Sign in to use this feature.

Years

Between: -

Subjects

remove_circle_outline
remove_circle_outline
remove_circle_outline
remove_circle_outline
remove_circle_outline
remove_circle_outline
remove_circle_outline
remove_circle_outline
remove_circle_outline

Journals

Article Types

Countries / Regions

Search Results (78)

Search Parameters:
Keywords = diffraction of water waves

Order results
Result details
Results per page
Select all
Export citation of selected articles as:
27 pages, 12681 KB  
Article
Study on Damage and Tensile Properties of Thermal-Treated Granite Under Different Thermal Shock Conditions
by Kun Li, Xiaoming Zhao, Haoyu Wang, Dongjie Li, Donghong Dang and Yan Xi
Materials 2026, 19(7), 1404; https://doi.org/10.3390/ma19071404 - 1 Apr 2026
Viewed by 300
Abstract
With the development of deep geothermal resources, including hot dry rock, the issues of low rock-breaking efficiency and wellbore instability encountered when drilling into high-temperature granite reservoirs have become increasingly prominent. The study aims to elucidate the physical degradation and fracture failure mechanisms [...] Read more.
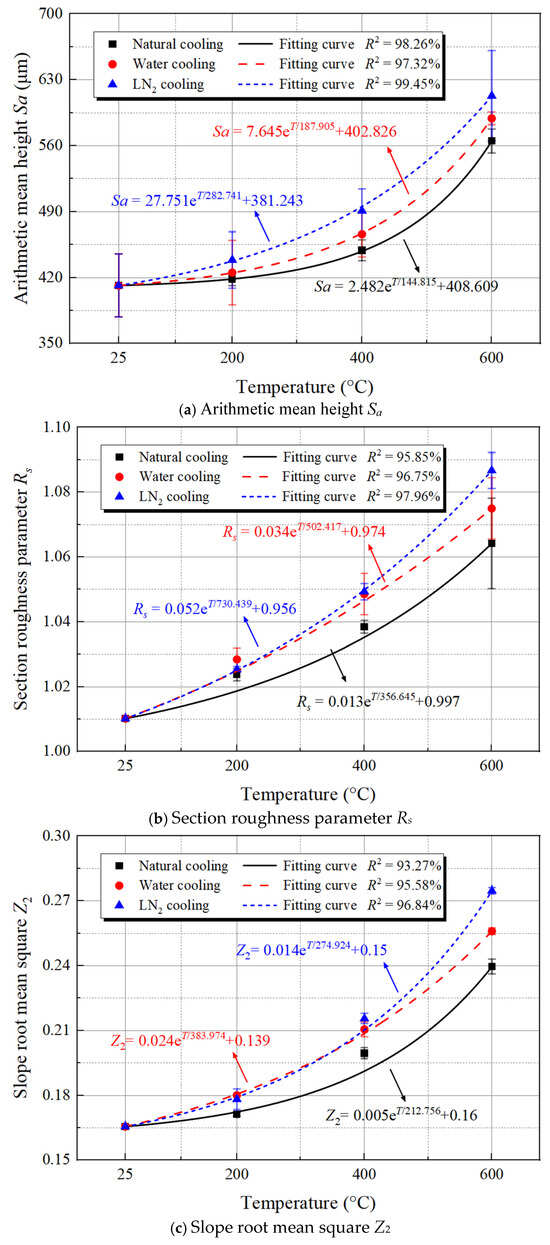
With the development of deep geothermal resources, including hot dry rock, the issues of low rock-breaking efficiency and wellbore instability encountered when drilling into high-temperature granite reservoirs have become increasingly prominent. The study aims to elucidate the physical degradation and fracture failure mechanisms of granite exposed to high temperatures and thermal shock. The mineral composition and microstructure of granite were analyzed by X-ray diffraction (XRD) combined with field emission scanning electron microscopy (FE-SEM). Systematic experiments were conducted to investigate the thermal damage mechanisms and mechanical properties of thermal-treated (25 °C to 600 °C) granite under different cooling conditions (natural cooling, water cooling, LN2 cooling). The experimental results show that the physical parameters of granite exhibit significant path dependence on temperature and cooling rate. When the temperature exceeds 400 °C, the rock undergoes pronounced nonlinear volumetric expansion and a sharp increase in porosity, with P-wave velocity decaying exponentially as the temperature rises. Mechanical tests reveal that high temperature considerably weakens the rock tensile strength. For granite at 600 °C, the maximum reduction in strength reaches 80.79%, and faster cooling leads to greater strength degradation. Additionally, 3D morphology analysis indicates that the section roughness of granite increases exponentially with temperature, where the arithmetic mean height Sa more comprehensively reflects the overall characteristics of surface morphology and demonstrates the strongest ability for characterizing strength. These findings provide a theoretical basis for the efficient volumetric fracturing and rapid drilling technologies applicable to hot dry rock. Full article
(This article belongs to the Section Construction and Building Materials)
Show Figures

