Abstract
Exercise affects serum levels of amino acids and their metabolites, with important metabolic consequences. Since vitamin D impacts skeletal muscle protein degradation, we hypothesised that it would also impact exercise-induced changes in serum amino acid levels and the serum levels of arginine metabolites, influencing the body’s ability to synthesise NO. Accordingly, we analysed the effect of a single high-dose vitamin D supplementation on the serum levels of various amino acids in ultramarathon runners. Thirty-five male amateur runners were assigned to the supplemented group, administered 150,000 IU vitamin D in vegetable oil 24 h before the run (n = 16), or the control (placebo) group (n = 19). Blood was sampled 24 h before, immediately after, and 24 h after the run. Changes in the serum levels of some amino acids were distinct in the two groups. The asymmetric dimethyl arginine levels were significantly decreased immediately after the run and increased 24 h later and were not affected by the supplementation. The symmetric dimethyl arginine levels were increased after the run in both groups but were lower in the supplemented group than in the placebo group 24 h after the run. The dimethylamine levels increased significantly in the supplemented group as compared to the placebo group. In conclusion, vitamin D impacts exercise-induced changes in serum amino acids and methylated arginine metabolites.
1. Introduction
According to an increasing number of studies, vitamin D sufficiency positively influences skeletal muscle strength and endurance performance [1,2,3]. For example, vitamin D supplementation augments leg lean mass increase after Nordic walking training in women [1]. Conversely, low vitamin D3 active metabolite serum levels are associated with lower isometric arm strength [2]. Furthermore, in humans, adaptive changes in the heart, such as increased left ventricular volume, are blunted in subjects with low 25(OH)D3 levels, confirming the role of vitamin D in adaptation to endurance training [3]. However, despite increasing knowledge of the importance of vitamin D among athletes and physically active individuals, many of them are vitamin-D-deficient, especially in Northern countries [4,5,6,7].
The active metabolite of vitamin D, 1,25(OH)2D3 [8,9,10], regulates actions on 1000 genes by binding to its specific nuclear receptor, the vitamin D receptor (VDR). VDRs are expressed in muscle tissue at various stages of embryonic development, when myoblasts fuse to form myotubes [11]. The non-genomic effect of vitamin D is much faster and results from its combination with VDRs located on the cell membrane. As a result of binding with the membrane receptor, 1,25(OH)2D3 activates several alternative messenger pathways (conversely, low vitamin D3 active metabolite serum levels are associated with lower isometric arm strength, ERK-1/2 cascades, phospholipase C, and c-myc), which cause cellular effects within a few to several seconds from activation. Additionally, the binding of vitamin D to its specific nuclear receptor stimulates the intracellular uptake of inorganic phosphates (necessary for the muscle contractility), which may influence myostatin inhibition and induces the expression of myoblast determination protein 1 (MyoD1) [12]. Furthermore, it affects many other muscle intercellular pathways, such as forkhead box O (FOXO) 3, Notch signalling, myoblast self-renewal, and many others [12]. It is worth noting that vitamin D activity is mainly regulated by its serum concentration; most of the data suggest that 25(OH)D3 levels above 30 ng/mL/35 ng/mL provide optimal musculoskeletal benefits, and levels under <25 nmol/L are associated with significantly lower musculoskeletal effectiveness [13,14,15] and muscle strength [1].
Nevertheless, the effects of vitamin D on muscle and human performance still remain to be completely understood. In addition to the proven effect on muscle tissue, there are still many pathways that may be affected by vitamin D and its activity.
It is well-established that endurance exercise capacity is determined by working muscle blood flow, which is determined by cardiac output and microvascular blood flow [16,17]. The latter is tightly regulated and depends on the synthesis of nitric oxide (NO), which is involved in the relaxation of the vasculature of smooth muscle cells [4]. NO is synthesised from arginine by endothelial NO synthases (eNOS) in a reaction that also produces citrulline. Arginine availability is an important determinant of NO synthesis. In many cells, including arterial endothelial cells, two enzymatic reactions recycle citrulline into arginine. The importance of these reactions is underlined by the observation that in vitro, citrulline stimulates NO production even in a medium containing saturating arginine levels [17]. Furthermore, arginine availability can be determined by measuring the activity of arginase, the enzyme that converts arginine into urea and ornithine. In addition, there is overwhelming evidence showing that arginine supplementation does not improve eNOS activity, and no ergogenic effects are observed [17]. Hence, NO production depends mainly on the efficient recycling of arginine-derived citrulline back into arginine and not so much on an exogenous arginine supply. NO synthesis is also controlled by asymmetric dimethylarginine (ADMA), an endogenous inhibitor of NOS, and possibly by symmetric dimethylarginine (SDMA), which alters arginine concentration through competition for amino acid transporters [18]. A considerable amount of ADMA is further metabolised into citrulline and dimethylamine (DMA) in a reaction catalysed by dimethylarginine dimethylaminohydrolase (DDAH), with approximately 20% of the ADMA excreted by the kidneys [19]. In conditions such as oxidative stress, hyperhomocysteinemia, hypertension, and others, DDAH activity has been reported to decrease [19].
Vitamin D has been reported to exert some antioxidative effects [20]. For example, vitamin D supplementation reduces oxidative damage to proteins and lipids in the skeletal muscle of patients with low back pain [20]. However, many properties of vitamin D still need to be fully defined, and the complexity of its impact is a research problem requiring many studies and analyses. Thus, the current study aimed to evaluate the impacts of high-dose vitamin D supplementation on ultramarathon-induced changes in the levels of amino acids and their metabolites. We hypothesised that improved vitamin D status would impact the serum levels of arginine metabolites, influencing the body’s ability to synthesise NO.
