Sign in to use this feature.

Years

Between: -

Subjects

remove_circle_outline
remove_circle_outline
remove_circle_outline
remove_circle_outline
remove_circle_outline
remove_circle_outline
remove_circle_outline
remove_circle_outline
remove_circle_outline

Journals

remove_circle_outline
remove_circle_outline
remove_circle_outline
remove_circle_outline
remove_circle_outline
remove_circle_outline

Article Types

Countries / Regions

remove_circle_outline
remove_circle_outline
remove_circle_outline
remove_circle_outline
remove_circle_outline

Search Results (652)

Search Parameters:
Keywords = displacement time series

Order results
Result details
Results per page
Select all
Export citation of selected articles as:
25 pages, 6269 KB  
Article
A Hybrid Framework Integrating Past Decomposable Mixing and Inverted Transformer for GNSS-Based Landslide Displacement Prediction
by Jinhua Wu, Chengdu Cao, Liang Fei, Xiangyang Han, Yuli Wang and Ting On Chan
Sensors 2025, 25(19), 6041; https://doi.org/10.3390/s25196041 - 1 Oct 2025
Abstract
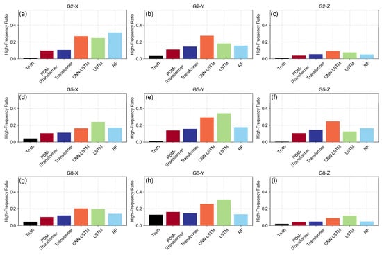
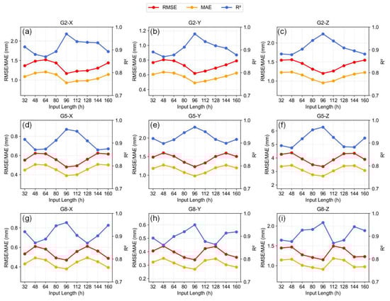
Landslide displacement prediction is vital for geohazard early warning and infrastructure safety. To address the challenges of modeling nonstationary, nonlinear, and multiscale behaviors inherent in GNSS time series, this study proposes a hybrid predicting framework that integrates Past Decomposable Mixing with an inverted [...] Read more.
Landslide displacement prediction is vital for geohazard early warning and infrastructure safety. To address the challenges of modeling nonstationary, nonlinear, and multiscale behaviors inherent in GNSS time series, this study proposes a hybrid predicting framework that integrates Past Decomposable Mixing with an inverted Transformer architecture (PDM-iTransformer). The PDM module decomposes the original sequence into multi-resolution trend and seasonal components, using structured bottom-up and top-down mixing strategies to enhance feature representation. The iTransformer then models each variable’s time series independently, applying cross-variable self-attention to capture latent dependencies and using feed-forward networks to extract local dynamic features. This design enables simultaneous modeling of long-term trends and short-term fluctuations. Experimental results on GNSS monitoring data demonstrate that the proposed method significantly outperforms traditional models, with R2 increased by 16.2–48.3% and RMSE and MAE reduced by up to 1.33 mm and 1.08 mm, respectively. These findings validate the framework’s effectiveness and robustness in predicting landslide displacement under complex terrain conditions. Full article
(This article belongs to the Special Issue Structural Health Monitoring and Smart Disaster Prevention)
Show Figures

