Meshless Time–Frequency Stochastic Dynamic Analysis for Sandwich Trapezoidal Plate–Shell Coupled Systems in Supersonic Airflow
Abstract
1. Introduction
2. Theoretical Model of Plate–Shell Coupling System
2.1. Model Description
2.2. Governing Differential Equations for the Substructures
2.3. Meshless Discretization and Coupling of Substructures
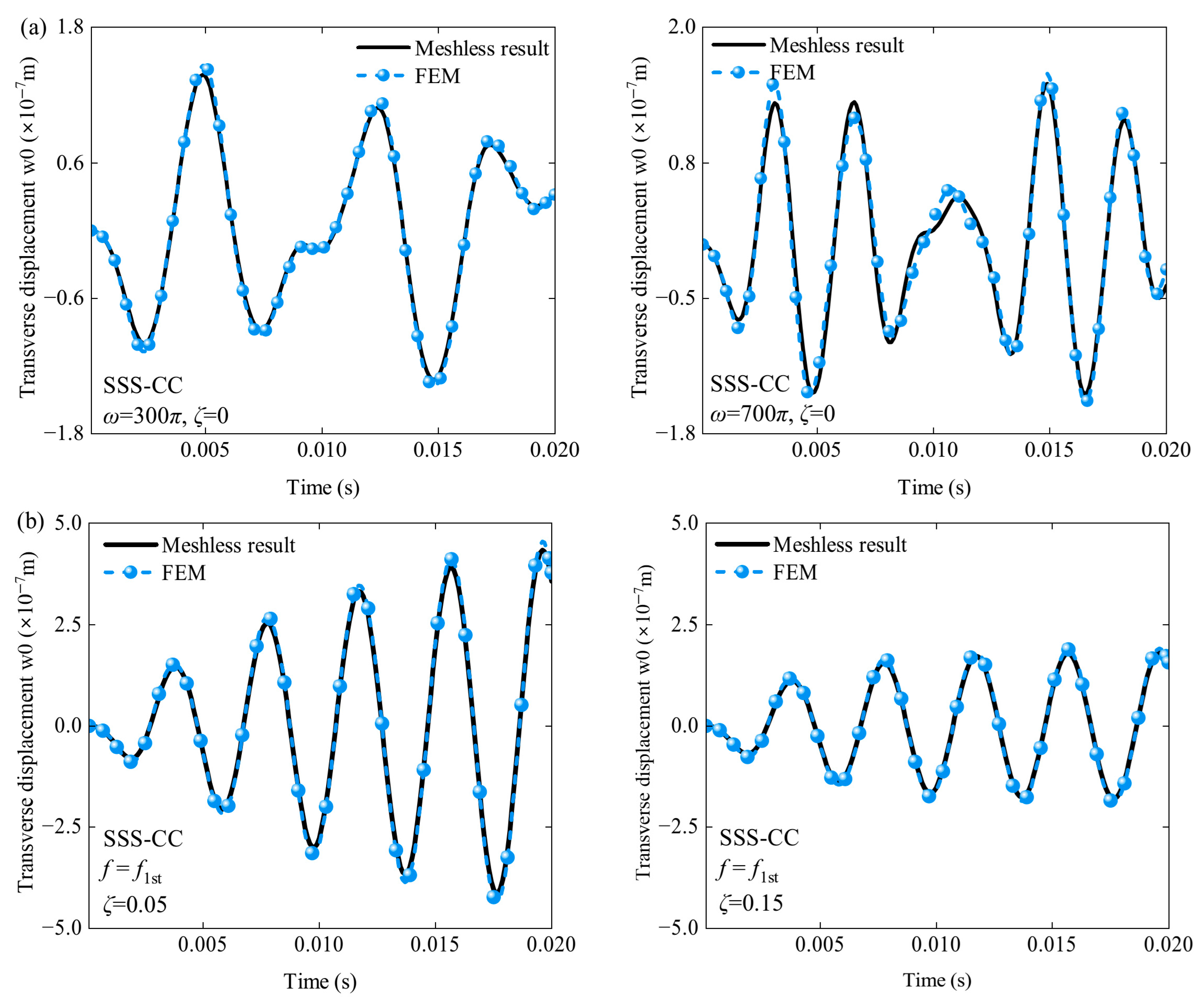
3. Verification of Numerical Results
- C: kθ = ky = diag{1015, 1015, 1015, 1015, 1015} N/m;
- S: kθ0 = kθ1 = diag{1015, 1015, 1015, 0, 1015} N/m, ky0 = ky1 = {1015, 1015, 1015, 1015, 0} N/m.