2. Materials and Methods
2.1. Experimental Overview
This study is a continuation of a previous investigation [21] that aimed to assess the impact of a single high dose of vitamin D on vitamin D metabolites in ultramarathon runners and is a part of the project “Vitamin D as a Factor Modifying Adaptation to Exercise”. The study was registered as the clinical trial NCT03417700.
The study was designed as a double-blind randomised controlled trial with parallel groups, i.e., the supplementation and placebo (control) groups. The supplementation involved the administration of a single high dose of vitamin D.
2.2. Participants
A group of thirty-five semi-professional male ultramarathon runners took part in the study. All participants started in the Lower Silesian Mountain Runs Festival 2018 Ultra Marathon Race (characteristic—Supplementary Materials). They were randomly assigned to two groups: the experimental (supplemented, S; n = 16) or placebo (control, C; n = 19) group. All the runners had previous ultramarathon experience (a minimum of 5 starts). Detailed information about the participants’ physical characteristics, training loads, and performance in the Cooper test [22] is provided elsewhere [1].
The study protocol was approved by the Bioethics Committee for Clinical Research at the Regional Medical Chamber in Gdańsk (decision no. KB-24/16). The study was registered as the clinical trial NCT03417700.
2.3. Ultramarathon Run
All participants participated in the Lower Silesian Mountain Run Festival 2018 organised at Lądek Zdrój (Lower Silesian Voivodeship, Poland), with a maximum course length of 240 km.
2.4. Vitamin D Supplementation
The supplemented group were given a single high dose (150,000 IU) of vitamin D3 as a solution in 10 mL of vegetable oil 24 h before starting the ultramarathon. The placebo group received an equivalent volume of placebo solution, administered in the same way as the vitamin D in the S group.
2.5. Sample Collection
Blood samples for serum analysis were taken by a medical diagnostic professional according to the experimental protocol at three different time points: 24 h before the run, immediately after the run (within 5 min of finishing the run), and 24 h after the run. The blood was collected in Sarstedt S-Monovette tubes (S-Monovette® Sarstedt AG&Co, Nümbrecht, Germany) containing a coagulation accelerator. The serum was portioned and frozen at −80 °C until analysis.
For the amino acid analysis, we used a modified method developed by Waraksa et al. 2019 [9]. Serum proteins were first precipitated and derivatized. Quantitative analysis was performed using liquid chromatography–tandem mass spectrometry (Shimadzu Nexera X2 UHPLC (Shimadzu, Japan)) coupled with an 8050 triple-quadruple detector (Shimadzu, Japan). The raw data were collected, processed, and quantified using LabSolutions LCGC.
2.6. Statistical Analysis
The minimal total sample size for a medium effect size at the power of 0.8 and significance level of 0.05 was calculated using GPower ver. 3.1.9.2. and provided a minimal population of 28 subjects.
All data are presented as the mean ± standard deviation. To assess the impact of the ultramarathon combined with vitamin D supplementation on amino acid levels, a two-way (2 × 3) analysis of variance (ANOVA) with repeated measures was performed. The group (S, supplemented; C, control) was the first factor and was represented by participants administered a high dose of vitamin D or placebo, accordingly. The second factor was the time point concerning the ultramarathon run completion: I, 24 h before the run; II, immediately after the run; and III, 24 h after the run. If a significant interaction effect of the two factors was observed, Tukey’s post hoc test was performed.
The assumptions of ANOVA, a normal distribution (Shapiro–Wilk test), and homogeneity of variance (Levene test) were verified and held.
To evaluate the magnitude of the effect, the eta-squared statistic (η2) was used, wherein values equal to or less than 0.01, 0.06, and 0.14 and those over 0.14 indicated a trivial, small, moderate, and large effect, respectively. The level of significance for all tests was set at α = 0.05. The required sample size of 28 participants for a medium effect size and power of 0.80 was determined using G*Power software ver. 3.1.9.4 (Franz Faul et al., Universität Kiel, Kiel, Germany).
