An Assessment of Receiver Algorithms for Distributed Massive MIMO Systems: Investigating Design Solutions and Performance
Abstract
1. Introduction
1.1. Motivation
1.2. Objective and Organization of This Article
2. Essential Concepts
2.1. Effects of Access Points in D-m MIMO
2.2. Independent LDPC Coding
3. System Characterization
3.1. Zero Forcing
3.2. Minimum Mean Square Error
3.3. Maximum Ratio Combining
3.4. Equal Gain Combining
4. Receiver Design Considerations for D-m MIMO
4.1. Methods for Combining Diversity
4.2. Spatial Multiplexing and Demultiplexing
4.3. Coding/Decoding Complexity
4.4. Channel Estimation Techniques
5. Performance Results
6. Benchmarking
7. Conclusions
8. Future Research
Author Contributions
Funding
Data Availability Statement
Acknowledgments
Conflicts of Interest
References
- Agiwal, M.; Roy, A.; Saxena, N. Next Generation 5G Wireless Networks: A Comprehensive Survey. IEEE Commun. Surv. Tutor. 2016, 18, 1804–1837. [Google Scholar] [CrossRef]
- Dajer, M.; Ma, Z.; Piazzi, L.; Prasad, N.; Qi, X.-F.; Sheen, B.; Yang, J.; Yue, G. Reconfigurable intelligent surface: Design the channel—A new opportunity for future wireless networks. Digit. Commun. Networks 2021, 8, 87–104. [Google Scholar] [CrossRef]
- Gong, S.; Lu, X.; Hoang, D.T.; Niyato, D.; Shu, L.; Kim, D.I.; Liang, Y.-C. Toward Smart Wireless Communications via Intelligent Reflecting Surfaces: A Contemporary Survey. IEEE Commun. Surv. Tutor. 2020, 22, 2283–2314. [Google Scholar] [CrossRef]
- Zhao, J.; Liu, Y. Survey of Intelligent Reflecting Surfaces (IRSs): Towards 6G Wireless Communication Networks. arXiv 2019, arXiv:1907.04789. [Google Scholar]
- Pavia, J.P.; Velez, V.; Souto, N.; da Silva, M.M.; Correia, A. System-Level Assessment of massive MIMO and RIS in C-RAN and IoT scenarios in sub-6 GHz, mm-Wave and THz bands. Appl. Sci. 2024, 14, 1098. [Google Scholar] [CrossRef]
- Gashtasbi, A.; da Silva, M.M.; Dinis, R. IRS, LIS, and Radio Stripes-Aided Wireless Communications: A Tutorial. Appl. Sci. 2022, 12, 12696. [Google Scholar] [CrossRef]
- da Silva, M.M.; Guerreiro, J. On the 5G and beyond. Appl. Sci. 2020, 10, 7091. [Google Scholar] [CrossRef]
- Al-Jarrah, M.; Alsusa, E.; Al-Dweik, A.; So, D.K.C. Capacity Analysis of IRS-Based UAV Communications with Imperfect Phase Compensation. IEEE Wirel. Commun. Lett. 2021, 10, 1479–1483. [Google Scholar] [CrossRef]
- Pereira, A.; Rusek, F.; Gomes, M.; Dinis, R. Deployment Strategies for Large Intelligent Surfaces. IEEE Access 2022, 10, 61753–61768. [Google Scholar] [CrossRef]
- Pereira, A.; Rusek, F.; Gomes, M.; Dinis, R. On the Complexity Requirements of a Panel-Based Large Intelligent Surface. In Proceedings of the GLOBECOM 2020—2020 IEEE Global Communications Conference, Taipei, China, 7–11 December 2020; pp. 1–6. [Google Scholar]
- Hu, S.; Rusek, F.; Edfors, O. The Potential of Using Large Antenna Arrays on Intelligent Surfaces. In Proceedings of the 2017 IEEE 85th Vehicular Technology Conference (VTC Spring), Sydney, Australia, 4–7 June 2017; pp. 1–6. [Google Scholar]
- Conceição, F.; Gomes, M.; Silva, V.; Dinis, R.; Antunes, C.H. Bi-Objective Power Optimization of Radio Stripe Uplink Communications. Electronics 2022, 11, 876. [Google Scholar] [CrossRef]
- Shaik, Z.H.; Bjornson, E.; Larsson, E.G. Cell-Free Massive MIMO with Radio Stripes and Sequential Uplink Processing. In Proceedings of the 2020 IEEE International Conference on Communications Workshops (ICC Workshops), Dublin, Ireland, 7–11 June 2020; pp. 1–6. [Google Scholar]
