Next Article in Journal
Manifold Regularized Principal Component Analysis Method Using L2,p-Norm
Previous Article in Journal
Numerical and Stability Investigations of the Waste Plastic Management Model in the Ocean System
Previous Article in Special Issue
Scalable Cell-Free Massive MIMO with Multiple CPUs
 
 
Font Type:
Arial Georgia Verdana
Font Size:
Aa Aa Aa
Line Spacing:
Column Width:
Background:
Article

Validation of Parallel Distributed Adaptive Signal Processing (PDASP) Framework through Processing-Inefficient Low-Cost Platforms

1
Department of Electrical Engineering, Hamdard University, Islamabad 44000, Pakistan
2
Department of Electrical Engineering, Capital University of Science and Technology, Islamabad 44000, Pakistan
3
Department of Electrical Engineering, MY University, Islamabad 46000, Pakistan
4
Department of AI Software, Gachon University, Seongnam-si 13120, Republic of Korea
5
EIAS: Data Science and Blockchain Laboratory, College of Computer and Information Sciences, Prince Sultan University, Riyadh 11586, Saudi Arabia
*
Authors to whom correspondence should be addressed.
Mathematics 2022, 10(23), 4600; https://doi.org/10.3390/math10234600
Submission received: 19 October 2022 / Revised: 11 November 2022 / Accepted: 22 November 2022 / Published: 5 December 2022

Abstract

The computational complexity of the multiple-input and multiple-output (MIMO) based least square algorithm is very high and it cannot be run on processing-inefficient low-cost platforms. To overcome complexity-related problems, a parallel distributed adaptive signal processing (PDASP) architecture is proposed, which is a distributed framework used to efficiently run the adaptive filtering algorithms having high computational cost. In this paper, a communication load-balancing procedure is introduced to validate the PDASP architecture using low-cost wireless sensor nodes. The PDASP architecture with the implementation of a multiple-input multiple-output (MIMO) based Recursive Least Square (RLS) algorithm is deployed on the processing-inefficient low-cost wireless sensor nodes to validate the performance of the PDASP architecture in terms of computational cost, processing time, and memory utilization. Furthermore, the processing time and memory utilization provided by the PDASP architecture are compared with sequentially operated RLS-based MIMO channel estimator on 2 × 2 , 3 × 3 , and 4 × 4 MIMO communication systems. The measurement results show that the sequentially operated MIMO RLS algorithm based on 3 × 3 and 4 × 4 MIMO communication systems is unable to work on a single unit; however, these MIMO systems can efficiently be run on the PDASP architecture with reduced memory utilization and processing time.

1. Introduction

Since the beginning of the last decade, technological improvements in hardware and software provide new dimensions for the deployment of signal processing techniques in many communication applications. However, the deployment of these signal processing techniques on low-cost wireless sensor nodes still faces the restrictions in terms of low processing power and limited energy resources. In wireless sensor networks, fast processing as well as low energy consumption are prominent requirements for their efficient utilization; therefore, modern engineering techniques try to provide ingenious alternatives, so that one can improve the algorithm having reasonable trade off between the low energy consumption and communication burden overhead [1,2]. Distributed network-based architecture provides improved performance for many communication applications, such as channel estimation [3], system identification [4,5], source tracking [6], and environmental monitoring [7]. On a distributed adaptive signal processing estimation platform, the processing is distributed over the network where the network nodes are allowed to exchange information among themselves in such a way that the filter parameters converge in much lesser time. In [8,9,10,11,12], incremental strategies are introduced in which each node in the distributed network communicates only with the adjacent node. In incremental strategies, the data are transmitted to adjacent nodes cyclically throughout the distributed network. In [13,14,15], diffusion techniques are used to find the unknown filter coefficients for the distributed channel estimation. In these techniques, the parameters of the adaptive algorithm are distributed over the network to improve the estimation of the adaptive algorithm.
Furthermore, in [16], a Distributed Recursive Least Square (D-RLS) adaptive algorithm is presented. In this technique, the parts of the RLS adaptive algorithm are assigned to different nodes in the network and each respective node waits until information is not collected from the previous node. In [17], PDASP architecture is introduced which executes the RLS adaptive algorithm in parallel distributed fashion even with the time-non-aligned indexes over the low-cost wireless sensor nodes. The PDASP architecture provides parallelly lesser computational cost and processing time in each node involved as compared to the above-mentioned techniques [8,9,10,11,12,13,14,15,16]. However, it has been never been validated through its implementation on low-cost processing-incapable platforms.
As discussed earlier, the PDASP architecture provides much lesser complexity and processing time than sequentially operated adaptive algorithm on a single unit. However, it has not been validated through implementation. In this manuscript, a communication load-balancing procedure is introduced to validate the PDASP architecture using low-cost wireless sensor nodes, namely NANO, UNO, and MEGA [18] having diverse memory utilities. Furthermore, for powerful degree of comparisons, we take MIMO channel estimation with the consideration of Line of Sight (LoS) and diffused components as an example application for our research work which helps to perform an in-depth analysis of the PDASP architecture. Using the communication load-balancing procedure, the obtained measurement results show that the PDASP architecture effectively runs the MIMO RLS algorithm on low-cost sensor nodes. On the other hand, the sequentially operated 3 × 3 and 4 × 4 MIMO systems are unable to be run on a single unit. It is also realized that the PDASP architecture using the communication load-balancing procedure provides significant improvement in terms of processing time, computational complexity, and memory utilization as compared to sequentially operated MIMO RLS algorithm. Moreover, the communication burden time is higher than the sequential time of the MIMO RLS algorithm and this time can be reduced by using the transceiver having high data rates as compared to NRF24L01.
The rest of the paper is organized in the following manner. The working procedure of PDASP architecture is described in Section 2. In Section 3, the validation of PDASP architecture for MIMO communication system is presented, the complexity analysis is introduced in Section 4. In Section 5, measurement results are presented and Section 6 draws the conclusions.