3. Results
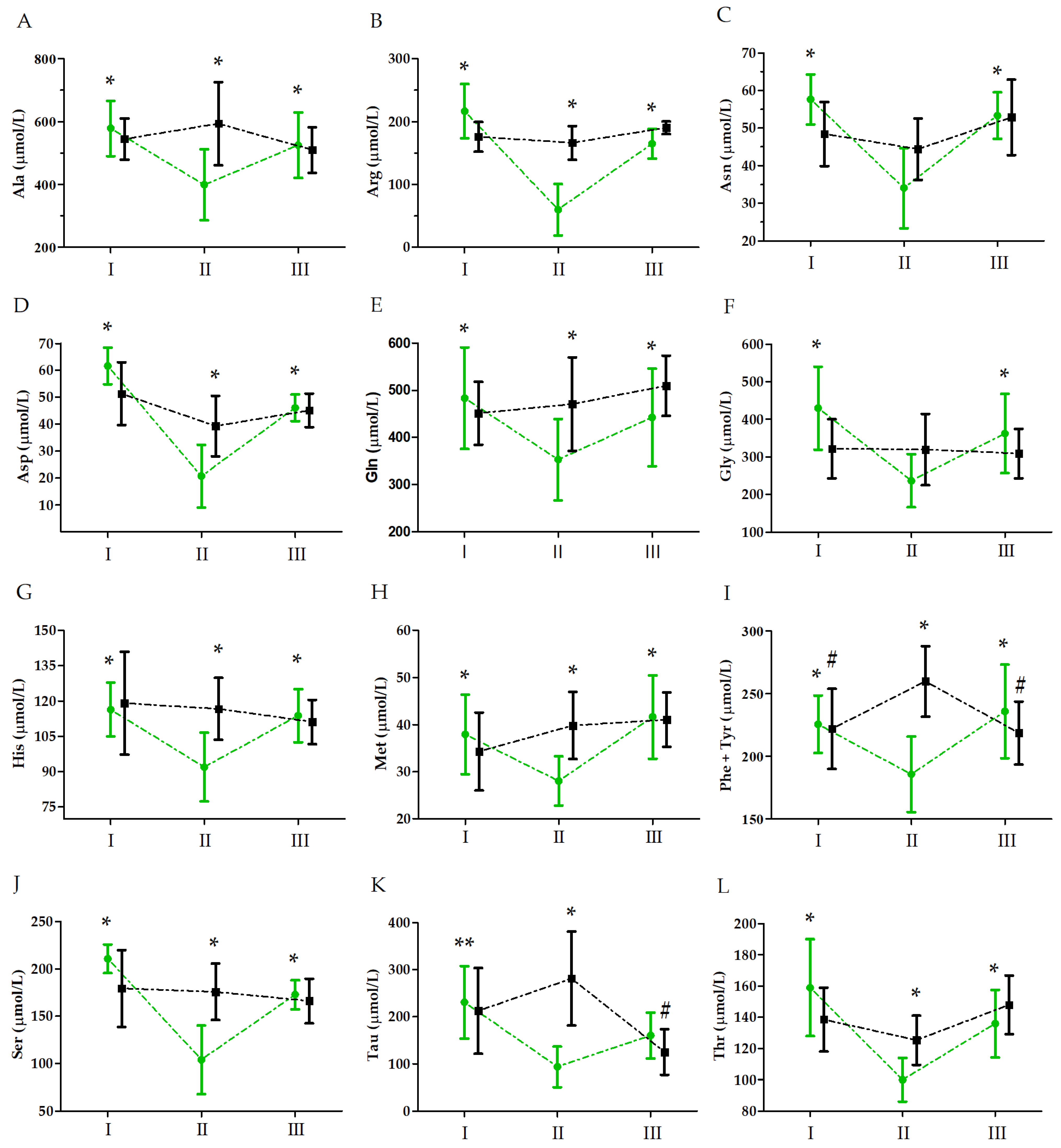
The analysis and changes in amino acid levels induced by the ultramarathon run are presented in Table 1 and Figure 1, respectively. The two-factor ANOVA with repeated measures revealed a significant effect of the UM factor on all the amino acids, except for Ala and Phe + Tyr. In turn, significant interactions of the GR × UM factor were noted for Ala, Arg, Asn, Asp, Gln, Gly, His, Met, Phe + Tyr, Ser, and Thr. Post hoc analysis revealed a significant decrease of these amino acid levels immediately after the run relative to the baseline values in the supplemented group. No significant changes were observed in the control group, except for Tau and Phe + Tyr, where a significant increase immediately after the run was noted. In both groups, the levels of the tested amino acids were close to the baseline values 24 h after the run.
Table 1.
Two-way ANOVA (2 groups × 3 repeated measures) of changes in Please verify that the intended meaning is retained. Amino acid levels induced by the ultramarathon.
Figure 1.
Ultramarathon-induced changes in amino acid levels in runners who received a single high dose of vitamin D (group S, green) and runners who received the placebo (group C, black). (A) Alanine (Ala); (B) arginine (Arg); (C) asparagine (Asn); (D) aspartic acid (AI); (E) glutamic acid (Gln); (F) glutamine (Gly); (G) histidine (His); (H) methionine (Met); (I) phenylalanine + tyrosine (Phe + Tyr); (J) serine (Ser); (K) taurine (Tau); (L) threonine (Thr). Sampling: I, 24 h before the run; II, immediately after the run; and III, 24 h after the run. Abbreviations: *, significant difference vs. group S immediately after the run; **, significant difference vs. group S immediately after and 24 h after the run; #, significant difference vs. group C immediately after the run. The significance level was set at p < 0.01.