Graphical abstract

26 pages, 9393 KB  
Article
Hydrodynamic Simulations of a 2MW Offshore Solar Farm with Floating Breakwater Protection
by Tim Bunnik, Naman Baderiya and Joep van der Zanden
Energies 2026, 19(7), 1609; https://doi.org/10.3390/en19071609 - 25 Mar 2026
Viewed by 366
Abstract
Following successful applications in inland water bodies, floating photovoltaics (FPV) developers are now targeting offshore sites. This advancement requires numerical tools that can quantify the hydrodynamic performance of large-scale FPV farms. The existing wave-diffraction solver DIFFRAC was extended to simulate the response of [...] Read more.
Following successful applications in inland water bodies, floating photovoltaics (FPV) developers are now targeting offshore sites. This advancement requires numerical tools that can quantify the hydrodynamic performance of large-scale FPV farms. The existing wave-diffraction solver DIFFRAC was extended to simulate the response of a large number of interconnected floating objects on a supercomputer. The applicability is demonstrated by simulating a 2 MWp offshore solar farm, consisting of 3660 FPV modules moored inside a protective ring of 32 interconnected floating breakwaters (FBWs). The FPV motions and loads on FPV connectors in regular and irregular waves are compared to a reference case without FBW protection. Results show an average reduction in axial FPV connector loads in the setup with FBW ring, but local load enhancements occur due to dynamic amplifications of horizontal FPV module motions. Vertical loads and overturning moments onto FPV connectors are globally reduced by up to 50% in steep irregular seas but are locally enhanced due to standing waves that develop inside the ring. The insights of the hydrodynamic behaviour lead to recommendations for improving the farm configuration to further reduce fatigue and survival loads onto FPV modules and connectors. Full article
(This article belongs to the Special Issue Floating PV Systems On and Offshore: 2nd Edition)
Show Figures

Figure 1

13 pages, 290 KB  
Review
Beyond Accuracy: Importance of Practical Potential-Flow Tools in Ship Hydrodynamics Design
by Francis Noblesse and Jiayi He
J. Mar. Sci. Eng. 2026, 14(4), 366; https://doi.org/10.3390/jmse14040366 - 14 Feb 2026
Cited by 1 | Viewed by 289
Abstract
The development of increasingly more accurate computational methods is a primary research focus in ship hydrodynamics and fluid mechanics. However, reliable, robust, efficient, easy-to-apply ‘simple’ computational tools that account for dominant flow physics—but may neglect flow features that only have a relatively minor [...] Read more.
The development of increasingly more accurate computational methods is a primary research focus in ship hydrodynamics and fluid mechanics. However, reliable, robust, efficient, easy-to-apply ‘simple’ computational tools that account for dominant flow physics—but may neglect flow features that only have a relatively minor influence—are of paramount importance for practical applications to design optimization. This general argument is expounded in the first part of the study, and is illustrated in the second part in a review of panel methods related to the classical 3D potential-flow analysis of wave diffraction–radiation by a ship that steadily advances through regular waves or in calm water. Specifically, this review examines basic choices and significant difficulties involved in the development of panel methods that are useful for practical design applications and design optimization. Full article
(This article belongs to the Section Ocean Engineering)
14 pages, 5048 KB  
Article
Transmissive Multilayer Geometric Phase Gratings Using Water-Soluble Alignment Material
by Fatemeh Abbasi, Kristiaan Neyts, Inge Nys and Jeroen Beeckman
Crystals 2026, 16(1), 62; https://doi.org/10.3390/cryst16010062 - 15 Jan 2026
Viewed by 571
Abstract
Multilayer liquid crystal devices can offer enhanced optical functionalities for augmented reality and photonic applications, but fabrication remains severely limited by solvent incompatibility between photoalignment materials and underlying polymerized layers. Conventional photoalignment agents use aggressive solvents like N,N-dimethylformamide that damage polymerized substrates, necessitating [...] Read more.
Multilayer liquid crystal devices can offer enhanced optical functionalities for augmented reality and photonic applications, but fabrication remains severely limited by solvent incompatibility between photoalignment materials and underlying polymerized layers. Conventional photoalignment agents use aggressive solvents like N,N-dimethylformamide that damage polymerized substrates, necessitating protective interlayers. This study demonstrates a water-soluble photoalignment approach using AbA-2522 that eliminates these fabrication barriers. The water-soluble alignment material enables direct multilayer processing without layer damage while maintaining alignment quality equivalent to conventional materials. We successfully fabricate compact transmissive devices integrating liquid crystal polarization gratings with quarter-wave plates, achieving a first-order diffraction efficiency of 65.4% for 9 μm period gratings for linearly polarized incident light (λ = 457 nm). The multilayer structure exhibits highly selective polarization-dependent diffraction with efficiency ratios exceeding 10:1 between preferred and suppressed orders, eliminating external polarization control elements. Polarized optical microscopy confirms excellent alignment uniformity, while the fabrication process offers environmental benefits and reduced complexity. This approach establishes a practical pathway for advanced multilayer photonic devices critical for next-generation augmented reality systems and photonic integration, addressing fundamental challenges that have limited multilayer liquid crystal device development. Full article
(This article belongs to the Collection Liquid Crystals and Their Applications)
Show Figures

