Sign in to use this feature.

Years

Between: -

Subjects

remove_circle_outline
remove_circle_outline
remove_circle_outline
remove_circle_outline
remove_circle_outline
remove_circle_outline
remove_circle_outline
remove_circle_outline
remove_circle_outline

Journals

remove_circle_outline
remove_circle_outline
remove_circle_outline
remove_circle_outline
remove_circle_outline
remove_circle_outline
remove_circle_outline
remove_circle_outline
remove_circle_outline
remove_circle_outline
remove_circle_outline
remove_circle_outline
remove_circle_outline
remove_circle_outline
remove_circle_outline
remove_circle_outline
remove_circle_outline
remove_circle_outline

Article Types

Countries / Regions

remove_circle_outline
remove_circle_outline
remove_circle_outline
remove_circle_outline

Search Results (786)

Search Parameters:
Keywords = die analysis

Order results
Result details
Results per page
Select all
Export citation of selected articles as:
16 pages, 14431 KB  
Article
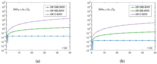
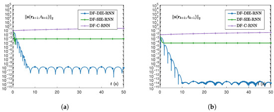
A Discrete-Form Double-Integration-Enhanced Recurrent Neural Network for Stewart Platform Control with Time-Varying Disturbance Suppression
by Yueyang Ma, Yang Shi and Chao Jiang
Informatics 2026, 13(4), 49; https://doi.org/10.3390/informatics13040049 (registering DOI) - 25 Mar 2026
Viewed by 110
Abstract
The discrete-form control of the Stewart platform is essential for digital implementation in intelligent manufacturing and robotic systems under the context of Industry 4.0, yet its performance is often degraded by unavoidable discrete disturbances. This challenge motivates the development of algorithms with strong [...] Read more.
The discrete-form control of the Stewart platform is essential for digital implementation in intelligent manufacturing and robotic systems under the context of Industry 4.0, yet its performance is often degraded by unavoidable discrete disturbances. This challenge motivates the development of algorithms with strong disturbance suppression capability. To address this issue, a continuous-form double-integration-enhanced recurrent neural network (CF-DIE-RNN) algorithm incorporating a novel double-integration-enhanced design concept is first developed to improve robustness against time-varying disturbances. For digital hardware applications, a discrete-form double-integration-enhanced RNN (DF-DIE-RNN) algorithm is then constructed by discretizing the CF-DIE-RNN algorithm using a general four-step discretization formula and a one-step forward difference formula based on Taylor expansion. Rigorous theoretical analysis establishes the convergence properties of the proposed algorithm and characterizes its steady-state residual bounds under different disturbance types, revealing its capability to suppress discrete quadratic time-varying disturbances. Numerical and simulation experiments demonstrate that the DF-DIE-RNN algorithm achieves superior disturbance suppression and more accurate trajectory tracking than existing discrete-form RNN algorithms, confirming its effectiveness for discrete-form Stewart platform control. Full article
(This article belongs to the Section Industry 4.0)
Show Figures

Figure 1

17 pages, 5059 KB  
Article
Elastic Die Technology for Spur Gear Powder Compaction: Experimental Measurements and Simulation-Based Validation
by Dan Cristian Noveanu
Materials 2026, 19(6), 1203; https://doi.org/10.3390/ma19061203 - 19 Mar 2026
Viewed by 253
Abstract
Achieving high density in complex powder metallurgy components like spur gears is often hindered by friction-induced density gradients and ejection defects. This study investigates a novel elastic die system designed to mitigate these issues through controlled radial deformation. Spur gears were compacted using [...] Read more.
Achieving high density in complex powder metallurgy components like spur gears is often hindered by friction-induced density gradients and ejection defects. This study investigates a novel elastic die system designed to mitigate these issues through controlled radial deformation. Spur gears were compacted using Ancorsteel 2000 powder under pressures of 400–700 MPa, utilizing a tapered elastic sleeve to apply radial compression. Green and sintered densities were measured, while porosity distribution was quantified via image analysis. Additionally, a 3D finite element simulation using FORGE software was conducted to model the thermo-mechanical behavior and stress distribution during the process. Experimental trials demonstrated that the elastic relaxation of the sleeve enabled free ejection of the compacts without requiring an extraction force. Image analysis confirmed a homogenous porosity distribution across the gear teeth, and higher die pre-stressing strokes were found to correlate with increased sintered density. Finite element modeling accurately predicted critical stress concentrations of 700 MPa at the die–sleeve interface and validated the strain distribution. The results confirm that elastic die technology effectively eliminates ejection friction and improves density uniformity in complex gears, offering a viable solution for reducing tool wear and manufacturing defects in high-precision powder metallurgy. Full article
(This article belongs to the Special Issue Powder Metallurgy and Advanced Materials)
Show Figures