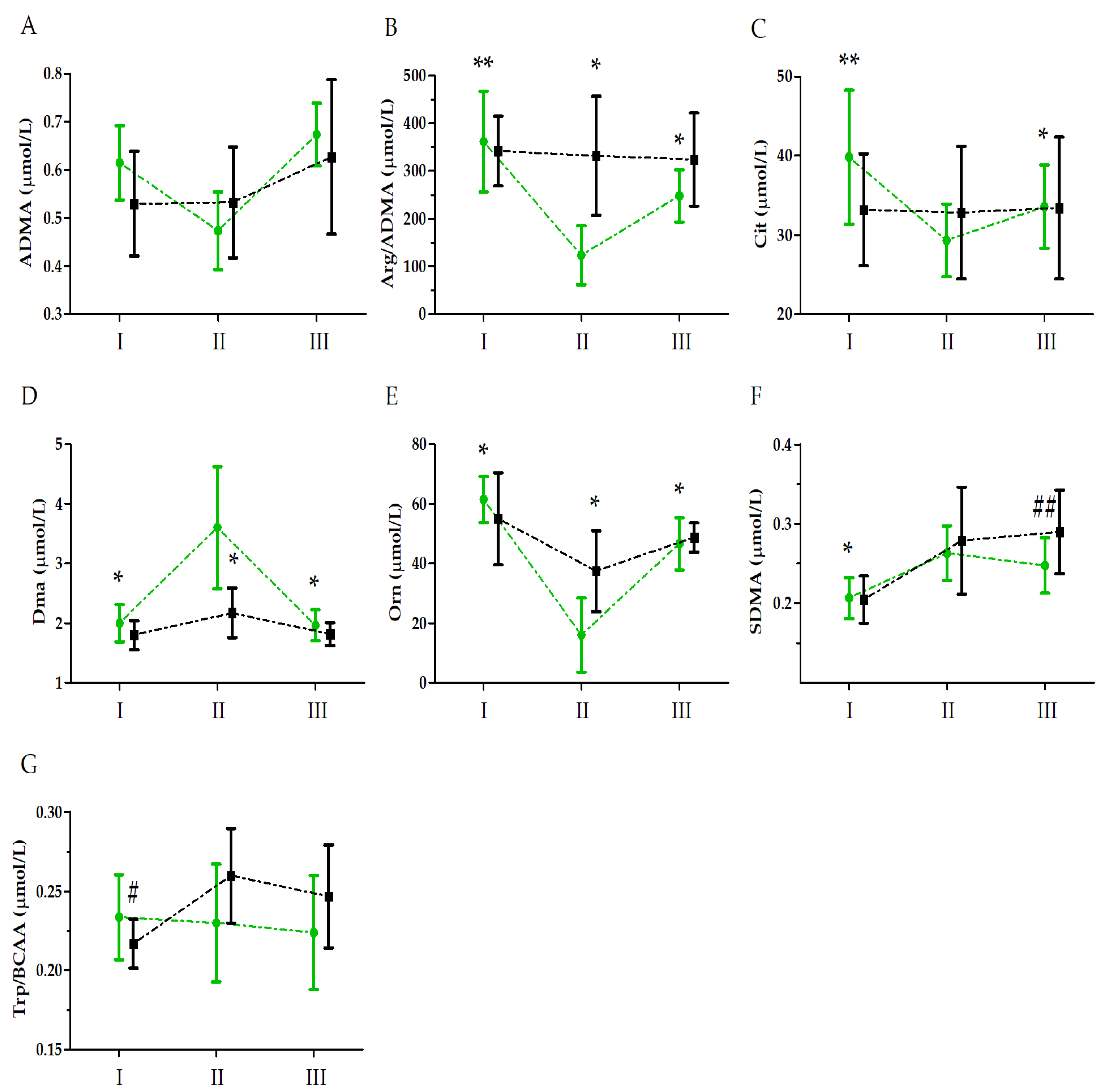
Analysis of the two-factor mixed ANOVA model also revealed an effect of UM and UM × GR interactions on the amino acid metabolites (Table 2). The post hoc analysis indicated a decrease in the Arg/ADMA, citrulline, and ornithine levels relative to the baseline values in the supplemented group, with no significant changes in the control group (Figure 2).
Table 2.
Two-way ANOVA (2 groups × 3 repeated measures) of changes in amino acid metabolite levels induced by the ultramarathon.
Figure 2.
Ultramarathon-induced changes in amino acid metabolite levels in runners who received a single high dose of vitamin D (group S, green) and runners who received the placebo (group C, black). (A) Asymmetric dimethylarginine (ADMA); (B) arginine to asymmetric dimethylarginine ratio (Arg/ADMA); (C) citrulline (Cit); (D) dimethylamine (DMA); (E) ornithine (Orn); (F) symmetric dimethylarginine (SDMA); (G) tryptophan to branched-chain amino acid ratio (Trp/BCAA). Sampling: I, 24 h before the run; II, immediately after the run; and III, 24 h after the run. Abbreviations: *, significant difference vs. group S immediately after the run; **, significant difference vs. group S immediately after and 24 h after the run; #, significant difference vs. group C immediately after the run; ##, significant difference vs. group C 24 h after the run. The significance level was set at p < 0.01.
The dimethylamine (DMA) and symmetric dimethylarginine (SDM) ratio increased relative to the baseline values in the supplemented group, with no changes in the control group. On the other hand, no major changes in the Trp/BCAA ratio were apparent in the supplemented group, with a notable increase immediately after the run compared to the baseline values in the control group.
4. Discussion
In the current study, we demonstrated for the first time that supplementation with vitamin D 24 h before an ultramarathon run significantly influences serum levels of arginine, DMA, citrulline, and ornithine. Notably, arginine levels did not change in athletes not supplemented with vitamin D.
Serum arginine levels reflect arginine formation from citrulline and ornithine and its consumption during exercise. Previously, a decrease in serum arginine levels was observed after a triathlon; however, neither Cit nor Ort levels were measured in that study [23]. Conversely, in another study, while 120 min of exercise on a cycle ergometer did not affect serum arginine levels, a decrease was observed in athletes whose Arg levels were increased before the exercise by supplementation with an amino acid mixture [21]. Notably, vitamin D status was not evaluated in the cited studies.
In the current study, we observed that vitamin D supplementation was associated with exercise-induced changes in serum amino acids and their metabolites.
We were not able to determine the mechanism through which vitamin D affects arginine levels during such an exhausting run. However, the significantly increased serum Phe + Tyr levels after the run in the placebo-supplemented athletes indicate that exercise stimulates proteolysis [22]. Accordingly, several amino acids, including Arg, could be exported into the bloodstream from the skeletal muscle and possibly other tissues. In the vitamin-D-supplemented athletes, the Phe + Tyr levels 24 h post-race were lower than those in the placebo group. This indicates that vitamin D may block proteolysis, as suggested previously [24].
