Pore Structure Characterization of Jurassic Sandstones in the Northeastern Ordos Basin: An Integrated Experimental and Inversion Approach
Abstract
1. Introduction
2. Methods
2.1. Characterization Framework for Pore Structure Distribution
2.2. An Improved M-T Model
2.3. Laboratory Measurement Methods
- (1)
- Sample preparation: The test sample was placed inside a pressure vessel filled with hydraulic oil and isolated from the sample using a rubber sleeve.
- (2)
- Transducer installation: Ultrasonic transducers were tightly coupled to the sample surfaces and secured within the pressure vessel using threaded fasteners.
- (3)
- Pressure application: The pressure control unit gradually applied isotropic confining pressure in 2 MPa increments through both the vessel and transducers until either the velocity measurements stabilized or the sample was destroyed.
- (4)
- Data collection: The ultrasonic pulse unit acquired acoustic wave signals at each 2 MPa pressure step.
- (5)
- Post-test procedure: After pressure release, the sample was removed, and the final VP and VS values were calculated by dividing the measured core length by the ultrasonic transmission time.Figure 2. Schematic of the stress-dependent acoustic velocity measurement system.
3. Geological Setting and Sample Preparation
3.1. Geological Setting
3.2. Sample Collection and Preparation
4. Results
4.1. Basic Physical Properties
4.2. Stress-Dependent Velocity Distribution Characteristics
5. Discussion
5.1. Method Validations
5.2. Relationship Between Pore Characteristics and Physical Properties
5.3. Relationship Between Soft Porosity and NMR T2 Relaxation Spectrum
5.4. Influence of Sedimentation and Diagenesis
5.5. Implications for CO2 Storage and Safe Coal Mining
6. Conclusions
- (1)
- This study conducted comprehensive laboratory measurements of rock physics and mineralogy properties for Jurassic sandstone samples from coal-bearing strata in the northeastern Ordos Basin. Systematic characterization revealed distinct distributions of the VP, VS, density, bulk modulus, shear modulus, and porosity of the Zhiluo and Yan’an Formations. The measured parameters exhibited relatively broad distributions with characteristically low values, reflecting the unique petrophysical characteristics of these coal-bearing sandstones.
- (2)
- By utilizing an improved M-T model combined with stress-dependent velocity measurements, we systematically characterized pore structure distributions in sandstone samples from the Zhiluo and Yan’an Formations. The results demonstrate strong consistency with geological evolutionary trends and NMR-measured porosities. These findings validate the model’s reliability for pore structure characterization in the Ordos Basin’s Jurassic sandstones.
- (3)
- The Jurassic sandstones exhibit three key petrophysical characteristics: stiff porosity is dominantly controlled by calcite and quartz contents, while its equivalent ASP shows positive correlations with Poisson’s ratio and clay content; acoustic velocity is jointly influenced by both soft and stiff pores; the model-derived soft porosity values correspond closely with NMR-measured macropore/microcrack porosity. These results elucidate the fundamental interaction mechanisms among the mineralogical composition, pore structure, and acoustic wave propagation in Ordos Basin sandstones.
- (4)
- The M-T model-based inversion offers some advantages over conventional NMR analysis by enabling quantitative characterization of pore geometry parameters (e.g., aspect ratios) that are beyond the detection capability of standard NMR techniques. By applying this approach, researchers can gain deeper insights into sandstone pore evolution in the Ordos Basin, enhancing the understanding of coal-bearing sandstone properties in similar geological settings. The findings provide actionable insights for water hazard mitigation and geological CO2 storage practices.