Graphical abstract

20 pages, 5299 KB  
Article
Study on the Deterioration Characteristics of Sandstone Cultural Relics Under the Synergistic Action of Dry-Wet Cycles and Acids, Alkalis, Salts and Composite Solutions
by Jiawei Zhang, Pu Hu, Yushan Lian, Wei Huang, Yong Zheng, Qingyang Wu and Yuanchun Niu
Appl. Sci. 2026, 16(2), 770; https://doi.org/10.3390/app16020770 - 12 Jan 2026
Viewed by 393
Abstract
Stone cultural relics are primarily composed of sandstone, a water-sensitive rock that is highly susceptible to deterioration from environmental solutions and dry-wet cycles. Sandstone pagodas are often directly exposed to natural elements, posing significant risks to their preservation. Therefore, it is crucial to [...] Read more.
Stone cultural relics are primarily composed of sandstone, a water-sensitive rock that is highly susceptible to deterioration from environmental solutions and dry-wet cycles. Sandstone pagodas are often directly exposed to natural elements, posing significant risks to their preservation. Therefore, it is crucial to investigate the performance of sandstone towers in complex solution environments and understand the degradation mechanisms influenced by multiple environmental factors. This paper focuses on the twin towers of the Huachi Stone Statue in Qingyang City, Gansu Province, China, analyzing the changes in chemical composition, surface/microstructure, physical properties, and mechanical characteristics of sandstone under the combined effects of various solutions and dry-wet cycles. The results indicate that distilled water has the least effect on the mineral composition of sandstone, while a 5% Na2SO4 solution can induce the formation of gypsum (CaSO4·2H2O). An acidic solution, such as sulfuric acid, significantly dissolves calcite and diopside, leading to an increase in gypsum diffraction peaks. Additionally, an alkaline solution (sodium hydroxide) slightly hydrolyzes quartz and albite, promoting calcite precipitation. The composite solution demonstrates a synergistic ion effect when mixed with various single solutions. Microstructural examinations reveal that sandstone experiences only minor pulverization in distilled water. In contrast, the acidic solution causes micro-cracks and particle shedding, while the alkaline solution results in layered spalling of the sandstone surface. A salt solution leads to salt frost formation and pore crystallization, with the composite solution of sodium hydroxide and 5% Na2SO4 demonstrating the most severe deterioration. The sandstone is covered with salt frost and spalling, exhibiting honeycomb pores and interlaced crystal structures. From a physical and mechanical perspective, as dry-wet cycles increase, the water absorption and porosity of the sandstone initially decrease slightly before increasing, while the longitudinal wave velocity and uniaxial compressive strength continually decline. In summary, the composite solution of NaOH and 5% Na2SO4 results in the most significant deterioration of sandstone, whereas distilled water has the least impact. The combined effects of acidic/alkaline and salt solutions generally exacerbate sandstone damage more than individual solutions. This study offers insights into the regional deterioration characteristics of the Huachi Stone Statue Twin Towers and lays the groundwork for disease control and preventive preservation of sandstone cultural relics in similar climatic and geological contexts. Full article
Show Figures

