Microbiome Collapse in the Ornamental Fish Trade: A Hidden Driver of Post-Purchase Mortality
Abstract
1. Introduction
2. Materials and Methods
2.1. Fish Sampling and Study Location
2.2. Sample Collection
2.3. DNA Extraction and 16S rRNA Gene Amplicon Sequencing
2.4. Sequence Processing and Taxonomic Analysis
3. Results
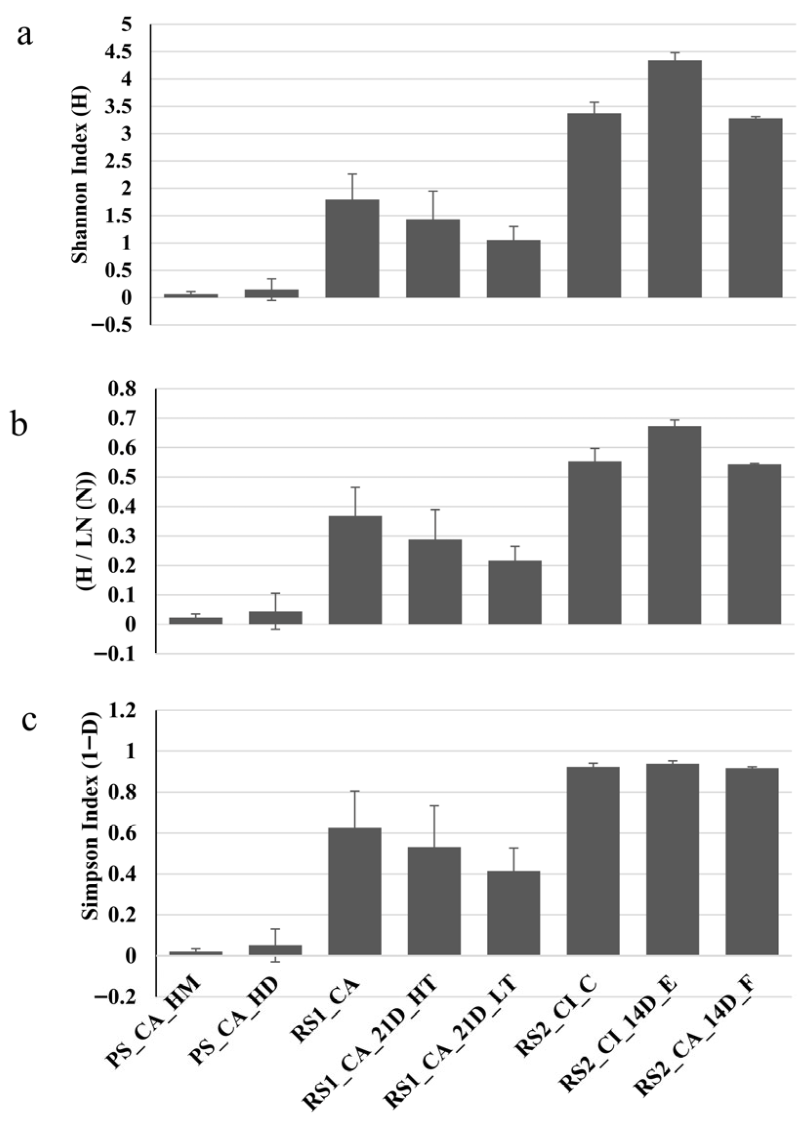
3.1. Alpha Diversity of the Gut Bacterial Communities
3.2. Beta Diversity and Community Structure
3.3. Taxonomic Composition and Relative Abundance
4. Discussion
5. Conclusions
Supplementary Materials
Author Contributions
Funding
Institutional Review Board Statement
Informed Consent Statement
Data Availability Statement
Acknowledgments
Conflicts of Interest
Abbreviations
| PS | Present study |
| RS1 | Reference study 1 |
| RS2 | Reference study 2 |
| CA | Carassius auratus |
| CI | Ctenopharyngodon idella |
| HM | Hindgut mucus |
| HD | Hindgut digesta |
| 21D | 21-day exposure |
| 14D | 14-day exposure |
| LT | Low tetracycline dose |
| HT | High tetracycline dose |
| E | Enrofloxacin |
| F | Florfenicol |
References
- Evers, H.G.; Pinnegar, J.K.; Taylor, M.I. Where are they all from? sources and sustainability in the ornamental freshwater fish trade. J. Fish Biol. 2019, 94, 909–916. [Google Scholar] [CrossRef] [PubMed]
- Au-Yeung, C.; Lam, K.L.; Choi, M.H.; Chan, K.W.; Cheung, Y.S.; Tsui, Y.L.; Mo, W.Y. Impact of prophylactic antibiotic use in ornamental fish tanks on microbial communities and pathogen selection in carriage water in Hong Kong retail shops. Microorganisms 2024, 12, 1184. [Google Scholar] [CrossRef] [PubMed]
- Borges, A.K.M.; Oliveira, T.P.R.; Alves, R.R.N. Marine or freshwater: The role of ornamental fish keeper’s preferences in the conservation of aquatic organisms in Brazil. PeerJ 2022, 10, e14387. [Google Scholar] [CrossRef] [PubMed]
- World Integrated Trade Solution (WITS). Available online: https://wits.worldbank.org/trade/comtrade/en/country/ALL/year/2024/tradeflow/Imports/partner/WLD/product/030110 (accessed on 25 February 2026).
