Sign in to use this feature.

Years

Between: -

Subjects

remove_circle_outline
remove_circle_outline
remove_circle_outline
remove_circle_outline
remove_circle_outline
remove_circle_outline

Journals

Article Types

Countries / Regions

Search Results (24)

Search Parameters:
Keywords = dimethylamine group

Order results
Result details
Results per page
Select all
Export citation of selected articles as:
16 pages, 1490 KB  
Article
Comparative Bioavailability of Vitamin C After Short-Term Consumption of Raw Fruits and Vegetables and Their Juices: A Randomized Crossover Study
by Mijoo Choi, Juha Baek, Jung-Mi Yun, Young-Shick Hong and Eunju Park
Nutrients 2025, 17(21), 3331; https://doi.org/10.3390/nu17213331 - 23 Oct 2025
Viewed by 1127
Abstract
Background/Objectives: Vitamin C plays a vital role in human health, functioning as a powerful antioxidant and enzymatic cofactor. Although vitamin C bioavailability from food versus supplements has been debated, few studies have examined how intake form affects absorption and physiological markers. Methods: This [...] Read more.
Background/Objectives: Vitamin C plays a vital role in human health, functioning as a powerful antioxidant and enzymatic cofactor. Although vitamin C bioavailability from food versus supplements has been debated, few studies have examined how intake form affects absorption and physiological markers. Methods: This randomized, controlled, crossover trial aimed to compare the bioavailability of vitamin C consumed as a supplement, through raw fruits and vegetables, or through fruit and vegetable juice. Twelve healthy adults underwent three 1-day crossover trials, each separated by a 2-week washout. Participants consumed 101.7 mg of vitamin C via powder, raw fruits and vegetables (186.8 g), or juice (200 mL). Plasma and urinary vitamin C concentrations, urinary metabolites (1H NMR), and antioxidant activity (ORAC and TRAP) were assessed over 24 h. Results: All interventions elevated plasma vitamin C levels, with juice yielding the highest AUC (25.3 ± 3.2 mg/dL·h). Urinary vitamin C increased in all groups. Metabolomics revealed increased urinary excretion of mannitol, glycine, taurine, dimethylglycine (DMG), and asparagine, and decreased choline and dimethylamine (DMA). Notably, urinary mannitol increased only in the morning. Choline significantly decreased after powder intake (p = 0.001), with similar trends observed in the other groups. DMG and glycine increased following raw and juiced vegetable intake. Antioxidant activity showed transient ORAC elevation post-powder but no sustained improvements. Conclusions: Vitamin C is bioavailable from all intake forms, with juice providing the most efficient absorption. Urinary metabolite changes suggest microbiota-related modulation, while antioxidant activity improvements were limited. Full article
(This article belongs to the Special Issue Antioxidant-Rich Natural Fruit and Vegetable Foods and Human Health)
Show Figures

Graphical abstract

21 pages, 3470 KB  
Article
Lignin-Based Nanostructured Sensor for Selective Detection of Volatile Amines at Trace Levels
by Paolo Papa, Giuseppina Luciani, Rossella Grappa, Virginia Venezia, Ettore Guerriero, Simone Serrecchia, Fabrizio De Cesare, Emiliano Zampetti, Anna Rita Taddei and Antonella Macagnano
Sensors 2025, 25(11), 3536; https://doi.org/10.3390/s25113536 - 4 Jun 2025
Cited by 1 | Viewed by 1139
Abstract
A nanostructured sensing platform was developed by integrating gold-decorated lignin nanoparticles (AuLNPs) into electrospun polylactic acid (PLA) fibre mats. The composite material combines the high surface-to-volume ratio of PLA nanofibres with the chemical functionality of lignin—a polyphenolic biopolymer rich in hydroxyl and aromatic [...] Read more.
A nanostructured sensing platform was developed by integrating gold-decorated lignin nanoparticles (AuLNPs) into electrospun polylactic acid (PLA) fibre mats. The composite material combines the high surface-to-volume ratio of PLA nanofibres with the chemical functionality of lignin—a polyphenolic biopolymer rich in hydroxyl and aromatic groups—enabling selective interactions with volatile amines through hydrogen bonding and Van der Waals forces. The embedded gold nanoparticles (AuNPs) further enhance the sensor’s electrical conductivity and provide catalytic sites for improved analyte interaction. The sensor exhibited selective adsorption of amine vapours, showing particularly strong affinity for dimethylamine (DMA), with a limit of detection (LOD) of approximately 440 ppb. Relative humidity (RH) was found to significantly influence sensor performance by facilitating amine protonation, thus promoting interaction with the sensing surface. The developed sensor demonstrated excellent selectivity, sensitivity and reproducibility, highlighting its potential for real-time detection of amines in environmental monitoring, industrial safety and healthcare diagnostics. Full article
(This article belongs to the Special Issue Gas Sensors: Progress, Perspectives and Challenges)
Show Figures