Figure 1

18 pages, 8099 KB  
Article
Machine Learning-Based Recursive Prediction and Application of Green’s Function of Water-Wave Radiation and Diffraction
by Minmin Zheng, Xinsheng Fan, Chuanqing Li, Jianpeng Li, Duolun He and Renchuan Zhu
J. Mar. Sci. Eng. 2025, 13(8), 1488; https://doi.org/10.3390/jmse13081488 - 1 Aug 2025
Cited by 1 | Viewed by 691
Abstract
The frequency-domain free-surface Green’s function method is widely used in solving ship hydrodynamic problems, with its core challenge lying in the computation of the Green’s function and its partial derivatives. This study analyzes the relationship between the free-surface Green’s function and its derivatives, [...] Read more.
The frequency-domain free-surface Green’s function method is widely used in solving ship hydrodynamic problems, with its core challenge lying in the computation of the Green’s function and its partial derivatives. This study analyzes the relationship between the free-surface Green’s function and its derivatives, proposing a machine learning-based recursive prediction method termed the pulsating source recursive prediction method. The accuracy and efficiency of this method under various parameter settings are investigated, and its application to the hydrodynamic calculations of container ship S175 and a bulk carrier is demonstrated. Results show that the predicted Green’s function achieves an accuracy of 3–6 decimals, with computational efficiency surpassing numerical methods and matching analytical approaches. The hydrodynamic results are reliable, confirming the method’s practical value. Full article
(This article belongs to the Special Issue Advancements in Marine Hydrodynamics and Structural Optimization)
Show Figures

Figure 1

20 pages, 3455 KB  
Article
Pore Structure Characterization of Jurassic Sandstones in the Northeastern Ordos Basin: An Integrated Experimental and Inversion Approach
by Haiyang Yin, Tongjun Chen, Yueyue Li, Haicheng Xu and Wan Li
Minerals 2025, 15(5), 547; https://doi.org/10.3390/min15050547 - 20 May 2025
Viewed by 1022
Abstract
Although Mercury Intrusion Porosimetry (MIP) and Nuclear Magnetic Resonance (NMR) are widely used for pore characterization, their effectiveness is fundamentally constrained by theoretical limitations. This study investigated the pore structure characteristics of coal-bearing sandstones from the northeastern Ordos Basin using an integrated approach [...] Read more.
Although Mercury Intrusion Porosimetry (MIP) and Nuclear Magnetic Resonance (NMR) are widely used for pore characterization, their effectiveness is fundamentally constrained by theoretical limitations. This study investigated the pore structure characteristics of coal-bearing sandstones from the northeastern Ordos Basin using an integrated approach combining experimental measurements and model-based inversion. The experimental measurements comprised a stress-dependent acoustic velocity test (P- and S-wave velocities), X-ray diffraction (XRD) mineralogical analysis, and NMR relaxation T2 spectra characterization. For model-based inversion, we developed an improved Mori-Tanaka (M-T) theoretical framework incorporating stress-sensitive pore geometry parameters and dual-porosity (stiff/soft) microstructure representation. Systematic analysis revealed four key findings: (1) excellent agreement between model-inverted and NMR-derived total porosity, with a maximum absolute error of 1.09%; (2) strong correlation between soft porosity and the third peak of T2 relaxation spectra; (3) stiff porosity governed by brittle mineral content (quartz and calcite), while soft porosity showing significant correlation with clay mineral abundance and Poisson’s ratio; and (4) markedly lower elastic moduli (28.78%–51.85%) in Zhiluo Formation sandstone compared to Yan’an Formation equivalents, resulting from differential diagenetic alteration despite comparable depositional settings. The proposed methodology advances conventional NMR analysis by simultaneously quantifying both pore geometry parameters (e.g., aspect ratios) and the stiff-to-soft pore distribution spectra. This established framework provides a robust characterization of the pore architecture in Jurassic sandstones, yielding deeper insights into sandstone pore evolution within the Ordos Basin. These findings provide actionable insights for water hazard mitigation and geological CO2 storage practices. Full article
(This article belongs to the Section Mineral Exploration Methods and Applications)
Show Figures