2. Parallel Distributed Adaptive Signal Processing (PDASP) Architecture

The input signal vector is divided into N equal-length sub-blocks in a MIMO communication system, each of which is transmitted individually using a different antenna. The block diagram of 2 × 2 MIMO communication system with one diffused component is shown in Figure 1. At the receiver side, each antenna element receives ( L + 1 ) N T signals comprising the effect of h t r ( l ) , k channel coefficients from N T transmitting and L diffused components. The subscript t r ( l ) shows the information of transmitting antenna, t = 1 , 2 , , N T receiving antenna, r = 1 , 2 , , N R and l = 1 , , L diffused components.
Therefore, the channel matrix H ˜ k = for the N T × N R MIMO communication system at time index k with L diffused components [19] can be expressed as
H ˜ k = h 11 ( 0 ) , k h 11 ( L ) , k h 21 ( 0 ) , k h N T 1 ( L ) , k h 12 ( 0 ) , k h 12 ( L ) , k h 22 ( 0 ) , k h N T 2 ( L ) , k h 1 N R ( 0 ) , k h 1 N R ( L ) , k h 2 N R ( 0 ) , k h N T N R ( L ) , k
Each entry of channel coefficient, l = 1 , , L , shows a diffused component which exists between N T and N R receiving antenna elements; however, for l = 0 , the channel coefficient shows parallel interference with the line of sight (LoS) only link. Furthermore, the dispersed components have a significant influence on the dimensions of the channel matrix in time-varying channel environments. Likewise, the dimensions of the filter weight matrix for various MIMO communications systems with LoS and dispersed components are therefore displayed in Table 1.
A well-known RLS algorithm [20] has been in use for the applications of channel estimation and channel equalization since its advent. In case of the MIMO communication system, the computational complexity of the MIMO RLS algorithm is not only dependent on MIMO antennas but it also depends on multipath components. The step-by-step computational complexity provided by the RLS algorithm is shown in Table 2, where N shows the order of the MIMO system. In Table 2, it can be seen that the L diffused components in each part of the MIMO RLS algorithm provide critical impact on the computational cost; therefore, the MIMO RLS algorithm cannot be run sequentially on processing-inefficient low-cost platforms. In order to run the MIMO RLS algorithm in parallel fashion, a PDASP architecture with non-aligned time indexes is used. The non-aligned time indexes make run the algorithm parts in parallel fashion. The PDASP architecture with its implementation on the RLS algorithm is shown in Figure 2; whereas, the selection of four nodes in the PDASP architecture are dependent upon the parts (e.g., Kalman gain, error covariance matrix, etc.) of the RLS algorithm. The RLS method works in parallel with non-aligned time indexes when utilizing the PDASP technique, leading to parallelly low processing times at each processing node. Two considerations must be made in order to run the RLS adaptive filtering method concurrently with various clock systems: first, it should be mentioned that the filter does not behave unstably when used with any application. Second, all of the filter sub-components might be able to operate concurrently. Thus, even with non-aligned time indexes, the sequential structure might be able to operate in parallel.
In Figure 2, it can be seen that M 1 , M 2 , M 3 , and M 4 are the four processing nodes that make up the distributed RLS filtering. The adaptive filtering algorithm’s parts (e.g., Kalman gain, error covariance matrix, etc.) influence the selection of the four nodes. The processing nodes M 1 and M 4 are interconnected with M 2 and M 3 , respectively, as well as with each other. Similarly, M 2 is linked to M 1 and M 4 , but M 3 is solely linked to M 4 . All of the processing nodes would share data with one another before figuring out the intended process.
In the PDASP architecture, let the processing time taken by filter weight matrix W k , estimation error e k , Kalman gain g k , and error covariance matrix Ψ k be T W , T e , T g , and T Ψ , respectively. Therefore, the time taken by the MIMO-based sequential RLS algorithm, T seq , when it executes in cascade fashion [17], can be written as
T Ψ + T g + T e + T W = T seq .
The node M 1 requires more computational cost than the other nodes in the distributed network. The time difference which makes the nodes M 2 , M 3 , and M 4 equivalent to node M 1 can be written as   
T g T Ψ 1 = Δ T Ψ . T g T e 1 = Δ T e . T g T W 1 = Δ T W .
where . 1 shows the L 1 norm operator. The equivalence processing time T e q can be expressed as
T g = T Ψ + Δ T Ψ = T e + Δ T e = T W + Δ T W = T e q .
In terms of low processing time, the sufficient and strict condition can thus be written as:
T e q + T f , Ψ + T f , g + T f , e + T f , W T s e q .
where T f , Ψ , T f , g , T f , e , and T f , W are the fetch times for the transmission of data over the PDASP architecture. The working procedure of PDASP using the MIMO RLS algorithm is shown in Algorithm 1, where all the nodes are capable to share the information among themselves after getting the time equivalent to the maximum processing time of node M 1 .
Algorithm 1: Working procedure of PDASP with Diffused components for N × N MIMO communication system
Initialize: W k 1 , a k 2 , r ^ k 1 , Ψ k 1 , Ψ k 2 , e k 2 , g k 2
parallel procedure for M 1 , M 2 , M 3 and M 4
for k=0:N