Figure 1

15 pages, 14032 KB  
Article
Preliminary Study on the Activity of the Rupture Zone in the Eastern Segment of the Ba Co Fault in Ngari Prefecture, Tibet
by Yunsheng Yao, Yanxiu Shao and Bo Zhang
Geosciences 2025, 15(10), 377; https://doi.org/10.3390/geosciences15100377 - 1 Oct 2025
Abstract
The lack of research on the slip behavior of the NW-trending faults in the central Tibetan Plateau constrains our understanding of the deformation models for this region. The Ba Co Fault, located in the central Tibetan Plateau, is a NW–SE-trending right-lateral strike-slip fault. [...] Read more.
The lack of research on the slip behavior of the NW-trending faults in the central Tibetan Plateau constrains our understanding of the deformation models for this region. The Ba Co Fault, located in the central Tibetan Plateau, is a NW–SE-trending right-lateral strike-slip fault. Its eastern section has been active in the Holocene and plays an important accommodating role in the northward compression and east–west extension of the Tibetan Plateau. This study presents a detailed analysis of the geomorphic features of the eastern section of the Ba Co Fault in the Ngari Prefecture of Tibet, precisely measuring the newly discovered surface rupture zone on its eastern side and preliminarily discussing the activity of the fault based on the optically stimulated luminescence (OSL) dating results. The results reveal that the eastern segment of the Ba Co Fault displays geomorphic evidence of offset, including displaced Holocene alluvial–fluvial fans at the mountain front and partially offset ridges. A series of pressure ridges, trenches, counter-slope scarps, and shutter ridge ponds have developed along the fault trace. Some gullies exhibit a cumulative dextral displacement of approximately 16–52 m. The newly discovered co-seismic surface rupture zone extends for a total length of ~21 km, with a width ranging from 30 to 102 m. Pressure ridges within the rupture zone reach heights of 0.3–5.5 m, while trenches exhibit depths of 0.6–15 m. Optically stimulated luminescence (OSL) dating constrains the timing of the surface-rupturing earthquake to after 5.73 ± 0.17 ka. The eastern segment of the Ba Co Fault experienced a NW-trending compressional deformation regime during the Holocene, manifesting as a transpressional dextral strike-slip fault. Magnitude estimation indicates that this segment possesses the potential to generate earthquakes of M ≥ 6. The regional tectonic analysis indicates that the activity of the eastern section of the Ba Co Fault is related to the shear model of the conjugate strike-slip fault zone in the central Tibetan Plateau and may play a boundary role between different shear zones. Full article
Show Figures

Figure 1

18 pages, 2673 KB  
Article
Thermo-Mechanical Approach to Material Extrusion Process During Fused Filament Fabrication of Polymeric Samples
by Mahmoud M. Farh and Viktor Gribniak
Materials 2025, 18(19), 4537; https://doi.org/10.3390/ma18194537 - 29 Sep 2025
Abstract
While material extrusion via fused filament fabrication (FFF) offers design flexibility and rapid prototyping, its practical use in engineering is limited by mechanical challenges, including residual stresses, geometric distortions, and potential interlayer debonding. These issues arise from the dynamic thermal profiles during FFF, [...] Read more.
While material extrusion via fused filament fabrication (FFF) offers design flexibility and rapid prototyping, its practical use in engineering is limited by mechanical challenges, including residual stresses, geometric distortions, and potential interlayer debonding. These issues arise from the dynamic thermal profiles during FFF, including temperature gradients, non-uniform hardening, and rapid thermal cycling, which lead to uneven internal stress development depending on fabrication parameters and object topology. These problems can compromise the structural integrity and mechanical properties of FFF parts, especially when the load-bearing capacity and geometric accuracy are critical. This study focuses on polylactic acid (PLA) due to its widespread application in engineering. It introduces a computational framework for coupled thermo-mechanical simulations of the FFF process using ABAQUS (Version 2020) finite element software. A key innovation is an automated subroutine that converts G-code into a time-resolved event series for finite element activation. The simulation framework explicitly models the sequential stages of printing, cooling, and detachment, enabling prediction of adhesive loss and post-process warpage. A transient thermal model evaluates the temperature distribution during FFF, providing boundary conditions for a mechanical simulation that predicts residual stresses and warping. Uniquely, the proposed model incorporates the detachment stage, enabling a more realistic and experimentally validated prediction of warpage and residual stress release in FFF-fabricated components. Although the average deviation between predicted and measured displacements is about 10.6%, the simulation adequately reflects the spatial distribution and magnitude of warpage, confirming its practical usefulness for process optimization and design validation. Full article
(This article belongs to the Section Manufacturing Processes and Systems)
Show Figures