- F: kθ = ky = diag{0, 0, 0, 0, 0} N/m.
4. Parametric Cases and Discussion
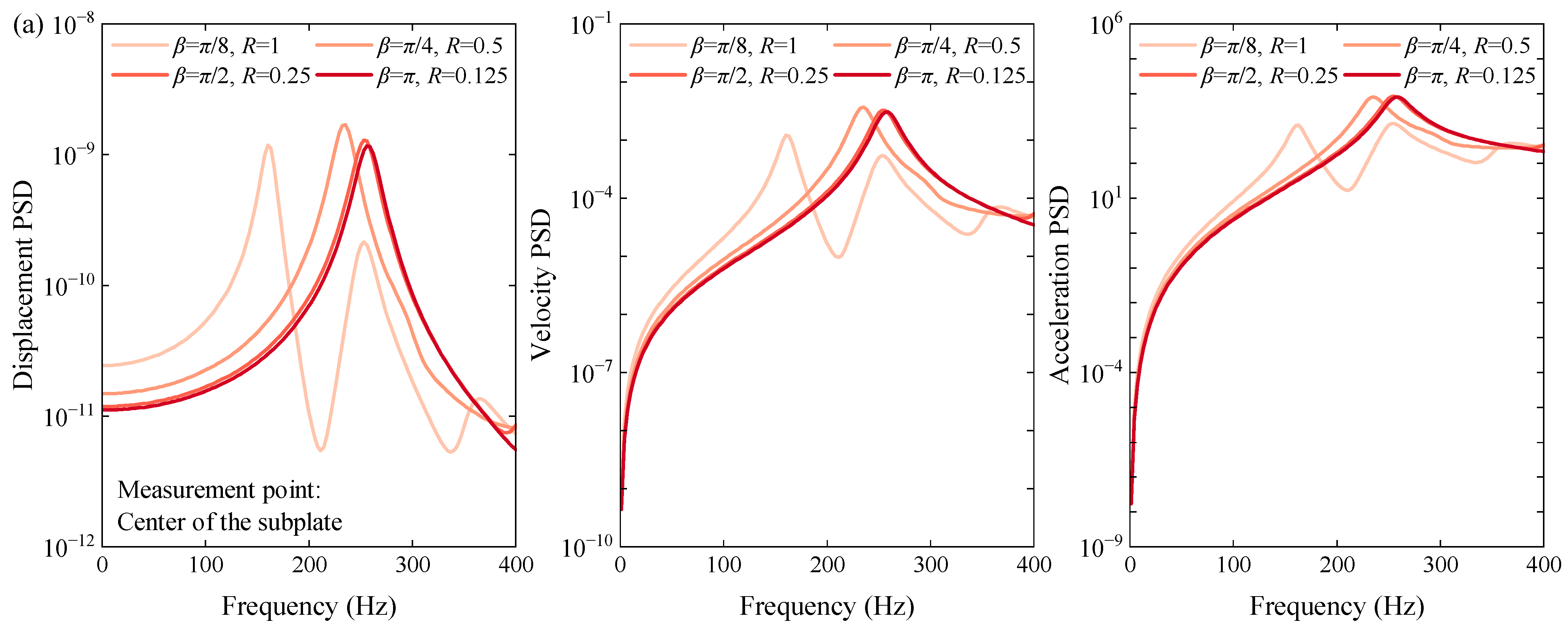
4.1. Effect of Central Angle β on Frequency-Domain PSD Responses
4.2. Effect of Aerodynamic Loads on Frequency-Domain PSD Responses
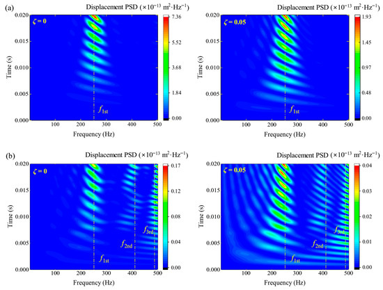
4.3. Time–Frequency Analysis Based on the Evolving PSD
4.4. Study on the Effect of Aerodynamic Loads on Evolving PSD
5. Conclusions
- (1)
- The meshless model provides an accurate and efficient prediction of the stochastic vibration of sandwich plate–shell coupled structures in supersonic airflow. The adjustment of geometry, cross-section, boundaries and excitation conditions can be qualitatively performed to facilitate parametric prediction.