Figure 1

18 pages, 2433 KB  
Article
Development of 2,1,3-Benzothiadiazole-Based Room-Temperature Fluorescent Nematic Liquid Crystals
by Muhammad Suhail bin Uzair, Yoshimichi Shimomura, Takuya Tanaka, Takashi Kajitani and Gen-ichi Konishi
Molecules 2025, 30(11), 2438; https://doi.org/10.3390/molecules30112438 - 2 Jun 2025
Cited by 2 | Viewed by 2130
Abstract
Fluorescent liquid crystals (LCs) have attracted considerable interest owing to their unique combination of fluidity, anisotropy, and intrinsic emission. However, most reported fluorescent LCs exhibit high phase transition temperatures and/or smectic phases, limiting their practical applications. To address this, we designed and synthesized [...] Read more.
Fluorescent liquid crystals (LCs) have attracted considerable interest owing to their unique combination of fluidity, anisotropy, and intrinsic emission. However, most reported fluorescent LCs exhibit high phase transition temperatures and/or smectic phases, limiting their practical applications. To address this, we designed and synthesized a series of 2,1,3-benzothiadiazole (BTD)-based fluorescent nematic liquid crystals incorporating donor (D) or acceptor (A) groups to form D–A–D or D–A–A structures. Most of the synthesized derivatives exhibited supercooled nematic phases at room temperature. They composed various functional groups, such as secondary alkylamine, branched alkyl chain, and trifluoroacetyl groups, which are rarely used in calamitic nematic LCs. Notably, dimethylamine- and carbonyl-substituted derivatives exhibited relatively high fluorescence quantum yields (Φfl) in both solid and mesophase states, demonstrating their potential as efficient fluorescent materials. Our findings underscore the versatility of BTD-based mesogenic skeletons for designing room-temperature fluorescent nematic LCs with various functional groups. These materials offer promising opportunities for next-generation display technologies, optical sensors, and photonic applications. Full article
(This article belongs to the Special Issue Photochemistry in Asia)
Show Figures

Figure 1

23 pages, 2003 KB  
Article
Mechanistic Insights into NDMA Adsorption onto Selected Pollutants and Their Removal via Direct Rapid Sand Filtration and After Enhanced Coagulation
by Olubunmi M. Olukowi, Tian Tian, Xie Yan and Yuejun Zhang
Molecules 2025, 30(10), 2094; https://doi.org/10.3390/molecules30102094 - 8 May 2025
Viewed by 581
Abstract
N-nitroso dimethylamine (NDMA), a common nitrogen disinfection by-product and carcinogen, can be removed using rapid sand filtration (RSF) after coagulation; however, its removal mechanism has not been extensively studied. This study analyzed NDMA and the water pollutant parameter removal rate change tendency in [...] Read more.
N-nitroso dimethylamine (NDMA), a common nitrogen disinfection by-product and carcinogen, can be removed using rapid sand filtration (RSF) after coagulation; however, its removal mechanism has not been extensively studied. This study analyzed NDMA and the water pollutant parameter removal rate change tendency in the filtrates of simulated supernatants directly and after enhanced coagulation (EC) using composite PAC/PDMDAAC that mimics treated Yangtze River water separated into blank, single-component, and mixed multi-component (MMC) water systems containing NDMA and pollutants like diatomite (DTA), humic acid salt (HAs), dimethyl amine (DMA), and ammonium nitrate (NH4NO3). Meanwhile, a correlation analysis of removal rate changes and adsorption analysis using SEM (surface morphology), polar functional groups, and zeta potentials (surface charge) were performed to obtain mechanistic insights into NDMA removal via adsorption. The results revealed that removal rates gradually increased with an increasing volume of filtrates, and there were correlations for NDMA-HAs, NDMA-DMA, NDMA-DTA, and NDMA-NH4NO3. The highest NDMA removal rates in the blank system were 10.29% using RSF directly and 12.84% after enhanced coagulation, indicating improved efficiency with coagulation. However, single and mixed systems showed that NDMA removal rate changes were enhanced by water pollutants and coagulation functions. The NDMA removal mechanism was verified, and it was revealed that the level of NDMA adsorption on water pollutants varies based on microstructure, available polar functional groups, and surface charge interactions that are strengthened by coagulation functions for improving the affinity of NDMA and pollutants on the sand surface. These findings provide new insights into NDMA removal mechanisms via adsorption and highlight the role of water pollutants and enhanced coagulation in strengthening rapid sand filtration for NDMA removal. Full article
(This article belongs to the Section Materials Chemistry)
Show Figures