Graphical abstract

27 pages, 10626 KB  
Article
Meshless Time–Frequency Stochastic Dynamic Analysis for Sandwich Trapezoidal Plate–Shell Coupled Systems in Supersonic Airflow
by Ningze Sun, Guohua Gao, Dong Shao and Weige Liang
Aerospace 2025, 12(10), 880; https://doi.org/10.3390/aerospace12100880 - 29 Sep 2025
Abstract
In this paper, a full-domain stochastic response analysis is performed based on the meshless method to reveal the time–frequency dynamic characteristics, including the power spectral density (PSD) responses in the frequency domain and the evolving PSD distribution in the time domain for a [...] Read more.
In this paper, a full-domain stochastic response analysis is performed based on the meshless method to reveal the time–frequency dynamic characteristics, including the power spectral density (PSD) responses in the frequency domain and the evolving PSD distribution in the time domain for a sandwich trapezoidal plate–shell coupled system. The general governing equations are derived based on the first-order shear deformation theory (FSDT), linear piston theory and Hamilton’s principle, and the stochastic excitation is integrated into the meshless framework based on the pseudo-excitation method (PEM). By constructing the meshless shape function covering the entire structural domain from Chebyshev polynomials and discretizing the continuous domain into a series of nodes within a square definition domain, the points are assembled according to the sequence number and the equilibrium relationship on the coupling edge to obtain the overall vibration equations. The validity is demonstrated by matching the mode shapes, PSD responses, time history displacement and critical flutter boundaries with FEM simulation and reported data. Finally, the time–frequency characteristics of each substructure under global and single stochastic excitation, and the effect of aerodynamic pressure on full-domain stochastic vibration, are revealed. Full article
(This article belongs to the Section Aeronautics)
Show Figures

Figure 1

23 pages, 15037 KB  
Article
Campi Flegrei and Vesuvio, Italy: Ground Deformation Between ERS/ENVISAT and Sentinel-1 Missions from RADARSAT-2 Imagery
by Antonella Amoruso, Giada Salicone and Luca Crescentini
Remote Sens. 2025, 17(19), 3268; https://doi.org/10.3390/rs17193268 - 23 Sep 2025
Viewed by 100
Abstract
The area encompassing the Campi Flegrei and Vesuvio volcanoes, situated approximately 25 km apart and bisected by the city of Naples, Italy, is recognised as one of the most hazardous regions globally. In recent decades, the Campi Flegrei caldera has undergone significant changes [...] Read more.
The area encompassing the Campi Flegrei and Vesuvio volcanoes, situated approximately 25 km apart and bisected by the city of Naples, Italy, is recognised as one of the most hazardous regions globally. In recent decades, the Campi Flegrei caldera has undergone significant changes in its monitored geophysical, geochemical and geodetical signals. The most recent, ongoing unrest began in 2005, resulting in an uplift of over 150 centimetres in the area of maximum uplift. Previous analyses of deformation data from ERS/ENVISAT (available up to 2010) and Sentinel-1 (available since 2015) Synthetic Aperture Radar (SAR) imagery, as well as global navigation satellite system data, have suggested that the shape of the deformation field at Campi Flegrei has remained constant and that the area around Vesuvio experienced a slight subsidence in the early 2000s, concurrently with a change in the sign of the ground deformation (from subsidence to uplift) at Campi Flegrei. This study presents and provides the ground displacement time series obtained from RADARSAT-2 images of the entire volcanic area from 2010 to 2015, thus filling the temporal gap between the ERS/ENVISAT and Sentinel-1 missions. The time series were generated using a bespoke procedure, based on the Sentinel Application Platform and the GMTSAR software. The validity of the displacement time series has been confirmed through comparison with continuous Global Positioning System data from the Neapolitan Volcanoes Continuous GPS network. Analysis of RADARSAT-2 ground displacements indicates that velocities in the vicinity of Vesuvio were no greater than a few millimetres per year, and no discernible deformation pattern is evident. Consequently, given the uncertainty in Differential Interferometry Synthetic Aperture Radar (DInSAR) measurements, there is no evidence to suggest deformation activity close to Vesuvio between 2010 and 2015. In contrast to Vesuvio, significant deformation is evident in the Campi Flegrei area. The shape of the ground displacement field remained constant between 2010 and 2015, within the uncertainty of DInSAR measurements. The mean upward velocity reaches a maximum of approximately 5 cm y−1, while the mean eastward velocity reaches 2.4 cm y−1. Full article
(This article belongs to the Section Remote Sensing in Geology, Geomorphology and Hydrology)
Show Figures

