO) systems have transformed the landscape of wireless communication, offering unparalleled enhancements in Spectral Efficiency and interference mitigation. Nevertheless, the large-scale deployment of CF-MIMO presents significant challenges in processing signals in a scalable manner. This study introduces an innovative methodology that leverages the capabilities of Dynamic Mode Decomposition (DMD) to tackle the complexities of Channel Estimation in CF-MIMO wireless systems. By extracting dynamic modes from a vast array of received signal snapshots, DMD reveals the evolving characteristics of the wireless channel across both time and space, thereby promising substantial improvements in the accuracy and adaptability of channel state information (CSI). The efficacy of the proposed methodology is demonstrated through comprehensive simulations, which emphasize its superior performance in highly mobile environments. For performance evaluation, the most common techniques have been employed, comparing the proposed algorithms with traditional methods such as MMSE (Minimum Mean Squared Error), MRC (Maximum Ration Combining), and ZF (Zero Forcing). The evaluation metrics used are standard in the field, namely the Cumulative Distribution Function (CDF) and the average UL/DL Spectral Efficiency. Furthermore, the study investigates the impact of DMD-enabled Channel Estimation on system performance, including beamforming strategies, spatial multiplexing within realistic time- and delay-correlated channels, and overall system capacity. This work underscores the transformative potential of incorporating DMD into massive MIMO wireless systems, advancing communication reliability and capacity in increasingly dynamic and dense wireless environments. Full article
Show Figures

Figure 1

14 pages, 3098 KB  
Article
An Assessment of Receiver Algorithms for Distributed Massive MIMO Systems: Investigating Design Solutions and Performance
by Ali Gashtasbi, Mário Marques da Silva and Rui Dinis
Electronics 2024, 13(8), 1560; https://doi.org/10.3390/electronics13081560 - 19 Apr 2024
Cited by 1 | Viewed by 2318
Abstract
This study investigates receiver design solutions for distributed Massive Multiple Input Multiple Output (D-m MIMO) systems, taking into account parameters such as number of access points as well as concerns related to channel estimates that use single-carrier frequency-domain equalization (SC-FDE). A significant contribution [...] Read more.
This study investigates receiver design solutions for distributed Massive Multiple Input Multiple Output (D-m MIMO) systems, taking into account parameters such as number of access points as well as concerns related to channel estimates that use single-carrier frequency-domain equalization (SC-FDE). A significant contribution of this research is the integration of Low-Density Parity-Check (LDPC) codes to simplify coding complexity and enhance communication efficiency. The research examines different receiver designs, such as spatial antenna correlation and sophisticated channel estimation methods. The authors propose integrating LDPC codes into the receiver architecture to simplify computations and enhance error correction and decoding. Moreover, the paper examines performance evaluation measures and approaches, highlighting the trade-offs among complexity, spectral efficiency, and error performance. The comparative analysis indicates the benefits, in terms of performance, of incorporating LDPC codes and improving system throughput and dependability. We examine four distinct receiver algorithms: zero-forcing (ZF), minimum mean square error (MMSE), maximum ratio combining (MRC), and equal gain combining (EGC). The study shows that MRC and EGC receivers work well in D-m MIMO because they make the receiver system less computationally demanding. Full article
(This article belongs to the Special Issue Smart Communication and Networking in the 6G Era)
Show Figures