  Process node M 3
at time t 1 :     r ^ k T = x k T W k 1
at time t 1 :     e k 1 = r k 1 r ^ k 1
at time t 1 :    wait Δ T e

  Process node M 2
at time t 1 :     a k 1 = x k 1 T Ψ k 1
at time t 1 :     g k 1 = a k 1 a k 1 T x k 1 + σ v , k
at time t 1 :    wait Δ T g

  Process node M 1
at time t 1 :     Ψ k = Ψ k 2 g k 2 a k 2 T

  Process node M 4
at time t 1 :     W k = W k 1 + e k 2 g k 2 T
at time t 1 :    wait Δ T W

at time t 2 :   Transmit g k 1 from M 2 to M 1 and M 4
at time t 3 :   Transmit Ψ k 1 from M 1 to M 2 , W k 1 from M 4 to M 3
at time t 4 :   Transmit e k 2 from M 3 to M 4 , a k 2 from M 2 to M 1
end for

3. Communication Load-Balancing Procedure

In this section, the procedure of information interchange over the PDASP architecture is presented. The PDASP architecture consists of four nodes, M 1 , M 2 , M 3 , and M 4 . The block diagrams of the sequentially and parallelly working MIMO RLS algorithm are shown in Figure 3a,b, respectively.
Before running the expensive procedure parallelly, M 2 sends a beacon message to all the slave nodes which makes them ready for working on a desired goal. After that, all the four nodes are capable to work on the desired process. The working procedure of information interchange over PDASP architecture is clearly depicted in Figure 4. In this architecture, first of all, g k is transmitted from M 2 towards M 4 and M 1 then M 1 and M 4 become capable to forward information of W k and Ψ k towards M 3 and M 2 , respectively. Likewise, after getting information of Ψ k and W k , M 2 and M 3 become capable to share information regarding e k and a k towards M 4 and M 1 , respectively. In this way, the information interchange is totally balanced over the distributed network.