- Chong, R. Pathology of Cultured Fish in Hong Kong, 1st ed.; Agriculture, Fisheries and Conservation Department: Hong Kong, China, 2015; pp. 145–146.
- Au-Yeung, C.; Tsui, Y.L.; Choi, M.H.; Chan, K.W.; Wong, S.N.; Ling, Y.K.; Lam, C.M.; Lam, K.L.; Mo, W.Y. Antibiotic Abuse in Ornamental Fish: An Overlooked Reservoir for Antibiotic Resistance. Microorganisms 2025, 13, 937. [Google Scholar] [CrossRef]
- Verner-Jeffreys, D.W.; Welch, T.J.; Schwarz, T.; Pond, M.J.; Woodward, M.J.; Haig, S.J.; Rimmer, G.S.; Roberts, E.; Morrison, V.; Baker-Austin, C. High prevalence of multidrug-tolerant bacteria and associated antimicrobial resistance genes isolated from ornamental fish and their carriage water. PLoS ONE 2009, 4, e8388. [Google Scholar] [CrossRef]
- Preena, P.G.; Swaminathan, T.R.; Kumar, V.J.R.; Singh, I.S.B. Antimicrobial resistance in aquaculture: A crisis for concern. Biologia 2020, 75, 1497–1517. [Google Scholar] [CrossRef]
- Au-Yeung, C.; Lam, K.L.; Chan, K.W.; Mo, W.Y. Uses of antibiotics in ornamental fish in Hong Kong and the antibiotic resistance in the associated zoonotic pathogens. J. Xenobiot. 2022, 12, 365–377. [Google Scholar] [CrossRef]
- Lulijwa, R.; Rupia, E.J.; Alfaro, A.C. Antibiotic use in aquaculture, policies and regulation, health and environmental risks: A review of the top 15 major producers. Rev. Aquac. 2020, 12, 640–663. [Google Scholar] [CrossRef]
- Preena, P.G.; Arathi, D.; Raj, N.S.; Arun Kumar, T.V.; Arun Raja, S.; Reshma, R.N.; Raja Swaminathan, T. Diversity of antimicrobial-resistant pathogens from a freshwater ornamental fish farm. Lett. Appl. Microbiol. 2020, 71, 108–116. [Google Scholar] [CrossRef]
- Payne, C.J.; Turnbull, J.F.; MacKenzie, S.; Crumlish, M. The effect of oxytetracycline treatment on the gut microbiome community dynamics in rainbow trout (Oncorhynchus mykiss) over time. Aquaculture 2022, 560, 738559. [Google Scholar] [CrossRef]
- Huang, J.; Yong, H.; Huang, J.; Che, Y.; Klümper, U.; Yu, K.; Zhang, J.; Honda, R.; Li, X.; Berendonk, T.U.; et al. Microbial risks triggered by oral administration of antibiotics in fish aquaculture persist long after the legally mandated antibiotic withdrawal time. Nat. Water 2025, 3, 1057–1069. [Google Scholar] [CrossRef]
- Andrews, S. FastQC: A Quality Control Tool for High Throughput Sequence Data. Available online: http://www.bioinformatics.babraham.ac.uk/projects/fastqc/ (accessed on 1 November 2025).