Figure 1

25 pages, 7776 KB  
Article
Distributed MIMO Measurements for Integrated Communication and Sensing in an Industrial Environment
by Christian Nelson, Xuhong Li, Aleksei Fedorov, Benjamin Deutschmann and Fredrik Tufvesson
Sensors 2024, 24(5), 1385; https://doi.org/10.3390/s24051385 - 21 Feb 2024
Cited by 4 | Viewed by 2969
Abstract
Many concepts for future generations of wireless communication systems use coherent processing of signals from many distributed antennas. The aim is to improve communication reliability, capacity, and energy efficiency and provide possibilities for new applications through integrated communication and sensing. The large bandwidths [...] Read more.
Many concepts for future generations of wireless communication systems use coherent processing of signals from many distributed antennas. The aim is to improve communication reliability, capacity, and energy efficiency and provide possibilities for new applications through integrated communication and sensing. The large bandwidths available in the higher bands have inspired much work regarding sensing in the millimeter-wave (mmWave) and sub-THz bands; however, the sub-6 GHz cellular bands will still be the main provider of wide cellular coverage due to the more favorable propagation conditions. In this paper, we present a measurement system and results of sub-6 GHz distributed multiple-input-multiple-output (MIMO) measurements performed in an industrial environment. From the measurements, we evaluated the diversity for both large-scale and small-scale fading and characterized the link reliability. We also analyzed the possibility of multistatic sensing and positioning of users in the environment, with the initial results showing a mean-square error below 20 cm on the estimated position. Further, the results clearly showed that new channel models are needed that are spatially consistent and deal with the nonstationary channel properties among the antennas. Full article
(This article belongs to the Special Issue Sensing Technologies and Wireless Communications for Industrial IoT)
Show Figures

Figure 1

12 pages, 462 KB  
Communication
Adaptive DCS-SOMP for Localization Parameter Estimation in 5G Networks
by Paulo Francisco da Conceição and Flávio Geraldo Coelho Rocha
Sensors 2023, 23(22), 9073; https://doi.org/10.3390/s23229073 - 9 Nov 2023
Cited by 1 | Viewed by 1573
Abstract
In this work, we model a 5G downlink channel using millimeter-wave (mmWave) and massive Multiple-Input Multiple-Output (mMIMO) technologies, considering the following localization parameters: Time of Arrival (TOA), Two-Dimensional Angle of Departure (2D-AoD), and Two-Dimensional Angle of Arrival (2D-AoA), both encompassing azimuth and elevation. [...] Read more.
In this work, we model a 5G downlink channel using millimeter-wave (mmWave) and massive Multiple-Input Multiple-Output (mMIMO) technologies, considering the following localization parameters: Time of Arrival (TOA), Two-Dimensional Angle of Departure (2D-AoD), and Two-Dimensional Angle of Arrival (2D-AoA), both encompassing azimuth and elevation. Our research focuses on the precise estimation of these parameters within a three-dimensional (3D) environment, which is crucial in Industry 4.0 applications such as smart warehousing. In such scenarios, determining the device localization is paramount, as products must be handled with high precision. To achieve these precise estimations, we employ an adaptive approach built upon the Distributed Compressed Sensing—Subspace Orthogonal Matching Pursuit (DCS-SOMP) algorithm. We obtain better estimations using an adaptive approach that dynamically adapts the sensing matrix during each iteration, effectively constraining the search space. The results demonstrate that our approach outperforms the traditional method in terms of accuracy, speed to convergence, and memory use. Full article
Show Figures