4. Complexity Analysis

In this section, the complexity of the sequentially operated and distributed adaptive RLS filtering for various MIMO communication systems is discussed. The computational complexity provided by the sequentially operated MIMO RLS algorithm entails 3 ( N + N L ) 2 + 2 N 2 ( L + 1 ) + N L + 1 multiplications and 2 N 2 ( L + 1 ) + 2 ( N + N L ) 2 N additions per iteration.
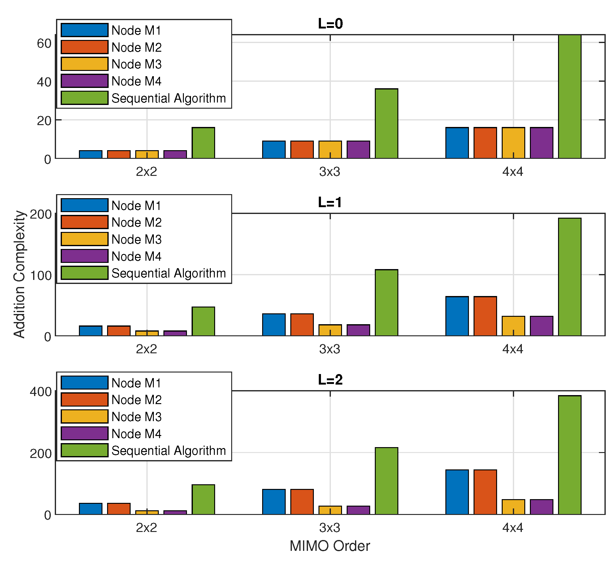
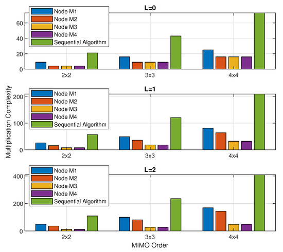
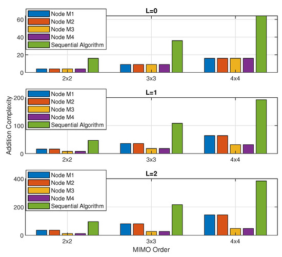
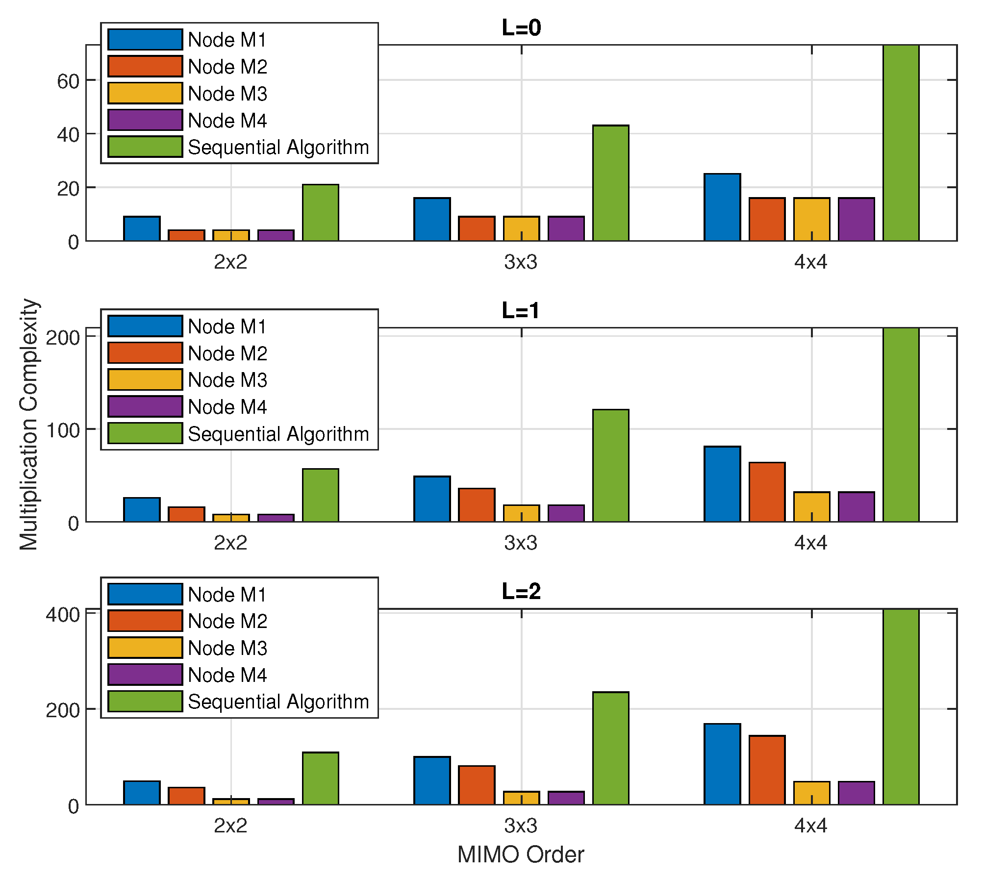
On the other hand, in the PDASP architecture, the node M 1 provides increased computational complexity as compared to the entire nodes in the PDASP architecture; therefore, the node M 1 entails 2 ( N + N L ) 2 multiplications and ( N + N L ) 2 additions at maximum. Likewise, the multiplication and addition complexity with LoS and diffused components for various MIMO systems are shown in Figure 5 and Figure 6, respectively. It can be observed that the maximum computational cost provided by the PDASP architecture is much lesser than that of the sequentially operated MIMO RLS algorithm. Furthermore, the percentage improvement in computational complexity provided by the PDASP architecture is shown in Table 3. It can be visualized that the percentage improvement of more than 50 % in sense of parallelly decreased computational cost shows a superlative enhancement in computational cost of the algorithm as compared to the sequentially operated MIMO RLS algorithm.