Figure 1

20 pages, 6969 KB  
Article
Multi-Physics Coupling Simulation of Surface Stress Waves for Interface Debonding Detection in Underwater Grouting Jacket Connections with PZT Patches
by Bin Xu, Qian Liu, Xinhai Zhu and Hanbin Ge
Sensors 2025, 25(10), 3124; https://doi.org/10.3390/s25103124 - 15 May 2025
Cited by 1 | Viewed by 1008
Abstract
Interface debonding between the steel tube and grouting materials in grouting jacket connections (GJCs) of offshore wind turbine supporting structures leads to negative effects on the load-carrying capacity and safety concerns. In this paper, an interface debonding defect detection and localization approach for [...] Read more.
Interface debonding between the steel tube and grouting materials in grouting jacket connections (GJCs) of offshore wind turbine supporting structures leads to negative effects on the load-carrying capacity and safety concerns. In this paper, an interface debonding defect detection and localization approach for scale underwater GJC specimens using surface wave measurement is proposed and validated numerically. A multi-physics finite element model (FEM) of underwater GJCs with mimicked interface debonding defects, surrounded by water, and coupled with surface-mounted piezoelectric lead zirconate titanate (PZT) patches is established. Under the excitation of a five-cycle modulated signal, the surface stress wave propagation, including transmission, diffraction, and reflection, within the outer steel tube, grouting material, and inner steel tube is simulated. The influence of mimicked interface debonding defects of varying dimensions on stress wave propagation is systematically analyzed through stress wave field distributions at distinct time intervals. Additionally, the response of surface-mounted PZT sensors in the underwater GJC model under a one-pitch-one-catch (OPOC) configuration is analyzed. Numerical results demonstrate that the wavelet packet energy (WPE) of the surface wave measurement from the PZT sensors corresponding to the traveling path with a mimicked interface debonding defect is larger than that without a defect. To further localize the debonding region, a one pitch and multiple catch (OPMC) configuration is employed, and an abnormal value analysis is conducted on the WPEs of PZT sensor measurements with identical and comparable wave traveling patches. The identified debonding regions correspond to the simulated defects in the models. Full article
(This article belongs to the Special Issue Sensor-Based Structural Health Monitoring of Civil Infrastructure)
Show Figures

Figure 1

18 pages, 8555 KB  
Article
AgNPs@CeO2/Nafion Nanocomposite-Modified Electrode for the Sensitive Detection of Trace Lead (II) in Water Samples
by Zhengying Guo, Peng Xu, Shiqing Zhou and Ruoxi Wu
Sensors 2025, 25(9), 2655; https://doi.org/10.3390/s25092655 - 23 Apr 2025
Cited by 1 | Viewed by 1648
Abstract
Excessive levels of heavy metal pollutants in the environment pose significant threats to human health and ecosystem stability. Consequently, the accurate and rapid detection of heavy metal ions is critically important. A AgNPs@CeO2/Nafion composite was prepared by dispersing nano-ceria (CeO2 [...] Read more.
Excessive levels of heavy metal pollutants in the environment pose significant threats to human health and ecosystem stability. Consequently, the accurate and rapid detection of heavy metal ions is critically important. A AgNPs@CeO2/Nafion composite was prepared by dispersing nano-ceria (CeO2) in a Nafion solution and incorporating silver nanoparticles (AgNPs). The morphology, microstructure, and electrochemical properties of the modified electrode materials were systematically characterized using scanning electron microscopy (SEM), energy-dispersive X-ray spectroscopy (EDX), X-ray diffraction (XRD), and cyclic voltammetry (CV). By leveraging the oxygen vacancies and high electron transfer efficiency of CeO2, the strong adsorption capacity of Nafion, and the superior conductivity of AgNPs, an AgNPs@CeO2/Nafion/GCE electrochemical sensor was developed. Under optimized conditions, trace Pb2+ in water was detected using square wave anodic stripping voltammetry (SWASV). The sensor demonstrated a linear response for Pb2+ within the concentration range of 1–100 μg·L−1, with a detection limit of 0.17 μg·L−1 (S/N = 3). When applied to real water samples, the method achieved recovery rates between 93.7% and 110.3%, validating its reliability and practical applicability. Full article
(This article belongs to the Section Electronic Sensors)
Show Figures