Author Contributions
Funding
Data Availability Statement
Conflicts of Interest
Abbreviations
| M-T model | Mori-Tanaka model |
| ASP | Aspect ratios |
| NMR | Nuclear magnetic resonance |
| XRD | X-ray diffraction |
| Vp | P-wave velocities |
| Vs | Shear wave velocities |
| VRH | Voigt-Reuss-Hill |
| cd | Crack density |
| TCCM | Total content of clay minerals |
| K | Bulk modulus |
| E | Young’s modulus |
| μ | Shear modulus |
References
- Jia, A.; Chen, F.; Feng, N.; Meng, D.; Zheng, S. Model construction and implementation of Ordos Energy Super Basin, NW China. Pet. Explor. Dev. 2024, 51, 1628–1640. [Google Scholar] [CrossRef]
- Wang, R.; Shi, B.; Wang, T.; Lin, J.; Li, B.; Fan, S.; Liu, J. Multiscale qualitative–quantitative characterization of the pore structure in coal-bearing reservoirs of the Yan’an formation in the Longdong area, Ordos basin. Processes 2024, 12, 2787. [Google Scholar] [CrossRef]
- Liu, X.; Guo, X.; Hong, Z.; Xue, X.; Li, S. Pore Structure Characteristics and Main Control Factors of Sandstone in the Jurassic Zhiluo Formation in the Northern Ordos Basin. Minerals 2023, 13, 1102. [Google Scholar] [CrossRef]
- He, T.; Zhou, Y.; Li, Y.; Zhang, Z.; Zhang, Y.; Cui, G. The tectonic-sedimentary evolution of the Yan’an formation in the Ordos Basin and its petroleum geological significance. Appl. Sci. 2024, 14, 9278. [Google Scholar] [CrossRef]
- Li, P.; Li, Z.; Liu, B.; Teng, T.; Guo, J. Experimental investigation on the tensile properties of weakly cemented sandstone in China shendong mining area. Therm. Sci. 2020, 24, 3987–3994. [Google Scholar] [CrossRef]
- Wen, Z.; Jiang, P.; Song, Z.; Jiang, Y.; Wen, J.; Jing, S. Structural model and capacity determination of underground reservoir in goaf: A case study of Shendong mining area in China. Geomech. Geophys. Geo-Energy Geo-Resour. 2023, 9, 143. [Google Scholar] [CrossRef]
- Ma, J.; Li, X.; Wang, Z.; Gao, M.; Fu, C.; Bai, Z.; Hou, X.; Zhang, C. An evaluation method for water abundance of roof aquifer based on groundwater circulation characteristics: A case study of the Zhiluo Formation in Shendong mining area. Environ. Earth Sci. 2024, 83, 135. [Google Scholar] [CrossRef]
- Zhang, Z.; Li, G.; Wang, L. Element geochemical characteristics for the roof and floor rocks of coal seams in the Shendong mining area: Emphasis on hazardous element fluorine. Int. J. Coal Geol. 2025, 300, 104709. [Google Scholar] [CrossRef]
- Mim, R.T.; Negash, B.M.; Jufar, S.R.; Ali, F. Minireview on CO2 storage in deep saline aquifers: Methods, opportunities, challenges, and perspectives. Energy Fuels 2023, 37, 18467–18484. [Google Scholar] [CrossRef]