Figure 1

27 pages, 18931 KB  
Article
Improving Atmospheric Noise Correction from InSAR Time Series Using Variational Autoencoder with Clustering (VAE-Clustering) Method
by Binayak Ghosh, Mahdi Motagh, Mohammad Ali Anvari and Setareh Maghsudi
Remote Sens. 2025, 17(18), 3189; https://doi.org/10.3390/rs17183189 - 15 Sep 2025
Viewed by 397
Abstract
Accurate ground deformation monitoring with interferometric synthetic aperture radar (InSAR) is often hindered by tropospheric delays caused by atmospheric pressure, temperature, and water vapor variations. While models such as ERA5 (European Centre for Medium-Range Weather Forecasts Reanalysis v5) provide first-order corrections, they often [...] Read more.
Accurate ground deformation monitoring with interferometric synthetic aperture radar (InSAR) is often hindered by tropospheric delays caused by atmospheric pressure, temperature, and water vapor variations. While models such as ERA5 (European Centre for Medium-Range Weather Forecasts Reanalysis v5) provide first-order corrections, they often leave residual errors dominated by small-scale turbulent effects. To address this, we present a novel variational autoencoder with clustering (VAE-clustering) approach that performs unsupervised separation of atmospheric and deformation signals, followed by noise component removal via density-based clustering. The method is integrated into the MintPy pipeline for automated velocity and displacement time-series retrieval. We evaluate our approach on Sentinel-1 interferograms from three case studies: (1) land subsidence in Mashhad, Iran (2015–2022), (2) land subsidence in Tehran, Iran (2018–2021), and (3) postseismic deformation after the 2021 Acapulco earthquake. Across all cases, the method reduced the velocity standard deviation by approximately 70% compared to the ERA5 corrections, leading to more reliable displacement estimates. These results demonstrate that VAE-clustering can effectively mitigate residual tropospheric noise, improving the accuracy of large-scale InSAR time-series analyses for geohazard monitoring and related applications. Full article
Show Figures

Figure 1

26 pages, 3081 KB  
Article
Wheel–Rail Vertical Vibration Due to Random Roughness in the Presence of the Rail Dampers with Mixed Damping System
by Traian Mazilu, Dorina Fologea and Marius-Alin Gheți
Appl. Sci. 2025, 15(18), 10027; https://doi.org/10.3390/app151810027 - 13 Sep 2025
Viewed by 290
Abstract
In this paper, the vibration of a wheel running on a light rail equipped with rail dampers that use a mixed damping system (rubber–oil) is investigated under the excitation of random roughness on the rolling surfaces, to demonstrate the influence of such rail [...] Read more.
In this paper, the vibration of a wheel running on a light rail equipped with rail dampers that use a mixed damping system (rubber–oil) is investigated under the excitation of random roughness on the rolling surfaces, to demonstrate the influence of such rail dampers on the dynamic behaviour at the wheel–rail interface. For this purpose, a model is adopted in which a rigid wheel moves at constant speed over a rail modelled as an infinite Timoshenko beam, supported by elastic foundations with an internal degree of freedom that represents the behaviour of the rail pads, sleepers, and ballast. The rail dampers are represented as two-mass oscillators, while the internal friction in the elastic components of the wheel–rail system is modelled using hysteretic damping. To obtain the time series of the rail and wheel displacements, as well as the wheel–rail contact force, the convolution theorem is applied in a heuristic manner, making use of the relationship between Green’s functions in the time and frequency domains through direct and inverse Fourier transforms. The results show that (a) rail dampers primarily affect rail dynamics and the wheel–rail contact force over a relatively wide frequency range, while having little influence on wheel motion; (b) rail dampers are highly effective in reducing rail vibration and the wheel–rail contact force when the rail pads are stiff, but considerably less effective when soft rail pads are used; and (c) they may slightly amplify the contact force at the lower edge of their effective frequency range. Full article
Show Figures