Figure 1

10 pages, 1635 KB  
Article
Associations between Kidney Disease Progression and Metabolomic Profiling in Stable Kidney Transplant Recipients—A 3 Year Follow-Up Prospective Study
by Titus Andrian, Lucian Siriteanu, Luminița Voroneanu, Alina Nicolescu, Calin Deleanu, Andreea Covic and Adrian Covic
J. Clin. Med. 2024, 13(19), 5983; https://doi.org/10.3390/jcm13195983 - 8 Oct 2024
Viewed by 1996
Abstract
Background: kidney transplant recipients are exposed to multiple pathogenic pathways that may alter short and long-term allograft survival. Metabolomic profiling is useful for detecting potential biomarkers of kidney disease with a predictive capacity. This field is still under development in kidney transplantation and [...] Read more.
Background: kidney transplant recipients are exposed to multiple pathogenic pathways that may alter short and long-term allograft survival. Metabolomic profiling is useful for detecting potential biomarkers of kidney disease with a predictive capacity. This field is still under development in kidney transplantation and metabolome analysis is faced with analytical challenges. We performed a cross-sectional study including stable kidney transplant patients and aimed to search for relevant associations between baseline plasmatic and urinary metabolites and relevant outcomes over a follow-up period of 3 years. Methods: we performed a cross-sectional study including 72 stable kidney transplant patients with stored plasmatic and urinary samples at the baseline evaluation which were there analyzed by nuclear magnetic resonance in order to quantify and describe metabolites. We performed a 3-year follow-up and searched for relevant associations between renal failure outcomes and baseline metabolites. Between-group comparisons were made after classification by observed estimated glomerular filtration rate slope during the follow-up: positive slope and negative slope. Results: The mean estimated GFR (glomerular filtration rate) was higher at baseline in the patients who exhibited a negative slope during the follow-up (63.4 mL/min/1.73 m2 vs. 55.8 mL/min/1.73 m2, p = 0,019). After log transformation and division by urinary creatinine, urinary dimethylamine (3.63 vs. 3.16, p = 0.027), hippuric acid (7.33 vs. 6.29, p = 0.041), and acetone (1.88 vs. 1, p = 0.023) exhibited higher concentrations in patients with a negative GFR slope when compared to patients with a positive GFR slope. By computing a linear regression, a significant low-strength regression equation between the log 2 transformed plasmatic level of glycine and the estimated glomerular filtration rate was found (F (1,70) = 5.15, p = 0.026), with an R2 of 0.069. Several metabolites were correlated positively with hand grip strength (plasmatic tyrosine with r = 0.336 and p = 0.005 and plasmatic leucine with r = 0.371 and p = 0.002). Other urinary metabolites were found to be correlated negatively with hand grip strength (dimethylamine with r = −0.250 and p = 0.04, citric acid with r = −0.296 and p = 0.014, formic acid with r = −0.349 and p = 0.004, and glycine with r = −0.306 and p = 0.01). Conclusions: some metabolites had different concentrations compared to kidney transplant patients with negative and positive slopes, and significant correlations were found between hand grip strength and urinary and plasmatic metabolites. Full article
(This article belongs to the Special Issue Clinical Advancements in Kidney Transplantation)
Show Figures

Figure 1

18 pages, 1922 KB  
Article
Trans-[Pt(amine)Cl2(PPh3)] Complexes Target Mitochondria and Endoplasmic Reticulum in Gastric Cancer Cells
by Jorge Melones-Herrero, Patricia Delgado-Aliseda, Sofía Figueiras, Javier Velázquez-Gutiérrez, Adoración Gomez Quiroga, Carmela Calés and Isabel Sánchez-Pérez
Int. J. Mol. Sci. 2024, 25(14), 7739; https://doi.org/10.3390/ijms25147739 - 15 Jul 2024
Cited by 4 | Viewed by 2268
Abstract
Gastric cancer prognosis is still notably poor despite efforts made to improve diagnosis and treatment of the disease. Chemotherapy based on platinum agents is generally used, regardless of the fact that drug toxicity leads to limited clinical efficacy. In order to overcome these [...] Read more.
Gastric cancer prognosis is still notably poor despite efforts made to improve diagnosis and treatment of the disease. Chemotherapy based on platinum agents is generally used, regardless of the fact that drug toxicity leads to limited clinical efficacy. In order to overcome these problems, our group has been working on the synthesis and study of trans platinum (II) complexes. Here, we explore the potential use of two phosphine-based agents with the general formula trans-[Pt(amine)Cl2(PPh3)], called P1 and P2 (with dimethylamine or isopropylamine, respectively). A cytotoxicity analysis showed that P1 and especially P2 decrease cell viability. Specifically, P2 exhibits higher activity than cisplatin in gastric cancer cells while its toxicity in healthy cells is slightly lower. Both complexes generate Reactive Oxygen Species, produce DNA damage and mitochondrial membrane depolarization, and finally lead to induced apoptosis. Thus, an intrinsic apoptotic pathway emerges as the main type of cell death through the activation of BAX/BAK and BIM and the degradation of MCL1. Additionally, we demonstrate here that P2 produces endoplasmic reticulum stress and activates the Unfolded Protein Response, which also relates to the impairment observed in autophagy markers such as p62 and LC3. Although further studies in other biological models are needed, these results report the biomolecular mechanism of action of these Pt(II)-phosphine prototypes, thus highlighting their potential as novel and effective therapies. Full article
(This article belongs to the Section Molecular Biology)
Show Figures