- Cui, Y.; Bai, J.; Liao, S.; Cao, S.; Liu, F. Suggestions on the development of environmental monitoring technology of CO2 geological storage and leakage under the background of China’s “double-carbon” strategy. Atmosphere 2023, 14, 51. [Google Scholar] [CrossRef]
- Qi, S.; Zheng, B.; Wang, Z.; Zhao, H.; Cui, Z.; Huang, T.; Guo, S.; Fu, L.; Dong, P. Geological evaluation for the carbon dioxide geological utilization and storage (CGUS) site: A review. Sci. China Earth Sci. 2023, 66, 1917–1936. [Google Scholar] [CrossRef]
- Amalokwu, K.; Falcon-Suarez, I.H. Effective medium modeling of pressure effects on the joint elastic and electrical properties of sandstones. J. Pet. Sci. Eng. 2021, 202, 108540. [Google Scholar] [CrossRef]
- Soleimani, A.; Tavakoli, V. Deep Dive into the factors influencing acoustic velocity in the Dalan-Kangan formations, the central Persian Gulf. Geoenergy Sci. Eng. 2024, 235, 212739. [Google Scholar] [CrossRef]
- Yang, J.; Zhang, F.; Wu, J. A pressure- and frequency-dependent multiscale model for describing the wave propagation characteristics of fluid-saturated porous media. Lithosphere 2024, 2024, 173. [Google Scholar] [CrossRef]
- Chen, F.; Zong, Z.; Yin, X. A squirt-flow model in isotropic porous rocks containing wedge-shaped cracks and its interpretation for laboratory measurements. Geophysics 2025, 90, MR141–MR153. [Google Scholar] [CrossRef]
- Danaei, S.; Maleki, M.; Schiozer, D.J.; Davolio, A. Carbonate rock physics model using different approaches to estimate rock frame stiffness. Geoenergy Sci. Eng. 2025, 244, 213443. [Google Scholar] [CrossRef]
- Wolf, F.G.; Siebert, D.N.; Carreño, M.N.P.; Lopes, A.T.; Zabot, A.M.; Surmas, R. Dual-porosity micromodels for studying multiphase fluid flow in carbonate rocks. Lab Chip 2022, 22, 4680–4692. [Google Scholar] [CrossRef]
- Khosravi, M.H.; Emami Niri, M.; Saberi, M.R. Effects of diagenetic processes on the velocity evolution in carbonate reservoirs. Geomech. Geophys. Geo-Energy Ge-Resour. 2023, 9, 147. [Google Scholar] [CrossRef]
- Zhang, K.; Saeed, A.M.; Wang, H.; Mi, Z.; Qu, J.; Jaed, M.A.; Wang, Z.; Liu, H.; Zhang, Z. Identification of pore facies for evaluating the reservoir quality: A case study of the Hartha Formation in X Oilfield, Mesopotamian Basin, Iraq. Geol. J. 2024, 59, 325–339. [Google Scholar] [CrossRef]
- Chen, D.; Zhu, Y.; Wang, W.; Zhang, L.; Tang, J.; Ren, J.; Wang, Y. Pore structure of tight sandstones with differing permeability: The He 8 Member of the Middle Permian Lower Shihezi Formation, Gaoqiao area, Ordos Basin. Energy Sci. Eng. 2024, 12, 117–135. [Google Scholar] [CrossRef]