Figure 1

37 pages, 943 KB  
Article
Electromagnetism in Linear, Homogeneous and Isotropic Materials: The Analogy Between Electricity and Magnetism in the Susceptibility and Polarization
by Dimosthenis Stamopoulos
Materials 2025, 18(18), 4282; https://doi.org/10.3390/ma18184282 - 12 Sep 2025
Viewed by 259
Abstract
Through the years, the asymmetry in the constitutive relations that define the electric and magnetic polarization, P and M, respectively, by the relevant vector field, E and H, has been imprinted, rather arbitrarily, in Maxwell’s equations. Accordingly, in linear, homogeneous, and [...] Read more.
Through the years, the asymmetry in the constitutive relations that define the electric and magnetic polarization, P and M, respectively, by the relevant vector field, E and H, has been imprinted, rather arbitrarily, in Maxwell’s equations. Accordingly, in linear, homogeneous, and isotropic (LHI) materials, the electric and magnetic polarization are defined via P = χeε0E (‘P-E, χe’ formulation; 0 ≤ χe < ∞) and M = χmH (‘M-H, χm’ formulation; −1 ≤ χm < ∞), respectively. Recently, the constitutive relation of the polarization was revisited in LHI dielectrics by introducing an electric susceptibility, χε, which couples linearly the reverse polarization, P~ = −P, with the electric displacement D through P~ = χεD (‘P-D, χε’ formulation; −1 ≤ χε ≤ 0). Here, the ‘P-D, χε’ formulation is generalized for the time-dependent case. It is documented that the susceptibility and polarization of LHI dielectric and magnetic materials can be described by the ‘P-D, χε’ and ‘M-H, χm’ formulation, respectively, on a common basis. To this end, the depolarizing effect is taken into account, which unavoidably emerges in realistic specimens of limited size, by introducing a series scheme to describe the evolution of polarization and calculate the extrinsic susceptibility. The engagement of the depolarizing factor N (0 ≤ N≤ 1) with the accompanying convergence conditions dictates that the intrinsic susceptibility of LHI materials, whether electric or magnetic, should range within [−1, 1]. The ‘P-D, χε’ and ‘M-H, χm’ formulations conform with this expectation, while the ‘P-E, χe’ does not. Remarkably, Maxwell’s equations are unaltered by the ‘P-D, χε’ formulation. Thus, all time-dependent processes of electromagnetism described by the standard ‘P-E, χe’ approach, are reproduced equivalently, or even advantageously, by the alternative ‘P-D, χε’ formulation. Full article
(This article belongs to the Section Materials Physics)
Show Figures

Figure 1

10 pages, 936 KB  
Article
Prosthetic Hip Infection Secondary to Morganella morganii: A Rare, Morbid Condition
by Ahmed Nageeb Mahmoud, Alejandro Ordas-Bayon, Desirée Gijón-Cordero, John Paul Prodoehl, Juan David Bernate, Gabriel Makar, Michael Suk and Daniel S. Horwitz
Osteology 2025, 5(3), 27; https://doi.org/10.3390/osteology5030027 - 10 Sep 2025
Viewed by 270
Abstract
Background/Objectives: Periprosthetic joint infection (PJI) is a challenging problem in orthopedic surgery and is often associated with high morbidity. The treatment becomes even more challenging whenever the microorganism is virulent and/or not widely known as a causative organism on these occasions. This study [...] Read more.
Background/Objectives: Periprosthetic joint infection (PJI) is a challenging problem in orthopedic surgery and is often associated with high morbidity. The treatment becomes even more challenging whenever the microorganism is virulent and/or not widely known as a causative organism on these occasions. This study aims to report on the clinical outcomes of hip hemiarthroplasty prosthetic hip joint infection by an atypical, rare microorganism, Morganella morganii (M. morganii), focusing on morbidity, revisions, and mortality. Methods: This is a retrospective series of four cases of prosthetic joint infections with Morganella morganii, a rare Gram-negative opportunistic facultative anaerobic pathogen, in four patients who received hip hemiarthroplasty for displaced femoral neck fractures at a level 1 trauma center. Clinical notes, laboratory findings, and radiographs were reviewed to extract relevant information regarding the history and outcomes. Results: The patients were four females, with a mean age of 84.27 years at the time of surgery. Two cases (50%) underwent surgical debridement and implant retention, followed by lifelong antibiotic suppression for symptomatic control of persistent wound drainage, and the other two underwent implant removal and resection arthroplasty (one patient) or received an antibiotic spacer (one patient), followed by chronic antibiotic therapy until wound closure. Conclusions: Periprosthetic hemiarthroplasty infection secondary to M. morganii was associated with overall poor outcomes. Antibiotic suppression could be a reasonable option after the surgical debridement or implant removal in M. morganii PJI to control the symptoms. Full article
Show Figures