Figure 1

16 pages, 1607 KB  
Article
Ubiquinone (Coenzyme Q-10) Supplementation Influences Exercise-Induced Changes in Serum 25(OH)D3 and the Methyl-Arginine Metabolites: A Double-Blind Randomized Controlled Trial
by Jan Mieszkowski, Andrzej Kochanowicz, Paulina Brzezińska, Magdalena Kochanowicz, Katarzyna Żołądkiewicz, Błażej Stankiewicz, Bartłomiej Niespodziński, Joanna Reczkowicz, Konrad Kowalski and Jędrzej Antosiewicz
Antioxidants 2024, 13(7), 760; https://doi.org/10.3390/antiox13070760 - 23 Jun 2024
Viewed by 4261
Abstract
Researchers have studied the effects of exercise on serum methyl-arginine and vitamin D metabolites; however, the effects of exercise combined with antioxidants are not well documented. Since oxidative stress affects the metabolism of vitamin D and methyl-arginine, we hypothesised that the antioxidant coenzyme [...] Read more.
Researchers have studied the effects of exercise on serum methyl-arginine and vitamin D metabolites; however, the effects of exercise combined with antioxidants are not well documented. Since oxidative stress affects the metabolism of vitamin D and methyl-arginine, we hypothesised that the antioxidant coenzyme Q10 (CoQ10) might modulate exercise-induced changes. A group of twenty-eight healthy men participated in this study and were divided into two groups: an experimental group and a control group. The exercise test was performed until exhaustion, with gradually increasing intensity, before and after the 21-day CoQ10 supplementation. Blood samples were collected before, immediately after, and 3 and 24 h after exercise. CoQ10, vitamin D metabolites, asymmetric dimethylarginine (ADMA), symmetric dimethylarginine, methylarginine, dimethylamine, arginine, citrulline, and ornithine were analysed in serum samples. CoQ10 supplementation caused a 2.76-fold increase in the concentration of serum CoQ10. Conversely, the 25(OH)D3 concentration increased after exercise only in the placebo group. ADMA increased after exercise before supplementation, but a decrease was observed in the CoQ10 supplementation group 24 h after exercise. In conclusion, our data indicate that CoQ10 supplementation modifies the effects of exercise on vitamin D and methyl-arginine metabolism, suggesting its beneficial effects. These findings contribute to the understanding of how antioxidants like CoQ10 can modulate biochemical responses to exercise, potentially offering new insights for enhancing athletic performance and recovery. Full article
(This article belongs to the Section Antioxidant Enzyme Systems)
Show Figures

Figure 1

16 pages, 2548 KB  
Article
Synthesis and Biological Evaluation of Novel Biased Mu-Opioid Receptor Agonists
by Yanhao Guo, Ruimin Yu, Tao Zhang, Fengxia Ren, Zixing Yu, Jingchao Cheng, Hongxin Jia, Weiguo Shi and Yatong Zhang
Molecules 2024, 29(13), 2961; https://doi.org/10.3390/molecules29132961 - 21 Jun 2024
Cited by 3 | Viewed by 2524
Abstract
This study explored the potential of a series of PZM21 analogues for pain treatment. Specifically, the hydroxyphenyl ring of PZM21 was replaced with a naphthyl ring, the thienyl ring was substituted with either a phenyl ring or furan rings, and the essential dimethylamine [...] Read more.
This study explored the potential of a series of PZM21 analogues for pain treatment. Specifically, the hydroxyphenyl ring of PZM21 was replaced with a naphthyl ring, the thienyl ring was substituted with either a phenyl ring or furan rings, and the essential dimethylamine and urea groups were retained. These compounds aimed to enhance safety and minimize the adverse effects associated with opioid drugs. The research findings suggest that compound 6a does not induce β-arrestin recruitment at low-nanomolar concentrations but exhibits significant analgesic effects in established mouse models. Compared to morphine, 6a shows advantages in alleviating respiratory depression and minimizing physical dependence. Molecular docking studies underscore the pivotal role of the D147 amino acid residue in the analgesic mechanism of 6a. Consequently, 6a is a compelling candidate for the development of safer opioid analgesics and warrants further attention. Full article
Show Figures