- Pervukhina, M.; Gurevich, B.; Dewhurst, D.N.; Siggins, A.F. Applicability of velocity-stress relationships based on the dual porosity concept to isotropic porous rocks. Geophys. J. Int. 2010, 181, 1473–1479. [Google Scholar] [CrossRef]
- Deng, J.; Zhou, H.; Wang, H.; Zhao, J.; Wang, S. The influence of pore structure in reservoir sandstone on dispersion properties of elastic waves. Chin. J. Geophys. 2015, 58, 3389–3400. [Google Scholar] [CrossRef]
- Cheng, W.; Ba, J.; Carcione, J.M.; Pang, M.; Wu, C. Estimation of the Pore Microstructure of Tight-Gas Sandstone Reservoirs with Seismic Data. Front. Earth Sci. 2021, 9, 646372. [Google Scholar] [CrossRef]
- Cheng, W.; Ba, J.; Wang, D.; Ma, R. Study on the effects of pore-microcrack properties and clay content on elastic wave dissipation characteristics in tight rocks of shale oil stratum. Chin. J. Geophys. 2023, 66, 3463–3481. [Google Scholar] [CrossRef]
- Pang, M.; Ba, J.; Carcione, J.M.; Saenger, E.H. Combined acoustical-electrical modeling for tight sandstones verified by laboratory measurements. Int. J. Rock Mech. Min. Sci. 2024, 176, 105682. [Google Scholar] [CrossRef]
- Zhang, Y.; Xu, S.; Gao, Y.; Guo, J.; Cao, Y.; Zhang, J. Correlation of chloride diffusion coefficient and microstructure parameters in concrete: A comparative analysis using NMR, MIP, and X-CT. Front. Struct. Civ. Eng. 2020, 14, 1509–1519. [Google Scholar] [CrossRef]
- Xiong, X.; Wang, J.; She, A.; Lin, J. Characterization of Pore Size Distribution and Water Transport of UHPC Using Low-Field NMR and MIP. Materials 2023, 16, 2781. [Google Scholar] [CrossRef]
- Li, S.; Sun, J.; Gao, Y.; Liu, D.; Zhang, Z.; Ma, P. Flow Characterization in Fractured Shale Oil Matrices Using Advanced Nuclear Magnetic Resonance Techniques. Processes 2024, 12, 879. [Google Scholar] [CrossRef]
- Rozhko, A.Y.; Lozovyi, S.; Naumann, M.; Hansteen, F.; Ravasi, M. Stimulating relative permeability changes by low-frequency elastic waves: Theory and lab experiments. J. Pet. Sci. Eng. 2022, 215, 110393. [Google Scholar] [CrossRef]
- Guo, Z.; Qin, X.; Zhang, Y.; Niu, C.; Wang, D.; Ling, Y. Numerical Investigation of the Effect of Heterogeneous Pore Structures on Elastic Properties of Tight Gas Sandstones. Front. Earth Sci. 2021, 9, 641637. [Google Scholar] [CrossRef]
- Aguilera, R. Analysis of Naturally Fractured Reservoirs From Conventional Well Logs. J. Pet. Technol. 1976, 28, 764–772. [Google Scholar] [CrossRef]
- Xu, S.; Whtie, R.E. A new velocity model for clay-sand mixtures. Geophys. Prospect. 1995, 43, 91–118. [Google Scholar] [CrossRef]