Protein degradation products include methylated forms of arginine, such as SDMA and ADMA. Under physiological conditions, some proteins that contain Arg are methylated by protein arginine methyltransferases. This can lead to the formation of proteins with two methyl groups at one nitrogen atom of the guanidino group (ADMA) or Arg with one methyl group on each terminal guanidine nitrogen atom (SDMA). Both free ADMA and SDMA are released following proteolysis. Approximately 300 μmol of ADMA is formed in healthy adults, with 20% excreted by the kidneys and the remainder of the metabolised excreted by DDAH [25]. It is not known whether extreme exercise affects the metabolic fate of ADMA. Here, we observed that while ADMA levels decreased immediately after the run in both groups, they increased 24 h later. A similar observation was made in triathletes [23]. Notably, we observed a significant difference in the serum DMA levels in the two groups, which were higher in the supplemented group. This indicated that the reaction catalysed by DDAH was augmented by vitamin D. Similar to SDMA, DMA elimination is mainly dependent on urine excretion [26]. Immediately after the run, the serum SDMA levels increased in both groups, indicating that the urine excretion of SDMA was unaffected by vitamin D supplementation. Hence, the increase in DMA levels could result from increased DMA formation rather than impaired excretion. Conversely, 24 h after the run, the DMA levels returned to baseline, while the SDMA levels in the supplemented athletes were lower than those in the placebo group, suggesting better urine elimination in the supplemented group.
Vitamin D supplementation also significantly affected ultramarathon-induced changes in the serum levels of amino acids. The levels of such amino acids as serine, alanine, leucine, isoleucine, valine, methionine, and others decreased after the run only in the athletes in the supplemented group. These amino acids were metabolised during the run. Hence, the observed decrease in their levels in the vitamin-D-supplemented athletes and lack of change or increase in the placebo group could be explained by the vitamin-D-induced inhibition of proteolysis. A significant decrease in essential and non-essential amino acid levels after a half-ironman triathlon was reported previously [27]. Meanwhile, similar to our observations of the vitamin-D-supplemented group in the current study, Areces et al. [27] did not evaluate the vitamin D status of their study participants. However, the study was performed in Spain, and thus, one could expect that the athletes’ serum vitamin D levels were sufficient.
Vitamin D modulates changes in kynurenine metabolism induced by endurance exercise [28]. However, it is essential to note that Trp can also be metabolised to 5-hydroxy-tryptamine (serotonin). The formation of serotonin in the brain might play a role in the experience of fatigue during and after physical exercise. Tryptophan hydroxylase limits the synthesis of serotonin. Because this enzyme is not saturated with a substrate, the rate of serotonin synthesis is sensitive to changes in blood tryptophan levels and its transport across the blood–brain barrier. Trp is transported to the brain via a transporter that also handles other large neutral amino acids, including branched-chain amino acids (BCAAs). Accordingly, rats given low doses of Trp perform better than those given high doses of Trp [29]. Conversely, sustained exercise increases the plasma ratio of free tryptophan to BCAA in animals, the uptake of tryptophan by the brain (in humans), and the synthesis and release of serotonin in the rat brain [30]. Thus, it has been postulated that a decrease in serum BCAA levels during exercise and an increase in the serum Trp/BCAA ratio observed after endurance exercise can augment Trp transport to the brain [31]. Consequently, serotonin formation in the central nervous system increases, resulting in fatigue. Notably, in the current study, the Trp/BCAA ratio did not change in the athletes in the supplemented group, while it increased in the control group. This indicates that vitamin D could be involved in reducing fatigue during exercise. Consistently, BCAA supplementation before a marathon increases serum amino acid levels and provides some improvements in running performance [31].
Collectively, the current study revealed distinct serum levels of some amino acids, including tyrosine and phenylalanine, after an ultramarathon race, which is noteworthy in light of the applied supplementation. The mechanisms underlying these effects may be multifaceted. The results suggest that an intake of vitamin D could suppress the protein degradation increase that occurs during sustained exercise. Furthermore, the Arg/ADMA ratio was lower in the vitamin-D-supplemented athletes than in the placebo group, despite the observed increase in DMA levels, indicating rapid ADMA metabolism. It is possible that the serum Arg/ADMA ratio could be different from that in tissues, as suggested above [19,32]. Conversely, the unchanged serum Trp/BCAA ratio in runners supplemented with vitamin D might have contributed to their improved physical performance.
4.1. Limitations
While this study concentrated on the distinct serum levels of amino acids following an ultramarathon race and the potential impacts of vitamin D supplementation, it has certain limitations. Despite our meticulously designed procedures, we were unable to analyse the concentrations of methylarginines in the subjects’ urine. These urinary levels could have provided further insight into the efficiency of methylarginine elimination by the kidneys and offered an enhanced understanding of their metabolism and renal function. However, the data we gathered significantly elucidate the range of pathophysiological processes associated with these compounds, particularly in the context of the physiological stress induced by an ultramarathon. This study provides substantial value for understanding physiological responses to extreme endurance events with respect to these compounds and their role in extreme physical exertion.