Figure 1

25 pages, 10673 KB  
Article
Application of UAV Devices to Assess Post-Drought Canopy Vigor in Two Pine Forests Showing Die-Off
by Elisa Tamudo, Jesús Revuelto, Antonio Gazol and Jesús Julio Camarero
Remote Sens. 2026, 18(6), 916; https://doi.org/10.3390/rs18060916 - 17 Mar 2026
Viewed by 240
Abstract
Rising temperatures and droughts are triggering forest die-off in climate warming hotspots such as the Mediterranean Basin. UAVs equipped with LiDAR and multispectral sensors offer a powerful tool for surveys of tree vigor at landscape level. We used UAV-acquired LiDAR data and multispectral [...] Read more.
Rising temperatures and droughts are triggering forest die-off in climate warming hotspots such as the Mediterranean Basin. UAVs equipped with LiDAR and multispectral sensors offer a powerful tool for surveys of tree vigor at landscape level. We used UAV-acquired LiDAR data and multispectral camera imagery to segment individual tree crowns, classify species, and assess the health status in two drought-affected forests in northeastern Spain: a mixed Pinus pinasterQuercus ilex forest and a Pinus halepensis forest. Individual trees were segmented and classified using object-based image analysis with the Random Forest algorithm incorporating spectral, structural, and topographic variables. Greenness indices (NDVI and EVI) were analyzed in relation to crown height, topography (slope and elevation) and solar radiation, and their interactions. Analyses showed satisfactory crown segmentation (F-Score = 0.85–0.86) and species classification (Overall accuracy = 0.86–0.99), though distinguishing spectrally similar classes remained challenging. Taller P. pinaster trees exhibited higher NDVI, while taller P. halepensis displayed higher NDVI values in dense neighborhoods and on gentle slopes. These findings highlight the potential of high-resolution UAV-based remote sensing for effective near-real-time detection and attribution of forest die-off. Future research should aim to improve algorithm accuracy and better integrate field-based validation across different forest types. Full article
(This article belongs to the Special Issue Vegetation Mapping through Multiscale Remote Sensing)
Show Figures

Figure 1

22 pages, 3926 KB  
Article
Computational Design of Fat Marbling Formation in Plant-Based Meat: Coupled CFD and Image Analysis of Oil Transport During Co-Extrusion
by Timilehin Martins Oyinloye and Won Byong Yoon
Appl. Sci. 2026, 16(6), 2704; https://doi.org/10.3390/app16062704 - 12 Mar 2026
Viewed by 201
Abstract
This study developed and evaluated an integrated experimental–computational framework to quantify coconut-oil transport and marbling stabilization in soy protein concentrate (SPC) during static holding and co-extrusion with a cooling die. Temperature-sweep rheology and Differential Scanning Calorimetry (DSC) identified the main gelation transition at [...] Read more.
This study developed and evaluated an integrated experimental–computational framework to quantify coconut-oil transport and marbling stabilization in soy protein concentrate (SPC) during static holding and co-extrusion with a cooling die. Temperature-sweep rheology and Differential Scanning Calorimetry (DSC) identified the main gelation transition at 65–78 °C, with oil shifting gelation to higher temperatures and increasing enthalpy, supporting an exit/cooling target of 70–75 °C. Static drop tests at 100 °C for 60 s were analyzed by depth-resolved imaging and coupled with a single-phase CFD model to inversely calibrate an effective diffusion coefficient for coconut oil in SPC (Dref = 4.86 × 10−18 m2/s). A viscosity-coupled fractional Stokes–Einstein relationship then gave temperature-dependent effective diffusivities of 1.89 × 10−18 to 4.86 × 10−18 m2/s over 60–100 °C, indicating reduced oil mobility during cooling. Additional static time-temperature comparisons suggested limited redistribution beyond ~50 s. Co-extrusion simulations and product imaging further indicated that staged hot-zone residence followed by rapid cooling can help stabilize oil domains into marbling-like structures. The framework can support selection of cooling-die temperatures, residence times, and oil-injection conditions. Future work should extend the framework by linking marbling microstructure with sensory performance, oxidative stability, and sensitivity analysis of key transport parameters. Full article
Show Figures