- White, J.E. Computed seismic speeds and attenuation in rocks with partial gas saturation. Geophysics 1975, 40, 224–232. [Google Scholar] [CrossRef]
- Dutta, N.C.; Seriff, A.J. On White’s model of attenuation in rocks with partial gas saturation. Geophysics 1979, 44, 1806–1812. [Google Scholar] [CrossRef]
- Hill, R. The elastic behaviour of a crystalline aggregate. Proc. Phys. Soc. A 1952, 65, 349–354. [Google Scholar] [CrossRef]
- Gary, M.; Tapan, M.; Jack, D. The Rock Physics Handbook, 3rd ed.; Cambridge University Press: New York, NY, USA, 2009; pp. 122–247. [Google Scholar]
- Eshelby, J.D. The determination of the elastic field of an ellipsoidal inclusion, and related problems. Proc. R. Soc. Lond. 1957, 241, 376–396. [Google Scholar] [CrossRef]
- Mori, T.; Tanaka, K. Average stress in matrix and average elastic energy of materials with misfitting inclusions. Acta Metall. 1973, 21, 571–574. [Google Scholar] [CrossRef]
- David, E.C.; Zimmerman, R.W. Pore structure model for elastic wave velocities in fluid-saturated sandstones. J. Geophys. Res. Solid Earth 2012, 117, B07210. [Google Scholar] [CrossRef]
- Hou, Z.; Huang, L.; Zhang, S.; Han, X.; Xu, J.; Li, Y. Identification of groundwater hydrogeochemistry and the hydraulic connections of aquifers in a complex coal mine. J. Hydrol. 2024, 628, 130496. [Google Scholar] [CrossRef]
- Cui, L.; Peng, N.; Liu, Y.; Qiao, D.; Liu, Y. Sedimentary Filling Evolution under Paleoclimate Transition—A Case Study from the Middle Jurassic Zhiluo Formation, Ordos Basin. Minerals 2023, 13, 314. [Google Scholar] [CrossRef]
- Li, D.; He, Q.; Li, H.; Gao, J.; Zhao, X.; Sun, Q.; Wang, S.; Xue, T. Organic matter enrichment and palaeoenvironmental comparison of Alinian fine-grained sedimentary rocks in lake facies. Gas Sci. Eng. 2023, 116, 205055. [Google Scholar] [CrossRef]
- Lv, D.; Shen, Y.; van Loon, A.J.T.; Raji, M.; Zhang, Z.; Song, G.; Ren, Z.; Wang, Y.; Wang, D. Sequence stratigraphy of the Middle Jurassic Yan’an Formation (NE Ordos Basin, China), relationship with climate conditions and basin evolution, and coal maceral’s characteristics. Front. Earth Sci. 2023, 10, 1086298. [Google Scholar] [CrossRef]
- Wang, Z.; Chen, J.; Li, W.; Wang, Q.; Niu, Q.; Liu, S.; Hu, Y. Relationship between petrographic parameters and physical-mechanical properties of weakly cemented sandstones. Q. J. Eng. Geol. Hydrogeol. 2021, 54, qjegh2018-168. [Google Scholar] [CrossRef]