Figure 1

34 pages, 7241 KB  
Article
An Efficient Uncertainty Quantification Approach for Robust Design of Tuned Mass Dampers in Linear Structural Dynamics
by Thomas Most, Volkmar Zabel, Rohan Raj Das and Abridhi Khadka
Appl. Sci. 2025, 15(17), 9329; https://doi.org/10.3390/app15179329 - 25 Aug 2025
Viewed by 577
Abstract
The application of tuned mass dampers (TMDs) to high-rise buildings or slender bridges can significantly decrease the dynamical vibrations due to external excitation, such as wind or earthquake loads. However, the individual properties of a TMD such as mass, stiffness and damping have [...] Read more.
The application of tuned mass dampers (TMDs) to high-rise buildings or slender bridges can significantly decrease the dynamical vibrations due to external excitation, such as wind or earthquake loads. However, the individual properties of a TMD such as mass, stiffness and damping have to be designed carefully with respect to the dynamical properties of the investigated structure. In real-world structures, the influence of uncertain system properties might be critical for the performance of a TMD and thus the whole structure. Therefore, the design under uncertainty of such systems is an important issue, which is addressed in the current paper. For our investigations, we consider linear single-degree-of-freedom (SDOF) systems, where analytical formulas for the deterministic design already exist, and linear multi-degree-of-freedom (MDOF) systems, where a time integration and numerical optimization algorithms are usually applied to obtain the optimal TMD parameters. If the numerical optimization should be coupled with a sampling-based uncertainty quantification method, such as Monte Carlo sampling, the design procedure would require the evaluation of a coupled double-loop approach, which is very demanding from the computation point of view. Therefore, we focus the following paper on an efficient analytical uncertainty quantification approach, which estimates the mean and scatter from a Taylor series expansion. Additionally, we introduce an efficient mode decomposition approach for MDOF systems with multiple TMDs, which estimates the maximum displacements using a modal analysis instead of a demanding time integration. Different optimal design problems are formulated as single- or multi-objective optimization tasks, where the statistical properties of the maximum displacements are considered as safety margins in the optimization goal functions. The application of numerical optimization algorithms is straightforward and not limited to specific algorithms. As numerical examples, we investigate an SDOF system with single TMD and a multi-story frame with multiple TMDs. The presented procedure might be interesting for the design process of structures, where the dynamical vibrations reach a critical threshold. Full article
(This article belongs to the Special Issue Uncertainty and Reliability Analysis for Engineering Systems)
Show Figures

Figure 1

21 pages, 6814 KB  
Article
Urban Land Subsidence Analyzed Through Time-Series InSAR Coupled with Refined Risk Modeling: A Wuhan Case Study
by Lv Zhou, Liqi Liang, Quanyu Chen, Haotian He, Hongming Li, Jie Qin, Fei Yang, Xinyi Li and Jie Bai
ISPRS Int. J. Geo-Inf. 2025, 14(9), 320; https://doi.org/10.3390/ijgi14090320 - 22 Aug 2025
Viewed by 785
Abstract
Due to extensive soft soil and high human activities, Wuhan is a hotspot for land subsidence. This study used the time-series InSAR to calculate the spatial and temporal distribution map of subsidence in Wuhan and analyze the causes of subsidence. An improved fuzzy [...] Read more.
Due to extensive soft soil and high human activities, Wuhan is a hotspot for land subsidence. This study used the time-series InSAR to calculate the spatial and temporal distribution map of subsidence in Wuhan and analyze the causes of subsidence. An improved fuzzy analytic hierarchy process (GD-FAHP) was proposed and integrated with the Entropy Weight Method (EWM) to assess the hazard and vulnerability of land subsidence using multiple evaluation factors, thereby deriving the spatial distribution characteristics of subsidence risk in Wuhan. Results indicated the following: (1) Maximum subsidence rates reached −49 mm/a, with the most severe deformation localized in Hongshan District, exhibiting a cumulative displacement of −135 mm. Comparative validation between InSAR results and leveling was conducted, demonstrating the reliability of InSAR monitoring. (2) Areas with frequent urban construction largely coincided with subsidence locations. In addition, the analysis indicated that rainfall and hydrogeological conditions were also correlated with land subsidence. (3) The proposed risk assessment model effectively identified high-risk areas concentrated in central urban zones, particularly the Hongshan and Wuchang Districts. This research establishes a methodological framework for urban hazard mitigation and provides actionable insights for subsidence risk reduction strategies. Full article
(This article belongs to the Topic Geotechnics for Hazard Mitigation, 2nd Edition)
Show Figures