- Ngo, H.Q.; Tran, L.-N.; Duong, T.Q.; Matthaiou, M.; Larsson, E.G. On the Total Energy Efficiency of Cell-Free Massive MIMO. IEEE Trans. Green Commun. Netw. 2017, 2, 25–39. [Google Scholar] [CrossRef]
- Pereira, A.; Rusek, F.; Gomes, M.; Dinis, R. A Low Complexity Sequential Resource Allocation for Panel-Based LIS Surfaces. In Proceedings of the 2022 IEEE 95th Vehicular Technology Conference (VTC2022-Spring), Helsinki, Finland, 19–22 June 2022. [Google Scholar]
- Sanchez, J.R.; Rusek, F.; Edfors, O.; Liu, L. An Iterative Interference Cancellation Algorithm for Large Intelligent Surfaces. arXiv 2019, arXiv:1911.10804v1. [Google Scholar]
- Kundu, N.K.; McKay, M.R. Channel Estimation for Large Intelligent Surface Aided MISO Communications: From LMMSE to Deep Learning Solutions. arXiv 2020, arXiv:2011.07265. [Google Scholar]
- Fang, Y.; Bi, G.; Guan, Y.L.; Lau, F.C.M. A Survey on Photograph LDPC Codes and Their Applications. IEEE Commun.-Tion Surv. Tutor. 2015, 17, 1989–2016. [Google Scholar] [CrossRef]
- Gashtasbi, A.; da Silva, M.M.; Dinis, R.; Guerreiro, J. On the Performance of LDPC-Coded Large Intelligent Antenna System. Appl. Sci. 2023, 13, 4738. [Google Scholar] [CrossRef]
- Alghonaim, E.; Landolsi, M.A.; El-Maleh, A. Improving BER Performance of LDPC Codes Based on Intermediate Decoding Results. In Proceedings of the 2007 IEEE International Conference on Signal Processing and Communications (ICSPC 2007), Dubai, United Arab Emirates, 24–27 November 2007. [Google Scholar]
- Marques da Silva, M.; Dinis, R.; Martins, G. On the Performance of LDPC-Coded Massive MIMO Schemes with Power-Ordered NOMA Techniques. Appl. Sci. 2021, 11, 8684. [Google Scholar] [CrossRef]
- Ma, H.; Fang, Y.; Chen, P.; Mumtaz, S.; Li, Y. A Novel Differential Chaos Shift Keying Scheme with Multidimensional Index Modulation. IEEE Trans. Wirel. Commun. 2022, 22, 237–256. [Google Scholar] [CrossRef]
- da Silva, M.M.; Dinis, R.; Guerreiro, J. A Low Complexity Channel Estimation and Detection for Massive MIMO Using SC-FDE. Telecom 2020, 1, 3–17. [Google Scholar] [CrossRef]
- Sanchez, J.R.; Rusek, F.; Edfors, O.; Liu, L. Distributed and Scalable Uplink Processing for LIS: Algorithm, Architecture, and Design Trade-offs. arXiv 2020, arXiv:2012.05296v1. [Google Scholar]
- Harika, A.; Biradar, R.L. MIMO OFDM with index modulation for 5G networks. Mater. Today Proc. 2021. [Google Scholar] [CrossRef]
- Wang, J.; Baykas, T.; Funada, R.; Sum, C.-S.; Rahman, A.; Lan, Z.; Harada, H.; Kato, S. A SNR Mapping Scheme for ZF/MMSE Based SC-FDE Structured WPANs. In Proceedings of the 2009 IEEE 69th Vehicular Technology Conference Spring, Barcelona, Spain, 26–29 April 2009; pp. 1–5. [Google Scholar]
- Borges, D.; Montezuma, P.; Ferreira, A.; Dinis, R. Two Low Complexity MRC and EGC Based Receivers for SC-FDE Modulations with Massive MIMO Schemes. J. Signal Process. Syst. 2018, 90, 1357–1367. [Google Scholar] [CrossRef]
- Gupta, S.; Bajaj, R.; Jadon, J.S.; Arora, N. Analysis and comparison of transmit diversity scheme using MRC and EGC. In Proceedings of the 2017 International Conference On Smart Technologies For Smart Nation (SmartTechCon), Bengaluru, India, 17–19 August 2017; pp. 212–216. [Google Scholar]
- Biguesh, M.; Gershman, A.B. Training-Based MIMO Channel Estimation: A Study of Estimator Tradeoffs and Optimal Training Signals. IEEE Trans. Signal Process. 2006, 54, 884–893. [Google Scholar] [CrossRef]
- Imani, M.; Bakhshi, H. Training Based Channel Estimation in MIMO-OFDM Systems. Commun. Netw. 2012, 4, 54–60. [Google Scholar] [CrossRef]