Figure 1

27 pages, 4116 KB  
Article
Tensor-Based Joint Beamforming with Ultrasonic and RIS-Assisted Dual-Hop Hybrid FSO mmWave Massive MIMO of V2X
by Xiaoping Zhou, Zhaonan Zeng, Jiehui Li, Zhen Ma and Le Tong
Photonics 2023, 10(8), 880; https://doi.org/10.3390/photonics10080880 - 28 Jul 2023
Cited by 2 | Viewed by 2043
Abstract
Reconfigurable intelligent surface (RIS)-assisted millimeter-wave (mmWave) communication systems relying on hybrid beamforming structures are capable of achieving high spectral efficiency at a low hardware complexity and with low power consumption. Tensor-based joint beamforming with low-cost ultrasonic and RIS-assisted Dual-Hop Hybrid free space optical [...] Read more.
Reconfigurable intelligent surface (RIS)-assisted millimeter-wave (mmWave) communication systems relying on hybrid beamforming structures are capable of achieving high spectral efficiency at a low hardware complexity and with low power consumption. Tensor-based joint beamforming with low-cost ultrasonic and RIS-assisted Dual-Hop Hybrid free space optical (FSO) mm Wave massive Multiple Input Multiple Output (MIMO) of vehicle-to-everything (V2X) is proposed. To address the occlusion problem for high-speed mobility of the vehicle, an RIS-assisted mixed FSO-MIMO V2X system is proposed. The low-cost ultrasonic array signal model is developed to solve the accurate direction-of-arrival (DOA) estimation. The ultrasonic-assisted RIS phase shift matrix based on subspace self-organizing iterations is designed to track the beam direction between RIS and vehicle. Specifically, the associated bandwidth-efficiency maximization problem is transformed into a series of subproblems, where the subarray of phase shifters and RIS elements is jointly optimized to maximize each subarray’s rate. The vehicle motion state is transformed into a two-dimensional model for prior distribution to calculate the particle weights of the RIS phase. Multi-vehicle Tucker tensor decomposition is used to describe the high-dimensional beam space. We conceive a multi-vehicle joint optimization method for designing the hybrid beamforming matrix of the base station (BS) and the passive beamforming matrix of the RIS. A cascaded channel decomposition method based on Singular Value Decomposition (SVD) is used to obtain the combined matrix beamforming of BS and vehicle. Our simulation results demonstrate the superiority of the proposed method compared to its traditional counterparts. Full article
(This article belongs to the Special Issue Advances in Micro-Nano Photonics and Optical Communication)
Show Figures

Figure 1

14 pages, 774 KB  
Article
Robust Channel Estimation Scheme for Multi-UAV MmWave MIMO Communication with Jittering
by Conghui Lu and Peng Chen
Electronics 2023, 12(9), 2102; https://doi.org/10.3390/electronics12092102 - 4 May 2023
Cited by 7 | Viewed by 2555
Abstract
In unmanned aerial vehicle (UAV)-assisted millimeter-wave (mmWave) communications, the communication performance is significantly degraded by UAV jitter. We formulate a UAV-assisted mmWave channel model with hybrid beamforming for the impacts of UAV jitter. Then, we derive the distribution of angle of arrivals/departures (AOAs/AODs) [...] Read more.
In unmanned aerial vehicle (UAV)-assisted millimeter-wave (mmWave) communications, the communication performance is significantly degraded by UAV jitter. We formulate a UAV-assisted mmWave channel model with hybrid beamforming for the impacts of UAV jitter. Then, we derive the distribution of angle of arrivals/departures (AOAs/AODs) with random fluctuation of the UAV attitude angle. We develop an iterative reweight-based robust scheme as the super-resolution AOAs/AODs estimation method. Specifically, we introduce the partially adaptive momentum (Padam) estimation method to optimize the objective function of the jittering UAV mmWave massive multi-input multioutput (MIMO) system. Finally, compared with existing channel estimation schemes, the proposed UAV mmWave channel estimation method can achieve robust super-resolution performance in AOAs/AODs and path gains estimation with numerical results. Therefore, the proposed channel estimation scheme is very suitable for UAV mmWave massive MIMO communications with jittering. Full article
(This article belongs to the Special Issue Advanced Techniques for Cooperative Sensing and Detection)
Show Figures