5. Measurement Results

In test bed setup, four low-cost wireless sensor nodes from the Arduino platform are used to implement the PDASP architecture. The measurement results are presented by considering various MIMO communication systems with LoS and diffused components. The low-cost wireless sensor nodes, namely NANO, UNO, and MEGA [18], are used to validate the performance of PDASP architecture. The distance among the four senor nodes is set approximately 24 cm from each apart. All the sensor categories (NANO, UNO, and MEGA) have the same processing speed of 16 MH with diverse static random memory specifications of 1, 2, and 8 KBytes, respectively. The communication is being possible among the network nodes by using NORDIC radio NRF24L01 Module [21].
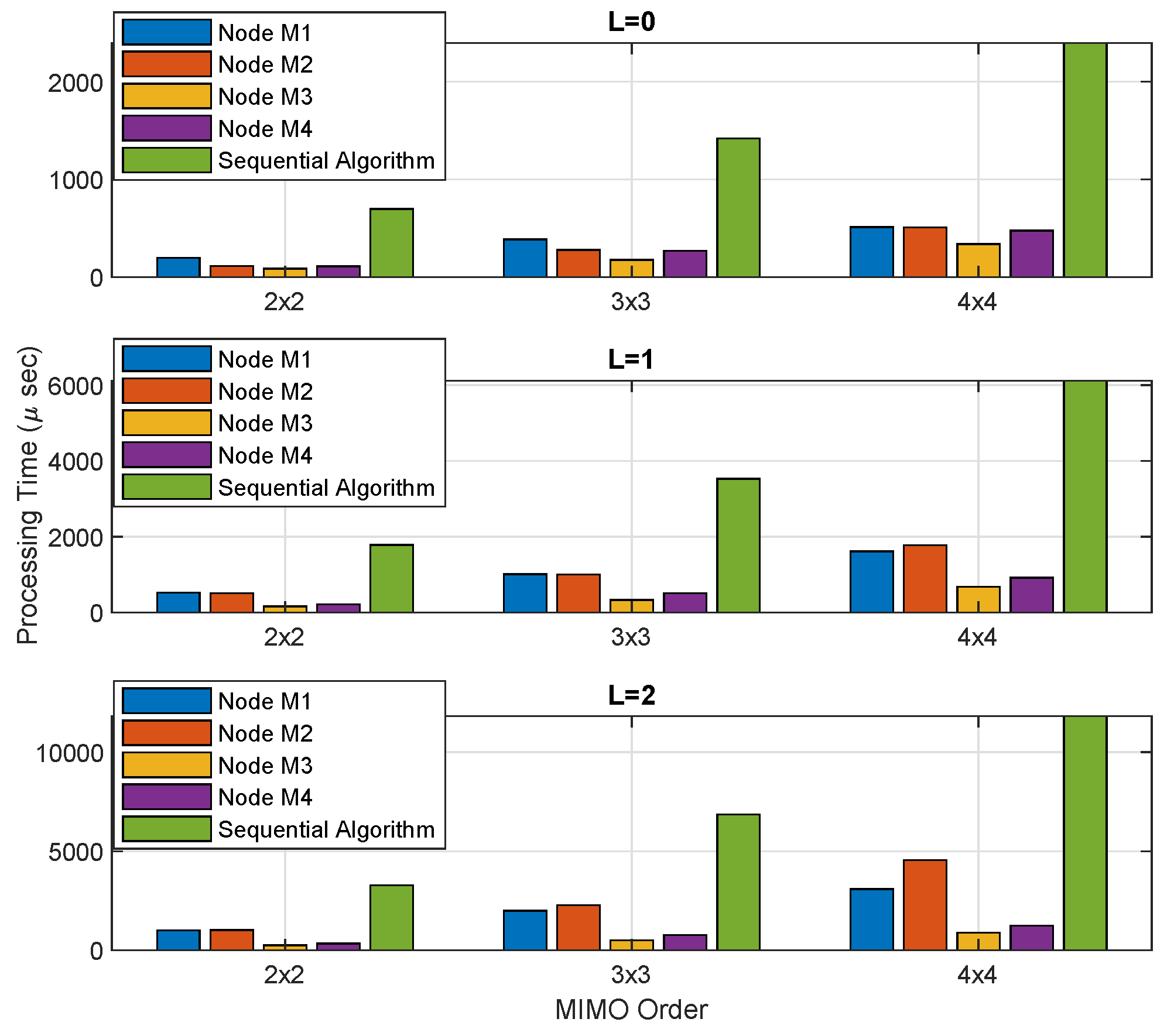
The maximum transmission speed provided by this Module is 2 Mbps at power of 20 dB. The MIMO RLS algorithm is deployed on low-cost wireless sensor nodes to substantiate the validation of the PDASP technique in terms of processing time, computational complexity, and communication burden. The processing time with respect to sequential and PDASP technique relative to each processing node is shown in Figure 7.
It is realized that the processing time obtained by using the PDASP architecture utilizes parallelly less execution time than the sequential RLS filtering algorithm. Furthermore, Table 4 displays the reduction in processing time utilizing the PDASP architecture. It can be realized that the PDASP provides significant improvement in decreased processing time parallelly than that of sequential RLS algorithm which makes a critical impact on the efficiency of the processing device as well as on the low power consumption.
Furthermore, the comparison among the working of low-cost devices and their memory limitations for sequential and distributed MIMO systems with multipath components is shown in Table 5 and Table 6, respectively. It is observed that the distributive strategy effectively runs the sequential algorithm for various MIMO systems with diffused components without showing any complication of memory error. However, among of all three sensor nodes, NANO is still unable to work for the 3 × 3 and 4 × 4 MIMO system with two diffused components because of lesser memory specification. Moreover, the percentage improvement in memory utilization by using the PDASP architecture is shown in Table 7. It can be observed that the PDASP architecture while running the sequential algorithm parallelly on low-cost sensor nodes provides lesser memory utilization in the sense of fetching information from the memory which entails proficient impact on the efficiency of the nodes. Furthermore, the time taken by the PDASP architecture for one iteration with a communication burden is presented in Table 8. It can be realized that the communication time is higher than the MIMO RLS-based sequential processing time, and this communication time can be reduced by using the transceiver with high data rates as compared to NORDIC radio NRF24L01.

6. Conclusions

In this paper, a communication load-balancing procedure is introduced to validate the PDASP architecture for various MIMO streams. The PDASP architecture has been validated in terms of processing time, computational complexity, memory utilization, and communication delay. Processing time and computational complexity using the PDASP architecture both have been compared with the sequentially operated MIMO-based RLS algorithm. It has been realized that the PDASP architecture utilizes less processing time and computational cost than the sequential MIMO-based RLS algorithm. Moreover, the memory utilization in sense of data storing and fetching in memory has also been improved when compared with the sequentially operated MIMO-based RLS algorithm. Furthermore, it has been realized that the communication burden for one complete iteration using the PDASP architecture is higher than the sequential time of the MIMO RLS algorithm and this communication time can be reduced by using a transceiver with higher data rates as compared to the existing NORDIC radio NRF24L01 Module.