- (2)
- For the base acceleration excitation, the curvature change in the subshell causes a larger floating range to the PSD response on the subshell than on the subplate. Within a certain frequency band, the higher aerodynamic pressure brings more response peaks on each substructure corresponding to the natural frequency of the system.
- (3)
- For the global stochastic excitation in the time domain, the prominent resonance region of the evolving PSD is near the first frequency of the system, but more secondary peaks corresponding to higher-order frequencies will appear on the subshell than the subplate. For the special case where the substructure is loaded alone, the resonant bands on the subplate and subshell are reflected at the corresponding frequencies corresponding to their respective primary mode shapes.
- (4)
- In an environment of supersonic airflow, the first frequency caused by aerodynamic load increases faster than the higher-order frequencies of the coupled structure, leading to a denser resonant band on the evolving PSD of the subshell.
Author Contributions
Funding
Institutional Review Board Statement
Informed Consent Statement
Data Availability Statement
Acknowledgments
Conflicts of Interest
Appendix A
References
- Chen, Y.H.; Jin, G.Y.; Liu, Z.G. Vibrational energy flow analysis of coupled cylindrical shell-plate structure with general boundary and coupling conditions. Proc. Inst. Mech. Eng. Part C J. Mech. Eng. Sci. 2014, 229, 1727–1744. [Google Scholar] [CrossRef]
- Li, Z.; Jin, G.; Ye, T.; Yang, T.j.; Zhong, S.; Tian, L. A unified vibration modeling of open cylindrical shell-rectangular plate coupling structures based on the dynamic stiffness method. J. Sound. Vib. 2023, 563, 117870. [Google Scholar] [CrossRef]
- Xu, Y.; Yang, T.; Fuller, C.R.; Sun, Y.; Liu, Z. A theoretical analysis on the active structural acoustical control of a vibration isolation system with a coupled plate-shell foundation. Int. J. Mech. Sci. 2020, 170, 105334. [Google Scholar] [CrossRef]
- Xie, K.; Chen, M.; Zhang, L.; Xie, D. Wave based method for vibration analysis of elastically coupled annular plate and cylindrical shell structures. Appl. Acoust. 2017, 123, 107–122. [Google Scholar] [CrossRef]
- Zhao, T.Y.; Yan, K.; Li, H.W.; Wang, X. Study on theoretical modeling and vibration performance of an assembled cylindrical shell-plate structure with whirl motion. Appl. Math. Modell. 2022, 110, 618–632. [Google Scholar] [CrossRef]
- Yin, H.; Shen, X.; Huang, Y.; Feng, Z.; Long, Z.; Duan, R.; Lin, C.-H.; Wei, D.; Sasanapuri, B.; Chen, Q. Modeling dynamic responses of aircraft environmental control systems by coupling with cabin thermal environment simulations. Build. Simul. 2016, 9, 459–468. [Google Scholar] [CrossRef]
- Song, Z.G.; He, X.; Liew, K.M. Dynamic responses of aerothermoelastic functionally graded CNT reinforced composite panels in supersonic airflow subjected to low-velocity impact. Compos. Part B 2018, 149, 99–109. [Google Scholar] [CrossRef]
- Chen, G.; Huo, H.; Zhan, S.; Yang, D. Analytical stochastic responses of thin cylindrical shells under various stationary excitations. Int. J. Mech. Sci. 2021, 190, 106048. [Google Scholar] [CrossRef]
- Chen, G.; Zhou, J.; Yang, D. Benchmark solutions of stationary random vibration for rectangular thin plate based on discrete analytical method. Probab. Eng. Mech. 2017, 50, 17–24. [Google Scholar] [CrossRef]