Figure 1

45 pages, 6030 KB  
Article
An Open-Source Life Cycle Inventory (LCI) Model to Assess the Environmental Impacts of IGBT Power Semiconductor Manufacturing
by Thomas Guillemet, Pierre-Yves Pichon and Nicolas Degrenne
Sustainability 2026, 18(5), 2663; https://doi.org/10.3390/su18052663 - 9 Mar 2026
Viewed by 383
Abstract
While sustainability is set as a goal by a broad range of international organizations, its definition varies, and there is still a lack of practical criteria for product designers to evaluate the degree of (un)sustainability in the design phase. Life cycle assessment (LCA) [...] Read more.
While sustainability is set as a goal by a broad range of international organizations, its definition varies, and there is still a lack of practical criteria for product designers to evaluate the degree of (un)sustainability in the design phase. Life cycle assessment (LCA) can allow quantification of the environmental impacts of a product but is often carried out post-design, when the manufacturing process is already settled. Finally, while significant advances have been made towards standardizing LCA calculations by providing product category rules, large uncertainties remain in the calculation results due to a lack of transparency regarding the choices of databases, system boundaries, allocation, cut-off rules, and level of data granularity. A practical way to improve in those areas is to share with the semiconductor community a parametrizable life cycle inventory (LCI) model based on a target device to (1) identify knowledge gaps in LCA methods for such products, (2) identify the main process variables, and (3) provide a starting point for LCA calculations by the designers themselves. With this aim, a parametrizable cradle-to-gate manufacturing LCI model was developed based on the peer-reviewed process flow of a trench field-stop silicon insulated gate bipolar transistor (IGBT) semiconductor power device. The model allows computation of the environmental impacts of the IGBT manufacturing process based on different tunable parameters such as die size, wafer diameter, manufacturing yield, abatement efficiency, wafer fab throughput, wafer fab location, and associated electricity mix. Embedding a high level of data granularity, it helps identify, at elementary process levels, key environmental hotspots and associated technical levers for their reduction. Analysis of the IGBT manufacturing process tends to demonstrate the importance of an impact assessment approach considering multiple environmental categories, going beyond the sole focus on greenhouse gas emissions and accounting for potential transfers of impact. With an open-source mindset and in a continuous improvement prospective, the manufacturing inventory model and its associated tools are freely available from a public GitHub repository and open for comments and consolidation from users. Full article
Show Figures