Figure 1

18 pages, 10623 KB  
Article
Study of Hedge Ignition and Flame Propagation Characteristics of Unsymmetrical Dimethylhydrazine and Its Metamorphosed Mixtures in a Nitrogen Tetroxide Atmosphere
by Xinhui Wang, Yujia Feng, Jinchao Zhang, Ruirong Ma, Jin Wu, Ruining He, Yang Li and Jinhu Liang
Energies 2023, 16(24), 8087; https://doi.org/10.3390/en16248087 - 15 Dec 2023
Cited by 3 | Viewed by 1832
Abstract
Unsymmetrical dimethylhydrazine (UDMH) is a common liquid propellant widely used in rocket engines and other applications. The safety of UDMH in service is affected by its slow oxidation during long-term storage to form impurities such as dimethylamine (DMA) and formaldehyde dimethylhydrazone (FDH). How [...] Read more.
Unsymmetrical dimethylhydrazine (UDMH) is a common liquid propellant widely used in rocket engines and other applications. The safety of UDMH in service is affected by its slow oxidation during long-term storage to form impurities such as dimethylamine (DMA) and formaldehyde dimethylhydrazone (FDH). How these impurities affect combustion performance is not known, and in order to assess these effects, the present experiments investigated the combustion characteristics of self-igniting fuels and carried out ignition delay time measurements and flame propagation velocity measurements of pure UDMH and its denatured mixtures in a nitrogen tetroxide (NTO) atmosphere. This experiment was carried out to measure the delay time of hedge ignition of pure UDMH and qualitative analysis of its flame propagation properties under vacuum conditions at room temperature (T = 293 K). Ignition delay time measurements and flame propagation characterization were performed under the same experimental conditions for UDMH mixed with 1%, 5% and 10% FDH, UDMH mixed with 1%, 5% and 10% H2O, UDMH mixed with 1%, 5% and 10% DMA, as well as for UDMH mixed with the same proportions of the three substances (1%, 5% and 10%). The flame propagation characteristics were analyzed. The results showed that the incorporation of DMA, H2O and FDH in different proportions could inhibit the combustion of UDMH to varying degrees and prolong its ignition delay time. It is worth noting that the introduction of FDH had the least effect on it, and the least effect was observed at a concentration of 1%. In contrast, the effect of DMA on UDMH is more obvious, and the addition of H2O has the largest increase in the ignition delay time of UDMH. In the flame propagation experiment, the flame of the experimental group adding H2O can no longer fill the whole experimental window, while the other experimental groups can still make the window full of flame. Combined with the measurements of the ignition delay time, it can be seen that the moisture content has the greatest effect on the combustion characteristics. Full article
(This article belongs to the Section I2: Energy and Combustion Science)
Show Figures

Figure 1

13 pages, 683 KB  
Article
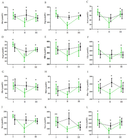
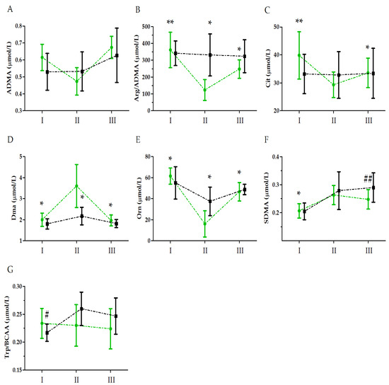
Vitamin D Supplementation Influences Ultramarathon-Induced Changes in Serum Amino Acid Levels, Tryptophan/Branched-Chain Amino Acid Ratio, and Arginine/Asymmetric Dimethylarginine Ratio
by Jan Mieszkowski, Paulina Brzezińska, Błażej Stankiewicz, Andrzej Kochanowicz, Katarzyna Zolodkiewicz, Bartłomiej Niespodziński, Joanna Reczkowicz, Tomasz Kowalik, Tomasz Waldziński and Jędrzej Antosiewicz
Nutrients 2023, 15(16), 3536; https://doi.org/10.3390/nu15163536 - 11 Aug 2023
Cited by 2 | Viewed by 2679
Abstract
Exercise affects serum levels of amino acids and their metabolites, with important metabolic consequences. Since vitamin D impacts skeletal muscle protein degradation, we hypothesised that it would also impact exercise-induced changes in serum amino acid levels and the serum levels of arginine metabolites, [...] Read more.
Exercise affects serum levels of amino acids and their metabolites, with important metabolic consequences. Since vitamin D impacts skeletal muscle protein degradation, we hypothesised that it would also impact exercise-induced changes in serum amino acid levels and the serum levels of arginine metabolites, influencing the body’s ability to synthesise NO. Accordingly, we analysed the effect of a single high-dose vitamin D supplementation on the serum levels of various amino acids in ultramarathon runners. Thirty-five male amateur runners were assigned to the supplemented group, administered 150,000 IU vitamin D in vegetable oil 24 h before the run (n = 16), or the control (placebo) group (n = 19). Blood was sampled 24 h before, immediately after, and 24 h after the run. Changes in the serum levels of some amino acids were distinct in the two groups. The asymmetric dimethyl arginine levels were significantly decreased immediately after the run and increased 24 h later and were not affected by the supplementation. The symmetric dimethyl arginine levels were increased after the run in both groups but were lower in the supplemented group than in the placebo group 24 h after the run. The dimethylamine levels increased significantly in the supplemented group as compared to the placebo group. In conclusion, vitamin D impacts exercise-induced changes in serum amino acids and methylated arginine metabolites. Full article
(This article belongs to the Section Micronutrients and Human Health)
Show Figures