Author Contributions

Conceptualization, H.R. and I.A.; methodology, H.R.; validation, H.R., I.A. and N.M.K.; formal analysis, W.A., M.S.A. and M.A.E.-A.; investigation, H.R.; resources, I.A.; data curation, M.S.A.; writing—original draft preparation, H.R., S.A. and N.M.K.; writing—review and editing, W.A., S.A. and M.S.A.; supervision, N.M.K.; funding acquisition, M.S.A. and M.A.E.-A.; Simulations, H.R., S.A. and M.A.E.-A. All authors have read and agreed to the published version of the manuscript.

Funding

The authors would like to acknowledge the support of Prince Sultan University for Article Processing Charges (APC) of this publication.

Institutional Review Board Statement

Not applicable.

Informed Consent Statement

Not applicable.

Data Availability Statement

The raw data supporting the conclusions of this article will be made available by the authors, without undue reservation.

Acknowledgments

The authors would like to acknowledge Prince Sultan University and the EIAS: Data Science and Blockchain Laboratory for their valuable support.

Conflicts of Interest

The authors declare that the research was conducted in the absence of any commercial or financial relationships that could be construed as a potential conflict of interest.

References

  1. Li, X.; Zhao, L.; Yu, K.; Aloqaily, M.; Jararweh, Y. A cooperative resource allocation model for IoT applications in mobile edge computing. Comput. Commun. 2021, 173, 183–191. [Google Scholar] [CrossRef]
  2. Shandil, N.; Dutt, S.; Agrawal, S. Handling the Energy-Delay Trade-off in Wireless Sensor Networks: State-of-the-Art. In Applications of Computing, Automation and Wireless Systems in Electrical Engineering; Springer: Singapore, 2019; pp. 979–986. [Google Scholar]
  3. Sayed, A.H.; Tu, S.Y.; Chen, J.; Zhao, X.; Towfic, Z.J. Diffusion strategies for adaptation and learning over networks: An examination of distributed strategies and network behavior. IEEE Signal Process. Mag. 2013, 30, 155–171. [Google Scholar] [CrossRef]
  4. Shin, J.; Park, B.Y.; Lee, W.I.; Yoo, J. Variable Matrix-Type Step-Size Affine Projection Sign Algorithm for System Identification in the Presence of Impulsive Noise. Symmetry 2022, 14, 1985. [Google Scholar] [CrossRef]
  5. Xia, H.; Chen, F. Filtering-based parameter identification methods for multivariable stochastic systems. Mathematics 2020, 8, 2254. [Google Scholar] [CrossRef]
  6. Li, D.; Wong, K.D.; Hu, Y.H.; Sayeed, A.M. Detection, classification, and tracking of targets. IEEE Signal Process. Mag. 2002, 19, 17–29. [Google Scholar]
  7. Estrin, D.; Girod, L.; Pottie, G.; Srivastava, M. Instrumenting the world with wireless sensor networks. In Proceedings of the 2001 IEEE International Conference on Acoustics, Speech, and Signal Processing (ICASSP), Salt Lake City, UT, USA, 7–11 May 2001. [Google Scholar]
  8. Sayed, A.H.; Lopes, C.G. Distributed recursive least-squares strategies over adaptive networks. In Proceedings of the IEEE Fortieth Asilomar conference on Signals, Systems and Computers (ACSSC), Pacific Grove, CA, USA, 29 October–1 November 2006; pp. 233–237. [Google Scholar]
  9. Jian, J.; Lijuan, J.; Ran, T.; Yue, W. Distributed incremental bias-compensated rls estimation over multi-agent networks. Sci. China Inf. Sci. 2017, 60, 1–15. [Google Scholar]
  10. Li, L.; Chambers, J.A.; Lopes, C.G.; Sayed, A.H. Distributed estimation over an adaptive incremental network based on the affne projection algorithm. IEEE Trans. Signal Process. 2010, 58, 151–164. [Google Scholar] [CrossRef]
  11. Jalali, S.; Nuzman, C.; Sun, Y. Incremental maximum likelihood estimation for efficient adaptive filtering. arXiv 2022, arXiv:2209.01594. [Google Scholar]
  12. Mostafapour, E.; Ghobadi, C.; Nourinia, J.; Amirani, M.C. Tracking performance of incremental LMS algorithm over adaptive distributed sensor networks. arXiv 2021, arXiv:2103.11903. [Google Scholar]
  13. Huang, F.; Zhang, J.; Zhang, S.; Chen, H.; Poor, H.V. Diffusion Bayesian Subband Adaptive Filters for Distributed Estimation Over Sensor Networks. IEEE Trans. Commun. 2021, 69, 6909–6925. [Google Scholar] [CrossRef]
  14. Xu, W.; Zhao, H. Diffusion Constrained Least Mean M-estimate Algorithm for Adaptive Networks. In Proceedings of the 6th International Conference on Digital Signal Processing, Chengdu, China, 25–27 February 2022; pp. 183–186. [Google Scholar]
  15. Zheng, C.; Jia, L.; Yang, Z.J.; Wang, Y. Diffusion Bias-Compensation RLS Estimation Over Noisy Node-Specific Networks. Circuits Syst. Signal Process. 2021, 40, 2564–2583. [Google Scholar] [CrossRef]
  16. Mateos, G.; Schizas, I.D.; Giannakis, G.B. Distributed recursive least squares for consensus-based in-network adaptive estimation. IEEE Trans. Signal Process. 2009, 57, 4583–4588. [Google Scholar] [CrossRef]
  17. Khan, N.M.; Hasan, R. Processing-Efficient Distributed Adaptive RLS Filtering for Computationally Constrained Platforms. Wirel. Commun. Mob. Comput. 2017, 2017, 1248796. [Google Scholar] [CrossRef]
  18. Louis, L. Working principle of Arduino and using IT as a tool for study and research. Int. J. Control. Autom. Commun. Syst. (IJCACS) 2016, 1, 21–29. [Google Scholar] [CrossRef]
  19. Raza, H.; Khan, N.M. Low Complexity Linear Channel Estimation for MIMO Communication Systems. Wirel. Pers. Commun. 2017, 97, 5031–5044. [Google Scholar] [CrossRef]
  20. Haykin, S. Adaptive Filter Theory, 4th ed.; Prentice-Hall: Englewood Cliffs, NJ, USA, 2002. [Google Scholar]
  21. Sonavane, S.S.; Patil, B.P.; Kumar, V. Experimentation for packet loss on MSP430 and nRF24L01 based wireless sensor network. Int. J. Adv. Netw. Appl. 2017, 8, 25–29. [Google Scholar]