- Bolger, A.M.; Lohse, M.; Usadel, B. Trimmomatic: A flexible trimmer for Illumina sequence data. Bioinformatics 2014, 30, 2114–2120. [Google Scholar] [CrossRef]
- Wood, D.E.; Lu, J.; Langmead, B. Improved metagenomic analysis with Kraken 2. Genome Biol. 2019, 20, 257. [Google Scholar] [CrossRef] [PubMed]
- Odom, A.R.; Faits, T.; Castro-Nallar, E.; Crandall, K.A.; Johnson, W.E. Metagenomic profiling pipelines improve taxonomic classification for 16S amplicon sequencing data. Sci. Rep. 2023, 13, 13957. [Google Scholar] [CrossRef] [PubMed]
- McMurdie, P.J.; Holmes, S. Waste not, want not: Why rarefying microbiome data is inadmissible. PLoS Comput. Biol. 2014, 10, e1003531. [Google Scholar] [CrossRef] [PubMed]
- Knight, R.; Vrbanac, A.; Taylor, B.C.; Aksenov, A.; Callewaert, C.; Debelius, J.; Gonzalez, A.; Kosciolek, T.; McCall, L.I.; McDonald, D.; et al. Best practices for analysing microbiomes. Nat. Rev. Microbiol. 2018, 16, 410–422. [Google Scholar] [CrossRef]
- Jia, J.; Cheng, M.; Xue, X.; Guan, Y.; Wang, Z. Characterization of tetracycline effects on microbial community, antibiotic resistance genes and antibiotic resistance of Aeromonas spp. in gut of goldfish Carassius auratus Linnaeus. Ecotoxicol. Environ. Saf. 2020, 191, 110182. [Google Scholar] [CrossRef]
- Shi, F.; Huang, Y.; Yang, M.; Lu, Z.; Li, Y.; Zhan, F.; Lin, L.; Qin, Z. Antibiotic-induced alternations in gut microflora are associated with the suppression of immune-related pathways in grass carp (Ctenopharyngodon idellus). Front. Immunol. 2022, 13, 970125. [Google Scholar] [CrossRef]
- Xavier, R.; Severino, R.; Silva, S.M. Signatures of dysbiosis in fish microbiomes in the context of aquaculture. Rev. Aquac. 2024, 16, 706–731. [Google Scholar] [CrossRef]
- Goodrich, J.K.; Di Rienzi, S.C.; Poole, A.C.; Koren, O.; Walters, W.A.; Caporaso, J.G.; Knight, R.; Ley, R.E. Conducting a microbiome study. Cell 2014, 158, 250–262. [Google Scholar] [CrossRef]
- Qi, X.; Zhang, Y.; Zhang, Y.; Luo, F.; Song, K.; Wang, G.; Ling, F. Vitamin B12 produced by Cetobacterium somerae improves host resistance against pathogen infection through strengthening the interactions within gut microbiota. Microbiome 2023, 11, 135. [Google Scholar] [CrossRef] [PubMed]
- Wang, A.; Zhang, Z.; Ding, Q.; Yang, Y.; Bindelle, J.; Ran, C.; Zhou, Z. Intestinal Cetobacterium and acetate modify glucose homeostasis via parasympathetic activation in zebrafish. Gut Microbes 2021, 13, 1–15. [Google Scholar] [CrossRef] [PubMed]
- Tsuchiya, C.; Sakata, T.; Sugita, H. Novel ecological niche of Cetobacterium somerae, an anaerobic bacterium in the intestinal tracts of freshwater fish. Lett. Appl. Microbiol. 2008, 46, 43–48. [Google Scholar] [CrossRef] [PubMed]
- Ringø, E.Z.Z.V.; Zhou, Z.; Vecino, J.G.; Wadsworth, S.; Romero, J.; Krogdahl, Å.; Olsen, R.E.; Dimitroglou, A.; Foey, A.; Davies, S.; et al. Effect of dietary components on the gut microbiota of aquatic animals. A never-ending story? Aquac. Nutr. 2016, 22, 219–282. [Google Scholar] [CrossRef]
- Butt, R.L.; Volkoff, H. Gut microbiota and energy homeostasis in fish. Front. Endocrinol. 2019, 10, 9. [Google Scholar] [CrossRef]
- Llewellyn, M.S.; Boutin, S.; Hoseinifar, S.H.; Derome, N. Teleost microbiomes: The state of the art in their characterization, manipulation and importance in aquaculture and fisheries. Front. Microbiol. 2014, 5, 207. [Google Scholar] [CrossRef]
- Tarnecki, A.M.; Burgos, F.A.; Ray, C.L.; Arias, C.R. Fish intestinal microbiome: Diversity and symbiosis unravelled by metagenomics. J. Appl. Microbiol. 2017, 123, 2–17. [Google Scholar] [CrossRef]
- Parshukov, A.N.; Fokina, N.N.; Sukhovskaya, I.V.; Kantserova, N.P.; Lysenko, L.A. Infection and antibiotic treatment have prolonged effects on gut microbiota, muscle and hepatic fatty acids in rainbow trout (Oncorhynchus mykiss). J. Appl. Microbiol. 2022, 133, 1709–1724. [Google Scholar] [CrossRef]