Figure 1

13 pages, 1121 KB  
Communication
Microbiome Collapse in the Ornamental Fish Trade: A Hidden Driver of Post-Purchase Mortality
by Varsha Bohra, Wang-Hei Wong, Chun Au-Yeung, Kit-Ling Lam, Emily Sze-Wan Wong, Steven Jing-Liang Xu, Fred Wang-Fat Lee and Wing-Yin Mo
Appl. Microbiol. 2026, 6(3), 38; https://doi.org/10.3390/applmicrobiol6030038 - 1 Mar 2026
Viewed by 275
Abstract
Prophylactic antibiotic use in high-density ornamental aquaculture aims to mitigate infections, yet it is hypothesized to induce severe gut microbiome dysbiosis, contributing to high post-purchase mortality of goldfish purchased from retail stores by end consumers. This study utilized 16S rRNA gene amplicon sequencing, [...] Read more.
Prophylactic antibiotic use in high-density ornamental aquaculture aims to mitigate infections, yet it is hypothesized to induce severe gut microbiome dysbiosis, contributing to high post-purchase mortality of goldfish purchased from retail stores by end consumers. This study utilized 16S rRNA gene amplicon sequencing, a rapid and high-resolution tool to characterize gut bacterial communities in six goldfish (Carassius auratus) sourced from antibiotic-intensive retail market in Hong Kong SAR, China. Diversity metrics were compared to unexposed reference controls and experimentally antibiotic-exposed cyprinid groups from published datasets. Market-sourced goldfish showed a profound collapse in alpha diversity (mean Shannon index 0.107 ± 0.141), far lower than controls (typically 2.0–4.5) and experimental groups (1.06–4.34). The microbiota exhibited extreme oligodominance by Cetobacterium and Vibrio, with near-total loss of beneficial commensal taxa. Principal coordinates analysis (PCoA) revealed distinct clustering, indicating fundamental and likely irreversible microbial restructuring. These findings show that chronic antibiotic exposure in ornamental supply chains induces a depauperate microbiome state, compromising host resilience and physiological homeostasis during environmental transitions. This dysbiosis provides a microbiological explanation for widespread post-purchase die-off, highlighting a major animal welfare and biosecurity concern. High-throughput sequencing offers quick, in-depth microbiome health assessment, essential for developing interventions to improve husbandry and reduce antimicrobial reliance in the global ornamental fish trade. Full article
Show Figures

Graphical abstract

35 pages, 6853 KB  
Article
Experimental and Numerical Investigation of Liquid Nitrogen Die Cooling for Increased Efficiency in Porthole Aluminum Extrusion Dies
by Evangelos Giarmas, Ioannis Theodoridis, Panagiotis Tounis, Tommaso Pinter and Dimitrios Tzetzis
Appl. Sci. 2026, 16(5), 2385; https://doi.org/10.3390/app16052385 - 28 Feb 2026
Viewed by 255
Abstract
Die design plays a critical role in achieving high-quality aluminum extrusion products with optimal efficiency. Porthole dies are widely employed to produce hollow profiles for diverse industrial applications, yet their design parameters significantly influence surface quality, geometry, and productivity. In this study, a [...] Read more.
Die design plays a critical role in achieving high-quality aluminum extrusion products with optimal efficiency. Porthole dies are widely employed to produce hollow profiles for diverse industrial applications, yet their design parameters significantly influence surface quality, geometry, and productivity. In this study, a two-hole porthole die was investigated using both numerical and experimental approaches. The 6060 aluminum alloy (produced in the foundry of Alumil SA, Kilkis, Greece) was selected as the material of focus. Finite Element Analysis was conducted with HyperXtrude™ 2022 software, while experimental trials were performed on a 35 MN extrusion press. To further enhance productivity, a liquid nitrogen cooling system was integrated into the process. The combined numerical and experimental results demonstrated that the redesigned die and the integration of liquid nitrogen cooling significantly improved process performance. Productivity increased by 8.76%, with ram speed rising from 6.8 mm/s to 9.5 mm/s while maintaining dimensional accuracy and stable extrusion conditions. Full article
(This article belongs to the Special Issue Advanced Finite Element Method and Its Applications, Second Edition)
Show Figures