- Kwak, S.; Kim, H.; Kim, K. Dynamic Analysis of Laminated Composite Wave Plate in Thermal Environment Using Meshfree Method. J. Vib. Eng. Technol. 2023, 12, 1153–1176. [Google Scholar] [CrossRef]
- Cao, Z.; Xu, Y.; Yuan, Z.; Cai, Y. Nonstationary vibration responses of a three-dimensional tunnel-soil system excited by moving stochastic loads. Comput. Geotech. 2020, 125, 103658. [Google Scholar] [CrossRef]
- Zhao, Y.; Si, L.T.; Ouyang, H. Dynamic Analysis of an Infinitely Long Beam Resting on a Kelvin Foundation under Moving Random Loads. Shock. Vib. 2017, 2017, 3809415. [Google Scholar] [CrossRef]
- Sun, N.; Gao, G.; Shao, D.; Tao, Y. Time-frequency analysis of plate-shell coupled structures under moving stochastic load. Int. J. Mech. Sci. 2024, 277, 109410. [Google Scholar] [CrossRef]
- Taati, E.; Fallah, F.; Ahmadian, M.T. Subsonic and supersonic flow-induced vibration of sandwich cylindrical shells with FG-CNT reinforced composite face sheets and metal foam core. Int. J. Mech. Sci. 2022, 215., 109410. [Google Scholar] [CrossRef]
- Taati, E.; Fallah, F.; Ahmadian, M.T. On nonlinear free vibration of externally compressible fluid-loaded sandwich cylindrical shells: Curvature nonlinearity in bending and impermeability condition. Thin-Walled Struct. 2022, 179, 109599. [Google Scholar] [CrossRef]
- Wang, X. Dynamic Behavior of Finite Coupled Mindlin Plates With a Blocking Mass. J. Vib. Acoust. 2016, 138, 061008. [Google Scholar] [CrossRef]
- Tang, D.; Pang, F.; Zhang, Z.; Li, L. Flexural wave propagation and attenuation through Timoshenko beam coupled with periodic resonators by the method of reverberation-ray matrix. Eur. J. Mech. A Solids 2021, 86, 104153. [Google Scholar] [CrossRef]
- Tang, D.; Yao, X.; Wu, G. Free vibration analysis of plate/shell coupled structures by the method of reverberation-ray matrix. J. Vibroeng. 2016, 18, 3117–3137. [Google Scholar] [CrossRef]
- Yang, Y.; Zhang, Y. Random vibration response of three-dimensional multi-span hydraulic pipeline system with multipoint base excitations. Thin-Walled Struct. 2021, 166, 620–629. [Google Scholar] [CrossRef]
- Hosseini, S.; Rahimi, G.; Anani, Y. A meshless collocation method based on radial basis functions for free and forced vibration analysis of functionally graded plates using FSDT. Eng. Anal. Bound. Elem. 2021, 125, 168–177. [Google Scholar] [CrossRef]
- Kim, K.; Kwak, S.; Jang, P.; Sok, M.; Jon, S.; Ri, K. Free vibration analysis of elastically connected composite laminated double-plate system with arbitrary boundary conditions by using meshfree method. AIP Adv. 2021, 11, 035119. [Google Scholar] [CrossRef]
- Kwak, S.; Kim, K.; Pyon, S.; Li, Y.; Ri, C. A new meshfree approach for three-dimensional free vibration analysis of thick laminated doubly-shell of revolution. Eng. Anal. Bound. Elem. 2022, 134, 199–218. [Google Scholar] [CrossRef]
- Arabzadeh, A.; Sarrami, S.; Azhari, M. Free-Vibration, buckling, and static analysis of sandwich panels with a square honeycomb core using a meshfree method. Int. J. Struct. Stab. Dyn. 2024, 24, 2450177. [Google Scholar] [CrossRef]
- Kim, K.; Juhyok, U.; Ri, Y.; Kwak, S. Free and Forced Vibration Analysis of Composite Beam Composed Laminated Composite Material and Functionally Graded Material. J. Vib. Eng. Technol. 2024, 12, 7349–7372. [Google Scholar] [CrossRef]