Figure 1

12 pages, 1590 KB  
Article
Thin Cationic Polymer Coatings against Foodborne Infections
by Yuliya K. Yushina, Andrey V. Sybachin, Oksana A. Kuznecova, Anastasia A. Semenova, Eteri R. Tolordava, Vladislava A. Pigareva, Anastasiya V. Bolshakova, Vyacheslav M. Misin, Alexey A. Zezin, Alexander A. Yaroslavov, Dagmara S. Bataeva, Elena A. Kotenkova, Elena V. Demkina and Maksim D. Reshchikov
Coatings 2023, 13(8), 1389; https://doi.org/10.3390/coatings13081389 - 8 Aug 2023
Cited by 4 | Viewed by 1882
Abstract
Biocidal coatings are known to minimize or terminate development of bacterial and fungicidal infections. In this paper, biocidal activity of seven cationic (co)polymers with amino groups—polyethyleneimine, polyallylamine, polydiallyldimethylammonium chloride/polyhexamethylene guanidine copolymer, diallyldimethylammonium chloride/SO2 copolymer, linear and hyperbranched epichlorohydrin/dimethylamine copolymers, polydiallyldimethylammonium chloride—were tested [...] Read more.
Biocidal coatings are known to minimize or terminate development of bacterial and fungicidal infections. In this paper, biocidal activity of seven cationic (co)polymers with amino groups—polyethyleneimine, polyallylamine, polydiallyldimethylammonium chloride/polyhexamethylene guanidine copolymer, diallyldimethylammonium chloride/SO2 copolymer, linear and hyperbranched epichlorohydrin/dimethylamine copolymers, polydiallyldimethylammonium chloride—were tested toward Gram-positive and Gram-negative cells. The polymers showed a significant biocidal effect in both aqueous solution and after formation of polymer films on the hydrophilic glass plates. Polymer films were almost completely removed by water during 10 wash-off cycles, that finally resulted in the ultrathin monolayers with a thickness of several nanometers. A polyethyleneimine film showed the most resistance to water with a 50% loss after three wash-off cycles and 75% loss after six wash-off cycles. Binding and subsequent deactivation of pathogenic microorganisms occurs on the outer surface of cationic polymer films. It is expected that a gradual polymer wash-off will allow renewal of the outer film surface and thereby restore the biocidal properties of the polycationic coatings, including those with a nanoscale thickness. Full article
(This article belongs to the Special Issue Biofilms: Composition and Applications)
Show Figures