Figure 1

25 pages, 2611 KB  
Article
Noise-Robust Wafer Map Defect Classification via CNN-ESN Hybrid Architecture
by Hayeon Choi, Dasom Im, Sangeun Oh and Jonghwan Lee
Micromachines 2026, 17(3), 309; https://doi.org/10.3390/mi17030309 - 28 Feb 2026
Viewed by 318
Abstract
Wafer map defect classification plays a critical role in yield monitoring and root-cause analysis in semiconductor manufacturing. Although recent convolutional neural network (CNN)-based approaches have achieved high classification accuracy, most existing models are evaluated primarily on clean datasets and remain vulnerable to unseen [...] Read more.
Wafer map defect classification plays a critical role in yield monitoring and root-cause analysis in semiconductor manufacturing. Although recent convolutional neural network (CNN)-based approaches have achieved high classification accuracy, most existing models are evaluated primarily on clean datasets and remain vulnerable to unseen perturbations and representation-level variability at test time. In this paper, we propose a hybrid CNN–echo state network (ESN) architecture that integrates spatial feature extraction with sequential aggregation to enhance robustness under input perturbations. The CNN backbone extracts two-dimensional feature maps, which are converted into ordered sequences using a multidirectional scanline strategy and processed by an ESN reservoir. The resulting sequential representations are combined with CNN features through a class-specific adaptive fusion mechanism. Using the defect-only eight-class version of the WM-811K dataset, we systematically evaluate robustness under multiple perturbation scenarios, with particular focus on the clean train/noisy test (CT-NT) setting. To ensure a controlled robustness evaluation aligned with the binary nature of wafer map data, we introduce binary-consistent die-flip perturbations and additionally employ additive Gaussian perturbations as a representation-level stress test. Under clean-data conditions, the proposed model showed a 0.61 pp improvement in test accuracy compared to the ResNet34-based CNN, with notably larger gains for rare classes and defect types exhibiting strong structural patterns. In the clean train/noisy test scenario, where the model was trained on clean wafer map data and evaluated under controlled test-time perturbations, the accuracy of the CNN baseline dropped to 77.59% at σ = 0.10, whereas the proposed hybrid model maintained an accuracy of 87.30%, resulting in an absolute improvement of 9.71 pp. Per-class analysis reveals that the robustness gain is class-dependent, with pronounced improvements for defect types exhibiting clear and repetitive structural patterns, such as Loc and Edge-Ring. Further mechanistic analysis demonstrates that the robustness improvement arises from enhanced representation stability and bounded reservoir dynamics, rather than from changes in CNN feature extraction or training regularization. These results demonstrate that the proposed CNN-ESN hybrid architecture provides meaningful advantages in terms of robustness under noisy evaluation conditions without requiring noise-aware training or prior knowledge of perturbation characteristics. Full article
(This article belongs to the Special Issue Emerging Technologies and Applications for Semiconductor Industry)
Show Figures

Figure 1

21 pages, 4400 KB  
Article
What Is the Main Cause of Shrinkage Porosity in AlSi7Mg0.6 Alloy Castings Obtained with an Increased Share of Secondary Materials?
by Jaroslaw Piatkowski, Katarzyna Nowinska, Tomasz Matula and Andrzej Nowrot
Materials 2026, 19(5), 910; https://doi.org/10.3390/ma19050910 - 27 Feb 2026
Viewed by 312
Abstract
Determining the causes of shrinkage porosity in Al-Si-Mg alloy castings with an increased proportion of secondary materials is very important and poses many problems. The reason for this is the existence of two opposing theories. One assumes that plate-like α-Al5FeSi (β-Fe) [...] Read more.
Determining the causes of shrinkage porosity in Al-Si-Mg alloy castings with an increased proportion of secondary materials is very important and poses many problems. The reason for this is the existence of two opposing theories. One assumes that plate-like α-Al5FeSi (β-Fe) phase segregations cause shrinkage porosity. At the same time, the other believes that thin, double-layered oxide films with air-filled voids are responsible for the porosity. To address this question, the popular commercial alloy AlSi7Mg0.6 (EN AC-42200) was selected for testing. This alloy was cast into three series: with increasing content from 0.3 to 0.8 wt.% Fe and a constant content of approx. 0.1 wt.% Mn, the second with increasing iron and manganese contents (Mn/Fe = 1/2) (both series cast by gravity), and the third series under low pressure (approx. 0.15 MPa) with increasing content from 0.8 wt.% to 1.3 wt.% Fe and a constant content of approx. 0.1 wt.% Mn. Based on DTA (Derivative Thermal Analysis) and DSC (Differential Scanning Calorimetry) tests, the order of crystallizing components in various Mn/Fe combinations was determined. It has been found that the most unfavorable phases in gravity castings are the primary crystallizing β-Al5FeSi (β-Fe) phases (over 0.7 wt.% Fe), which are the leading cause of shrinkage porosity. After adding manganese to the alloy, thermal tests indicate that after the formation of α(Al) dendrites but before the eutectic α(Al) + β(Si), the Al15(Fe,Mn)3Si2 phase crystallizes. In die-cast samples, plate-like α-Al5FeSi (β-Fe) phase precipitates were also observed, but their share is small, and their average length does not exceed 20–30 µm. However, microstructural tests revealed the presence of rare oxides. It can therefore be assumed that in the AlSi7Mg0.6 alloy cast under pressure, the primary source of shrinkage porosity is not plate-like α-Al5FeSi (β-Fe) phase precipitates, but double-layer oxide films. In all cases, it was found that the Mg2Si phase formed at the end of crystallization does not affect shrinkage porosity. Full article
Show Figures