Figure 1

11 pages, 1389 KB  
Article
MIMO Over-the-Air Computation for Distributed Estimation
by Pangun Park, Hyejeon Shin and Piergiuseppe Di Marco
Appl. Sci. 2023, 13(3), 1593; https://doi.org/10.3390/app13031593 - 26 Jan 2023
Cited by 4 | Viewed by 2915
Abstract
MIMO over-the-air computation (MIMO-AirComp) is a recently proposed technique that leverages the superposition property of the multiple access channel to compute the target multifunction of various applications. This article presents how the MIMO-AirComp principle can be applied to the state estimation problem using [...] Read more.
MIMO over-the-air computation (MIMO-AirComp) is a recently proposed technique that leverages the superposition property of the multiple access channel to compute the target multifunction of various applications. This article presents how the MIMO-AirComp principle can be applied to the state estimation problem using distributed sensing data. The representative target function is explicitly formulated as a nomographic function matched to the structure of the multiple access channel with the proper processing function. The proposed framework efficiently computes the target multifunction by coordinating local preprocessing at each node, aggregation through the wireless channel, and postprocessing at the fusion center. We analyze and demonstrate that the proposed approach significantly improves the computation throughput for the distributed estimation application. Specifically, the proposed MIMO-AirComp framework outperforms the conventional separated communication and computation approach when the network system relies on noisy measurements obtained by the densely deployed sensors. Full article
Show Figures

Figure 1

11 pages, 540 KB  
Article
Validation of Parallel Distributed Adaptive Signal Processing (PDASP) Framework through Processing-Inefficient Low-Cost Platforms
by Hasan Raza, Ishtiaq Ahmad, Noor M. Khan, Waseem Abbasi, Muhammad Shahid Anwar, Sadique Ahmad and Mohammed A. El-Affendi
Mathematics 2022, 10(23), 4600; https://doi.org/10.3390/math10234600 - 5 Dec 2022
Cited by 1 | Viewed by 1816
Abstract
The computational complexity of the multiple-input and multiple-output (MIMO) based least square algorithm is very high and it cannot be run on processing-inefficient low-cost platforms. To overcome complexity-related problems, a parallel distributed adaptive signal processing (PDASP) architecture is proposed, which is a distributed [...] Read more.
The computational complexity of the multiple-input and multiple-output (MIMO) based least square algorithm is very high and it cannot be run on processing-inefficient low-cost platforms. To overcome complexity-related problems, a parallel distributed adaptive signal processing (PDASP) architecture is proposed, which is a distributed framework used to efficiently run the adaptive filtering algorithms having high computational cost. In this paper, a communication load-balancing procedure is introduced to validate the PDASP architecture using low-cost wireless sensor nodes. The PDASP architecture with the implementation of a multiple-input multiple-output (MIMO) based Recursive Least Square (RLS) algorithm is deployed on the processing-inefficient low-cost wireless sensor nodes to validate the performance of the PDASP architecture in terms of computational cost, processing time, and memory utilization. Furthermore, the processing time and memory utilization provided by the PDASP architecture are compared with sequentially operated RLS-based MIMO channel estimator on 2×2, 3×3, and 4×4 MIMO communication systems. The measurement results show that the sequentially operated MIMO RLS algorithm based on 3×3 and 4×4 MIMO communication systems is unable to work on a single unit; however, these MIMO systems can efficiently be run on the PDASP architecture with reduced memory utilization and processing time. Full article
Show Figures

Figure 1

28 pages, 7346 KB  
Article
Application of Approximation Constructions with a Small Number of Parameters for the Estimation of a Rayleigh Fading Multipath Channel with Doppler Spectrum Spreading
by Natalia E. Poborchaya, Alexander V. Pestryakov and Elizaveta O. Lobova
Sensors 2022, 22(9), 3488; https://doi.org/10.3390/s22093488 - 3 May 2022
Cited by 15 | Viewed by 2259
Abstract
In this article, an algorithm for joint estimation of communication channel gains and signal distortions in a direct conversion receiver is proposed. The received signal model uses approximations with a small number of parameters to reduce the computational complexity of the resulting algorithm. [...] Read more.
In this article, an algorithm for joint estimation of communication channel gains and signal distortions in a direct conversion receiver is proposed. The received signal model uses approximations with a small number of parameters to reduce the computational complexity of the resulting algorithm. The estimation algorithm is obtained under the assumption of a priori uncertainty about the characteristics of the communication channel and noise distribution using the linear least squares method. Estimation is performed first by the test sequence, then by the information symbols obtained after detection. In addition, an analysis of the noise immunity of quadrature amplitude modulation (QAM) signal reception is carried out using different approximating structures in the estimation algorithm for systems with a single transmitting and receiving antenna (SISO) and for systems with multiple transmitting and receiving antennas (MIMO). Furthermore, this article examines the influence of the duration of the test signal, the number of sessions of its transmission, and the channel extrapolation interval on the quality of signal reception. Full article
Show Figures