Figure 1

35 pages, 33285 KB  
Article
Chaotic Vibration Prediction of a Laminated Composite Cantilever Beam Subject to Random Parametric Error
by Lin Sun, Xudong Li and Xiaopei Liu
J. Compos. Sci. 2025, 9(8), 442; https://doi.org/10.3390/jcs9080442 - 17 Aug 2025
Viewed by 437
Abstract
Random parametric errors (RPEs) are introduced into the model establishment of a laminated composite cantilever beam (LCCB) to demonstrate the accuracy and robustness of a recurrent neural network (RNN) in predicting the chaotic vibration of a LCCB, and a comparative analysis of training [...] Read more.
Random parametric errors (RPEs) are introduced into the model establishment of a laminated composite cantilever beam (LCCB) to demonstrate the accuracy and robustness of a recurrent neural network (RNN) in predicting the chaotic vibration of a LCCB, and a comparative analysis of training performance and generalization capability is conducted with a convolutional neural network (CNN). In the process of dynamic modeling, the nonlinear dynamic system of a LCCB is established by considering RPEs. The displacement and velocity time series obtained from numerical simulation are used to train and test the RNN model. The RNN model converts the original data into a multi-step supervised learning format and normalizes it using the MinMaxScaler method. The prediction performance is comprehensively evaluated through three performance indicators: coefficient of determination (R2), mean absolute error (MAE), and root mean square error (RMSE). The results show that, under the condition of introducing RPEs, the RNN model still exhibits high prediction accuracy, with the maximum R2 reaching 0.999984548634328, the maximum MAE being 0.075, and the maximum RMSE being 0.121. Furthermore, performing predictions at the free end of the LCCB verifies the applicability and robustness of the RNN model with respect to spatial position variations. These results fully demonstrate the accuracy and robustness of the RNN model in predicting the chaotic vibration of a LCCB. Full article
Show Figures

Figure 1

15 pages, 2066 KB  
Article
Multifractal Nonlinearity in Behavior During a Computer Task with Increasing Difficulty: What Does It Teach Us?
by Alix Bouni, Laurent M. Arsac, Olivier Chevalerias and Veronique Deschodt-Arsac
Entropy 2025, 27(8), 843; https://doi.org/10.3390/e27080843 - 8 Aug 2025
Viewed by 591
Abstract
The complex systems approach to cognitive–motor processing values multifractal nonlinearity as a key formalism in understanding internal interactions across multiple scales that preserve adequate task-directed behaviors. By using a computer task with increasing difficulty, we focused on the potential link between the difficulty [...] Read more.
The complex systems approach to cognitive–motor processing values multifractal nonlinearity as a key formalism in understanding internal interactions across multiple scales that preserve adequate task-directed behaviors. By using a computer task with increasing difficulty, we focused on the potential link between the difficulty threshold during a task, assessed by the individual’s score ceiling, and the corresponding level of multifractal nonlinearity in movement behavior, assessed based on a time series of cursor displacements. Entropy-based multifractality (MF) and multifractal nonlinearity obtained using a t-test comparison between the original and linearized surrogate series (tMF) of the time series characterized individual adaptive capacity. A time-varying increase in the score helped in assessing performance when facing increasing difficulty. Twenty-one participants performed a herding task (7 min), which involves keeping three moving sheep near the center of a screen by controlling the mouse pointer as a repelling shepherd dog. The more the score increased, the more the increased herd movement amplitude amplified task difficulty. The time course of the score, score dynamics (score-dyn), markedly diverged across participants, exhibiting a ceiling effect in some during the last third of the task (phase 3). This observation led us to arbitrarily distinguish three phases of the same duration and focus on phase 3, where marked differences in score-dyn emerged. Hierarchical clustering of principal components, starting with principal component analysis, identified three clusters among the participants: cluster 1 was defined by an underrepresentation of score-dyn, MF, and tMF; cluster 2 was defined by an overrepresentation of MF; and, as a critical outcome, cluster 3 was defined by an overrepresentation of score-dyn and tMF. Accordingly, participants belonging to cluster 3 had the highest score-dyn and tMF. Our interpretative hypothesis is that internal interactions that adequately perform the task are reflected in a high degree of multifractal nonlinearity. These findings extend the notion that multifractal nonlinearity is a useful conceptual framework for shedding light on adaptive behavior during complex tasks. Full article
(This article belongs to the Section Complexity)
Show Figures