Figure 1

14 pages, 2619 KB  
Article
«Green-Ligand» in Metallodrugs Design—Cu(II) Complex with Phytic Acid: Synthetic Approach, EPR-Spectroscopy, and Antimycobacterial Activity
by Kseniya A. Koshenskova, Natalia V. Makarenko, Fedor M. Dolgushin, Dmitriy S. Yambulatov, Olga B. Bekker, Matvey V. Fedin, Sergei A. Dementev, Olesya A. Krumkacheva, Igor L. Eremenko and Irina A. Lutsenko
Molecules 2025, 30(2), 313; https://doi.org/10.3390/molecules30020313 - 15 Jan 2025
Viewed by 2339
Abstract
The interaction of sodium phytate hydrate C6H18O24P6·xNa·yH2O (phytNa) with Cu(OAc)2·H2O and 1,10-phenanthroline (phen) led to the anionic tetranuclear complex [Cu4(H2O)4(phen)4(phyt)]·2Na+ [...] Read more.
The interaction of sodium phytate hydrate C6H18O24P6·xNa·yH2O (phytNa) with Cu(OAc)2·H2O and 1,10-phenanthroline (phen) led to the anionic tetranuclear complex [Cu4(H2O)4(phen)4(phyt)]·2Na+·2NH4+·32H2O (1), the structure of the latter was determined by X-ray diffraction analysis. The phytate 1 is completely deprotonated; six phosphate fragments (with atoms P1–P6) are characterized by different spatial arrangements relative to the cyclohexane ring (1a5e conformation), which determines two different types of coordination to the complexing agents—P1 and P3, P4, and P6 have monodentate, while P2 and P5 are bidentately bound to Cu2+ cations. The molecular structure of the anion complex is stabilized by a set of strong intramolecular hydrogen bonds involving coordinated water molecules. Aromatic systems of phen ligands chelating copper ions participate in strong intramolecular and intermolecular π-π interactions, further contributing to their association. At the supramolecular level, endless stacks are formed, in the voids of which sodium and ammonium cations and water molecules are present. The stability of 1 in the presence of human serum albumin (HSA) was investigated using Electron Paramagnetic Resonance (EPR) spectroscopy. Continuous wave (CW) EPR spectra in water/glycerol frozen solution clearly indicate a presence of an exchange-coupled Cu(II)-Cu(II) dimeric unit, as well as a Cu(II) monomer-like signal arising from spins sufficiently distant from each other, with comparable contributions of two types of signals. In the presence of albumin at a 1:1 ratio (1 to albumin), the EPR spectrum changes significantly, primarily due to the reduced contribution of the S = 1 fraction showing dipole–dipole splitting. The biological activity of 1 in vitro against the non-pathogenic (model for Mycobacterium tuberculosis) strain of Mycolicibacterium smegmatis is comparable to the first-line drug for tuberculosis treatment, rifampicin. Full article
Show Figures

Figure 1

16 pages, 6729 KB  
Article
A Practical Approach to Triclosan Detection: A Novel Y2O3@GCN-Modified Carbon Paste Electrode for Sensitive and Selective Detection in Environmental and Consumer Products
by Aleksandar Mijajlović, Miloš Ognjanović, Vesna Stanković, Tijana Mutić, Slađana Đurđić, Branka B. Petković and Dalibor M. Stanković
Chemosensors 2024, 12(12), 272; https://doi.org/10.3390/chemosensors12120272 - 19 Dec 2024
Cited by 3 | Viewed by 1719
Abstract
This study presents the development of a novel electrochemical sensor for the sensitive and selective detection of triclosan (TSC) on a carbon paste electrode (CPE) modified with graphitic carbon nitride (GCN) and doped with yttrium oxide nanoparticles (Y2O3). The [...] Read more.
This study presents the development of a novel electrochemical sensor for the sensitive and selective detection of triclosan (TSC) on a carbon paste electrode (CPE) modified with graphitic carbon nitride (GCN) and doped with yttrium oxide nanoparticles (Y2O3). The materials and proposed electrode were characterized using transmission electron microscopy (TEM), scanning electron microscopy (SEM), X-ray diffraction (XRD), electrochemical impedance spectroscopy (EIS), and cyclic voltammetry (CV). The modified sensor exhibited significantly enhanced electrocatalytic activity towards TSC compared to the unmodified CPE. The sensor demonstrated a wide linear detection range, which was obtained using square wave voltammetric method (SWV), with a low limit of detection (LOD) of 0.137 µM and a low limit of quantification (LOQ) of 0.455 µM. The sensor also exhibited excellent selectivity towards TSC in the presence of various interfering substances. The practical applicability of the sensor was evaluated through real-sample analysis, where it was successfully used to determine TSC levels in tap water and toothpaste samples. The sensor demonstrated high recovery rates and minimal matrix effects, indicating its suitability for real-world applications. In conclusion, the developed CPE/Y2O3@GCN sensor offers a promising approach for the sensitive, selective, and reliable detection of triclosan in environmental and consumer products. Full article
(This article belongs to the Special Issue Electrochemical Sensors and Biosensors for Environmental Detection)
Show Figures