Graphical abstract

18 pages, 4758 KB  
Article
Corner Simulation of CMOS Analog Integrated Circuit Taking into Account Radiation Influence
by Sergei Ryzhov, Vadim Kuznetsov and Vladimir Andreev
Micromachines 2026, 17(3), 300; https://doi.org/10.3390/mi17030300 - 27 Feb 2026
Viewed by 310
Abstract
This paper proposes a corner analysis approach for CMOS circuits taking into the account radiation effects. The presented simulation approach is implemented using the open-source design automation (EDA) software QUCS-S 25.2.0 and Ngspice 45. It was developed a radiation-sensitive field-effect transistor (RADFET) SPICE [...] Read more.
This paper proposes a corner analysis approach for CMOS circuits taking into the account radiation effects. The presented simulation approach is implemented using the open-source design automation (EDA) software QUCS-S 25.2.0 and Ngspice 45. It was developed a radiation-sensitive field-effect transistor (RADFET) SPICE macromodel representing threshold voltage shift versus radiation dose. The extraction procedure for this model is based on statistical measurements of pMOS transistors and process corner models (Slow, Typical, Fast) and involves percentile analysis. The article proposes an original design of the RADFET-based radiation sensor with RADFET device and CMOS readout circuit placed on the same die, which allows us to simplify the dosimeter schematic. The sensor output parameter dependency on process parameters, supply voltage, and temperature was investigated using the proposed simulation approach. Full article
Show Figures

Figure 1

22 pages, 5903 KB  
Article
Bound Rubber as a Transferable Structural Descriptor: Connecting MD-Derived Interfacial Scaling to Continuum Reinforcement Models
by Yancai Sun, Wenzhong Deng, Haoran Wang, Ranran Jian, Wenjuan Bai, Dianming Chu, Peiwu Hou and Yan He
Polymers 2026, 18(5), 565; https://doi.org/10.3390/polym18050565 - 26 Feb 2026
Viewed by 276
Abstract
Filled elastomers often exhibit a low-frequency power-law storage modulus (G-prime), yet quantitative links between molecular interfacial structure and macroscopic reinforcement remain unresolved. This gap is addressed using a hierarchical multiscale framework that integrates coarse-grained molecular dynamics (MD) and dynamic mechanical analysis (DMA). Overall, [...] Read more.
Filled elastomers often exhibit a low-frequency power-law storage modulus (G-prime), yet quantitative links between molecular interfacial structure and macroscopic reinforcement remain unresolved. This gap is addressed using a hierarchical multiscale framework that integrates coarse-grained molecular dynamics (MD) and dynamic mechanical analysis (DMA). Overall, MD contributes transferable structural descriptors rather than direct macro-rheology prediction. MD simulations yield a bound-layer scaling relation for chain length N=50 in coarse-grained simulations serving as a structural probe. For EPDM master curves, the single-phase fractional Maxwell model is statistically preferred (Delta AICc > 147, n = 56), reflecting limited statistical power; larger datasets (e.g., PC/ABS, n = 952) favor the dual-phase formulation. For cross-scale prediction, an MD-derived effective-volume-fraction baseline (MAPE = 54.1%) provides a structural prior; the regime-partitioned bridge model absorbs relaxation physics not resolved at the MD scale, reducing error to 7.3% (blocked-CV MAPE = 9.5%, with a 2.3% fold-to-fold spread). Linear-viscoelastic constraints improve nonlinear PTT calibration, reducing die-swell error by 87%. Full article
(This article belongs to the Special Issue Functional Polymer Composites: Synthesis and Application)
Show Figures