Figure 1

20 pages, 4782 KB  
Article
Enhanced Spatiotemporal Landslide Displacement Prediction Using Dynamic Graph-Optimized GNSS Monitoring
by Jiangfeng Li, Jiahao Qin, Kaimin Kang, Mingzhi Liang, Kunpeng Liu and Xiaohua Ding
Sensors 2025, 25(15), 4754; https://doi.org/10.3390/s25154754 - 1 Aug 2025
Viewed by 605
Abstract
Landslide displacement prediction is crucial for disaster mitigation, yet traditional methods often fail to capture the complex, non-stationary spatiotemporal dynamics of slope evolution. This study introduces an enhanced prediction framework that integrates multi-scale signal processing with dynamic, geology-aware graph modeling. The proposed methodology [...] Read more.
Landslide displacement prediction is crucial for disaster mitigation, yet traditional methods often fail to capture the complex, non-stationary spatiotemporal dynamics of slope evolution. This study introduces an enhanced prediction framework that integrates multi-scale signal processing with dynamic, geology-aware graph modeling. The proposed methodology first employs the Maximum Overlap Discrete Wavelet Transform (MODWT) to denoise raw Global Navigation Satellite System (GNSS)-monitored displacement time series data, enhancing the underlying deformation features. Subsequently, a geology-aware graph is constructed, using the temporal correlation of displacement series as a practical proxy for physical relatedness between monitoring nodes. The framework’s core innovation lies in a dynamic graph optimization model with low-rank constraints, which adaptively refines the graph topology to reflect time-varying inter-sensor dependencies driven by factors like mining activities. Experiments conducted on a real-world dataset from an active open-pit mine demonstrate the framework’s superior performance. The DCRNN-proposed model achieved the highest accuracy among eight competing models, recording a Root Mean Square Error (RMSE) of 2.773 mm in the Vertical direction, a 39.1% reduction compared to its baseline. This study validates that the proposed dynamic graph optimization approach provides a robust and significantly more accurate solution for landslide prediction in complex, real-world engineering environments. Full article
(This article belongs to the Section Navigation and Positioning)
Show Figures

Figure 1

18 pages, 10854 KB  
Article
A Novel Method for Predicting Landslide-Induced Displacement of Building Monitoring Points Based on Time Convolution and Gaussian Process
by Jianhu Wang, Xianglin Zeng, Yingbo Shi, Jiayi Liu, Liangfu Xie, Yan Xu and Jie Liu
Electronics 2025, 14(15), 3037; https://doi.org/10.3390/electronics14153037 - 30 Jul 2025
Viewed by 351
Abstract
Accurate prediction of landslide-induced displacement is essential for the structural integrity and operational safety of buildings and infrastructure situated in geologically unstable regions. This study introduces a novel hybrid predictive framework that synergistically integrates Gaussian Process Regression (GPR) with Temporal Convolutional Neural Networks [...] Read more.
Accurate prediction of landslide-induced displacement is essential for the structural integrity and operational safety of buildings and infrastructure situated in geologically unstable regions. This study introduces a novel hybrid predictive framework that synergistically integrates Gaussian Process Regression (GPR) with Temporal Convolutional Neural Networks (TCNs), herein referred to as the GTCN model, to forecast displacement at building monitoring points subject to landslide activity. The proposed methodology is validated using time-series monitoring data collected from the slope adjacent to the Zhongliang Reservoir in Wuxi County, Chongqing, an area where slope instability poses a significant threat to nearby structural assets. Experimental results demonstrate the GTCN model’s superior predictive performance, particularly under challenging conditions of incomplete or sparsely sampled data. The model proves highly effective in accurately characterizing both abrupt fluctuations within the displacement time series and capturing long-term deformation trends. Furthermore, the GTCN framework outperforms comparative hybrid models based on Gated Recurrent Units (GRUs) and GPR, with its advantage being especially pronounced in data-limited scenarios. It also exhibits enhanced capability for temporal feature extraction relative to conventional imputation-based forecasting strategies like forward-filling. By effectively modeling both nonlinear trends and uncertainty within displacement sequences, the GTCN framework offers a robust and scalable solution for landslide-related risk assessment and early warning applications. Its applicability to building safety monitoring underscores its potential contribution to geotechnical hazard mitigation and resilient infrastructure management. Full article
Show Figures

Figure 1

Back to TopTop