- Zhong, X.; Zhu, Y.; Jiao, T.; Qi, Z.; Luo, J.; Xie, Y.; Liu, L. Microscopic pore throat structures and water flooding in heterogeneous low-permeability sandstone reservoirs: A case study of the Jurassic Yan’an Formation in the Huanjiang area, Ordos Basin, Northern China. J. Asian Earth Sci. 2021, 219, 104903. [Google Scholar] [CrossRef]
- Luo, J.; Morad, S.; Zhang, X.; Yan, S.; Wu, F.; Li, Y.; Xue, J. Reconstruction of the diagenesis of the fluvial-lacustrine-deltaic sandstones and its influence on the reservoir quality evolution-Evidence from Jurassic and Triassic sandstones, Yanchang Oil Field, Ordos Basin. Sci. China Ser. D Earth Sci. 2002, 45, 616–634. [Google Scholar] [CrossRef]
- Wei, J.; Chen, S.; Gu, Y.; Zhang, H.; Yin, S.; Yuan, H. Diagenesis and reservoir classification criteria for Jurassic continental sandstone oil reservoir in the western Ordos Basin, China. Geol. J. 2021, 56, 3868–3882. [Google Scholar] [CrossRef]
- Yang, S.; Bao, Z.; Shen, Y.; Gao, Y.; Lin, Y.; Zhu, L.; Chen, X.; Ding, S.; Zhu, B.; Qi, Q.; et al. Diagenetic evolution and sources of main cements within palaeochannel sandstone reservoirs of the Jurassic Yan’an Formation in Jiyuan area, Ordos Basin. J. Palaeogeogr. (Chin. Ed.) 2023, 25, 906–919. [Google Scholar] [CrossRef]
- Raza, A.; Rezaee, R.; Gholami, R.; Bing, C.H.; Nagarajan, R.; Hamid, M.A. A screening criterion for selection of suitable CO2 storage sites. J. Nat. Gas Sci. Eng. 2016, 28, 317–327. [Google Scholar] [CrossRef]
- Lu, C.; Xu, J.; Li, Q.; Zhao, H.; He, Y. Research on the development law of water-conducting fracture zone in the combined mining of Jurassic and Carboniferous coal seams. Appl. Sci. 2022, 12, 11178. [Google Scholar] [CrossRef]











| No. | Mainly Material Composition/% | Vp/(m/s) | Vs/(m/s) | K/GPa | E/GPa | μ/GPa | |||
|---|---|---|---|---|---|---|---|---|---|
| Quartz | Calcita | Feldspar | TCCM | ||||||
| Z-1 | 28.64 | 40.90 | 23.34 | 5.36 | 4166.67 | 2500.00 | 22.93 | 38.70 | 15.88 |
| Z-2 | 27.56 | 44.19 | 23.44 | 4.81 | 2890.17 | 1607.72 | 12.32 | 16.56 | 6.49 |
| Z-3 | 32.20 | 42.33 | 18.33 | 6.58 | 3389.83 | 1805.05 | 18.30 | 21.72 | 8.34 |
| Z-4 | 56.67 | 1.25 | 12.61 | 28.09 | 2175.82 | 1307.45 | 5.40 | 9.16 | 3.76 |
| Z-5 | 44.53 | 17.99 | 19.89 | 15.94 | 1455.60 | 803.21 | 2.83 | 3.72 | 1.45 |
| Z-6 | 55.10 | 0.00 | 28.66 | 14.35 | 1742.16 | 974.66 | 4.07 | 5.56 | 2.18 |
| Y-1 | 19.10 | 36.60 | 24.84 | 23.10 | 4149.38 | 2240.14 | 26.63 | 32.87 | 12.70 |
| Y-2 | 31.38 | 28.42 | 29.82 | 10.38 | 4915.67 | 2541.87 | 40.12 | 43.92 | 16.67 |
| Y-3 | 53.76 | 0.00 | 32.80 | 13.44 | 2313.89 | 1423.93 | 6.12 | 11.2 | 4.68 |
| Y-4 | 17.25 | 32.92 | 28.92 | 20.91 | 5460.17 | 3276.01 | 40.62 | 68.54 | 28.12 |