- Do, D.-T.; Vu, D.-T. A new training sequence for secure channel estimation in MIMO systems. In Proceedings of the 2010 3rd IEEE International Conference on Computer Science and Information Technology (ICCSIT 2010), Chengdu, China, 9–11 July 2010. [Google Scholar] [CrossRef]









| Figure | Diversity | Number of Users (Including the Reference User) | Selective APs | Channel Estimation | Encoding (LDPC} | Objective |
|---|---|---|---|---|---|---|
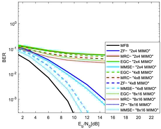
| Figure 4 | 2 × 4 MIMO 4 × 8 MIMO 8 × 16 MIMO | 2 | - | No | No | Show that performance is improved with the use of higher MIMO diversity. Show that better results are obtained with MMSE and ZF receivers. |
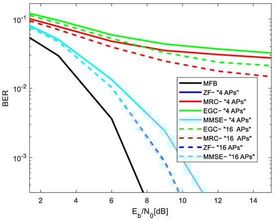
| Figure 5 | 8 × 64 MIMO | 2 | 4 | No | No | Show that increasing the number of APs leads to improved performance. Show that the best results are obtained with MMSE and ZF |
| Figure 6 | 8 × 64 MIMO | 2 | 4 e 16 | No | No | Show that increasing APs leads to enhancements in performance, with higher effectiveness under MRC. |
| Figure 7 | 8 × 64 MIMO | 2, 4 e 8 | - | No | No | Show the difference in performance for different numbers of users. |
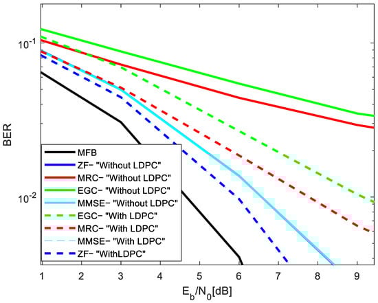
| Figure 8 | 16 × 64 MIMO | 2 | - | No | Yes and No | Show that performance improves with LDPC codes, compared to the uncoded system. |
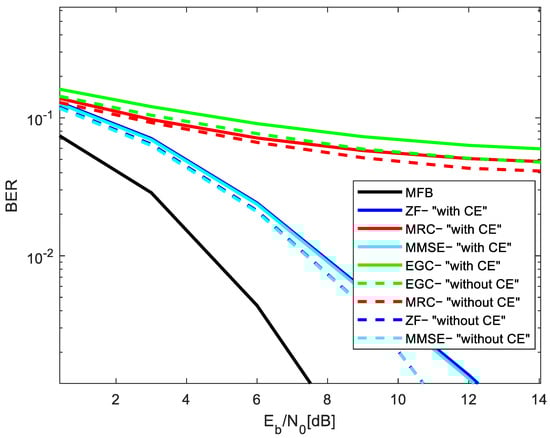
| Figure 9 | 16 × 64 MIMO | 2 | - | Yes and No | No | Show the difference in performance with and without channel estimate. |
| Receiver Architecture | Design Approach | Key Performance Metrics | Advantages | Disadvantages |
|---|---|---|---|---|
| ZF | Linear precoding |
|
|
|
| MMSE | Statistical precoding |
|
|
|
| MRC | Weighted combining based on channel gains |
|
|
|
| EGC | Combining multiple signals |
|
|
|
Disclaimer/Publisher’s Note: The statements, opinions and data contained in all publications are solely those of the individual author(s) and contributor(s) and not of MDPI and/or the editor(s). MDPI and/or the editor(s) disclaim responsibility for any injury to people or property resulting from any ideas, methods, instructions or products referred to in the content. |
© 2024 by the authors. Licensee MDPI, Basel, Switzerland. This article is an open access article distributed under the terms and conditions of the Creative Commons Attribution (CC BY) license (https://creativecommons.org/licenses/by/4.0/).
Share and Cite
Gashtasbi, A.; Marques da Silva, M.; Dinis, R. An Assessment of Receiver Algorithms for Distributed Massive MIMO Systems: Investigating Design Solutions and Performance. Electronics 2024, 13, 1560. https://doi.org/10.3390/electronics13081560
Gashtasbi A, Marques da Silva M, Dinis R. An Assessment of Receiver Algorithms for Distributed Massive MIMO Systems: Investigating Design Solutions and Performance. Electronics. 2024; 13(8):1560. https://doi.org/10.3390/electronics13081560
Chicago/Turabian StyleGashtasbi, Ali, Mário Marques da Silva, and Rui Dinis. 2024. "An Assessment of Receiver Algorithms for Distributed Massive MIMO Systems: Investigating Design Solutions and Performance" Electronics 13, no. 8: 1560. https://doi.org/10.3390/electronics13081560
APA StyleGashtasbi, A., Marques da Silva, M., & Dinis, R. (2024). An Assessment of Receiver Algorithms for Distributed Massive MIMO Systems: Investigating Design Solutions and Performance. Electronics, 13(8), 1560. https://doi.org/10.3390/electronics13081560