Graphical abstract

24 pages, 3104 KB  
Article
Virtual Sensors Based on Finite Element Method: Balancing Accuracy, Runtime and Offline Effort
by Andreas Kormann, Tobias Rosnitschek, Stephan Tremmel and Frank Rieg
Appl. Sci. 2026, 16(4), 2049; https://doi.org/10.3390/app16042049 - 19 Feb 2026
Viewed by 457
Abstract
Access to internal fields such as stress, temperature, and fatigue indicators is essential for condition monitoring, yet direct sensing is often impractical. Finite element method (FEM)-based virtual sensors address this gap by combining sparse measurements with physics-based models. This work compares two virtual [...] Read more.
Access to internal fields such as stress, temperature, and fatigue indicators is essential for condition monitoring, yet direct sensing is often impractical. Finite element method (FEM)-based virtual sensors address this gap by combining sparse measurements with physics-based models. This work compares two virtual sensor workflows. The live FEM approach executes a model on demand and provides high-fidelity estimates at the cost of multi-second runtimes. The lookup database approach shifts computation offline by precomputing responses and answering online queries by fast interpolation. We introduce a quantitative cost model that links measured runtime scaling, offline construction effort, and online latency to deployment choices. The cost model is evaluated through timing studies, accuracy assessments, and an empirical break-even analysis relating offline effort to the expected number of online queries. Two case studies illustrate the method, a nonlinear tension-bar benchmark and a steady-state thermal model of a CPU die. Live FEM runtime follows a power law with α1.2 for the tensile case and an effective α0.66 for the CPU case due to dominant overheads. The resulting rules translate accuracy targets and latency budgets into workflow-selection criteria that support integration into digital-twin and monitoring pipelines. Full article
Show Figures

Figure 1

23 pages, 2456 KB  
Article
Research on Intelligent Thermal Optimization for Chiplet-Based Heterogeneously Integrated AI Chip Embedded with Leaf-Vein-Inspired Fractal Microchannels
by Jie Wu, Yu Liang, Guibin Liu, Ruiyang Pang, Yi Teng, Chen Li, Xuetian Bao, Shi Lei and Zhikuang Cai
Materials 2026, 19(4), 679; https://doi.org/10.3390/ma19040679 - 10 Feb 2026
Viewed by 979
Abstract
Conventional cooling schemes that rely on rigid heat-sink-to-die coupling in vertical stacks fail to track the dynamic, non-uniform heat map of high-performance artificial-intelligence (AI) chips employing chiplet-based heterogeneous integration, giving rise to local hot spots. To eliminate this mismatch, we present a leaf-vein-inspired [...] Read more.
Conventional cooling schemes that rely on rigid heat-sink-to-die coupling in vertical stacks fail to track the dynamic, non-uniform heat map of high-performance artificial-intelligence (AI) chips employing chiplet-based heterogeneous integration, giving rise to local hot spots. To eliminate this mismatch, we present a leaf-vein-inspired fractal microchannel tailored for such AI processors. Its hierarchical bifurcation–confluence topology adaptively reshapes the flow field, delivering ultra-low thermal resistance, high heat-transfer coefficients, and uniform dissipation. Coupled with reconfigurable chiplet placement, the design is evaluated through FEM-based orthogonal experiments that rank the influence of coolant, channel diameter/depth, inlet/outlet position, substrate thickness, and flow rate via range analysis and Analysis of Variance (ANOVA). A machine-learned surrogate model of junction temperature is then fed to Particle Swarm Optimization (PSO) for multi-parameter optimization. When re-simulated with the optimal parameter set, the symmetric fractal network lowered the AI chip junction temperature from 127.80 °C to 30.97 °C, a 76% improvement, offering a theoretical basis for hotspot mitigation in advanced heterogeneous AI packages. Full article
(This article belongs to the Special Issue Microstructural and Mechanical Characteristics of Welded Joints)
Show Figures