4.2. Conclusions
Demonstrating the direct effects of vitamin D supplementation on ultramarathon-induced changes in serum amino acid levels can prove that effective vitamin D supplementation (which is associated with an increased blood concentration of vitamin D metabolites) could suppress protein degradation. Some evidence for the presented activity of vitamin D in muscle protein turnover was already known almost forty years ago, for example, in Wassner et al.’s work [33]. These authors proved that muscle protein turnover rates (both in vivo and in vitro) and myofibrillar protein degradation are determined by vitamin D status, which is increased in cases of vitamin D deficiency. Moreover, vitamin-D-supplemented rats showed significantly higher insulin levels (probably due to the role of vitamin D in maintaining plasma calcium), and it may affect muscle protein turnover by preventing hypocalcaemia and directly stimulating insulin secretion [33], suggesting that the observed effect of vitamin D on health can be multi-directional.
Over the years, many researchers have proven that vitamin D supplementation can inhibit muscle protein degradation caused by external factors, ageing, diseases, or, essentially, demanding exercises [34,35,36]. This is why supplementation with vitamin D, especially in cases where the vitamin D status is insufficient, can benefit the athlete’s health, especially in demanding and long-lasting exercises like ultramarathon mountain running. The main pathways of this process are still not fully understood, and the presented data, concentrating only on the distinct serum levels of amino acids following an ultramarathon race, provide only a few answers regarding the interdependence and interactions of vitamin D status and post-exercise metabolic changes.
However, considering the multi-directional activity of vitamin D (from the inhibition of inflammation to metabolic regulation, body homeostasis, mitochondrial activation, and hormonal regulation), its appropriate status in sports competition seems to be very beneficial or even essential to maintaining good health. This study provides substantial value for understanding physiological responses to extreme endurance events with respect to these compounds and their role in extreme physical exertion.
Supplementary Materials
The following supporting information can be downloaded at: https://www.mdpi.com/article/10.3390/nu15163536/s1, Table S1: Participants’ characteristics (n = 35); Table S2: Summary of training loads during typical one week of the two periods of training (n = 35); Table S3: Characteristics of the maximum oxygen uptake capacity (VO2 max) in ultramarathon runners based on the Cooper test (Cooper, 1968).
Author Contributions
Conceptualization, J.M. and J.A.; methodology, J.M., B.S., A.K., T.K., B.N., P.B., T.W. and J.A.; software, J.M., A.K., B.N. and T.K.; validation, J.M., P.B., B.N. and A.K.; formal analysis, J.M. and J.A.; investigation, J.M., B.S., T.K., A.K., P.B., K.Z., T.W. and J.A.; resources, J.M., J.A. and P.B.; data curation, J.M., A.K., B.S., T.K., K.Z. and J.A.; writing—original draft preparation, J.M., A.K., P.B., J.R., B.S., K.Z., J.A. and B.N.; writing—review and editing, J.A., J.M., T.K., T.W., J.R., A.K., P.B., B.N. and T.K.; visualization, A.K., J.R. and B.N.; supervision, J.M. and J.A.; project administration, J.A.; funding acquisition, J.M. and J.A. All authors have read and agreed to the published version of the manuscript.
Funding
This research was funded by the Knowledge Grant from the National Science Center, Poland, grant number 2020/37/B/NZ7/01794.
Institutional Review Board Statement
This study was conducted following the guidelines of the Declaration of Helsinki and approved by the Bioethics Committee for Clinical Research at the Regional Medical Chamber in Gdańsk (decision no. KB-24/16).
Informed Consent Statement
Informed consent was obtained from all subjects involved in the study.
Data Availability Statement
The data that support the findings of this study are available on request from the corresponding authors, J.M. and J.A.
Acknowledgments
We gratefully acknowledge all participants in the study, the Mountain Marathons Foundation (Kudowa-Zdrój), Piotr Hercog, and Przemysław Ząbecki. The authors also thank Joanna Mackie for the English language editing.
Conflicts of Interest
The authors declare no conflict of interest. The funder had no role in the design of the study; in the collection, analyses, or interpretation of data; in the writing of the manuscript; or in the decision to publish the results.
References
- Mieszkowski, J.; Niespodzinski, B.; Kochanowicz, A.; Gmiat, A.; Prusik, K.; Prusik, K.; Kortas, J.; Ziemann, E.; Antosiewicz, J. The Effect of Nordic Walking Training Combined with Vitamin D Supplementation on Postural Control and Muscle Strength in Elderly People—A Randomized Controlled Trial. Int. J. Environ. Res. Public Health 2018, 15, 1951. [Google Scholar] [CrossRef]