Figure 1

14 pages, 4039 KB  
Article
Nanoporous Gold-Modified Screen-Printed Electrodes for the Simultaneous Determination of Pb2+ and Cu2+ in Water
by Yongfang Li, Xuan Chen, Zhiyong Yuan, Zhijian Yi, Zijun Wang and Rui Wang
Sensors 2024, 24(17), 5745; https://doi.org/10.3390/s24175745 - 4 Sep 2024
Cited by 7 | Viewed by 3048
Abstract
In this study, nanoporous gold (NPG) was deposited on a screen-printed carbon electrode (SPCE) by the dynamic hydrogen bubble template (DHBT) method to prepare an electrochemical sensor for the simultaneous determination of Pb2+ and Cu2+ by square wave anodic stripping voltammetry [...] Read more.
In this study, nanoporous gold (NPG) was deposited on a screen-printed carbon electrode (SPCE) by the dynamic hydrogen bubble template (DHBT) method to prepare an electrochemical sensor for the simultaneous determination of Pb2+ and Cu2+ by square wave anodic stripping voltammetry (SWASV). The electrodeposition potential and electrodeposition time for NPG/SPCE preparation were investigated thoroughly. Scanning electron microscopy (SEM) and energy-dispersive X-ray diffraction (EDX) analysis confirmed successful fabrication of the NPG-modified electrode. Electrochemical characterization exhibits its superior electron transfer ability compared with bare and nanogold-modified electrodes. After a comprehensive optimization, Pb2+ and Cu2+ were simultaneously determined with linear range of 1–100 μg/L for Pb2+ and 10–100 μg/L for Cu2+, respectively. The limits of detection were determined to be 0.4 μg/L and 5.4 μg/L for Pb2+ and Cu2+, respectively. This method offers a broad linear detection range, a low detection limit, and good reliability for heavy metal determination in drinking water. These results suggest that NPG/SPCE holds great promise in environmental and food applications. Full article
(This article belongs to the Special Issue Research Progress in Electrochemical Aptasensors and Biosensors)
Show Figures

Figure 1

13 pages, 18808 KB  
Article
Effects of Ultrasonication in Water and Isopropyl Alcohol on High-Crystalline Cellulose: A Fourier Transform Infrared Spectrometry and X-ray Diffraction Investigation
by Răzvan Rotaru, Maria E. Fortună, Elena Ungureanu and Carmen O. Brezuleanu
Polymers 2024, 16(16), 2363; https://doi.org/10.3390/polym16162363 - 21 Aug 2024
Cited by 12 | Viewed by 2409
Abstract
This paper investigates the effects of ultrasonication on cellulose microparticles in different conditions. FTIR (Fourier transformed infrared spectrometry) and XRD (X-ray diffraction) analyses were used to compare the changes in the cellulose microstructure caused by the following various ultrasonic treatment conditions: time, amplitude [...] Read more.
This paper investigates the effects of ultrasonication on cellulose microparticles in different conditions. FTIR (Fourier transformed infrared spectrometry) and XRD (X-ray diffraction) analyses were used to compare the changes in the cellulose microstructure caused by the following various ultrasonic treatment conditions: time, amplitude of generated ultrasound waves, output power converted into ultrasound, the liquid medium (water and isopropyl alcohol) used for ultrasonication, and the shape of the vessel used for sonication. The cumulative results lead to an increase in the crystalline region directly proportional to the condition of sonication. Also, the total crystallinity index varied from 1.39 (pristine cellulose) to 1.94 for sonication in alcohol to 0.56 for sonication in water. The crystallinity index varied from 67% (cellulose) to 77% for the sample with 15 min of sonication in isopropyl alcohol and 50.4% for the sample with 15 min of sonication in water. Full article
(This article belongs to the Special Issue Polysaccharides: Synthesis, Properties and Applications)
Show Figures