Graphical abstract

21 pages, 3637 KB  
Article
HSP25 and HSP25-P-Ser15 Prompt Innate Neuroprotection in Lobe X of the Cerebellum
by Carlos Hernández-Pérez, Laura Pérez-Revuelta, Pablo G. Téllez de Meneses, Valeria L. Cabedo, José Ramón Alonso, David Díaz and Eduardo Weruaga
Int. J. Mol. Sci. 2026, 27(3), 1145; https://doi.org/10.3390/ijms27031145 - 23 Jan 2026
Viewed by 676
Abstract
The cerebellar cortex presents a repetitive structure, but the main projecting neurons of this tissue, the Purkinje cells, are not identical and behave differently to various types of injury. Common patterns of neurodegeneration exist, where certain Purkinje cells die earlier than others. By [...] Read more.
The cerebellar cortex presents a repetitive structure, but the main projecting neurons of this tissue, the Purkinje cells, are not identical and behave differently to various types of injury. Common patterns of neurodegeneration exist, where certain Purkinje cells die earlier than others. By contrast, lobe X of the cerebellum is a particularly resistant structure, independently of the cerebellar disease or damage. However, the mechanisms underlying the survival capability of these especially resistant Purkinje cells are still unknown. In this work, we have used the Purkinje Cell Degeneration (PCD) mouse, a model of severe cerebellar degeneration that also reproduces the human disease called childhood-onset neurodegeneration with cerebellar atrophy, to study Purkinje cell resistance. After an exhaustive immunochemical analysis of the different subpopulations of Purkinje cells, the Heat Shock Protein 25 (HSP25) and its phosphorylated version HSP25-P-Ser15 were found to be especially induced in lobe X of PCD mice. As this protein has neuroprotective properties, it may be responsible for resistance against cerebellar neurodegeneration. Taking into account the constant resistance of lobe X, the use of HSP25 may lead to new possibilities for achieving natural protection both in cerebellum and in other brain structures, or even for developing future neuroprotective therapies. Full article
(This article belongs to the Special Issue Molecular Mechanisms and Treatments in Neurodegenerative Diseases)
Show Figures

Figure 1

15 pages, 13171 KB  
Article
Multi-Scale Modeling in Forming Limits Analysis of SUS430/Al1050/TA1 Laminates: Integrating Crystal Plasticity Finite Element with M–K Theory
by Xin Li, Chunguo Liu and Yunfeng Bai
Materials 2026, 19(2), 390; https://doi.org/10.3390/ma19020390 - 18 Jan 2026
Viewed by 513
Abstract
Numerical simulations of the forming limit diagram (FLD) for SUS430/Al1050/TA1 laminated metal composites (LMCs) are conducted through the crystal plasticity finite element (CPFE) model integrated with the Marciniak–Kuczyński (M–K) theory. Representative volume elements (RVEs) that reconstruct the measured crystallographic texture, as characterized by [...] Read more.
Numerical simulations of the forming limit diagram (FLD) for SUS430/Al1050/TA1 laminated metal composites (LMCs) are conducted through the crystal plasticity finite element (CPFE) model integrated with the Marciniak–Kuczyński (M–K) theory. Representative volume elements (RVEs) that reconstruct the measured crystallographic texture, as characterized by electron backscatter diffraction (EBSD), are developed. The optimal grain number and mesh density for the RVE are calibrated through convergence analysis by curve-fitting simulated stress–strain responses to the uniaxial tensile data. The established multi-scale model successfully predicts the FLDs of the SUS430/Al1050/TA1 laminated sheet under two stacking sequences, namely, the SUS layer or the TA1 layer in contact with the die. The Nakazima test results validate the effectiveness of the proposed model as an efficient and accurate predictive tool. This study extends the CPFE–MK framework to multi-layer LMCs, overcoming the limitations of conventional single-layer models, which incorporate FCC, BCC, and HCP crystalline structures. Furthermore, the deformation-induced texture evolution under different loading paths is analyzed, establishing the relationship between micro-scale deformation mechanisms and the macro-scale forming behavior. Full article
(This article belongs to the Section Metals and Alloys)
Show Figures

Graphical abstract

Back to TopTop