| Y-5 | 25.30 | 30.29 | 32.87 | 11.53 | 5229.67 | 2866.02 | 43.62 | 56.17 | 21.85 |
| Y-6 | 26.77 | 46.46 | 22.27 | 4.49 | 5463.39 | 2981.94 | 47.32 | 60.24 | 23.39 |
| Y-7 | 39.89 | 19.71 | 30.56 | 9.84 | 3013.28 | 1861.34 | 10.39 | 19.24 | 8.07 |
| Y-8 | 41.12 | 0.00 | 48.54 | 10.08 | 1894.56 | 1123.31 | 4.23 | 6.89 | 2.80 |
| Y-9 | 40.11 | 2.60 | 48.23 | 8.85 | 1891.82 | 1045.05 | 4.71 | 6.21 | 2.42 |
| Y-10 | 41.35 | 6.65 | 29.82 | 22.19 | 2488.72 | 1366.47 | 9.04 | 11.70 | 4.56 |
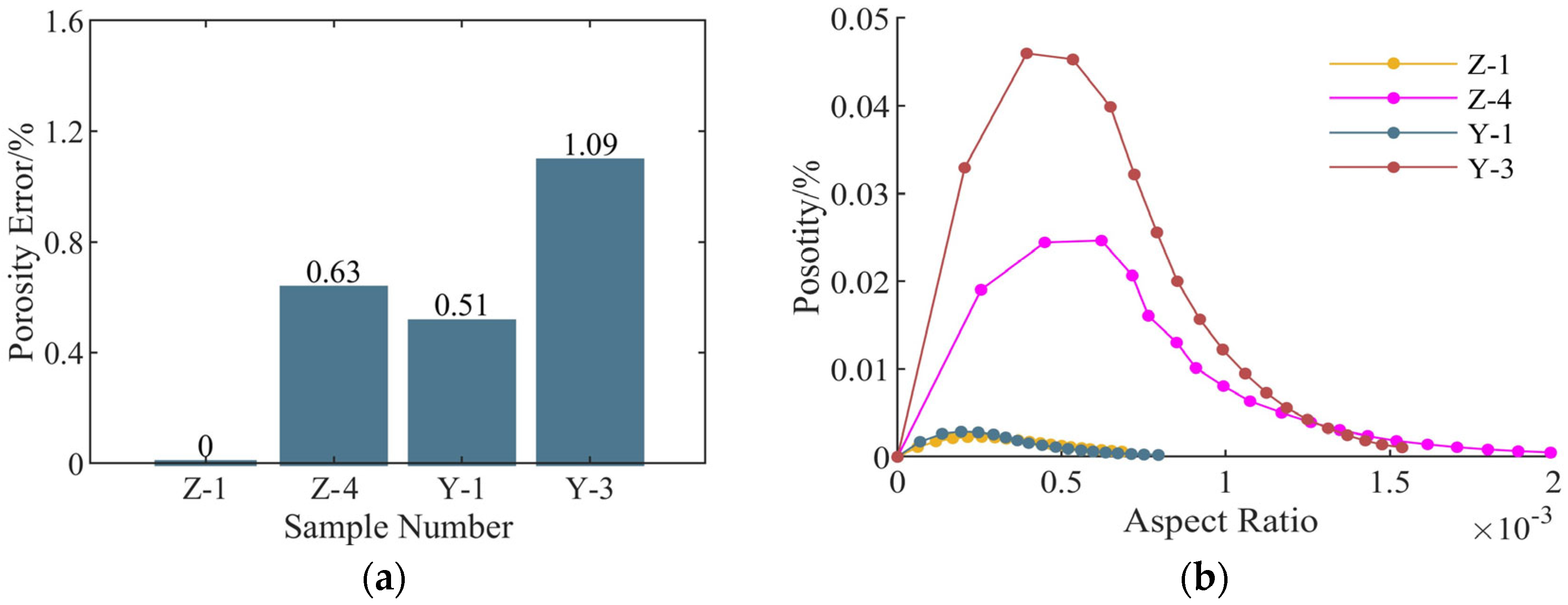
| No. | Stiff Pore | Soft Pore | Porosity Measured by NMR/% | Porosity Error Compared to NMR Measurement/% | ||
|---|---|---|---|---|---|---|
| Porosity/% | Equivalent ASP | Porosity/% | Dominant ASP | |||
| Z-1 | 2.60 | 0.58 | 0.03 | 0.0003 | 2.63 | 0 |
| Z-4 | 11.95 | 0.62 | 0.10 | 0.0006 | 12.68 | 0.63 |
| Y-1 | 3.86 | 0.65 | 0.02 | 0.0002 | 3.37 | 0.51 |
| Y-3 | 13.00 | 0.61 | 0.30 | 0.0004 | 14.39 | 1.09 |
Disclaimer/Publisher’s Note: The statements, opinions and data contained in all publications are solely those of the individual author(s) and contributor(s) and not of MDPI and/or the editor(s). MDPI and/or the editor(s) disclaim responsibility for any injury to people or property resulting from any ideas, methods, instructions or products referred to in the content. |
© 2025 by the authors. Licensee MDPI, Basel, Switzerland. This article is an open access article distributed under the terms and conditions of the Creative Commons Attribution (CC BY) license (https://creativecommons.org/licenses/by/4.0/).
Share and Cite
Yin, H.; Chen, T.; Li, Y.; Xu, H.; Li, W. Pore Structure Characterization of Jurassic Sandstones in the Northeastern Ordos Basin: An Integrated Experimental and Inversion Approach. Minerals 2025, 15, 547. https://doi.org/10.3390/min15050547
Yin H, Chen T, Li Y, Xu H, Li W. Pore Structure Characterization of Jurassic Sandstones in the Northeastern Ordos Basin: An Integrated Experimental and Inversion Approach. Minerals. 2025; 15(5):547. https://doi.org/10.3390/min15050547
Chicago/Turabian StyleYin, Haiyang, Tongjun Chen, Yueyue Li, Haicheng Xu, and Wan Li. 2025. "Pore Structure Characterization of Jurassic Sandstones in the Northeastern Ordos Basin: An Integrated Experimental and Inversion Approach" Minerals 15, no. 5: 547. https://doi.org/10.3390/min15050547
APA StyleYin, H., Chen, T., Li, Y., Xu, H., & Li, W. (2025). Pore Structure Characterization of Jurassic Sandstones in the Northeastern Ordos Basin: An Integrated Experimental and Inversion Approach. Minerals, 15(5), 547. https://doi.org/10.3390/min15050547