Figure 1

19 pages, 49838 KB  
Article
Common-Reflection-Surface Stack with Global Simultaneous Multi-Parameter Velocity Analysis—A Fit for Shallow Seismics
by Zeno Heilmann and Gian Piero Deidda
Appl. Sci. 2024, 14(15), 6748; https://doi.org/10.3390/app14156748 - 2 Aug 2024
Cited by 1 | Viewed by 2144
Abstract
In many regions, particularly coastal areas, population growth, overuse of water, and climate change have put quality and availability of water under threat. While accurate, predictive groundwater flow models are essential for effective water resource management, the precision of these models relies on [...] Read more.
In many regions, particularly coastal areas, population growth, overuse of water, and climate change have put quality and availability of water under threat. While accurate, predictive groundwater flow models are essential for effective water resource management, the precision of these models relies on the ability to determine the geometries of geological structures and hydrogeologic systems accurately. In complex geological settings or with deep aquifers, the drilling of observation wells becomes too costly and shallow seismic surveys become the method of choice. Common-Reflection-Surface stacking is being used by major oil companies for hydrocarbon exploration but can serve also as an advanced imaging method for near-surface seismic data. Its spatial stacking aperture covers a whole group of neighboring common midpoint gathers and, as such, a multitude of traces contribute to every single stacking process. Since the level of noise suppression is proportional to the number of contributing traces, Common-Reflection-Surface stacking generates a large increase in signal-to-noise ratio. In addition, the data-driven velocity analysis is a statistical process and is, as such, the more stable the more input traces it has. At the beginning, however, the spatial operator was only used for stacking, not for velocity analysis, since limiting computational demand was mandatory to obtain results within a reasonable time frame. Today’s computing facilities are thousands of times faster and even large efficiency gains do not justify the loss of effectiveness anymore that comes with a truncated velocity analysis. We show that this is particularly true for near-surface data with low signal-to-noise ratio and modest common midpoint fold. For the spatial velocity analysis, we present two options: (1) as reference, a global search of all three parameters of the Common-Reflection-Surface operator, and (2) as a quicker solution, a strategy that uses the two-parameter Common-Diffraction-Surface operator to obtain initial values for a local three-parameter optimization. For shallow P-wave data from a hydrogeological survey, we show that the computational cost of option (2) is one order of magnitude smaller than the cost of option (1), while the stack and corresponding normal-moveout velocities are very similar. Comparing the results of the spatial velocity analysis to those of preceding, computationally lighter, strategies, we find a significant improvement, both in stack section resolution and stacking parameter accuracy. Full article
(This article belongs to the Special Issue Recent Advances in Exploration Geophysics)
Show Figures

Figure 1

16 pages, 5672 KB  
Article
Impact of Water–Cement Ratio on Concrete Mechanical Performance: Insights into Energy Evolution and Ultrasonic Wave Velocity
by Junzhi Lin, Bincheng Tian, Zelong Liang, Enpeng Hu, Zhaocun Liu, Kui Wang and Tao Sang
Materials 2024, 17(15), 3651; https://doi.org/10.3390/ma17153651 - 24 Jul 2024
Cited by 10 | Viewed by 3330
Abstract
The water–cement ratio significantly affects the mechanical properties of concrete with changes in porosity serving as a key indicator of these properties, which are correlated with the ultrasonic wave velocity and energy evolution. This study conducts uniaxial compression tests on concrete with varying [...] Read more.
The water–cement ratio significantly affects the mechanical properties of concrete with changes in porosity serving as a key indicator of these properties, which are correlated with the ultrasonic wave velocity and energy evolution. This study conducts uniaxial compression tests on concrete with varying water–cement ratios, analyzing energy evolution and ultrasonic wave velocity variations during the pore compaction stage and comparing damage variables defined by dissipated energy and ultrasonic wave velocity. The results indicate the following findings. (1) Higher water–cement ratios lead to more complete hydration, lower initial porosity, and a less pronounced pore compaction stage, but they deteriorate mechanical properties. (2) In the pore compaction stage, damage variables defined by dissipated energy are more regular than those defined by ultrasonic wave velocity, showing a nearly linear increase with stress (D = 0~0.025); ultrasonic wave variables fluctuate within −0.06 to 0.04 due to diffraction caused by changes in the pore medium. (3) In the pre-peak stress stage, damage variables defined by ultrasonic wave velocity show a distinct threshold. When the stress ratio exceeds about 0.3, the damage variable curve’s growth shows clear regularity, significantly reflecting porosity changes. In conclusion, for studying porosity changes during the pore compaction stage, damage variables defined by dissipated energy are more effective. Full article
Show Figures

Figure 1

Back to TopTop