Figure 1. Diffused Component-based 2 × 2 MIMO Communication System.
Figure 1. Diffused Component-based 2 × 2 MIMO Communication System.
Mathematics 10 04600 g001
Figure 2. PDASP architecture for low-complexity MIMO channel estimator with non-aligned time indexes [17].
Figure 2. PDASP architecture for low-complexity MIMO channel estimator with non-aligned time indexes [17].
Mathematics 10 04600 g002
Figure 3. Working procedure of low complexity MIMO Algorithm (a). Sequential procedure (b). Parallel working procedure.
Figure 3. Working procedure of low complexity MIMO Algorithm (a). Sequential procedure (b). Parallel working procedure.
Mathematics 10 04600 g003
Figure 4. Working procedure for the transmission of data over PDASP architecture.
Figure 4. Working procedure for the transmission of data over PDASP architecture.
Mathematics 10 04600 g004
Figure 5. Sequential and Distributed Multiplication Complexity for Various MIMO Systems with LoS and Diffused Components.
Figure 5. Sequential and Distributed Multiplication Complexity for Various MIMO Systems with LoS and Diffused Components.
Mathematics 10 04600 g005
Figure 6. Sequential and Distributed Addition Complexity for Various MIMO Systems with LoS and Diffused Components.
Figure 6. Sequential and Distributed Addition Complexity for Various MIMO Systems with LoS and Diffused Components.
Mathematics 10 04600 g006
Figure 7. Sequential and Distributed Processing Time in μsec for Various MIMO Systems with LoS and Diffused Components.
Figure 7. Sequential and Distributed Processing Time in μsec for Various MIMO Systems with LoS and Diffused Components.
Mathematics 10 04600 g007
Table 1. Dimensions of MIMO Channel Matrix for Various Multipath Components.
Table 1. Dimensions of MIMO Channel Matrix for Various Multipath Components.
Multipath Components 2 × 2 MIMO 3 × 3 MIMO 4 × 4 MIMO
L = 0 2 × 2 3 × 3 4 × 4
L = 1 2 × 4 3 × 6 4 × 8
L = 2 2 × 6 3 × 9 4 × 12
L = 3 2 × 8 3 × 12 4 × 16
Table 2. Step-by-Step Computational Complexity of MIMO RLS Algorithm.
Table 2. Step-by-Step Computational Complexity of MIMO RLS Algorithm.
Algorithm PartMultiplication ComplexityAddition Complexity
Ψ k 2 ( N + N L ) 2   ( N + N L ) 2
g k ( N + N L ) 2 + N L + 1 ( N + N L ) 2 N
e k N 2 ( L + 1 ) N 2 ( L + 1 )
W k N 2 ( L + 1 ) N 2 ( L + 1 )
Table 3. Percentage Improvement in Multiplication and Addition Complexity for Various MIMO Systems.
Table 3. Percentage Improvement in Multiplication and Addition Complexity for Various MIMO Systems.
ComplexityDiffused Components 2 × 2 MIMO 3 × 3 MIMO 4 × 4 MIMO
Multiplication Complexity L = 0 57.14%62.79%65.75%
Multiplication Complexity L = 1 56.14%59.50%61.24%
Multiplication Complexity L = 2 55.04%57.44%58.70%
Addition Complexity L = 0 75.00%75.00%75.00%
Addition Complexity L = 1 66.66%66.66%66.66%
Addition Complexity L = 2 62.50%62.50%62.50%
Table 4. Percentage Improvement in Processing Time for Various MIMO communication Systems Using PDASP architecture.
Table 4. Percentage Improvement in Processing Time for Various MIMO communication Systems Using PDASP architecture.
Diffused Components 2 × 2 MIMO 3 × 3 MIMO 4 × 4 MIMO
L = 0 71.84%75.49%78.63%
L = 1 70.56%71.46%71.02%
L = 2 68.82%66.90%61.54%
Table 5. Sequential Memory Limitation Comparison on Various MIMO Systems with Multipath Components.
Table 5. Sequential Memory Limitation Comparison on Various MIMO Systems with Multipath Components.
Aurdino PlatformMultipath Components 2 × 2 MIMO 3 × 3 MIMO 4 × 4 MIMO
NANO L = 0 WorkingWorkingWorking
UNO L = 0 WorkingWorkingWorking
MEGA L = 0 WorkingWorkingWorking
NANO L = 1 WorkingMemory ErrorMemory Error
UNO L = 1 WorkingWorkingMemory Error
MEGA L = 1 WorkingWorkingWorking
NANO L = 2 Memory ErrorMemory ErrorMemory Error
UNO L = 2 WorkingMemory ErrorMemory Error
MEGA L = 2 WorkingWorkingWorking
Table 6. Distributed Memory Limitation Comparison for Various MIMO Systems with Multipath Components.
Table 6. Distributed Memory Limitation Comparison for Various MIMO Systems with Multipath Components.
Aurdino PlatformMultipath Components 2 × 2 MIMO 3 × 3 MIMO 4 × 4 MIMO
NANO L = 0 WorkingWorkingWorking
UNO L = 0 WorkingWorkingWorking
MEGA L = 0 workingWorkingWorking
NANO L = 1 WorkingWorkingWorking
UNO L = 1 WorkingWorkingWorking
MEGA L = 1 WorkingWorkingWorking
NANO L = 2 WorkingMemory ErrorMemory Error
UNO L = 2 WorkingWorkingWorking
MEGA L = 2 WorkingWorkingWorking
Table 7. Percentage Improvement in Memory Utilization Using PDASP Architecture.
Table 7. Percentage Improvement in Memory Utilization Using PDASP Architecture.
Processing TimeDiffused Components 2 × 2 MIMO 3 × 3 MIMO 4 × 4 MIMO
Sequential Algorithm L = 0 6961420 2396
Combined Time ( M 1 , S 1 , S 2 , S 3 ) L = 0 50010681832
Percentage Improvement L = 0 28.16%24.78%23.53%
Sequential Algorithm L = 1 17803532 6116
Combined Time ( M 1 , S 1 , S 2 , S 3 ) L = 1 14082848 4984
Percentage Improvement L = 1 20.89%19.36%18.50%
Sequential Algorithm L = 2 3272685211816
Combined Time ( M 1 , S 1 , S 2 , S 3 ) L = 2 26045536 9740
Percentage Improvement L = 2 20.41%19.20%17.56%
Table 8. Maximum Time Taken for One Complete Iteration Using PDASP Architecture for Various MIMO Systems.
Table 8. Maximum Time Taken for One Complete Iteration Using PDASP Architecture for Various MIMO Systems.
Diffused Components 2 × 2 MIMO 3 × 3 MIMO 4 × 4 MIMO
L = 0 9520 μs11,449 μs1533 μs
L = 1 16,934 μs26,320 μs38,986 μs
L = 2 27,143 μs43,380 μs66,898 μs
Publisher’s Note: MDPI stays neutral with regard to jurisdictional claims in published maps and institutional affiliations.