- Grimaldi, A.S.; Parker, B.A.; Capizzi, J.A.; Clarkson, P.M.; Pescatello, L.S.; White, M.C.; Thompson, P.D. 25(OH) vitamin D is associated with greater muscle strength in healthy men and women. Med. Sci. Sports Exerc. 2013, 45, 157–162. [Google Scholar] [CrossRef] [PubMed]
- Allison, R.J.; Close, G.L.; Farooq, A.; Riding, N.R.; Salah, O.; Hamilton, B.; Wilson, M.G. Severely vitamin D-deficient athletes present smaller hearts than sufficient athletes. Eur. J. Prev. Cardiol. 2015, 22, 535–542. [Google Scholar] [CrossRef] [PubMed]
- Angeline, M.E.; Gee, A.O.; Shindle, M.; Warren, R.F.; Rodeo, S.A. The effects of vitamin D deficiency in athletes. Am. J. Sports Med. 2013, 41, 461–464. [Google Scholar] [CrossRef] [PubMed]
- Mieszkowski, J.; Kochanowicz, A.; Piskorska, E.; Niespodzinski, B.; Siodmiak, J.; Busko, K.; Stankiewicz, B.; Olszewska-Slonina, D.; Antosiewicz, J. Serum levels of bone formation and resorption markers in relation to vitamin D status in professional gymnastics and physically active men during upper and lower body high-intensity exercise. J. Int. Soc. Sports Nutr. 2021, 18, 29. [Google Scholar] [CrossRef] [PubMed]
- Lips, P. Vitamin D status and nutrition in Europe and Asia. J. Steroid Biochem. Mol. Biol. 2007, 103, 620–625. [Google Scholar] [CrossRef]
- Farrokhyar, F.; Tabasinejad, R.; Dao, D.; Peterson, D.; Ayeni, O.R.; Hadioonzadeh, R.; Bhandari, M. Prevalence of vitamin D inadequacy in athletes: A systematic-review and meta-analysis. Sports Med. 2015, 45, 365–378. [Google Scholar] [CrossRef] [PubMed]
- Russo, C.; Valle, M.S.; Casabona, A.; Spicuzza, L.; Sambataro, G.; Malaguarnera, L. Vitamin D Impacts on Skeletal Muscle Dysfunction in Patients with COPD Promoting Mitochondrial Health. Biomedicines 2022, 10, 898. [Google Scholar] [CrossRef] [PubMed]
- Capiati, D.; Benassati, S.; Boland, R.L. 1,25(OH)2-vitamin D3 induces translocation of the vitamin D receptor (VDR) to the plasma membrane in skeletal muscle cells. J. Cell. Biochem. 2002, 86, 128–135. [Google Scholar] [CrossRef]
- Dhesi, J.K.; Bearne, L.M.; Moniz, C.; Hurley, M.V.; Jackson, S.H.; Swift, C.G.; Allain, T.J. Neuromuscular and psychomotor function in elderly subjects who fall and the relationship with vitamin D status. J. Bone Miner. Res. 2002, 17, 891–897. [Google Scholar] [CrossRef]
- Costa, E.M.; Blau, H.M.; Feldman, D. 1,25-dihydroxyvitamin D3 receptors and hormonal responses in cloned human skeletal muscle cells. Endocrinology 1986, 119, 2214–2220. [Google Scholar] [CrossRef] [PubMed]
- Olsson, K.; Saini, A.; Stromberg, A.; Alam, S.; Lilja, M.; Rullman, E.; Gustafsson, T. Evidence for Vitamin D Receptor Expression and Direct Effects of 1alpha,25(OH)2D3 in Human Skeletal Muscle Precursor Cells. Endocrinology 2016, 157, 98–111. [Google Scholar] [CrossRef] [PubMed]
- Tomlinson, P.B.; Joseph, C.; Angioi, M. Effects of vitamin D supplementation on upper and lower body muscle strength levels in healthy individuals. A systematic review with meta-analysis. J. Sci. Med. Sport 2015, 18, 575–580. [Google Scholar] [CrossRef]
- Ryan, Z.C.; Craig, T.A.; Folmes, C.D.; Wang, X.; Lanza, I.R.; Schaible, N.S.; Salisbury, J.L.; Nair, K.S.; Terzic, A.; Sieck, G.C.; et al. 1alpha,25-Dihydroxyvitamin D3 Regulates Mitochondrial Oxygen Consumption and Dynamics in Human Skeletal Muscle Cells. J. Biol. Chem. 2016, 291, 1514–1528. [Google Scholar] [CrossRef] [PubMed]
- Beaudart, C.; Buckinx, F.; Rabenda, V.; Gillain, S.; Cavalier, E.; Slomian, J.; Petermans, J.; Reginster, J.Y.; Bruyere, O. The effects of vitamin D on skeletal muscle strength, muscle mass, and muscle power: A systematic review and meta-analysis of randomized controlled trials. J. Clin. Endocrinol. Metab. 2014, 99, 4336–4345. [Google Scholar] [CrossRef]
- Rowland, S.N.; Da Boit, M.; Tan, R.; Robinson, G.P.; O’Donnell, E.; James, L.J.; Bailey, S.J. Dietary Nitrate Supplementation Enhances Performance and Speeds Muscle Deoxyhaemoglobin Kinetics during an End-Sprint after Prolonged Moderate-Intensity Exercise. Antioxidants 2022, 12, 25. [Google Scholar] [CrossRef]
- Olek, R.A.; Ziemann, E.; Grzywacz, T.; Kujach, S.; Luszczyk, M.; Antosiewicz, J.; Laskowski, R. A single oral intake of arginine does not affect performance during repeated Wingate anaerobic test. J. Sports Med. Phys. Fit. 2010, 50, 52–56. [Google Scholar]
- Tain, Y.L.; Hsu, C.N. Toxic Dimethylarginines: Asymmetric Dimethylarginine (ADMA) and Symmetric Dimethylarginine (SDMA). Toxins 2017, 9, 92. [Google Scholar] [CrossRef]