Figure 1

9 pages, 253 KB  
Article
Eight-Day Fast and a Single Bout of Exercise: The Effect on Serum Methylarginines and Amino Acids in Men
by Joanna Reczkowicz, Jakub Kortas, Ulana Juhas, Malgorzata Zychowska, Andzelika Borkowska, Karol Pilis, Ewa Ziemann, Zuzanna Sobol and Jedrzej Antosiewicz
Nutrients 2023, 15(13), 2981; https://doi.org/10.3390/nu15132981 - 30 Jun 2023
Viewed by 1666
Abstract
Changes in serum concentration of methylarginines and amino acids after exercise are well documented, whereas the effects of exercise applied together with fasting are still debated and not thoroughly studied. Thus, we hypothesised that alterations in methylarginines such as ADMA, SDMA and L-NMMA [...] Read more.
Changes in serum concentration of methylarginines and amino acids after exercise are well documented, whereas the effects of exercise applied together with fasting are still debated and not thoroughly studied. Thus, we hypothesised that alterations in methylarginines such as ADMA, SDMA and L-NMMA might be responsible for decreased exercise performance after 8 days of fasting. Additionally, we propose that conditions in which the human body is exposed to prolonged fasting for more than a week elicit a distinctly different response to exercise than after overnight fasting. A group of 10 healthy men with previous fasting experience participated in the study. The exercise test was performed until exhaustion with a gradually increasing intensity before and after the 8-day fast. Blood samples were collected before and immediately after exercise. ADMA, SDMA, L-NMMA, dimethylamine and amino acids were analysed in serum samples by ID-LC-MS/MS. SDMA, L-NMMA and dimethylamine significantly decreased after 8 days of fasting, whereas ADMA did not change. BCAA, Phe, alanine and some other amino acids increased after fasting. Exercise-induced changes in amino acids were distinct after an 8-day fast compared to overnight fasting. A decrease in physical performance accompanied all of these alterations. In conclusion, our data indicate that neither methyl-arginine changes nor the Trp/BCAA ratio can explain exercise-induced fatigue after fasting. However, the observed decrease in hArg concentration suggests the limited synthesis of creatine, possibly contributing to reduced physical performance. Full article
(This article belongs to the Special Issue Advance in Nutrition and Metabolic Homeostasis)
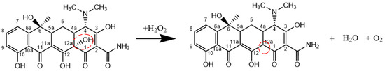
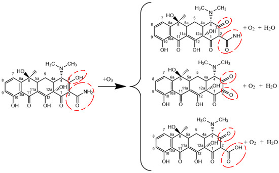
16 pages, 23667 KB  
Article
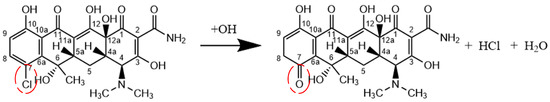
Reactive Molecular Dynamics Simulation on Degradation of Tetracycline Antibiotics Treated by Cold Atmospheric Plasmas
by Jinsen Guo and Yuantao Zhang
Molecules 2023, 28(9), 3850; https://doi.org/10.3390/molecules28093850 - 1 May 2023
Cited by 13 | Viewed by 2977
Abstract
The abuse of tetracycline antibiotics (TCs) has caused serious environmental pollution and risks to public health. Degradation of TCs by cold atmospheric plasmas (CAPs) is a high efficiency, low energy consumption and environmentally friendly method. In this study, a reactive molecular dynamics (MD) [...] Read more.
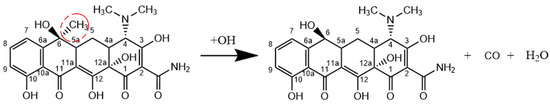
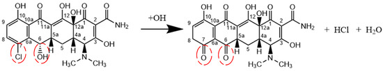
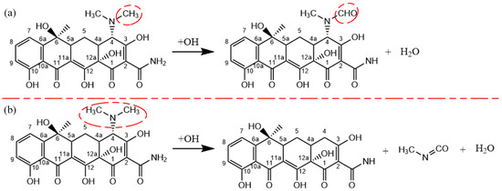
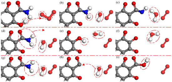
The abuse of tetracycline antibiotics (TCs) has caused serious environmental pollution and risks to public health. Degradation of TCs by cold atmospheric plasmas (CAPs) is a high efficiency, low energy consumption and environmentally friendly method. In this study, a reactive molecular dynamics (MD) simulation is applied to study the interactions of reactive oxygen species (ROS) produced in CAPs and TCs (including tetracycline (TC), oxytetracycline (OTC), chlortetracycline (CTC) and demeclocycline (DMC)). As revealed by the simulation data at the atomic level, the main reaction sites on TCs are the C2 acylamino, the C4 dimethylamine, the C6 methyl group, the C8 site on the benzene ring and the C12a tertiary alcohol. The interaction between ROS and TCs is usually initiated by H-abstraction, followed by the breaking and formation of the crucial chemical bonds, such as the breaking of C-C bonds, C-N bonds and C-O bonds and the formation of C=C bonds and C=O bonds. Due to the different structures of TCs, when the ROS impact OTC, CTC and DMC, some specific reactions are observed, including carbonylation at the C5 site, dechlorination at the C7 site and carbonylation at the C6 site, respectively. Some degradation products obtained from the simulation data have been observed in the experimental measurements. In addition, the dose effects of CAP on TCs by adjusting the number of ROS in the simulation box are also investigated and are consistent with experimental observation. This study explains in detail the interaction mechanisms of degradation of TCs treated by CAPs with the final products after degradation, provides theoretical support for the experimental observation, then suggests optimization to further improve the efficiency of degradation of TCs by CAPs in applications. Full article
Show Figures