Share and Cite

MDPI and ACS Style

Raza, H.; Ahmad, I.; Khan, N.M.; Abbasi, W.; Anwar, M.S.; Ahmad, S.; El-Affendi, M.A. Validation of Parallel Distributed Adaptive Signal Processing (PDASP) Framework through Processing-Inefficient Low-Cost Platforms. Mathematics 2022, 10, 4600. https://doi.org/10.3390/math10234600

AMA Style

Raza H, Ahmad I, Khan NM, Abbasi W, Anwar MS, Ahmad S, El-Affendi MA. Validation of Parallel Distributed Adaptive Signal Processing (PDASP) Framework through Processing-Inefficient Low-Cost Platforms. Mathematics. 2022; 10(23):4600. https://doi.org/10.3390/math10234600

Chicago/Turabian Style

Raza, Hasan, Ishtiaq Ahmad, Noor M. Khan, Waseem Abbasi, Muhammad Shahid Anwar, Sadique Ahmad, and Mohammed A. El-Affendi. 2022. "Validation of Parallel Distributed Adaptive Signal Processing (PDASP) Framework through Processing-Inefficient Low-Cost Platforms" Mathematics 10, no. 23: 4600. https://doi.org/10.3390/math10234600

APA Style

Raza, H., Ahmad, I., Khan, N. M., Abbasi, W., Anwar, M. S., Ahmad, S., & El-Affendi, M. A. (2022). Validation of Parallel Distributed Adaptive Signal Processing (PDASP) Framework through Processing-Inefficient Low-Cost Platforms. Mathematics, 10(23), 4600. https://doi.org/10.3390/math10234600

Note that from the first issue of 2016, this journal uses article numbers instead of page numbers. See further details here.

Article Metrics

Back to TopTop