- Kwak, S.; Kim, K.; Pang, K.; Kim, S.; Kim, P.; Rajamohan, V. Free Vibration Analysis of Bulkhead-Stiffened Functionally Graded Open Shell Using a Meshless Method. Shock. Vib. 2022, 2022, 7372167. [Google Scholar] [CrossRef]
- Peng, L.X. Free Vibration Analysis of Symmetrically Laminated Folded Plate Structures Using an Element-Free Galerkin Method. Math. Probl. Eng. 2015, 2015, 124296. [Google Scholar] [CrossRef]
- Peng, L.X.; Kitipornchai, S.; Liew, K.M. Free Vibration Analysis of Folded Plate Structures by the FSDT Mesh-free Method. Comput. Mech. 2006, 39, 799–814. [Google Scholar] [CrossRef]
- Kim, K.; Kwak, S.; Choe, K.; Han, W.; Ri, Y.; Ri, K. Application of Haar wavelet method for free vibration of laminated composite conical–cylindrical coupled shells with elastic boundary condition. Phys. Scr. 2021, 96, 035223. [Google Scholar] [CrossRef]
- Lin, J.; Zhao, Y.; Zhang, Y. Accurate and highly efficient algorithms for structural stationary/non-stationary random responses. Comput. Methods Appl. Mech. Eng. 2001, 191, 103–111. [Google Scholar] [CrossRef]
- Zhou, K.; Ni, Z.; Huang, X.; Hua, H. Stationary/nonstationary stochastic response analysis of composite laminated plates with aerodynamic and thermal loads. Int. J. Mech. Sci. 2020, 173, 105461. [Google Scholar] [CrossRef]
- Zhong, R.; Wang, Q.; Hu, S.; Gao, X.; Qin, B.; Shuai, C. Meshless stochastic vibration for laminated quadrilateral plates considering thermal factor. Int. J. Mech. Sci. 2022, 232, 104872. [Google Scholar] [CrossRef]
- Huo, H.; Zhou, Z.; Chen, G.; Yang, D. Exact benchmark solutions of random vibration responses for thin-walled orthotropic cylindrical shells. Int. J. Mech. Sci. 2021, 207, 106644. [Google Scholar] [CrossRef]
- Shi, X.; Yang, Y.; Zhu, X.; Huang, Z. Stochastic dynamics analysis of the rocket shell coupling system with circular plate fasteners based on spectro-geometric method. Compos. Struct. 2024, 329, 117727. [Google Scholar] [CrossRef]
- Chen, G.; Meng, Z.; Yang, D. Exact nonstationary responses of rectangular thin plate on Pasternak foundation excited by stochastic moving loads. J. Sound. Vib. 2018, 412, 166–183. [Google Scholar] [CrossRef]
- Shi, X.; Zhong, R.; Wang, Q.; Qin, B.; Xu, H. Stochastic response of FGM slantingly coupled plates in aero-thermal environment using meshfree method. Thin-Walled Struct. 2024, 205, 112395. [Google Scholar] [CrossRef]
- Li, F.-M.; Song, Z.-G. Flutter and thermal buckling control for composite laminated panels in supersonic flow. J. Sound. Vib. 2013, 332, 5678–5695. [Google Scholar] [CrossRef]
- Chai, Y.-Y.; Song, Z.-G.; Li, F.-M. Investigations on the influences of elastic foundations on the aerothermoelastic flutter and thermal buckling properties of lattice sandwich panels in supersonic airflow. Acta Astronaut. 2017, 140, 176–189. [Google Scholar] [CrossRef]
- Singha, M.K.; Mandal, M. Supersonic flutter characteristics of composite cylindrical panels. Compos. Struct. 2008, 82, 295–301. [Google Scholar] [CrossRef]
- Pany, C.; Parthan, S. Flutter analysis of periodically supported curved panels. J. Sound. Vib. 2003, 267, 267–278. [Google Scholar] [CrossRef]
- Muc, A.; Flis, J. Free vibrations and supersonic flutter of multilayered laminated cylindrical panels. Compos. Struct. 2020, 246, 112400. [Google Scholar] [CrossRef]
- Bochkarev, S.A.; Lekomtsev, S.V.; Matveenko, V.P. Finite element analysis of the panel flutter of stiffened shallow shells. Contin. Mech. Thermodyn. 2022, 35, 1275–1290. [Google Scholar] [CrossRef]