- Zhou, L.; Limbu, S.M.; Qiao, F.; Du, Z.Y.; Zhang, M. Influence of long-term feeding antibiotics on the gut health of zebrafish. Zebrafish 2018, 15, 340–348. [Google Scholar] [CrossRef]
- Tremblay, J.; Singh, K.; Fern, A.; Kirton, E.S.; He, S.; Woyke, T.; Lee, J.; Chen, F.; Dangl, J.L.; Tringe, S.G. Primer and platform effects on 16S rRNA tag sequencing. Front. Microbiol. 2015, 6, 771. [Google Scholar] [CrossRef]
- Amenyogbe, E. Application of probiotics for sustainable and environment-friendly aquaculture management—A review. Cogent Food Agric. 2023, 9, 2226425. [Google Scholar] [CrossRef]
- Hoseinifar, S.H.; Faheem, M.; Liaqat, I.; Van Doan, H.; Ghosh, K.; Ringø, E. Promising Probiotic Candidates for Sustainable Aquaculture: An Updated Review. Animals 2024, 14, 3644. [Google Scholar] [CrossRef]
- Mohammed, E.A.H.; Ahmed, A.E.M.; Kovács, B.; Pál, K. The significance of probiotics in aquaculture: A review of research trend and latest scientific findings. Antibiotics 2025, 14, 242. [Google Scholar] [CrossRef]
- Hoseinifar, S.H.; Maradonna, F.; Faheem, M.; Harikrishnan, R.; Devi, G.; Ringø, E.; Van Doan, H.; Ashouri, G.; Gioacchini, G.; Carnevali, O. Sustainable ornamental fish aquaculture: The implication of microbial feed additives. Animals 2023, 13, 1583. [Google Scholar] [CrossRef]
- Wu, L.; Wang, L.; Cui, S.; Peng, Z.; Liu, Z.; Li, M.; Han, Y.; Ren, T. Effects of dietary compound probiotics and heat-killed compound probiotics on antioxidative capacity, plasma biochemical parameters, intestinal morphology, and microbiota of Cyprinus carpio haematopterus. Aquac. Int. 2023, 31, 2199–2219. [Google Scholar] [CrossRef]
- Li, S.; Tran, N.T. Paraprobiotics in aquaculture. In Probiotics in Aquaculture; Austin, B., Sharifuzzaman, S., Eds.; Springer: Cham, Switzerland, 2022. [Google Scholar] [CrossRef]
- FAO. Responsible Use of Antimicrobials in Aquaculture; FAO Fisheries and Aquaculture Technical Paper; FAO: Rome, Italy, 2020. [Google Scholar]
- WHO. Global Action Plan on Antimicrobial Resistance; World Health Organization: Geneva, Switzerland, 2015. [Google Scholar]



Disclaimer/Publisher’s Note: The statements, opinions and data contained in all publications are solely those of the individual author(s) and contributor(s) and not of MDPI and/or the editor(s). MDPI and/or the editor(s) disclaim responsibility for any injury to people or property resulting from any ideas, methods, instructions or products referred to in the content. |
© 2026 by the authors. Licensee MDPI, Basel, Switzerland. This article is an open access article distributed under the terms and conditions of the Creative Commons Attribution (CC BY) license.
Share and Cite
Bohra, V.; Wong, W.-H.; Au-Yeung, C.; Lam, K.-L.; Wong, E.S.-W.; Xu, S.J.-L.; Lee, F.W.-F.; Mo, W.-Y. Microbiome Collapse in the Ornamental Fish Trade: A Hidden Driver of Post-Purchase Mortality. Appl. Microbiol. 2026, 6, 38. https://doi.org/10.3390/applmicrobiol6030038
Bohra V, Wong W-H, Au-Yeung C, Lam K-L, Wong ES-W, Xu SJ-L, Lee FW-F, Mo W-Y. Microbiome Collapse in the Ornamental Fish Trade: A Hidden Driver of Post-Purchase Mortality. Applied Microbiology. 2026; 6(3):38. https://doi.org/10.3390/applmicrobiol6030038
Chicago/Turabian StyleBohra, Varsha, Wang-Hei Wong, Chun Au-Yeung, Kit-Ling Lam, Emily Sze-Wan Wong, Steven Jing-Liang Xu, Fred Wang-Fat Lee, and Wing-Yin Mo. 2026. "Microbiome Collapse in the Ornamental Fish Trade: A Hidden Driver of Post-Purchase Mortality" Applied Microbiology 6, no. 3: 38. https://doi.org/10.3390/applmicrobiol6030038
APA StyleBohra, V., Wong, W.-H., Au-Yeung, C., Lam, K.-L., Wong, E. S.-W., Xu, S. J.-L., Lee, F. W.-F., & Mo, W.-Y. (2026). Microbiome Collapse in the Ornamental Fish Trade: A Hidden Driver of Post-Purchase Mortality. Applied Microbiology, 6(3), 38. https://doi.org/10.3390/applmicrobiol6030038