- Palm, F.; Onozato, M.L.; Luo, Z.; Wilcox, C.S. Dimethylarginine dimethylaminohydrolase (DDAH): Expression, regulation, and function in the cardiovascular and renal systems. Am. J. Physiol. Heart Circ. Physiol. 2007, 293, H3227–H3245. [Google Scholar] [CrossRef] [PubMed]
- Dzik, K.; Skrobot, W.; Flis, D.J.; Karnia, M.; Libionka, W.; Kloc, W.; Kaczor, J.J. Vitamin D supplementation attenuates oxidative stress in paraspinal skeletal muscles in patients with low back pain. Eur. J. Appl. Physiol. 2018, 118, 143–151. [Google Scholar] [CrossRef]
- Tsuda, Y.; Yamaguchi, M.; Noma, T.; Okaya, E.; Itoh, H. Combined Effect of Arginine, Valine, and Serine on Exercise-Induced Fatigue in Healthy Volunteers: A Randomized, Double-Blinded, Placebo-Controlled Crossover Study. Nutrients 2019, 11, 862. [Google Scholar] [CrossRef] [PubMed]
- Dohm, G.L. Protein as a fuel for endurance exercise. Exerc. Sport Sci. Rev. 1986, 14, 143–173. [Google Scholar] [CrossRef] [PubMed]
- Nyborg, C.; Bonnevie-Svendsen, M.; Melsom, H.S.; Melau, J.; Seljeflot, I.; Hisdal, J. Reduced L-Arginine and L-Arginine-ADMA-Ratio, and Increased SDMA after Norseman Xtreme Triathlon. Sports 2021, 9, 120. [Google Scholar] [CrossRef] [PubMed]
- Dzik, K.P.; Skrobot, W.; Kaczor, K.B.; Flis, D.J.; Karnia, M.J.; Libionka, W.; Antosiewicz, J.; Kloc, W.; Kaczor, J.J. Vitamin D Deficiency Is Associated with Muscle Atrophy and Reduced Mitochondrial Function in Patients with Chronic Low Back Pain. Oxid. Med. Cell. Longev. 2019, 2019, 6835341. [Google Scholar] [CrossRef]
- Bode-Boger, S.M.; Scalera, F.; Ignarro, L.J. The L-arginine paradox: Importance of the L-arginine/asymmetrical dimethylarginine ratio. Pharmacol. Ther. 2007, 114, 295–306. [Google Scholar] [CrossRef]
- Tsikas, D. Urinary Dimethylamine (DMA) and Its Precursor Asymmetric Dimethylarginine (ADMA) in Clinical Medicine, in the Context of Nitric Oxide (NO) and Beyond. J. Clin. Med. 2020, 9, 1843. [Google Scholar] [CrossRef]
- Areces, F.; Gonzalez-Millan, C.; Salinero, J.J.; Abian-Vicen, J.; Lara, B.; Gallo-Salazar, C.; Ruiz-Vicente, D.; Del Coso, J. Changes in Serum Free Amino Acids and Muscle Fatigue Experienced during a Half-Ironman Triathlon. PLoS ONE 2015, 10, e0138376. [Google Scholar] [CrossRef]
- Mieszkowski, J.; Brzezinska, P.; Stankiewicz, B.; Kochanowicz, A.; Niespodzinski, B.; Reczkowicz, J.; Waldzinski, T.; Kacprzak, B.; Siuba-Jarosz, N.; Petr, M.; et al. Direct Effects of Vitamin D Supplementation on Ultramarathon-Induced Changes in Kynurenine Metabolism. Nutrients 2022, 14, 4485. [Google Scholar] [CrossRef] [PubMed]
- Yamamoto, T.; Newsholme, E.A. The effect of tryptophan deficiency in the brain on rat fatigue levels: A rat model of fatigue reduction. Adv. Exp. Med. Biol. 2003, 527, 527–530. [Google Scholar] [CrossRef] [PubMed]
- Chaouloff, F. Effects of acute physical exercise on central serotonergic systems. Med. Sci. Sports Exerc. 1997, 29, 58–62. [Google Scholar] [CrossRef]
- Blomstrand, E.; Hassmen, P.; Ekblom, B.; Newsholme, E.A. Administration of branched-chain amino acids during sustained exercise--effects on performance and on plasma concentration of some amino acids. Eur. J. Appl. Physiol. Occup. Physiol. 1991, 63, 83–88. [Google Scholar] [CrossRef] [PubMed]
- Spoto, B.; Parlongo, R.M.; Parlongo, G.; Sgro, E.; Zoccali, C. The enzymatic machinery for ADMA synthesis and degradation is fully expressed in human adipocytes. J. Nephrol. 2007, 20, 554–559. [Google Scholar] [PubMed]
- Wassner, S.J.; Li, J.B.; Sperduto, A.; Norman, M.E. Vitamin D Deficiency, hypocalcemia, and increased skeletal muscle degradation in rats. J. Clin. Investig. 1983, 72, 102–112. [Google Scholar] [CrossRef] [PubMed]
- Visser, M.; Deeg, D.J.; Lips, P.; Longitudinal Aging Study, A. Low vitamin D and high parathyroid hormone levels as determinants of loss of muscle strength and muscle mass (sarcopenia): The Longitudinal Aging Study Amsterdam. J. Clin. Endocrinol. Metab. 2003, 88, 5766–5772. [Google Scholar] [CrossRef]
- Cannell, J.J.; Hollis, B.W.; Sorenson, M.B.; Taft, T.N.; Anderson, J.J. Athletic performance and vitamin D. Med. Sci. Sports Exerc. 2009, 41, 1102–1110. [Google Scholar] [CrossRef]
- Ceglia, L.; Harris, S.S. Vitamin D and its role in skeletal muscle. Calcif. Tissue Int. 2013, 92, 151–162. [Google Scholar] [CrossRef]
Disclaimer/Publisher’s Note: The statements, opinions and data contained in all publications are solely those of the individual author(s) and contributor(s) and not of MDPI and/or the editor(s). MDPI and/or the editor(s) disclaim responsibility for any injury to people or property resulting from any ideas, methods, instructions or products referred to in the content. |
© 2023 by the authors. Licensee MDPI, Basel, Switzerland. This article is an open access article distributed under the terms and conditions of the Creative Commons Attribution (CC BY) license (https://creativecommons.org/licenses/by/4.0/).