- Lin, H.; Cao, D.; Shao, C.; Xu, Y. Studies for aeroelastic characteristics and nonlinear response of FG-CNT reinforced composite panel considering the transient heat conduction. Compos. Struct. 2018, 188, 470–482. [Google Scholar] [CrossRef]
- Asadi, H.; Beheshti, A.R. On the nonlinear dynamic responses of FG-CNTRC beams exposed to aerothermal loads using third-order piston theory. Acta Mech. 2018, 229, 2413–2430. [Google Scholar] [CrossRef]
- Bodaghi, M.; Shakeri, M. An analytical approach for free vibration and transient response of functionally graded piezoelectric cylindrical panels subjected to impulsive loads. Compos. Struct. 2012, 94, 1721–1735. [Google Scholar] [CrossRef]
- Qin, Z.; Pang, X.; Safaei, B.; Chu, F. Free vibration analysis of rotating functionally graded CNT reinforced composite cylindrical shells with arbitrary boundary conditions. Compos. Struct. 2019, 220, 847–860. [Google Scholar] [CrossRef]
- Huang, K.; Guo, H.; Qin, Z.; Cao, S.; Chen, Y. Flutter analysis of laminated composite quadrilateral plates reinforced with graphene nanoplatelets using the element-free IMLS-Ritz method. Aerosp. Sci. Technol. 2020, 103, 112400. [Google Scholar] [CrossRef]
- Kwak, S.; Kim, K.; An, K.; Kim, N.; Kim, H. A meshfree moving least squares-Tchebychev shape function approach for free vibration analysis of laminated composite arbitrary quadrilateral plates with hole. Phys. Scr. 2021, 96, 075216. [Google Scholar] [CrossRef]
- Sun, N.; Gao, G.; Shao, D.; Tao, Y. Transient dynamic analysis of meshless C/SiC lattice sandwich plates subjected to thermal shock in supersonic airflow. Aerosp. Sci. Technol. 2025, 163, 110267. [Google Scholar] [CrossRef]














Disclaimer/Publisher’s Note: The statements, opinions and data contained in all publications are solely those of the individual author(s) and contributor(s) and not of MDPI and/or the editor(s). MDPI and/or the editor(s) disclaim responsibility for any injury to people or property resulting from any ideas, methods, instructions or products referred to in the content. |
© 2025 by the authors. Licensee MDPI, Basel, Switzerland. This article is an open access article distributed under the terms and conditions of the Creative Commons Attribution (CC BY) license (https://creativecommons.org/licenses/by/4.0/).
Share and Cite
Sun, N.; Gao, G.; Shao, D.; Liang, W. Meshless Time–Frequency Stochastic Dynamic Analysis for Sandwich Trapezoidal Plate–Shell Coupled Systems in Supersonic Airflow. Aerospace 2025, 12, 880. https://doi.org/10.3390/aerospace12100880
Sun N, Gao G, Shao D, Liang W. Meshless Time–Frequency Stochastic Dynamic Analysis for Sandwich Trapezoidal Plate–Shell Coupled Systems in Supersonic Airflow. Aerospace. 2025; 12(10):880. https://doi.org/10.3390/aerospace12100880
Chicago/Turabian StyleSun, Ningze, Guohua Gao, Dong Shao, and Weige Liang. 2025. "Meshless Time–Frequency Stochastic Dynamic Analysis for Sandwich Trapezoidal Plate–Shell Coupled Systems in Supersonic Airflow" Aerospace 12, no. 10: 880. https://doi.org/10.3390/aerospace12100880
APA StyleSun, N., Gao, G., Shao, D., & Liang, W. (2025). Meshless Time–Frequency Stochastic Dynamic Analysis for Sandwich Trapezoidal Plate–Shell Coupled Systems in Supersonic Airflow. Aerospace, 12(10), 880. https://doi.org/10.3390/aerospace12100880