Figure 1

23 pages, 12281 KB  
Article
One-Step Synthesis of Self-Stratification Core-Shell Latex for Antimicrobial Coating
by Guanzhou Zhen, Yuanchun Mu, Peichen Yuan, Yankun Li and Xiaoyu Li
Molecules 2023, 28(6), 2795; https://doi.org/10.3390/molecules28062795 - 20 Mar 2023
Cited by 6 | Viewed by 3096
Abstract
Herein, we describe a one-step method for synthesizing cationic acrylate-based core-shell latex (CACS latex), which is used to prepare architectural coatings with excellent antimicrobial properties. Firstly, a polymerizable water-soluble quaternary ammonium salt (QAS-BN) was synthesized using 2-(Dimethylamine) ethyl methacrylate (DMAEMA) and benzyl bromide [...] Read more.
Herein, we describe a one-step method for synthesizing cationic acrylate-based core-shell latex (CACS latex), which is used to prepare architectural coatings with excellent antimicrobial properties. Firstly, a polymerizable water-soluble quaternary ammonium salt (QAS-BN) was synthesized using 2-(Dimethylamine) ethyl methacrylate (DMAEMA) and benzyl bromide by the Hoffman alkylation reaction. Then QAS-BN, butyl acrylate (BA), methyl methacrylate (MMA), and vinyltriethoxysilane (VTES) as reactants and 2,2’-azobis(2-methylpropionamidine) dihydrochloride (AIBA) as a water-soluble initiator were used to synthesize the CACS latex. The effect of the QAS-BN dosage on the properties of the emulsion and latex film was systematically investigated. The TGA results showed that using QAS-BN reduced the latex film’s initial degradation temperature but improved its thermal stability. In the transmission electron microscopy (TEM) photographs, the self-stratification of latex particles with a high dosage of QAS-BN was observed, forming a core-shell structure of latex particles. The DSC, TGA, XPS, SEM, and performance tests confirmed the core-shell structure of the latex particles. The relationship between the formation of the core-shell structure and the content of QAS-BN was proved. The formation of the core-shell structure was due to the preferential reaction of water-soluble monomers in the aqueous phase, which led to the aggregation of hydrophilic groups, resulting in the formation of soft-core and hard-shell latex particles. However, the water resistance of the films formed by CACS latex was greatly reduced. We introduced a p-chloromethyl styrene and n-hexane diamine (p-CMS/EDA) crosslinking system, effectively improving the water resistance in this study. Finally, the antimicrobial coating was prepared with a CACS emulsion of 7 wt.% QAS-BN and 2 wt.% p-CMS/EDA. The antibacterial activity rates of this antimicrobial coating against E. coli and S. aureus were 99.99%. The antiviral activity rates against H3N2, HCoV-229E, and EV71 were 99.4%, 99.2%, and 97.9%, respectively. This study provides a novel idea for the morphological design of latex particles. A new architectural coating with broad-spectrum antimicrobial properties was obtained, which has important public health and safety applications. Full article
(This article belongs to the Section Materials Chemistry)
Show Figures

Figure 1

17 pages, 4375 KB  
Article
Two-Photon Absorption and Multiphoton Excited Fluorescence of Acetamide-Chalcone Derivatives: The Role of Dimethylamine Group on the Nonlinear Optical and Photophysical Properties
by André Gasparotto Pelosi, Eli Silveira-Alves, Leandro Henrique Zucolotto Cocca, João Victor Valverde, Guilherme Roberto Oliveira, Daniel Luiz da Silva, Leonardo De Boni, Pablo José Gonçalves and Cleber Renato Mendonca
Molecules 2023, 28(4), 1572; https://doi.org/10.3390/molecules28041572 - 6 Feb 2023
Cited by 10 | Viewed by 3392
Abstract
This work studied the effect of different electron-withdrawing and electron-donating groups on the linear and nonlinear optical properties of acetamide-chalcone derivatives. The results showed that the addition of the dimethylamine group led to a large fluorescence emission (71% of fluorescence quantum yield in [...] Read more.
This work studied the effect of different electron-withdrawing and electron-donating groups on the linear and nonlinear optical properties of acetamide-chalcone derivatives. The results showed that the addition of the dimethylamine group led to a large fluorescence emission (71% of fluorescence quantum yield in DMSO solution) that can be triggered by two and three-photon excitations, which is essential for biological applications. Furthermore, dimethylamine also red-shifts the lower energy state by approximately 90 nm, increasing the two-photon absorption cross-section of the lower energy band by more than 100% compared with the other studied compounds. All compounds presented two-electronic states observed through one and two-photon absorption spectroscopy and confirmed by Quantum Chemistry Calculations (QCCs). QCC results were also used to model the experimental two-photon absorption cross-sectional spectrum by the Sum-Over-States (SOS) approach, revealing a dependence between the coupling of the ground state with the first excited state and the transition dipole moment between these states. Full article
(This article belongs to the Special Issue Feature Papers in Materials Chemistry)
Show Figures

Figure 1

Back to TopTop