Figure 1

16 pages, 1561 KB  
Article
Energy Efficiency Optimization of Massive MIMO System with Uplink Multi-Cell Based on Imperfect CSI with Power Control
by Jie Zhang, Honggui Deng, Youzhen Li, Zaoxing Zhu, Gang Liu and Hongmei Liu
Symmetry 2022, 14(4), 780; https://doi.org/10.3390/sym14040780 - 8 Apr 2022
Cited by 13 | Viewed by 3234
Abstract
In order to solve the energy efficiency optimization problem in the uplink multi-cell massive MIMO system, this paper constructs the system transmission model, of which the channel is symmetry, based on user and base station, and deduces the expression of data transmission rate [...] Read more.
In order to solve the energy efficiency optimization problem in the uplink multi-cell massive MIMO system, this paper constructs the system transmission model, of which the channel is symmetry, based on user and base station, and deduces the expression of data transmission rate of each user. Then, we establish a model of the spectral and energy efficiency of multi-cell massive MIMO system by analyzing the pilot transmission and channel estimation. We also derive the nonconvex function for the energy efficiency optimization, which is difficult to solve directly. Therefore, we propose an improved particle swarm optimization algorithm to obtain the suboptimal solution, under low complexity, by optimizing the distribution of user power. To demonstrate the advantages of our proposed algorithm, we simulate the energy efficiency performance of the algorithm. The results show that the proposed algorithm can effectively improve the energy efficiency of the system. Full article
(This article belongs to the Special Issue Symmetry/Asymmetry in Wireless Communication and Sensor Networks)
Show Figures

Figure 1

18 pages, 2091 KB  
Article
A Statistical Estimation of 5G Massive MIMO Networks’ Exposure Using Stochastic Geometry in mmWave Bands
by Maarouf Al Hajj, Shanshan Wang, Lam Thanh Tu, Soumaya Azzi and Joe Wiart
Appl. Sci. 2020, 10(23), 8753; https://doi.org/10.3390/app10238753 - 7 Dec 2020
Cited by 26 | Viewed by 4165
Abstract
This paper aims to derive an analytical modelling of the downlink exposure in 5G massive Multiple Input Multiple Output (MIMO) antenna networks using stochastic geometry. The Poisson point process (PPP) is assumed for base station (BS) distribution. The power received at the transmitter [...] Read more.
This paper aims to derive an analytical modelling of the downlink exposure in 5G massive Multiple Input Multiple Output (MIMO) antenna networks using stochastic geometry. The Poisson point process (PPP) is assumed for base station (BS) distribution. The power received at the transmitter is modeled as a shot-noise process with a modified power law. The distributions of 5G massive MIMO antenna gain and channel gain were obtained by fitting simulation results from the NYUSIM channel simulator. The fitted distributions, e.g., exponential and gamma distribution for antenna and channel gain respectively, were then implemented into an analytical framework. In this paper, we obtained the closed-form expression of the moment-generating function (MGF) for the total exposure in the network. The framework is then validated by numerical simulations. The sensitivity analysis is carried out to investigate the impact of key parameters, e.g., BS density, path loss exponent, and transmission probability. We then proved and quantified the significant impact the transmission probability on global exposure, which indicates the importance of considering the network usage in 5G exposure estimations. Full article
(This article belongs to the Special Issue Human Exposure in 5G and 6G Scenarios)
Show Figures

Figure 1

Back to TopTop